Time Series Analysis of Post-Tsunami Coastal Recovery on the Sendai Coastline Using Dynamic Time Warping and Persistent Homology
Highlights
- A computational framework integrating Dynamic Time Warping (DTW) and Persistent Homology (PH) quantified both geometric and topological aspects of coastal recovery from satellite imagery (2010–2024).
- Sendai coastline evolved toward a new dynamic equilibrium rather than returning to its pre-tsunami state, marked by increased topological complexity and structural diversity.
- The integration of DTW and PH can provide a powerful tool for detecting multi-scale morphological reorganization.
- Long-term coastal recovery can lead to alternative stable states with intensified resilience, providing deep understanding for coastal monitoring and post-disaster management.
Abstract
1. Introduction
1.1. Dynamic Time Warping in Coastal and Environmental Monitoring
1.2. Persistent Homology and Topological Data Analysis in Morphological Studies
1.3. Long-Term Coastal Monitoring Studies
1.4. Research Gaps and Study Rationale
1.5. Study Objectives
2. Materials and Methods
2.1. Study Area
2.2. Methodology
A Framework for Geospatial Curve Extraction and Reconstruction
2.3. Quantifying Post-Disaster Structural Disruption
2.4. Implementation of a Shape-Based Resilience Metric via Dynamic Time Warping (DTW)
2.5. Time-Series Analysis of Landscape Recovery
2.6. Topological Data Analysis for Coastal Recovery
2.7. Coastline Graph Model Construction
2.8. Topological Feature Extraction via Persistent Homology
2.9. Quantification of Topological Change (Stable Distance of Persistent Homology (SDPH))
3. Results
3.1. Coastline Representation as Graph Models
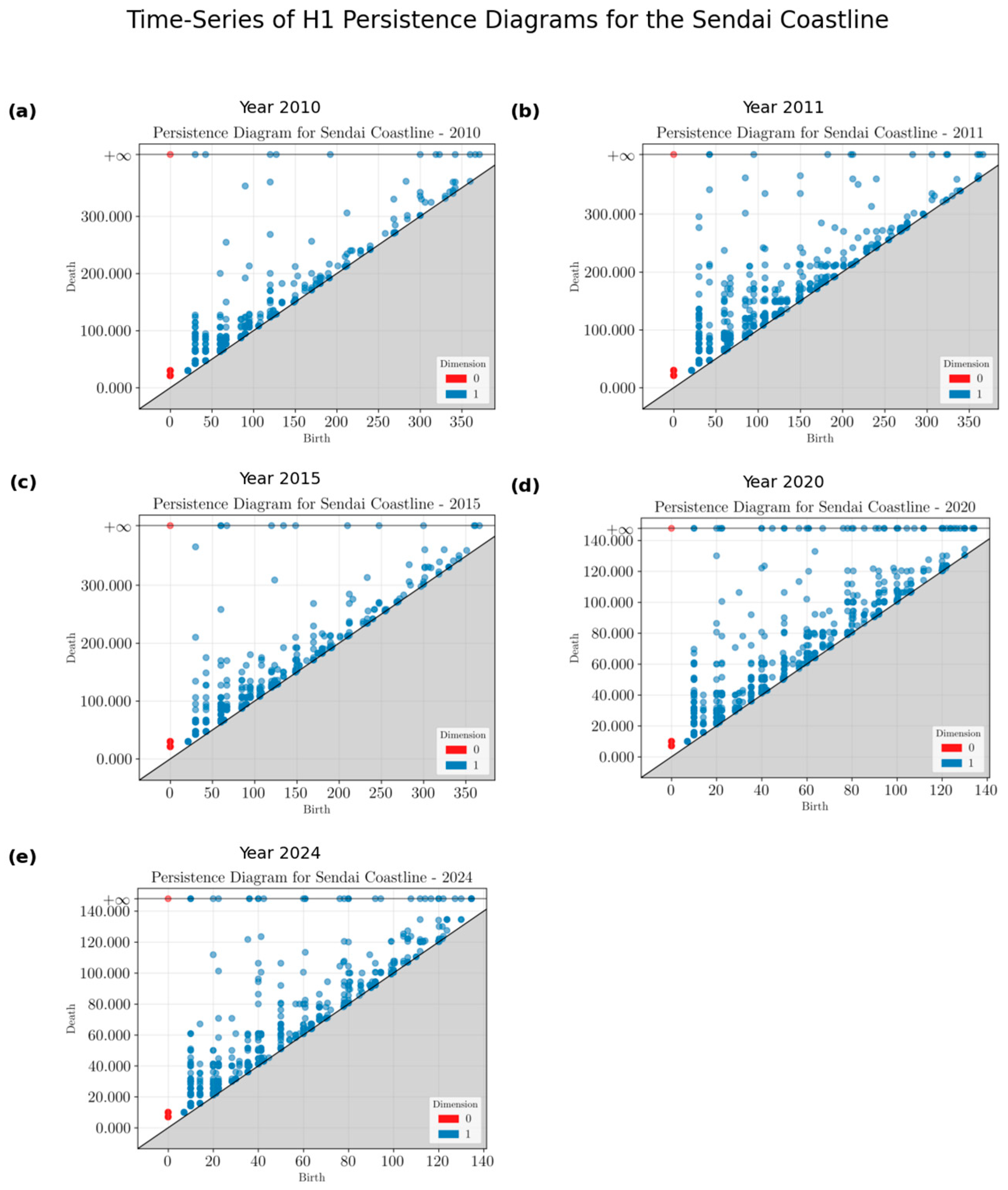
3.2. Topological Distance Analysis Using Persistent Homology
3.3. Comparative Analysis of DTW and SDPH Metrics
4. Discussion
5. Limitations
6. Conclusions
Author Contributions
Funding
Data Availability Statement
Acknowledgments
Conflicts of Interest
References
- Mu, K.; Tang, C.; Tosi, L.; Li, Y.; Zheng, X.; Donnici, S.; Sun, J.; Liu, J.; Gao, X. Coastline monitoring and prediction based on long-term remote sensing data—A case study of the eastern coast of laizhou bay, China. Remote Sens. 2024, 16, 185. [Google Scholar] [CrossRef]
