Sign in to use this feature.

Years

Between: -

Subjects

remove_circle_outline
remove_circle_outline
remove_circle_outline
remove_circle_outline
remove_circle_outline
remove_circle_outline
remove_circle_outline
remove_circle_outline

Journals

Article Types

Countries / Regions

Search Results (143)

Search Parameters:
Keywords = least mean square (LMS) algorithm

Order results
Result details
Results per page
Select all
Export citation of selected articles as:
23 pages, 3650 KB  
Article
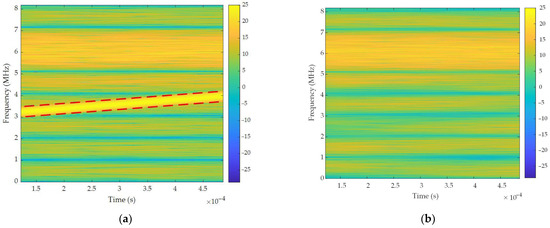
Millimeter-Wave Radar-Based Weak Neonatal Heart Rate Detection Using an Adaptive Subband Variable Step-Size LMS Filtering Algorithm
by Jiasheng Cao, Xiao Li, Xiangwei Dang, Nanyi Jiang and Yanlei Li
Electronics 2026, 15(4), 731; https://doi.org/10.3390/electronics15040731 - 9 Feb 2026
Viewed by 434
Abstract
Non-contact measurement plays a crucial role in monitoring the heart rate of preterm and low birth weight infants in the neonatal intensive care unit (NICU). Addressing the challenges of weak heartbeat signals easily overwhelmed by noise in non-contact heart rate detection for these [...] Read more.
Non-contact measurement plays a crucial role in monitoring the heart rate of preterm and low birth weight infants in the neonatal intensive care unit (NICU). Addressing the challenges of weak heartbeat signals easily overwhelmed by noise in non-contact heart rate detection for these neonates, this paper proposes a millimeter-wave radar-based heart rate detection method using adaptive subband variable step-size least mean square (LMS) filtering. The innovative approach divides the chest echo signal into multiple subbands, employing an error-based variable step-size update strategy in each subband. By utilizing the abdominal signal as a reference, the heartbeat information is enhanced through adaptive filtering, and the results from various subbands are fused. The heart rate estimation is achieved by combining the fused results with time-frequency analysis using wavelet transform. Experimental results on data collected from multiple preterm infants in the NICU demonstrate that the proposed algorithm can reduce the root mean square error (RMSE) of preterm infant heart rate estimation to below 5 Beats Per Minute (BPM), providing a novel solution for the application of millimeter-wave radar in NICU heart rate monitoring. Full article
Show Figures

Figure 1

22 pages, 13425 KB  
Article
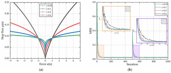
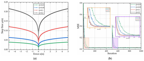
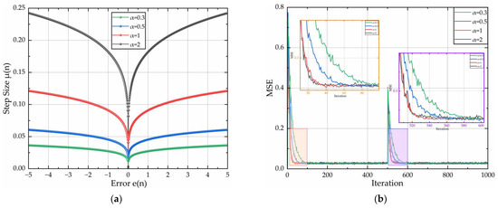
A Novel VSS-LMS Algorithm Based on Modified Versoria Function for Anti-Jamming
by Binghe Tian, Yongxin Feng, Fang Liu, Bixue Song and Sibo Guo
Sensors 2026, 26(3), 1045; https://doi.org/10.3390/s26031045 - 5 Feb 2026
Cited by 1 | Viewed by 300
Abstract
In the sensor array signal reception system, improving the accuracy of weak-signal detection is crucial. Traditional fixed-step algorithms struggle to balance the convergence rate (CR) and low steady-state error (SSE) owing to their inherent trade-off limitations. To address this limitation, we propose a [...] Read more.
In the sensor array signal reception system, improving the accuracy of weak-signal detection is crucial. Traditional fixed-step algorithms struggle to balance the convergence rate (CR) and low steady-state error (SSE) owing to their inherent trade-off limitations. To address this limitation, we propose a novel variable-step-size least-mean-square (VSS-LMS) algorithm based on a modified versoria function, specifically redesigned to enhance curvature characteristics. This approach establishes dynamic coupling between error statistics and step-size factors through nonlinear mapping. It derives closed-loop equations governing parameters (α, β, and γ) relative to the smoothed instantaneous error correlation function. Consequently, an adaptive feedback system is constructed to achieve real-time adjustment through optimal step-size generation. The optimal parameters (α, β, and γ) are determined through empirical enumeration and analysis of their impact on algorithmic performance. Comparative evaluations against established VSS-LMS algorithms confirm performance: the proposed algorithm accelerates convergence while maintaining a low SSE, and exhibits robust signal recovery capabilities under low-SNR conditions with diverse interference types. Full article
(This article belongs to the Section Intelligent Sensors)
Show Figures

