Sign in to use this feature.

Years

Between: -

Subjects

remove_circle_outline
remove_circle_outline
remove_circle_outline
remove_circle_outline
remove_circle_outline
remove_circle_outline
remove_circle_outline
remove_circle_outline
remove_circle_outline

Journals

remove_circle_outline
remove_circle_outline
remove_circle_outline
remove_circle_outline
remove_circle_outline
remove_circle_outline

Article Types

Countries / Regions

remove_circle_outline
remove_circle_outline
remove_circle_outline
remove_circle_outline

Search Results (466)

Search Parameters:
Keywords = layout scheme

Order results
Result details
Results per page
Select all
Export citation of selected articles as:
33 pages, 3892 KB  
Article
An Enhanced MOPSO Method for Distributed Radar Topology Optimization
by Lin Cao, Shengwu Qi, Zongmin Zhao, Chong Fu and Dongfeng Wang
Sensors 2026, 26(5), 1587; https://doi.org/10.3390/s26051587 - 3 Mar 2026
Abstract
Time difference of arrival (TDOA) localization enables high-accuracy positioning by analyzing arrival-time differences of target signals at distributed radar nodes, whose performance strongly depends on radar node topology. However, existing studies tend to focus more on improving localization accuracy, while overlooking the impact [...] Read more.
Time difference of arrival (TDOA) localization enables high-accuracy positioning by analyzing arrival-time differences of target signals at distributed radar nodes, whose performance strongly depends on radar node topology. However, existing studies tend to focus more on improving localization accuracy, while overlooking the impact of radar geometric layout and surveillance coverage on localization performance. To this end, this paper proposes a topology optimization method for a distributed radar system based on an improved non-dominated sorting multi-objective particle swarm optimization (NS-MOPSO) algorithm. A geometric localization model is developed for a distributed TDOA radar system. Based on this model, three optimization objectives are formulated, including minimizing geometric dilution of precision (GDOP), maximizing target coverage, and improving the geometric balance of node placement. These three objective functions are incorporated into the NS-MOPSO framework to achieve a more reasonable radar geometric distribution. To enhance the optimization performance, a series of strategies are adopted, such as non-dominated sorting for Pareto-based solution selection, an improved crowding-distance scheme to encourage balanced multi-objective optimization, and Gaussian mutation to increase solution diversity and reduce the risk of premature convergence. To validate the proposed method, both simulation studies and real-world experiments were conducted under different node deployment scenarios. The results show that the optimized topology achieves a 6.4% reduction in RMSPE and a 4.3% increase in the proportion of high-quality localization regions compared with the best-performing comparative method, while also demonstrating faster convergence and improved stability. These findings confirm the effectiveness and robustness of the proposed approach in enhancing localization accuracy, expanding effective coverage, and improving overall system performance. Full article
(This article belongs to the Section Radar Sensors)
Show Figures

Figure 1

15 pages, 6065 KB  
Article
Numerical Simulation Investigating the Creep Behavior of Jointed Rock Masses Incorporating Variable Shear Stiffness
by Dong Zhou, Wenjie Zhang, Liuqun Dong, Peng Ying and Bhuyan Muhammad Hussain
Buildings 2026, 16(5), 977; https://doi.org/10.3390/buildings16050977 - 2 Mar 2026
Viewed by 170
Abstract
This study investigates the mechanical behavior of jointed rock mass tunnels through numerical simulations using UDEC software. Focusing on the time-dependent variation in joint shear stiffness, a theoretical model is proposed to characterize the evolution of shear stiffness over time. Based on this [...] Read more.
This study investigates the mechanical behavior of jointed rock mass tunnels through numerical simulations using UDEC software. Focusing on the time-dependent variation in joint shear stiffness, a theoretical model is proposed to characterize the evolution of shear stiffness over time. Based on this model, numerical simulations are conducted to analyze tunnel stability and associated deformation patterns. A variable shear stiffness model is first established in UDEC, which effectively captures the evolution of shear creep displacement along rock joints. Incorporating this model, an adaptive support scheme involving locally extended rock bolts is introduced to improve long-term tunnel stability. The proposed approach is further validated through a comparative analysis with field monitoring data obtained from a tunnel in Yunnan Province. The results indicate that creep effects significantly influence tunnel behavior, leading to rapid increases in crown settlement and expansion of the surrounding rock disturbance zone during the early stages following excavation. Optimizing the bolt layout is shown to effectively reduce the extent of the disturbed zone and enhance the tunnel’s load-bearing capacity. Finally, a novel reinforcement optimization method for jointed rock mass tunnels is proposed, along with a key threshold value for assessing tunnel stability, thereby providing theoretical support for practical engineering applications. Full article
Show Figures