- Xu, N. Detecting coastline change with all available landsat data over 1986–2015: A case study for the state of Texas, USA. Atmosphere 2018, 9, 107. [Google Scholar] [CrossRef]
- Crawford, T.W.; Rahman, M.K.; Miah, M.d.G.; Islam, M.d.R.; Paul, B.K.; Curtis, S.; Islam, M.d.S. Coupled Adaptive Cycles of Shoreline Change and Households in Deltaic Bangladesh: Analysis of a 30-Year Shoreline Change Record and Recent Population Impacts. Ann. Am. Assoc. Geogr. 2021, 111, 1002–1024. [Google Scholar] [CrossRef]
- Leisner, M.M.; De Paula, D.P.; Alves, D.C.L.; Da Guia Albuquerque, M.; De Holanda Bastos, F.; Vasconcelos, Y.G. Long-term and short-term analysis of shoreline change and cliff retreat on Brazilian equatorial coast. Earth Surf. Process. Landf. 2023, 48, 2987–3002. [Google Scholar] [CrossRef]
- da Silva, P.G.; Jara, M.S.; Medina, R.; Beck, A.-L.; Taji, M.A. On the use of satellite information to detect coastal change: Demonstration case on the coast of Spain. Coast. Eng. 2024, 191, 104517. [Google Scholar] [CrossRef]
- Do, A.T.; De Vries, S.; Stive, M.J. The estimation and evaluation of shoreline locations, shoreline-change rates, and coastal volume changes derived from Landsat images. J. Coast. Res. 2019, 35, 56–71. [Google Scholar] [CrossRef]
- Castro, I.J.; Dias, J.M.; Lopes, C.L. Assessing shoreline changes in fringing salt marshes from satellite remote sensing data. Remote Sens. 2023, 15, 4475. [Google Scholar] [CrossRef]
- Tanaka, H.; Nguyen, T.H. Decadal Morphological Recovery of Estuaries and Coasts After the 2011 Tohoku Tsunami. In Proceedings of the International Conference on Sustainable Civil Engineering and Architecture, Ho Chi Minh City, Vietnam, 24–26 October 2019; Volume 80. [Google Scholar]
- Hiep, N.T.; Tanaka, H.; Tinh, N.X. Morphology Recovery and Convergence of Topographic Evolution in the Natori River Mouth after the 2011 Tohoku Tsunami. Water 2022, 14, 715. [Google Scholar] [CrossRef]
- Hoang, V.C.; Tanaka, H.; Mitobe, Y. Morphological recovery of beach severely damaged by the 2011 great east Japan tsunami. Estuar. Coast. Shelf Sci. 2019, 226, 106274. [Google Scholar] [CrossRef]