Figure 1

16 pages, 519 KB  
Article
An Efficient and Automated Smart Healthcare System Using Genetic Algorithm and Two-Level Filtering Scheme
by Geetanjali Rathee, Hemraj Saini, Chaker Abdelaziz Kerrache, Ramzi Djemai and Mohamed Chahine Ghanem
Digital 2026, 6(1), 10; https://doi.org/10.3390/digital6010010 - 28 Jan 2026
Viewed by 587
Abstract
This paper proposes an efficient and automated smart healthcare communication framework that integrates a two-level filtering scheme with a multi-objective Genetic Algorithm (GA) to enhance the reliability, timeliness, and energy efficiency of Internet of Medical Things (IoMT) systems. In the first stage, physiological [...] Read more.
This paper proposes an efficient and automated smart healthcare communication framework that integrates a two-level filtering scheme with a multi-objective Genetic Algorithm (GA) to enhance the reliability, timeliness, and energy efficiency of Internet of Medical Things (IoMT) systems. In the first stage, physiological signals collected from heterogeneous sensors (e.g., blood pressure, glucose level, ECG, patient movement, and ambient temperature) were pre-processed using an adaptive least-mean-square (LMS) filter to suppress noise and motion artifacts, thereby improving signal quality prior to analysis. In the second stage, a GA-based optimization engine selects optimal routing paths and transmission parameters by jointly considering end-to-end delay, Signal-to-Noise Ratio (SNR), energy consumption, and packet loss ratio (PLR). The two-level filtering strategy, i.e., LMS, ensures that only denoised and high-priority records are forwarded for more processing, enabling timely delivery for supporting the downstream clinical network by optimizing the communication. The proposed mechanism is evaluated via extensive simulations involving 30–100 devices and multiple generations and is benchmarked against two existing smart healthcare schemes. The results demonstrate that the integrated GA and filtering approach significantly reduces end-to-end delay by 10%, as well as communication latency and energy consumption, while improving the packet delivery ratio by approximately 15%, as well as throughput, SNR, and overall Quality of Service (QoS) by up to 98%. These findings indicate that the proposed framework provides a scalable and intelligent communication backbone for early disease detection, continuous monitoring, and timely intervention in smart healthcare environments. Full article
Show Figures