Figure 1

36 pages, 8294 KB  
Article
Case Study on Enhancing Cultivated Land Use Resilience Through Spatial Layout Optimization in Northern Guangdong, China
by Ziyuan Qiao, Lesong Zhao, Guangsheng Liu, Hongmei Wang, Guoqing Chen and Dingjie Lan
Agriculture 2026, 16(5), 553; https://doi.org/10.3390/agriculture16050553 - 28 Feb 2026
Viewed by 180
Abstract
Cultivated land spatial layout optimization is of great significance for enhancing comprehensive agricultural productivity and safeguarding food security. However, existing studies primarily focus on production suitability as the optimization objective, while rarely incorporating improvements in cultivated land use resilience and stable use as [...] Read more.
Cultivated land spatial layout optimization is of great significance for enhancing comprehensive agricultural productivity and safeguarding food security. However, existing studies primarily focus on production suitability as the optimization objective, while rarely incorporating improvements in cultivated land use resilience and stable use as explicit objectives, which may leave optimized layouts difficult to sustain. To fill this gap, this study takes Meizhou City as a case and conceptualizes cultivated land use resilience under non-grain conversion of the agricultural production structure as a key proxy for stable use. Based on 2019 data, a resistance–reconversion capacity assessment framework is developed, and a 2035-oriented cultivated land layout is generated under a transfer-in–transfer-out area-balance constraint by integrating XGBoost–PVI, the InVEST model, and particle swarm optimization (PSO). The optimized configuration is evaluated using a 2019–2024 observation window. The results show that, after optimization, the mean and minimum cultivated land use resilience increase by 1.72% and 15.16%, respectively, and the share of cultivated land in medium-to-high resilience classes rises by approximately 11.06%. Validation further indicates that parcels selected for transfer-out and transfer-in in the optimized scheme are more likely to undergo transfer-out and restoration in practice. Incorporating cultivated land use resilience into multi-objective layout optimization can simultaneously enhance stable-use potential and spatial integration efficiency, providing decision support for cultivated land layout optimization and sustainable use. Full article
(This article belongs to the Section Agricultural Economics, Policies and Rural Management)
Show Figures

Figure 1

31 pages, 4789 KB  
Article
Multi-Objective Optimization of Production Sequence and Layout of Precast Concrete Components on the Mold Table Under Limited Mold Quantity
by Junyong Liang, Yong Liu, Xiaotao Sun, Wenxiang Xu and Baigang Du
Buildings 2026, 16(5), 951; https://doi.org/10.3390/buildings16050951 - 28 Feb 2026
Viewed by 81
Abstract
Precast concrete components, as one of the important structural systems in prefabricated buildings, have received widespread attention due to their efficient manufacturing characteristics on the production line. Their production sequence and layout on the mold table have a crucial impact on production energy [...] Read more.
Precast concrete components, as one of the important structural systems in prefabricated buildings, have received widespread attention due to their efficient manufacturing characteristics on the production line. Their production sequence and layout on the mold table have a crucial impact on production energy consumption. However, a critical constraint is often overlooked in the first step of precast concrete manufacturing: the production sequence and layout of molds are planned without considering the limited availability of molds for each component type. Therefore, this article proposes a mixed-integer programming model for the production sequence and layout of precast concrete components under a limited number of molds, aiming to simultaneously minimize production energy consumption, fluctuation coefficients of mold table utilization, and mold switching time. To obtain high-quality solutions for production sequence and mold layout, a multi-objective genetic flatworm algorithm with a Tabu mapping mechanism is developed to efficiently determine the production sequence and the positions of molds on the mold tables. Through three production cases of precast concrete components with different scales, the proposed model and algorithm have been demonstrated to be highly effective in assisting decision-makers in quickly formulating the optimal production sequence and layout schemes for precast concrete components. Full article
(This article belongs to the Section Construction Management, and Computers & Digitization)
Show Figures

