Sign in to use this feature.

Years

Between: -

Subjects

remove_circle_outline
remove_circle_outline
remove_circle_outline
remove_circle_outline
remove_circle_outline
remove_circle_outline
remove_circle_outline
remove_circle_outline
remove_circle_outline

Journals

remove_circle_outline
remove_circle_outline
remove_circle_outline
remove_circle_outline
remove_circle_outline
remove_circle_outline
remove_circle_outline
remove_circle_outline
remove_circle_outline
remove_circle_outline

Article Types

Countries / Regions

remove_circle_outline
remove_circle_outline
remove_circle_outline
remove_circle_outline

Search Results (485)

Search Parameters:
Keywords = law of large number

Order results
Result details
Results per page
Select all
Export citation of selected articles as:
17 pages, 1559 KB  
Article
Interference-Driven Scaling Variability in Burst-Based Loopless Invasion Percolation Models of Induced Seismicity
by Ian Baughman and John B. Rundle
Analytics 2026, 5(1), 6; https://doi.org/10.3390/analytics5010006 - 6 Jan 2026
Viewed by 60
Abstract
Many fluid-injection sequences display burst-like seismicity with approximate power-law event-size distributions whose exponents drift between catalogs. Classical percolation models instead predict fixed, dimension-dependent exponents and do not specify which geometric mechanisms could underlie such b-value variability. We address this gap using two [...] Read more.
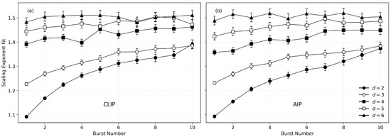
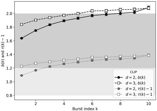
Many fluid-injection sequences display burst-like seismicity with approximate power-law event-size distributions whose exponents drift between catalogs. Classical percolation models instead predict fixed, dimension-dependent exponents and do not specify which geometric mechanisms could underlie such b-value variability. We address this gap using two loopless invasion percolation variants—the constrained Leath invasion percolation (CLIP) and avalanche invasion percolation (AIP) models—to generate synthetic burst catalogs and quantify how burst geometry modifies size–frequency statistics. For each model we measure burst-size distributions and an interference fraction, defined as the proportion of attempted growth steps that terminate on previously activated bonds. Single-burst clusters recover the Fisher exponent of classical percolation, whereas multi-burst sequences show systematic, dimension-dependent drift of the effective exponent with a burst number that is strongly correlated with the interference fraction. CLIP and AIP are indistinguishable under these diagnostics, indicating that interference-driven exponent drift is a generic feature of burst growth rather than a model-specific artifact. Mapping the size-distribution exponent to an equivalent Gutenberg–Richter b-value shows that increasing interference suppresses large bursts and produces b value ranges comparable to those reported for injection-induced seismicity, supporting the interpretation of interference as a geometric proxy for mechanical inhibition that limits the growth of large events in real fracture networks. Full article
Show Figures

Figure 1

15 pages, 9567 KB  
Article
Research on Aerodynamic Performance of Bionic Fan Blades with Microstructured Surface
by Meihong Gao, Xiaomin Liu, Meihui Zhu, Chun Shen, Zhenjiang Wei, Zhengyang Wu and Chengchun Zhang
Biomimetics 2026, 11(1), 19; https://doi.org/10.3390/biomimetics11010019 - 31 Dec 2025
Viewed by 191
Abstract
The frictional resistance of impeller machinery blades such as aircraft engines, gas turbines, and wind turbines has a decisive impact on their efficiency and energy consumption. Inspired by the micro-tooth structure on the surface of shark skin, microstructural drag reduction technology has become [...] Read more.
The frictional resistance of impeller machinery blades such as aircraft engines, gas turbines, and wind turbines has a decisive impact on their efficiency and energy consumption. Inspired by the micro-tooth structure on the surface of shark skin, microstructural drag reduction technology has become a cutting-edge research direction for improving aerodynamic performance and a continuous focus of researchers over the past 20 years. However, the significant difficulty in fabricating microstructures on three-dimensional curved surfaces has led to the limited widespread application of this technology in engineering. Addressing the issue of drag reduction and efficiency improvement for small axial flow fans (local Reynolds number range: (36,327–40,330), this paper employs Design of Experiments (DOE) combined with high-precision numerical simulation to clarify the drag reduction law of bionic microgroove surfaces and determine the dimensions of bionic microstructures on fan blade surfaces. The steady-state calculation uses the standard k-ω model and simpleFoam solver, while the unsteady Large Eddy Simulation (LES) employs the pimpleFoam solver and WALE subgrid-scale model. The dimensionless height (h+) and width (s+) of microgrooves are in the range of 8.50–29.75, and the micro-grooved structure achieves effective drag reduction. The microstructured surface is fabricated on the suction surface of the blade via a spray coating process, and the dimensions of the microstructures are determined according to the drag reduction law of grooved flat plates. Aerodynamic performance tests indicate that the shaft power consumed by the bionic fan blades during the tests is significantly reduced. The maximum static pressure efficiency of the bionic fan with micro-dimples is increased by 2.33%, while that of the bionic fan with micro-grooves is increased by 3.46%. The fabrication method of the bionic microstructured surface proposed in this paper is expected to promote the engineering application of bionic drag reduction technology. Full article
(This article belongs to the Section Biomimetic Surfaces and Interfaces)
Show Figures