Figure 1

26 pages, 4955 KB  
Article
Low-Complexity Channel Estimation for Electromagnetic Wave Propagation Across the Seawater-Air Interface: A FRLS Approach
by Honglei Wang, Yulong Wei, Jinbo Song, Yingda Ren and Lichao Ding
J. Mar. Sci. Eng. 2026, 14(2), 231; https://doi.org/10.3390/jmse14020231 - 22 Jan 2026
Cited by 1 | Viewed by 363 | Correction
Abstract
This paper proposes a complex fast recursive least-squares (FRLS) channel-estimation algorithm for single-carrier electromagnetic (EM) communications across the seawater–air interface, where severe attenuation and multipath cause strong SNR fluctuations. By redesigning the input-data structure and using forward–backward joint estimation, FRLS reduces the per-iteration [...] Read more.
This paper proposes a complex fast recursive least-squares (FRLS) channel-estimation algorithm for single-carrier electromagnetic (EM) communications across the seawater–air interface, where severe attenuation and multipath cause strong SNR fluctuations. By redesigning the input-data structure and using forward–backward joint estimation, FRLS reduces the per-iteration complexity from the quadratic cost of classical RLS to a linear form (14L + 20 operations per iteration, where L is the channel length). Simulations under representative one- to three-path channels show that FRLS achieves the lowest steady-state mean-square deviation (MSD) at low SNR, outperforming LMS, IPNLMS, RLS, and PRLS. Offshore experiments further validate the practicality: after MMSE equalization, FRLS yields higher OSNR and improves the BER distribution, demonstrating an effective accuracy–complexity trade-off for hardware-constrained cross-medium EM links. Full article
(This article belongs to the Section Ocean Engineering)
Show Figures

Figure 1

35 pages, 2441 KB  
Article
Power Normalized and Fractional Power Normalized Least Mean Square Adaptive Beamforming Algorithm
by Yuyang Liu and Hua Wang
Electronics 2026, 15(1), 49; https://doi.org/10.3390/electronics15010049 - 23 Dec 2025
Viewed by 424
Abstract
With the rapid deployment of high-speed maglev transportation systems worldwide, the operational velocity, electromagnetic complexity, and channel dynamics have far exceeded those of conventional rail systems, imposing more stringent requirements on real-time capability, reliability, and interference robustness in wireless communication. In maglev environments [...] Read more.
With the rapid deployment of high-speed maglev transportation systems worldwide, the operational velocity, electromagnetic complexity, and channel dynamics have far exceeded those of conventional rail systems, imposing more stringent requirements on real-time capability, reliability, and interference robustness in wireless communication. In maglev environments exceeding 600 km/h, the channel becomes predominantly line-of-sight with sparse scatterers, exhibiting strong Doppler shifts, rapidly varying spatial characteristics, and severe interference, all of which significantly degrade the stability and convergence performance of traditional beamforming algorithms. Adaptive smart antenna technology has therefore become essential in high-mobility communication and sensing systems, as it enables real-time spatial filtering, interference suppression, and beam tracking through continuous weight updates. To address the challenges of slow convergence and high steady-state error in rapidly varying maglev channels, this work proposes a new Fractional Proportionate Normalized Least Mean Square (FPNLMS) adaptive beamforming algorithm. The contributions of this study are twofold. (1) A novel FPNLMS algorithm is developed by embedding a fractional-order gradient correction into the power-normalized and proportionate gain framework of PNLMS, forming a unified LMS-type update mechanism that enhances error tracking flexibility while maintaining O(L) computational complexity. This integrated design enables the proposed method to achieve faster convergence, improved robustness, and reduced steady-state error in highly dynamic channel conditions. (2) A unified convergence analysis framework is established for the proposed algorithm. Mean convergence conditions and practical step-size bounds are derived, explicitly incorporating the fractional-order term and generalizing classical LMS/PNLMS convergence theory, thereby providing theoretical guarantees for stable deployment in high-speed maglev beamforming. Simulation results verify that the proposed FPNLMS algorithm achieves significantly faster convergence, lower mean square error, and superior interference suppression compared with LMS, NLMS, FLMS, and PNLMS, demonstrating its strong applicability to beamforming in highly dynamic next-generation maglev communication systems. Full article
(This article belongs to the Special Issue 5G and Beyond Technologies in Smart Manufacturing, 2nd Edition)
Show Figures