- Imura, H.; Goto, K.; Minamidate, K.; Koiwa, N. Effects of the 2011 Tohoku-oki tsunami and human activities on long-term coastal geomorphic development in northeastern Tohoku, Japan. Earth Surf. Process. Landf. 2024, 49, 949–963. [Google Scholar] [CrossRef]
- Petitjean, F.; Inglada, J.; Gançarski, P. Satellite image time series analysis under time warping. IEEE Trans. Geosci. Remote Sens. 2012, 50, 3081–3095. [Google Scholar] [CrossRef]
- Narin, O.G.; Bayik, C.; Abdikan, S.; Balik Sanli, F. Using rvi and ndvi time series for cropland mapping with time-weighted dynamic time warping. Int. Arch. Photogramm. Remote Sens. Spat. Inf. Sci. 2022, 48, 97–101. [Google Scholar] [CrossRef]
- Paiva, R.U.; Oliveira, S.S.; Martins, W.S. P-TWDTW 2.0—An optimization in the use of computational resources for parallel processing of remote sensing time series. In Proceedings of the Escola Regional de Alto Desempenho do Centro-Oeste (ERAD-CO), Online, 14–18 September 2020; SBC: Rio de Janeiro, Brazil, 2020; pp. 13–16. Available online: https://sol.sbc.org.br/index.php/eradco/article/view/12646 (accessed on 23 November 2025).
- Suominen, T.; Westerholm, J.; Kalliola, R.; Attila, J. Partition of marine environment dynamics according to remote sensing reflectance and relations of dynamics to physical factors. Remote Sens. 2021, 13, 2104. [Google Scholar] [CrossRef]
- Vos, K.; Splinter, K.D.; Harley, M.D.; Simmons, J.A.; Turner, I.L. CoastSat: A Google Earth Engine-enabled Python toolkit to extract shorelines from publicly available satellite imagery. Environ. Model. Softw. 2019, 122, 104528. [Google Scholar] [CrossRef]
- Maus, V.; Câmara, G.; Cartaxo, R.; Sanchez, A.; Ramos, F.M.; De Queiroz, G.R. A time-weighted dynamic time warping method for land-use and land-cover mapping. IEEE J. Sel. Top. Appl. Earth Obs. Remote Sens. 2016, 9, 3729–3739. [Google Scholar] [CrossRef]
- Edelsbrunner, H.; Harer, J. Computational Topology: An Introduction; American Mathematical Society: Providence, RI, USA, 2010; Available online: https://books.google.com/books?hl=en&lr=&id=MDXa6gFRZuIC&oi=fnd&pg=PR11&dq=Edelsbrunner,+H.,+%26+Harer,+J.+(2010).+Computational+Topology:+An+Introduction.+American+Mathematical+Society.&ots=CTVqeaQAnE&sig=jVDmOaTJaOStyYFWUfWSUl7_NsM (accessed on 23 November 2025).