Graphical abstract

13 pages, 518 KB  
Article
Asymptotic Analysis of a Thresholding Method for Sparse Models with Application to Network Delay Detection
by Evgeniy Melezhnikov, Oleg Shestakov and Evgeniy Stepanov
Mathematics 2026, 14(1), 148; https://doi.org/10.3390/math14010148 - 30 Dec 2025
Viewed by 146
Abstract
This paper explores a stochastic model of noisy observations with a sparse true signal structure. Such models arise in a wide range of applications, including signal processing, anomaly detection, and performance monitoring in telecommunication networks. As a motivating example, we consider round-trip time [...] Read more.
This paper explores a stochastic model of noisy observations with a sparse true signal structure. Such models arise in a wide range of applications, including signal processing, anomaly detection, and performance monitoring in telecommunication networks. As a motivating example, we consider round-trip time (RTT) data, which characterize the transit time of network packets, where rare, anomalously large values correspond to localized network congestion or failures. The focus is on the asymptotic properties of the mean-square risk associated with thresholding procedures. Upper bounds are obtained for the mean-square risk when using the theoretically optimal threshold. In addition, a central limit theorem and a strong law of large numbers are established for the empirical risk estimate. The results provide a theoretical basis for assessing the effectiveness of thresholding methods in localizing rare anomalous components in noisy data. Full article
Show Figures

Figure 1

21 pages, 7678 KB  
Article
Modeling the In-Plane Shear Behavior of Periodic Masonry Arrangements by Means of a Heuristic Molecule Approach
by Luigi Salvatore Rainone, Giuseppina Uva and Siro Casolo
Buildings 2026, 16(1), 151; https://doi.org/10.3390/buildings16010151 - 29 Dec 2025
Viewed by 184
Abstract
A numerical model based on the heuristic molecule (HM) concept is proposed to evaluate the in-plane and Coulomb-like shear behavior of masonry panels. The model extends the well-established Rigid-Body-Spring Model (RBSM), which demonstrated good effectiveness in the seismic analysis of masonry structures. The [...] Read more.
A numerical model based on the heuristic molecule (HM) concept is proposed to evaluate the in-plane and Coulomb-like shear behavior of masonry panels. The model extends the well-established Rigid-Body-Spring Model (RBSM), which demonstrated good effectiveness in the seismic analysis of masonry structures. The proposed advancement introduces two diagonal bond-springs specifically designed to improve the representation of shear damage mechanisms. The performance of this enhanced formulation was assessed through numerical simulations of small-scale shear panel tests experimentally tested in the literature under varying levels of pre-compression, for which dedicated nonlinear stress–strain laws for axial, shear, and diagonal bond-springs were implemented. The results indicate that the proposed model provides an accurate description of the observed behavior while maintaining a limited number of degrees of freedom, thus ensuring computational efficiency. These promising outcomes highlight the model’s potential for future applications, including large-scale dynamic analyses. Full article
(This article belongs to the Section Building Structures)
Show Figures

Figure 1

21 pages, 2631 KB  
Article
Territorial Constraints on Trap–Neuter–Return in Insular Landscapes: Demographic and Ecological Implications of a Conservation-Oriented Policy
by Ruth Manzanares-Fernández, José Martínez-Campo, María del Mar Travieso-Aja and Octavio P. Luzardo
Animals 2025, 15(24), 3576; https://doi.org/10.3390/ani15243576 - 12 Dec 2025
Viewed by 478
Abstract
Managing community cats on islands requires reconciling animal-welfare mandates with biodiversity protection under real operational constraints. In the Canary Islands (Spain), national Law 7/2023 endorses ethical, non-lethal colony management, while subsequent regional resolutions restrict TNR in and around protected areas, narrowing municipal room [...] Read more.
Managing community cats on islands requires reconciling animal-welfare mandates with biodiversity protection under real operational constraints. In the Canary Islands (Spain), national Law 7/2023 endorses ethical, non-lethal colony management, while subsequent regional resolutions restrict TNR in and around protected areas, narrowing municipal room for action. We combine a multilevel governance assessment with stochastic demographic simulations parameterized from official records to compare three sterilization regimes over 20 years. The intensive regime (≈60–70%/year) reflects the coverage threshold previously identified by Spain-based modelling and field evaluations and adopted in national program guidance; the 20%/year regime represents the pre-resolution baseline widely observed across the archipelago up to December 2024; and the 4%/year regime reflects the post-resolution reality, with abrupt declines in sterilizations, operations largely confined to urban cores, and program suspensions in multiple municipalities. Minimal (4%) and low (20%) efforts produce rapid population growth, bringing numbers close to the assumed carrying capacity under our deliberately high-K configuration and sustaining high densities and associated welfare and ecological risks; only sustained high-coverage TNR prevents saturation and produces progressive declines across island contexts. Under insular constraints, outcomes are determined by achievable coverage rather than regulatory intent; aligning policy and implementation to secure continuous, high-coverage TNR—particularly in risk-sensitive areas with appropriate safeguards—offers a feasible pathway to meet animal-welfare obligations while limiting ecological pressure. Full article
(This article belongs to the Section Public Policy, Politics and Law)
Show Figures