Figure 1

18 pages, 2757 KB  
Article
Robust Bias Compensation LMS Algorithms Under Colored Gaussian Input Noise and Impulse Observation Noise Environments
by Ying-Ren Chien, Han-En Hsieh and Guobing Qian
Mathematics 2025, 13(20), 3348; https://doi.org/10.3390/math13203348 - 21 Oct 2025
Cited by 1 | Viewed by 732
Abstract
Adaptive filtering algorithms often suffer from biased parameter estimation and performance degradation in the presence of colored input noise and impulsive observation noise, both of which are common in practical sensor and communication systems. Existing bias-compensated least mean square (LMS) algorithms generally assume [...] Read more.
Adaptive filtering algorithms often suffer from biased parameter estimation and performance degradation in the presence of colored input noise and impulsive observation noise, both of which are common in practical sensor and communication systems. Existing bias-compensated least mean square (LMS) algorithms generally assume white Gaussian input noise, thereby limiting their applicability in real-world scenarios. This paper introduces a robust convex combination bias-compensated LMS (CC-BC-LMS) algorithm designed to address both colored Gaussian input noise and impulsive observation noise. The proposed algorithm achieves bias compensation through robust estimation of the input noise autocorrelation matrix and employs a modified Huber function to mitigate the influence of impulsive noise. A convex combination of fast and slow adaptive filters enables variable step-size adaptation, effectively balancing rapid convergence and low steady-state error. Extensive simulation results demonstrate that the proposed CC-BC-LMS algorithm provides substantial improvements in normalized mean square deviation (NMSD), surpassing state-of-the-art bias-compensated and robust adaptive filtering techniques by 4.48 dB to 11.4 dB under various noise conditions. These results confirm the effectiveness of the proposed approach for reliable adaptive filtering in challenging noisy environments. Full article
Show Figures

Figure 1

29 pages, 2790 KB  
Article
A New Hybrid Adaptive Self-Loading Filter and GRU-Net for Active Noise Control in a Right-Angle Bending Pipe of an Air Conditioner
by Wenzhao Zhu, Zezheng Gu, Xiaoling Chen, Ping Xie, Lei Luo and Zonglong Bai
Sensors 2025, 25(20), 6293; https://doi.org/10.3390/s25206293 - 10 Oct 2025
Viewed by 786
Abstract
The air-conditioner noise in a rehabilitation room can seriously affect the mental state of patients. However, the existing single-layer active noise control (ANC) filters may fail to attenuate the complicated harmonic noise, and the deep recursive ANC method may fail to work in [...] Read more.
The air-conditioner noise in a rehabilitation room can seriously affect the mental state of patients. However, the existing single-layer active noise control (ANC) filters may fail to attenuate the complicated harmonic noise, and the deep recursive ANC method may fail to work in real time. To solve the problem, in a bending-pipe model, a new hybrid adaptive self-loading filtered-x least-mean-square (ASL-FxLMS) and convolutional neural network-gate recurrent unit (CNN-GRU) network is proposed. At first, based on the recursive GRU translation core, an improved CNN-GRU network with multi-head attention layers is proposed. Especially for complicated harmonic noises with more or fewer frequencies than harmonic models, the attenuation performance will be improved. In addition, its structure is optimized to decrease the computing load. In addition, an improved time-delay estimator is applied to improve the real-time ANC performance of CNN-GRU. Meanwhile, an adaptive self-loading FxLMS algorithm has been developed to deal with the uncertain components of complicated harmonic noise. Moreover, to achieve balance attenuation, robustness, and tracking performance, the ASL-FxLMS and CNN-GRU are connected by a convex combination structure. Furthermore, theoretical analysis and simulations are also conducted to show the effectiveness of the proposed method. Full article
(This article belongs to the Section Sensor Networks)
Show Figures