Figure 1

13 pages, 4238 KB  
Article
An Analog-Inspired Secure 2.4 GHz FSK Transmitter Front-End with Embedded Calibration in 22 nm FDSOI CMOS
by Yu Qi, Hossein Yaghobi and Hossein Miri Lavasani
J. Low Power Electron. Appl. 2026, 16(1), 10; https://doi.org/10.3390/jlpea16010010 - 27 Feb 2026
Viewed by 141
Abstract
This paper presents a secure 2.4 GHz frequency shift keying (FSK) transmitter front-end with minimal overhead on the data stream using analog obfuscation techniques applied to the modulated waveform. An off-chip true random number generator (TRNG) unit is used to generate the required [...] Read more.
This paper presents a secure 2.4 GHz frequency shift keying (FSK) transmitter front-end with minimal overhead on the data stream using analog obfuscation techniques applied to the modulated waveform. An off-chip true random number generator (TRNG) unit is used to generate the required key for the encryption. Moving away from traditional FSK schemes, which benefit from constant local oscillator (LO) frequency within the channel, the proposed secure FSK scheme shifts the LO frequency in very small steps using an innovative capacitor-bank structure with a calibrated digitally controlled oscillator (DCO). The proposed capacitor bank uses a combination of parallel switches and series capacitors to minimize the impact of the layout parasitics on the minimum capacitor in the bank, thereby reliably creating sub-fF unit capacitors. When combined with the proposed capacitor bank, the cross-coupled CMOS LC voltage-controlled oscillator (VCO) forms a digitally controlled oscillator (DCO). The post-layout simulation results of the DCO reveal that the proposed scheme can achieve a resolution of <20 kHz for the LO frequency shifting while maintaining the phase-noise performance. The reported phase shift allows an equivalent entropy > 6 bits in the implemented analog-inspired secure transmitter front-end. Full article
(This article belongs to the Topic Advanced Integrated Circuit Design and Application)
Show Figures

Figure 1

32 pages, 3513 KB  
Article
Evaluation of Multi-Branch River Hub Layout Schemes Based on Dynamic Weight-Cloud Model: A Case Study of the Ganjiang River
by Xianfeng Huang, Xiaoxi Guo, Fagen Weng, Zhihua Yang and Yang Xie
Sustainability 2026, 18(5), 2274; https://doi.org/10.3390/su18052274 - 26 Feb 2026
Viewed by 170
Abstract
Optimizing layout schemes for multi-branch river hubs is complex due to the need to balance conflicting goals—safety, ecology, and economy—under significant uncertainty. To address these challenges, this study proposes a comprehensive evaluation method integrating a dynamic weighting mechanism and a two-dimensional cloud model. [...] Read more.
Optimizing layout schemes for multi-branch river hubs is complex due to the need to balance conflicting goals—safety, ecology, and economy—under significant uncertainty. To address these challenges, this study proposes a comprehensive evaluation method integrating a dynamic weighting mechanism and a two-dimensional cloud model. First, we constructed an evaluation index system covering engineering safety and benefits. A multi-agent game theory approach was employed for combination weighting to reconcile the diverse interests of government, environmental, and community agents. Furthermore, a dynamic mechanism was introduced to adjust indicator importance across three key stages: dam site selection, hub layout, and detail optimization. Subsequently, the schemes’ uncertainty and risk status were quantified using a two-dimensional cloud model within a “probability-loss” framework. The methodology was validated using the Ganjiang River Hub Project. The results demonstrate that the method effectively captures the evolutionary path of decision-making priorities, transitioning from “safety-first” in early stages to “benefit-maximization” later. This study provides robust, stage-aware, and visual decision support for complex hydraulic engineering layouts, ensuring a scientific trade-off between risk control and comprehensive benefits. Full article
Show Figures