- Hickok, A.; Needell, D.; Porter, M.A. Analysis of Spatial and Spatiotemporal Anomalies Using Persistent Homology: Case Studies with COVID-19 Data. SIAM J. Math. Data Sci. 2022, 4, 1116–1144. [Google Scholar] [CrossRef]
- Hu, C.-S. Locating topological structures in digital images via local homology. arXiv 2025, arXiv:2301.05474. [Google Scholar] [CrossRef]
- Ding, Y.; Yang, X.; Jin, H.; Wang, Z.; Liu, Y.; Liu, B.; Zhang, J.; Liu, X.; Gao, K.; Meng, D. Monitoring coastline changes of the Malay Islands based on Google Earth Engine and dense time-series remote sensing images. Remote Sens. 2021, 13, 3842. [Google Scholar] [CrossRef]
- Konstantinou, A.; Scott, T.; Masselink, G.; Stokes, C.; Hamilton, T.; Castelle, B. Multi-decadal gravel beach dynamics in the United Kingdom and Ireland: Insights from satellite-derived shorelines. Earth Surf. Process. Landf. 2025, 50, e70160. [Google Scholar] [CrossRef]
- Boussetta, A.; Niculescu, S.; Bengoufa, S.; Zagrarni, M.F. Deep and machine learning methods for the (semi-) automatic extraction of sandy shoreline and erosion risk assessment basing on remote sensing data (case of Jerba island-Tunisia). Remote Sens. Appl. Soc. Environ. 2023, 32, 101084. [Google Scholar] [CrossRef]
- Lundine, M.; Trembanis, A. Data-Driven Shoreline Modeling: Historical Remote Sensing and Prediction Methods. SSRN 2024. [Google Scholar] [CrossRef]
- Scheffer, M.; Carpenter, S.; Foley, J.A.; Folke, C.; Walker, B. Catastrophic shifts in ecosystems. Nature 2001, 413, 591–596. [Google Scholar] [CrossRef]
- Tanaka, H.; Tinh, N.X.; Umeda, M.; Hirao, R.; Pradjoko, E.; Mano, A.; Udo, K. Coastal and Estuarine Morphology Changes Induced by the 2011 Great East Japan Earthquake Tsunami. Coast. Eng. J. 2012, 54, 1250010-1–1250010-25. [Google Scholar] [CrossRef]
- Yamashita, K.; Sugawara, D.; Takahashi, T.; Imamura, F.; Saito, Y.; Imato, Y.; Kai, T.; Uehara, H.; Kato, T.; Nakata, K.; et al. Numerical Simulations of Large-Scale Sediment Transport Caused by the 2011 Tohoku Earthquake Tsunami in Hirota Bay, Southern Sanriku Coast. Coast. Eng. J. 2016, 58, 1640015-1–1640015-28. [Google Scholar] [CrossRef]
- Udo, K.; Takeda, Y.; Tanaka, H. Coastal Morphology Change Before and After 2011 Off the Pacific Coast of Tohoku Earthquake Tsunami at Rikuzen-Takata Coast. Coast. Eng. J. 2016, 58, 1640016-1–1640016-16. [Google Scholar] [CrossRef]
- Ye, D.; Jiang, H.; Jiang, Y.; Li, H. Stable distance of persistent homology for dynamic graph comparison. Knowl.-Based Syst. 2023, 278, 110855. [Google Scholar] [CrossRef]
- Udo, K.; Takeda, Y.; Takamura, M.; Mano, A. Serious Erosion of the Southern Sendai Coast Due to the 2011 Tohoku Earthquake Tsunami and Its Recovery Process. In Post-Tsunami Hazard; Santiago-Fandiño, V., Kontar, Y.A., Kaneda, Y., Eds.; Advances in Natural and Technological Hazards Research; Springer International Publishing: Cham, Switzerland, 2015; Volume 44, pp. 225–236. [Google Scholar] [CrossRef]
- Vo, H.C.; Mitobe, Y.; Tanaka, H. Analysis of shoreline behavior on Sendai coast before and after the 2011 Tsunami. Coast. Eng. Proc. 2014, 34, 82. [Google Scholar] [CrossRef]
- Kraus, N.C.; Rosati, J.D. Interpretation of Shoreline-Position Data for Coastal Engineering Analysis. 1997. Available online: https://apps.dtic.mil/sti/html/tr/ADA591274/ (accessed on 25 November 2025).