Figure 1

14 pages, 15260 KB  
Article
High-Performance 3D Point Cloud Image Distortion Calibration Filter Based on Decision Tree
by Yao Duan
Photonics 2025, 12(10), 960; https://doi.org/10.3390/photonics12100960 - 28 Sep 2025
Cited by 1 | Viewed by 683
Abstract
Structured Light LiDAR is susceptible to lens scattering and temperature fluctuations, resulting in some level of distortion in the captured point cloud image. To address this problem, this paper proposes a high-performance 3D point cloud Least Mean Square filter based on Decision Tree, [...] Read more.
Structured Light LiDAR is susceptible to lens scattering and temperature fluctuations, resulting in some level of distortion in the captured point cloud image. To address this problem, this paper proposes a high-performance 3D point cloud Least Mean Square filter based on Decision Tree, which is called the D−LMS filter for short. The D−LMS filter is an adaptive filtering compensation algorithm based on decision tree, which can effectively distinguish the signal region from the distorted region, thus optimizing the distortion of the point cloud image and improving the accuracy of the point cloud image. The experimental results clearly demonstrate that our proposed D−LMS filtering algorithm significantly improves accuracy by optimizing distorted areas. Compared with the 3D point cloud least mean square filter based on SVM, the accuracy of the proposed D−LMS filtering algorithm is improved from 86.17% to 92.38%, the training time is reduced by 1317 times and the testing time is reduced by 1208 times. Full article
Show Figures

Figure 1

16 pages, 11422 KB  
Article
Robust Filtered-x LMS Algorithm Based on Adjustable Softsign Framework for Active Impulsive Noise Control
by Pucha Song, Haiquan Zhao, Yingying Zhu, Shaohui Lv and Gang Chen
Symmetry 2025, 17(10), 1592; https://doi.org/10.3390/sym17101592 - 24 Sep 2025
Viewed by 897
Abstract
For active control of impulsive noise, the conventional filtered-x least mean square (FxLMS) algorithm has poor noise reduction performance. To address this issue, this paper designs a robust cost function by embedding the cost function of the FxLMS algorithm into the framework of [...] Read more.
For active control of impulsive noise, the conventional filtered-x least mean square (FxLMS) algorithm has poor noise reduction performance. To address this issue, this paper designs a robust cost function by embedding the cost function of the FxLMS algorithm into the framework of the adjustable Softsign function, thereby designing a robust Softsign-FxLMS (SFxLMS) algorithm for ANC systems. Furthermore, the parameter λ of the SFxLMS algorithm significantly influences its robustness and convergence speed. Therefore, a variable λ-parameter SFxLMS (VSFxLMS) algorithm is designed to improve the performance of the ANC system. Simulation studies indicate that the proposed SFxLMS algorithm and VSFxLMS algorithm exhibit stronger robustness, faster convergence rates, and better tracking performance compared to several robust FxLMS algorithms. Moreover, the symmetric properties of the proposed Softsign function contribute to balanced error suppression in both positive and negative directions, enhancing the robustness and stability of the ANC system under asymmetric impulsive noise conditions. Full article
Show Figures

Figure 1

23 pages, 3843 KB  
Article
Leveraging Reconfigurable Massive MIMO Antenna Arrays for Enhanced Wireless Connectivity in Biomedical IoT Applications
by Sunday Enahoro, Sunday Cookey Ekpo, Yasir Al-Yasir and Mfonobong Uko
Sensors 2025, 25(18), 5709; https://doi.org/10.3390/s25185709 - 12 Sep 2025
Cited by 1 | Viewed by 1688
Abstract
The increasing demand for real-time, energy-efficient, and interference-resilient communication in smart healthcare environments has intensified interest in Biomedical Internet of Things (Bio-IoT) systems. However, ensuring reliable wireless connectivity for wearable and implantable biomedical sensors remains a challenge due to mobility, latency sensitivity, power [...] Read more.
The increasing demand for real-time, energy-efficient, and interference-resilient communication in smart healthcare environments has intensified interest in Biomedical Internet of Things (Bio-IoT) systems. However, ensuring reliable wireless connectivity for wearable and implantable biomedical sensors remains a challenge due to mobility, latency sensitivity, power constraints, and multi-user interference. This paper addresses these issues by proposing a reconfigurable massive multiple-input multiple-output (MIMO) antenna architecture, incorporating hybrid analog–digital beamforming and adaptive signal processing. The methodology combines conventional algorithms—such as Least Mean Square (LMS), Zero-Forcing (ZF), and Minimum Variance Distortionless Response (MVDR)—with a novel mobility-aware beamforming scheme. System-level simulations under realistic channel models (Rayleigh, Rician, 3GPP UMa) evaluate signal-to-interference-plus-noise ratio (SINR), bit error rate (BER), energy efficiency, outage probability, and fairness index across varying user loads and mobility scenarios. Results show that the proposed hybrid beamforming system consistently outperforms benchmarks, achieving up to 35% higher throughput, a 65% reduction in packet drop rate, and sub-10 ms latency even under high-mobility conditions. Beam pattern analysis confirms robust nulling of interference and dynamic lobe steering. This architecture is well-suited for next-generation Bio-IoT deployments in smart hospitals, enabling secure, adaptive, and power-aware connectivity for critical healthcare monitoring applications. Full article
(This article belongs to the Special Issue Challenges and Future Trends in Antenna Technology)
Show Figures