Figure 1

30 pages, 12256 KB  
Article
Entropy Production Analysis and Fluid–Structure Refinement of a Stepless Stratified Intake
by Jiahuan Qi, Ke Liu, Xingen Wang, Jianping Zhao and Jun Li
Entropy 2026, 28(3), 256; https://doi.org/10.3390/e28030256 - 26 Feb 2026
Viewed by 115
Abstract
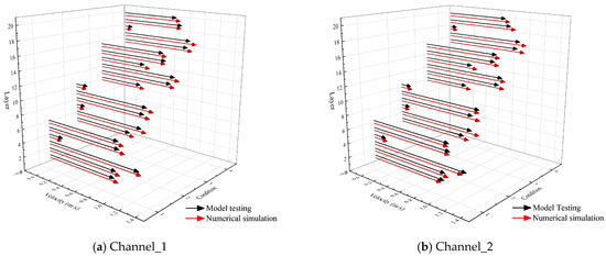
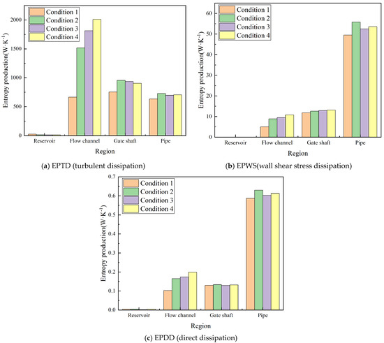
Thermal stratification in deep reservoirs can cause ecologically problematic cold-water releases, and many existing selective-withdrawal phenomena rely on a limited set of fixed intake levels, which constrains their ability to follow seasonal shifts in the thermocline. Stepless stratified intakes with continuously adjustable flap [...] Read more.
Thermal stratification in deep reservoirs can cause ecologically problematic cold-water releases, and many existing selective-withdrawal phenomena rely on a limited set of fixed intake levels, which constrains their ability to follow seasonal shifts in the thermocline. Stepless stratified intakes with continuously adjustable flap gates offer quasi-continuous control of withdrawal depth, but their multi-gate, multi-brace layouts generate complex internal hydraulics whose energy-loss mechanisms are not well captured by conventional head-loss and resistance-coefficient metrics. In this study, physical-model measurements are combined with a validated three-dimensional numerical model, and entropy-production theory is used as a diagnostic to resolve where and by which mechanisms mechanical energy is irreversibly degraded inside a single-unit stepless stratified intake. The analysis shows that turbulent entropy production accounts for more than 98% of total dissipation, concentrated mainly in the flow channel and gate shaft, while the reservoir and outlet pipe contribute only weakly. Local entropy-production-rate fields indicate that dominant irreversibilities are associated with flow turning at the active gate leaves and with separation and wake development around horizontal and vertical braces, which generate low-velocity bands across gate levels and a low-velocity corridor in the shaft. Five geometric modification schemes targeting gate-entrance shaping and brace layout are evaluated; a combined brace-alignment and edge-rounding configuration most effectively weakens dissipation hotspots, improves discharge sharing among gate levels and reduces total entropy production. These findings show that entropy-based diagnostics can complement traditional hydraulic indicators and provide effective guidance for the design and refinement of stepless stratified intake structures. Full article
(This article belongs to the Special Issue Advances in Entropy and Computational Fluid Dynamics, 2nd Edition)
Show Figures

Figure 1

16 pages, 5779 KB  
Article
Investigation into the Materials and Methods for the Prevention and Control of Carbon Monoxide During Underground Coal Mine Blasting
by Jialiang Feng, Xinlei Jia, Yashengnan Sun, Shuanghu He, Lifeng Sun and Xiaogang Zhang
Catalysts 2026, 16(2), 189; https://doi.org/10.3390/catal16020189 - 17 Feb 2026
Viewed by 357
Abstract
Constrained by the layout and air volume of coal mine ventilation systems, the efficiency of diluting CO through ventilation during excavation blasting is relatively low, rendering it difficult to reduce or eliminate CO at the source. Based on the precipitation method, this study [...] Read more.
Constrained by the layout and air volume of coal mine ventilation systems, the efficiency of diluting CO through ventilation during excavation blasting is relatively low, rendering it difficult to reduce or eliminate CO at the source. Based on the precipitation method, this study developed a copper–manganese–tin (Cu-Mn-Sn) catalyst. The elimination performance of the water-resistant Cu-Mn-Sn catalyst was quantitatively characterized in terms of catalytic activity and instantaneous reaction rate. Moreover, an in situ CO elimination method for blasting at excavation faces was proposed. Based on the segmented integrated blasting hole structure design, a catalyst cartridge for CO elimination in blasting holes was developed. Field tests were conducted at the Xinbai Coal Mine of Huating Coal Industry Group in China, and the influences of the weight and arrangement mode of the catalyst cartridge on CO elimination efficiency were investigated. The experimental results demonstrate that when the mass of the catalyst cartridge is 35 g and the “dual-end charge” structure is employed, a CO elimination efficiency of 51.5% can be achieved, offering a practical and feasible active prevention and control scheme as well as a theoretical paradigm for CO control in coal mine excavation blasting. Full article
Show Figures