- Honeycutt, M.G.; Crowell, M.; Douglas, B.C. Shoreline-position forecasting: Impact of storms, rate-calculation methodologies, and temporal scales. J. Coast. Res. 2001, 17, 721–730. [Google Scholar]
- Thieler, E.R.; Himmelstoss, E.A.; Zichichi, J.L.; Ergul, A. The Digital Shoreline Analysis System (DSAS) Version 4.0—An ArcGIS Extension for Calculating Shoreline Change; US Geological Survey: Reston, VA, USA, 2009. Available online: https://pubs.usgs.gov/publication/ofr20081278 (accessed on 25 November 2025).
- Himmelstoss, E.A.; Henderson, R.E.; Kratzmann, M.G.; Farris, A.S. Digital Shoreline Analysis System (DSAS) Version 5.1 User Guide; US Geological Survey: Reston, VA, USA, 2021. Available online: https://pubs.usgs.gov/publication/ofr20211091 (accessed on 25 November 2025).
- Pardo-Pascual, J.E.; Almonacid-Caballer, J.; Ruiz, L.A.; Palomar-Vázquez, J. Automatic extraction of shorelines from Landsat TM and ETM+ multi-temporal images with subpixel precision. Remote Sens. Environ. 2012, 123, 1–11. [Google Scholar] [CrossRef]
- Luijendijk, A.; Hagenaars, G.; Ranasinghe, R.; Baart, F.; Donchyts, G.; Aarninkhof, S. The state of the world’s beaches. Sci. Rep. 2018, 8, 6641. [Google Scholar] [CrossRef] [PubMed]
- Zhou, S.; Pan, H.; Huang, T.; Zhou, P. High accuracy georeferencing of GF-6 wide field of view scenes toward analysis ready data. IEEE Trans. Geosci. Remote Sens. 2023, 61, 5614512. [Google Scholar] [CrossRef]








| Year | Number of Points |
|---|---|
| 2010 | 11,871 |
| 2011 | 16,891 |
| 2015 | 13,299 |
| 2020 | 57,564 |
| 2024 | 50,852 |
| Year | Number of Control Points | Degree |
|---|---|---|
| 2010 | 708 | 3 |
| 2011 | 894 | 3 |
| 2015 | 792 | 3 |
| 2020 | 880 | 3 |
| 2024 | 823 | 3 |
| Year | H1 Feature Count |
|---|---|
| 2010 | 940 |
| 2011 | 1798 |
| 2015 | 1127 |
| 2020 | 8098 |
| 2024 | 6999 |
Disclaimer/Publisher’s Note: The statements, opinions and data contained in all publications are solely those of the individual author(s) and contributor(s) and not of MDPI and/or the editor(s). MDPI and/or the editor(s) disclaim responsibility for any injury to people or property resulting from any ideas, methods, instructions or products referred to in the content. |
© 2025 by the authors. Licensee MDPI, Basel, Switzerland. This article is an open access article distributed under the terms and conditions of the Creative Commons Attribution (CC BY) license (https://creativecommons.org/licenses/by/4.0/).
Share and Cite
Bormudoi, A.; Nagai, M.; Hussain, M.D.I.b. Time Series Analysis of Post-Tsunami Coastal Recovery on the Sendai Coastline Using Dynamic Time Warping and Persistent Homology. Remote Sens. 2025, 17, 3972. https://doi.org/10.3390/rs17243972
Bormudoi A, Nagai M, Hussain MDIb. Time Series Analysis of Post-Tsunami Coastal Recovery on the Sendai Coastline Using Dynamic Time Warping and Persistent Homology. Remote Sensing. 2025; 17(24):3972. https://doi.org/10.3390/rs17243972
Chicago/Turabian StyleBormudoi, Arnob, Masahiko Nagai, and Muhammad Daniel Iman bin Hussain. 2025. "Time Series Analysis of Post-Tsunami Coastal Recovery on the Sendai Coastline Using Dynamic Time Warping and Persistent Homology" Remote Sensing 17, no. 24: 3972. https://doi.org/10.3390/rs17243972
APA StyleBormudoi, A., Nagai, M., & Hussain, M. D. I. b. (2025). Time Series Analysis of Post-Tsunami Coastal Recovery on the Sendai Coastline Using Dynamic Time Warping and Persistent Homology. Remote Sensing, 17(24), 3972. https://doi.org/10.3390/rs17243972