Figure 1

14 pages, 2652 KB  
Article
Optimized Multi-Antenna MRC for 16-QAM Transmission in a Photonics-Aided Millimeter-Wave System
by Rahim Uddin, Weiping Li and Jianjun Yu
Sensors 2025, 25(16), 5010; https://doi.org/10.3390/s25165010 - 13 Aug 2025
Cited by 2 | Viewed by 1520
Abstract
This work presents an 80 Gbps photonics-aided millimeter-wave (mm Wave) wireless communication system employing 16-Quadrature Amplitude Modulation (16-QAM) and a 1 × 2 single-input multiple-output (SIMO) architecture with maximum ratio combining (MRC) to achieve robust 87.5 GHz transmission over 4.6 km. By utilizing [...] Read more.
This work presents an 80 Gbps photonics-aided millimeter-wave (mm Wave) wireless communication system employing 16-Quadrature Amplitude Modulation (16-QAM) and a 1 × 2 single-input multiple-output (SIMO) architecture with maximum ratio combining (MRC) to achieve robust 87.5 GHz transmission over 4.6 km. By utilizing polarization-diverse optical heterodyne generation and spatial diversity reception, the system enhances spectral efficiency while addressing the low signal-to-noise ratio (SNR) and channel distortions inherent in long-haul links. A blind equalization scheme combining the constant modulus algorithm (CMA) and decision-directed least mean squares (DD-LMS) filtering enables rapid convergence and suppresses residual inter-symbol interference, effectively mitigating polarization drift and phase noise. The experimental results demonstrate an SNR gain of approximately 3 dB and a significant bit error rate (BER) reduction with MRC compared to single-antenna reception, along with improved SNR performance in multi-antenna configurations. The synergy of photonic mm Wave generation, adaptive spatial diversity, and pilot-free digital signal processing (DSP) establishes a robust framework for high-capacity wireless fronthaul, overcoming atmospheric attenuation and dynamic impairments. This approach highlights the viability of 16-QAM in next-generation ultra-high-speed networks (6G/7G), balancing high data rates with resilient performance under channel degradation. Full article
Show Figures