Graphical abstract

25 pages, 5494 KB  
Article
Multi-Objective Optimization of In-Pit Crushing and Conveying Systems Considering Slope Stability: A Case Study of the Beskuduk Coal Mine
by Fenghu Ma, Haodong Wang, Jixiong Zhang, Nan Zhou, Xinying Li and Qian Chen
Appl. Sci. 2026, 16(4), 1971; https://doi.org/10.3390/app16041971 - 16 Feb 2026
Viewed by 173
Abstract
Due to the occurrence of inclined coal seams and the formation of weak layers in the floor of the Beeskuduk open-pit coal mine, this study focuses on the multi-objective optimization of crusher station relocation and belt conveyor layout. In terms of research methodology, [...] Read more.
Due to the occurrence of inclined coal seams and the formation of weak layers in the floor of the Beeskuduk open-pit coal mine, this study focuses on the multi-objective optimization of crusher station relocation and belt conveyor layout. In terms of research methodology, the relocation cost compensation method and the minimum cost method were used to establish a crusher station relocation model. The reduction method in FLAC3D was employed to conduct the numerical simulation, and a comprehensive three-dimensional evaluation framework based on “Technological feasibility, safety performance, and economic efficiency” was established. The Analytic Hierarchy Process (AHP) was employed to determine the weights of each indicator, and the multi-objective Pareto optimization was achieved by integrating the Technique for Order Preference by Similarity to Ideal Solution (TOPSIS). The results show that the optimal relocation step distance of the crushing station is 880 m and the optimal relocation site is at the +1120 level. For the belt conveyor, Scheme 2 is preferred, which involves elevating the conveyor from the +1115 level to the +1308 level. The safety and stability coefficient of Scheme 2 reaches 1.758, which is 8.3% and 1.4% higher than that of Scheme 1 and Scheme 3. Moreover, the TOPSIS closeness degree of Scheme 2 reaches 0.892, making it the Pareto optimal solution. This research provides a scientific framework for the optimization of the in-pit crushing and conveying (IPCC) system in open-pit mines under complex geological conditions, offering valuable insights for the efficient and safe mining of similar inclined coal seams in open-pit mines. Full article
(This article belongs to the Section Civil Engineering)
Show Figures

Figure 1

45 pages, 7369 KB  
Article
Construction and Empirical Study of an Evaluation System for Village Planning Implementation Effectiveness Control in Sichuan Province, China
by Zhen Zeng, Chuangli Jing, Kuan Song, Mingzhe Wu, Zhaoguo Wang, Guochao Li, Yibo Bao and Yi Chen
Sustainability 2026, 18(4), 2010; https://doi.org/10.3390/su18042010 - 15 Feb 2026
Viewed by 166
Abstract
In practice, village planning often suffers from an “emphasis on plan preparation but neglect of implementation”, a challenge that is especially evident in Sichuan Province, China, where highly diverse landforms and uneven development foundations make one-size-fits-all evaluation approaches difficult to apply. This study [...] Read more.
In practice, village planning often suffers from an “emphasis on plan preparation but neglect of implementation”, a challenge that is especially evident in Sichuan Province, China, where highly diverse landforms and uneven development foundations make one-size-fits-all evaluation approaches difficult to apply. This study aims to develop a locally adaptable and operational method to quantify village planning implementation effectiveness control, enabling cross-type comparison and bottleneck diagnosis. We construct a three-level indicator system spanning eight domains—baseline control, land-use layout and construction, ecological protection and restoration, industrial development, infrastructure, public service facilities, living environment, and disaster prevention and mitigation—and determine indicator weights using the Analytic Hierarchy Process (AHP). To capture both compliance and progress, a dual-path scoring strategy is employed: constraint-based indicators are assessed using a threshold method by comparing current values (T1) with planning standards/thresholds (T2), while expectation-based indicators adopt a progress-ratio method incorporating baseline values before plan preparation (T0), current status (T1), and targets (T2). Three representative villages—Gaohuai (peri-urban integration), Sanlongchang (agglomeration and upgrading), and Lianmeng (characteristic protection)—are examined. Results show medium-to-high comprehensive scores (81–85) with pronounced type differences: Gaohuai ranks highest (85.37), whereas Sanlongchang is lowest (81.40), and Lianmeng is intermediate (83.71). Comparative diagnosis reveals shared bottlenecks driven by the superposition of “quota–space–ecological constraints”, alongside type-specific weaknesses requiring differentiated control strategies. The proposed framework offers a replicable, multi-source-data-oriented tool for implementation monitoring and adaptive policy adjustment. The novelty lies in reframing village plan implementation evaluation as implementation control effectiveness under a baseline-constrained planning system, while operationalizing a dual-path, unified-scale scoring scheme with a type-screenable indicator library for cross-type comparison and checklist-oriented diagnosis. Full article
Show Figures

Figure 1

21 pages, 7758 KB  
Article
Comparative Selection of Staggered Jacking Schemes for a Large-Span Double-Layer Space Frame: A Case Study of the Han Culture Museum Grand Hall
by Xiangwei Zhang, Zheng Yang, Jianbo Ren, Yanchao Yue, Yuanyuan Dong, Jiaguo Zhang, Haibin Guan, Chenlu Liu, Li Cui and Jianjun Ma
Buildings 2026, 16(4), 791; https://doi.org/10.3390/buildings16040791 - 14 Feb 2026
Viewed by 231
Abstract
Focusing on the construction of a 58-m-diameter double-layer steel space frame dome at the Han Culture Museum Assembly Hall, this study addresses scheme selection and safety control challenges in staggered jacking of large-span spatial structures. A three-dimensional finite element model in MIDAS Gen [...] Read more.
Focusing on the construction of a 58-m-diameter double-layer steel space frame dome at the Han Culture Museum Assembly Hall, this study addresses scheme selection and safety control challenges in staggered jacking of large-span spatial structures. A three-dimensional finite element model in MIDAS Gen simulated the three-stage jacking process to compare three temporary support layouts. Numerical evaluation metrics included maximum vertical displacements, peak internal forces, the proportion of members undergoing stress state transitions, and spatio-temporal evolution of stress concentrations. Scheme B demonstrated superior performance, reducing peak vertical displacement by 44% under critical conditions, lowering peak stresses, and enabling more uniform internal force redistribution—effectively mitigating tension–compression cycling and buckling risks. Crucially, only nodal displacements and support elevations were monitored in situ using a 3D system based on magnetic prisms and total stations; no strain or force measurements were conducted due to practical constraints during construction. Monitoring data show good agreement with simulated displacements and support elevations under Scheme B, validating the model’s deformation response. However, localized deviations—including a 29 mm deflection discrepancy and elevation errors up to 28 mm—reveal the influence of uneven boundary conditions, with potential implications for long-term structural behavior. The findings confirm that numerical predictions of deformation are reliable, while internal forces remain unvalidated by field data. The integrated approach of “scheme comparison–construction simulation–full-process displacement monitoring” proves effective for safety control and decision-making in complex jacking operations, offering a transferable framework for similar large-span double-layer space frame projects. Full article
(This article belongs to the Section Building Structures)
Show Figures