Figure 1

17 pages, 4371 KB  
Article
Adaptive Filtered-x Least Mean Square Algorithm to Improve the Performance of Multi-Channel Noise Control Systems
by Maha Yousif Hasan, Ahmed Sabah Alaraji, Amjad J. Humaidi and Huthaifa Al-Khazraji
Math. Comput. Appl. 2025, 30(4), 84; https://doi.org/10.3390/mca30040084 - 5 Aug 2025
Viewed by 2165
Abstract
This paper proposes an optimized control filter (OCF) based on the Filtered-x Least Mean Square (FxLMS) algorithm for multi-channel active noise control (ANC) systems. The proposed OCF-McFxLMS algorithm delivers three key contributions. Firstly, even in difficult noise situations such as White Gaussian, Brownian, [...] Read more.
This paper proposes an optimized control filter (OCF) based on the Filtered-x Least Mean Square (FxLMS) algorithm for multi-channel active noise control (ANC) systems. The proposed OCF-McFxLMS algorithm delivers three key contributions. Firstly, even in difficult noise situations such as White Gaussian, Brownian, and pink noise, it greatly reduces error, reaching nearly zero mean squared error (MSE) values across all Microphone (Mic) channels. Secondly, it improves computational efficiency by drastically reducing execution time from 58.17 s in the standard McFxLMS algorithm to just 0.0436 s under White Gaussian noise, enabling real-time noise control without compromising accuracy. Finally, the OCF-McFxLMS demonstrates robust noise attenuation, achieving signal-to-noise ratio (SNR) values of 137.41 dB under White Gaussian noise and over 100 dB for Brownian and pink noise, consistently outperforming traditional approaches. These contributions collectively establish the OCF-McFxLMS algorithm as an efficient and effective solution for real-time ANC systems, delivering superior noise reduction and computational speed performance across diverse noise environments. Full article
Show Figures

Figure 1

16 pages, 1810 KB  
Article
Insulation Online Monitoring Method for Dry-Type Current Transformers Based on Virtual Voltage
by Junjie Zhang, Yu Peng, Xiaohui Hu, Zhipeng Li, Li Yan, Can Ding and Ruihua Zhao
Energies 2025, 18(13), 3499; https://doi.org/10.3390/en18133499 - 2 Jul 2025
Viewed by 654
Abstract
To improve the accuracy of insulation state online monitoring for capacitive dry-type current transformers (CTs) and to address the limitations of traditional methods relying on potential transformer (PT) voltage signals and reference devices, a virtual voltage-based online monitoring method is proposed. First, the [...] Read more.
To improve the accuracy of insulation state online monitoring for capacitive dry-type current transformers (CTs) and to address the limitations of traditional methods relying on potential transformer (PT) voltage signals and reference devices, a virtual voltage-based online monitoring method is proposed. First, the leakage current is collected through a core-type current transformer on the end-screen grounding line. Combined with group measurement data from surge arresters and dry-type CTs on the same busbar, phase constraints are established, and a least mean square (LMS) algorithm is utilized to iteratively train the virtual voltage reference phase. Subsequently, the resistive current and dielectric loss factor (tan δ) are calculated based on the virtual voltage reference phase to achieve online insulation state monitoring. Simulation results demonstrate that the proposed method can accurately obtain the virtual voltage reference phase and effectively identify the degradation trend of dry-type CTs. Field applications validate the feasibility of the method, with monitoring data fluctuations (±20 μA for the resistive current and ±0.002 for the dielectric loss) meeting engineering requirements. This method eliminates the need for PT signals and reference devices, thus providing a novel approach for the online insulation monitoring of dry-type CTs. Full article
Show Figures

Figure 1

20 pages, 7152 KB  
Article
Design and Hysteresis Compensation of Novel Resistive Angle Sensor Based on Rotary Potentiometer
by Ruiqi Liu, Min Li, Jiahong Zhang and Zhengguo Han
Sensors 2025, 25(13), 4077; https://doi.org/10.3390/s25134077 - 30 Jun 2025
Cited by 2 | Viewed by 1250
Abstract
Resistive angle sensors are widely used due to their simple signal conditioning circuits and high cost-effectiveness. This paper presents a resistive angle sensor based on a rotary potentiometer, designed to offer a measurement range of 180° for low-cost angle measurement in industrial automation [...] Read more.
Resistive angle sensors are widely used due to their simple signal conditioning circuits and high cost-effectiveness. This paper presents a resistive angle sensor based on a rotary potentiometer, designed to offer a measurement range of 180° for low-cost angle measurement in industrial automation and electromagnetic interference (EMI)-sensitive applications. The sensor features a specially designed signal conditioning circuit and mechanical housing. Experimental results show that it exhibits excellent linearity and temperature stability over a wide temperature range of −20 °C to 60 °C, with a zero-temperature drift of approximately 0.004°/°C. For the nonlinearity and hysteresis caused by unavoidable friction and manufacturing tolerances between the transmission mechanism and rotary potentiometer, an adaptive linear neuron (ADALINE) technique based on the α-least mean square (α-LMS) algorithm was implemented for software compensation. The results show that the percentage nonlinearity error was reduced from the original 4.413% to 0.182%, and the percentage hysteresis error was decreased from the original 4.061% to 0.404%. The research results of this paper offer valuable insight for high-precision resistive angle sensors. Full article
(This article belongs to the Section Sensors Development)
Show Figures