Figure 1

17 pages, 43279 KB  
Article
Comparative Analysis of Hybrid Bearing Layouts for Seismic Enhancement of Simply-Supported-to-Continuous Bridges
by Shuang Gong, Junjin Li, Zegang Song, Peiqi He and Ruogu Wang
Buildings 2026, 16(3), 664; https://doi.org/10.3390/buildings16030664 - 5 Feb 2026
Viewed by 249
Abstract
Seismic design for multi-span simply supported to continuous (SSC) bridges is complicated by the vulnerability of continuity joints and the interaction between substructure stiffness and superstructure dynamics. Although Lead Rubber Bearings (LRB) are standard in current practice, the optimization of their spatial layout [...] Read more.
Seismic design for multi-span simply supported to continuous (SSC) bridges is complicated by the vulnerability of continuity joints and the interaction between substructure stiffness and superstructure dynamics. Although Lead Rubber Bearings (LRB) are standard in current practice, the optimization of their spatial layout to balance displacement demands against force mitigation is often overlooked. This study evaluates the efficacy of hybrid bearing configurations that integrate LRBs with sliding bearings on the same pier. Using a 3D finite element model of a representative five-span prestressed concrete box girder bridge, 20 distinct layout schemes utilizing five different types of LRBs were systematically evaluated under El-Centro ground motions. Results show that a hybrid bearing configuration outperforms uniform isolation strategies. The fundamental efficacy of the proposed hybrid layout configuration is rooted in the establishment of a spatial stiffness gradient. This configuration concentrates hysteretic energy dissipation centrally while releasing transverse edge constraints. This also results in a higher seismic reduction rate for the transverse pier bottom bending moment compared to the longitudinal direction in the same pier. Compared to the non-isolated baseline, this hybrid scheme achieved a maximum reduction of 67.4% and 90.0% in longitudinal and transverse pier bottom bending moments, respectively. Main girder displacements, while increased by isolation, remained strictly within safe serviceability limits (peak 174.8 mm). This study provides a cost-effective optimization strategy for the seismic resilience design of SSC bridges. Full article
Show Figures

Figure 1

26 pages, 4166 KB  
Article
FP-MAE: A Self-Supervised Model for Floorplan Generation with Incomplete Inputs
by Jing Zhong, Ran Luo, Peilin Li, Tianrui Li, Pengyu Zeng, Zhifeng Lei, Tianjing Feng and Jun Yin
Buildings 2026, 16(3), 558; https://doi.org/10.3390/buildings16030558 - 29 Jan 2026
Viewed by 341
Abstract
Floor plans are a central representational component of architectural design, operating in close relation to sections, elevations, and three-dimensional reasoning to support the production and understanding of architectural space. In this context, we address the bounded computational task of completing incomplete floor plan [...] Read more.
Floor plans are a central representational component of architectural design, operating in close relation to sections, elevations, and three-dimensional reasoning to support the production and understanding of architectural space. In this context, we address the bounded computational task of completing incomplete floor plan representations as a form of early-stage design assistance, rather than treating the floor plan as an isolated architectural object. Within this workflow, being able to automatically complete a floor plan from an unfinished draft is highly valuable because it allows architects to generate preliminary schemes more quickly, streamline early discussions, and reduce the repetitive workload involved in revisions. To meet this need, we present FP-MAE, a self-supervised learning framework designed for floor plan completion. This study proposes three core contributions: (1) We developed FloorplanNet, a dedicated dataset that includes 8000 floorplans consisting of both schematic line drawings and color-coded plans, providing diverse yet consistent examples of residential layouts. (2) On top of this dataset, FP-MAE applies the Masked Autoencoder (MAE) strategy. By deliberately masking sections of a plan and using a lightweight Vision Transformer (ViT) to reconstruct the missing regions, the model learns to capture the global structural patterns of floor plans from limited local information. (3) We evaluated FP-MAE across multiple masking scenarios and compared its performance with state-of-the-art baselines. Beyond controlled experiments, we also tested the model on real sketches produced during the early stages of design projects, which demonstrated its robustness under practical conditions. The results show that FP-MAE can produce complete plans that are both accurate and functionally coherent, even when starting from highly incomplete inputs. FP-MAE is a practical and scalable solution for automated floor plan generation. It can be integrated into design software as a supportive tool to speed up concept development and option exploration, and it also points toward broader opportunities for applying AI in architectural automation. While the current framework operates on two-dimensional plan representations, future extensions may integrate multi-view information such as sections or three-dimensional models to better reflect the relational nature of architectural design representations. Full article
(This article belongs to the Special Issue Artificial Intelligence in Architecture and Interior Design)
Show Figures

Graphical abstract

37 pages, 6097 KB  
Article
A Modular ROS–MARL Framework for Cooperative Multi-Robot Task Allocation in Construction Digital Environments
by Xinghui Xu, Samuel A. Prieto and Borja García de Soto
Buildings 2026, 16(3), 539; https://doi.org/10.3390/buildings16030539 - 28 Jan 2026
Viewed by 465
Abstract
The deployment of autonomous robots in construction remains constrained by the complexity and variability of real-world environments. Conventional programming and single-agent approaches lack the adaptability required for dynamic multi-robot operating conditions, underscoring the need for cooperative, learning-based systems. This paper presents an ROS-based [...] Read more.
The deployment of autonomous robots in construction remains constrained by the complexity and variability of real-world environments. Conventional programming and single-agent approaches lack the adaptability required for dynamic multi-robot operating conditions, underscoring the need for cooperative, learning-based systems. This paper presents an ROS-based modular framework that integrates Multi-Agent Reinforcement Learning (MARL) into a generic 2D simulation and execution pipeline for cooperative mobile robots in construction-oriented digital environments to enable adaptive task allocation and coordinated execution without predefined datasets or manual scheduling. The framework adopts a centralized-training, decentralized-execution (CTDE) scheme based on Multi-Agent Proximal Policy Optimization (MAPPO) and decomposes the system into interchangeable modules for environment modelling, task representation, robot interfaces, and learning, allowing different layouts, task sets, and robot models to be instantiated without redesigning the core architecture. Validation through an ROS-based 2D simulation and real-world experiments using TurtleBot3 robots demonstrated effective task scheduling, adaptive navigation, and cooperative behavior under uncertainty. In simulation, the learned MAPPO policy is benchmarked against non-learning baselines for multi-robot task allocation, and in real-robot experiments, the same policy is evaluated to quantify and discuss the performance gap between simulated and physical execution. Rather than presenting a complete construction-site deployment, this first study focuses on proposing and validating a reusable MARL–ROS framework and digital testbed for multi-robot task allocation in construction-oriented digital environments. The results show that the framework supports effective cooperative task scheduling, adaptive navigation, and logic-consistent behavior, while highlighting practical issues that arise in sim-to-real transfer. Overall, the framework provides a reusable digital foundation and benchmark for studying adaptive and cooperative multi-robot systems in construction-related planning and management contexts. Full article
(This article belongs to the Special Issue Robotics, Automation and Digitization in Construction)
Show Figures

Figure 1

14 pages, 1019 KB  
Article
Research on Fire Performance Evaluation of Fire Protection Renovation for Existing Public Buildings Based on Bayesian Network
by Xinxin Zhou, Feng Yan, Jinhan Lu, Kunqi Liu and Yufei Zhao
Fire 2026, 9(2), 58; https://doi.org/10.3390/fire9020058 - 27 Jan 2026
Viewed by 494
Abstract
To improve the fire safety performance of fire protection renovation projects for existing public buildings, this paper systematically sorts out and analyzes relevant research studies, accident reports, and fire protection renovation codes and guidelines. It constructs a fire performance evaluation system for such [...] Read more.
To improve the fire safety performance of fire protection renovation projects for existing public buildings, this paper systematically sorts out and analyzes relevant research studies, accident reports, and fire protection renovation codes and guidelines. It constructs a fire performance evaluation system for such projects, including 4 first-level indicators—”Building Characteristics”, “Building Fire Protection and Rescue”, “Fire Facilities and Equipment”, and “Heating, Ventilation, Air Conditioning (HVAC) and Electrical Systems”—and 19 second-level indicators such as “Building Usage Function”. The subjective–objective combined weighting method of Analytic Hierarchy Process (AHP)-CRITIC is adopted to determine the weights of indicators at all levels. Four high-weight second-level indicators are selected as core remediation objects: average fire load density, floor layout, automatic fire alarm and linkage control system, and electrical systems. Meanwhile, the evaluation system is converted into a Bayesian Network model, with an empirical verification analysis carried out on a shopping mall in Chaoyang District, Beijing, as a case study. Results show that the approach of combining partial codes with the rectification of high-weight indicators can reduce the fire occurrence probability of the mall from 78%, before renovation, to 24%. Therefore, the constructed evaluation system and Bayesian Network model can realize the accurate quantification of fire risks, provide scientific and feasible technical schemes for the fire protection renovation of existing public buildings, and lay a foundation for enriching and improving fire protection assessment theories. Full article
(This article belongs to the Special Issue Fire and Explosion Safety with Risk Assessment and Early Warning)
Show Figures

Figure 1

Back to TopTop