Figure 1

22 pages, 6192 KB  
Article
Advanced DFE, MLD, and RDE Equalization Techniques for Enhanced 5G mm-Wave A-RoF Performance at 60 GHz
by Umar Farooq and Amalia Miliou
Photonics 2025, 12(5), 496; https://doi.org/10.3390/photonics12050496 - 16 May 2025
Cited by 1 | Viewed by 2010
Abstract
This article presents the decision feedback equalizer (DFE), the maximum likelihood detection (MLD), and the radius-directed equalization (RDE) algorithms designed in MATLAB-R2018a to equalize the received signal in a dispersive optical link up to 120 km. DFE is essential for improving signal quality [...] Read more.
This article presents the decision feedback equalizer (DFE), the maximum likelihood detection (MLD), and the radius-directed equalization (RDE) algorithms designed in MATLAB-R2018a to equalize the received signal in a dispersive optical link up to 120 km. DFE is essential for improving signal quality in several communication systems, including WiFi networks, cable modems, and long-term evolution (LTE) systems. Its capacity to mitigate inter-symbol interference (ISI) and rapidly adjust to channel variations renders it a flexible option for high-speed data transfer and wireless communications. Conversely, MLD is utilized in applications that require great precision and dependability, including multi-input–multi-output (MIMO) systems, satellite communications, and radar technology. The ability of MLD to optimize the probability of accurate symbol detection in complex, high-dimensional environments renders it crucial for systems where signal integrity and precision are critical. Lastly, RDE is implemented as an alternative algorithm to the CMA-based equalizer, utilizing the idea of adjusting the amplitude of the received distorted symbol so that its modulus is closer to the ideal value for that symbol. The algorithms are tested using a converged 5G mm-wave analog radio-over-fiber (A-RoF) system at 60 GHz. Their performance is measured regarding error vector magnitude (EVM) values before and after equalization for different optical fiber lengths and modulation formats (QPSK, 16-QAM, 64-QAM, and 128-QAM) and shows a clear performance improvement of the output signal. Moreover, the performance of the proposed algorithms is compared to three commonly used algorithms: the simple least mean square (LMS) algorithm, the constant modulus algorithm (CMA), and the adaptive median filtering (AMF), demonstrating superior results in both QPSK and 16-QAM and extending the transmission distance up to 120 km. DFE has a significant advantage over LMS and AMF in reducing the inter-symbol interference (ISI) in a dispersive channel by using previous decision feedback, resulting in quicker convergence and more precise equalization. MLD, on the other hand, is highly effective in improving detection accuracy by taking into account the probability of various symbol sequences achieving lower error rates and enhancing performance in advanced modulation schemes. RDE performs best for QPSK and 16-QAM constellations among all the other algorithms. Furthermore, DFE and MLD are particularly suitable for higher-order modulation formats like 64-QAM and 128-QAM, where accurate equalization and error detection are of utmost importance. The enhanced functionalities of DFE, RDE, and MLD in managing greater modulation orders and expanding transmission range highlight their efficacy in improving the performance and dependability of our system. Full article
(This article belongs to the Section Optical Communication and Network)
Show Figures

Figure 1

Back to TopTop