Figure 1

19 pages, 363 KB  
Article
Multifractal Structure of Irregular Sets via Weighted Random Sequences
by Najmeddine Attia and Taoufik Moulahi
Fractal Fract. 2025, 9(12), 793; https://doi.org/10.3390/fractalfract9120793 - 2 Dec 2025
Cited by 1 | Viewed by 455
Abstract
We study the multifractal structure of irregular sets arising from Fibonacci-weighted sums of sequences of random variables. Focusing on Cantor-type subsets Kε of the unit interval, we construct sequences of free and forced blocks, where the free blocks allow full binary branching [...] Read more.
We study the multifractal structure of irregular sets arising from Fibonacci-weighted sums of sequences of random variables. Focusing on Cantor-type subsets Kε of the unit interval, we construct sequences of free and forced blocks, where the free blocks allow full binary branching and the forced blocks fix the digits, controlling the weighted averages. We prove that these sets can attain full Hausdorff and packing dimension while their Hausdorff measure can vanish. We prove that the packing measure of Kϵ depends sensitively on the growth of the forced blocks. Our construction illustrates the mechanism by which Fibonacci-type weights induce irregularity, providing a probabilistic counterpart to classical multifractal phenomena in dynamical systems. Full article
Show Figures

Figure 1

21 pages, 9022 KB  
Article
Stability Analysis and Treatment of Pebble Soil Slopes Under Rainfall and Earthquake Conditions
by Bing Wang, Taian Liu and Yuanyi Li
Sustainability 2025, 17(23), 10754; https://doi.org/10.3390/su172310754 - 1 Dec 2025
Viewed by 290
Abstract
In many mountainous areas of China, frequent geological disasters pose a serious threat to human life and property. The Luding “9.5” earthquake triggered a large number of landslide disasters, causing serious loss of life and property. Therefore, it is extremely urgent to carry [...] Read more.
In many mountainous areas of China, frequent geological disasters pose a serious threat to human life and property. The Luding “9.5” earthquake triggered a large number of landslide disasters, causing serious loss of life and property. Therefore, it is extremely urgent to carry out research on the stability analysis and treatment methods of landslides in the Luding area. In this paper, the Caiyangba landslide in Yanzigou Town, Luding County, is taken as the research object. The slope model is constructed by Midas to study the stability development law of Caiyangba landslide under different rainfall conditions and seismic conditions, and to explore the feasibility of the “anchor lattice treatment method”. The results show that the “anchor lattice treatment method” can effectively improve the stability of the slope under rainfall conditions. The improvement effect of slope stability decreases with the increase in rainfall duration and rainfall. The development law of the slope stability coefficient with rainfall duration in WMG (the working condition of not adopting the “anchor lattice treatment method” is referred to as WMG) and MG (the working condition of adopting the “anchor lattice treatment method” is referred to as MG) conditions conform to the development law of exponential function, and the expression of instantaneous change rate of slope stability coefficient is derived. The above function can also well explain the development law of X-direction displacement and Y-direction displacement of SP (school: monitoring point) and RP (road: monitoring point); the development law of the instantaneous change rate of displacement. Under the influence of ground motion, the improvement effect of the “anchor lattice treatment method” on the slope stability coefficient is limited, but the improvement effect of slope stability increases with the increase in seismic intensity. The slope stability coefficient and the displacement of SP and RP show obvious fluctuation with time, and the fluctuation law is similar to that of ground motion records. It is recommended to add a gravity-retaining wall at the foot of the slope. The teaching building reduces the number of floors and increases the number of pile foundations. Roads should restrict the passage of heavy vehicles, such as cars and strictly stacked items. The above results can provide a theoretical reference for the sustainable treatment and sustainable development of landslides in the Luding area. Full article
(This article belongs to the Special Issue Sustainable Assessment and Risk Analysis on Landslide Hazards)
Show Figures

Figure 1

45 pages, 2785 KB  
Article
The Algebraic Theory of Operator Matrix Polynomials with Applications to Aeroelasticity in Flight Dynamics and Control
by Belkacem Bekhiti, Kamel Hariche, Vasilii Zaitsev, Guangren R. Duan and Abdel-Nasser Sharkawy
Math. Comput. Appl. 2025, 30(6), 131; https://doi.org/10.3390/mca30060131 - 29 Nov 2025
Viewed by 412
Abstract
This paper develops an algebraic framework for operator matrix polynomials and demonstrates its application to control-design problems in aeroservoelastic systems. We present constructive spectral-factorization and linearization tools (block spectral divisors, companion forms and realization algorithms) that enable systematic block-pole assignment for large-scale MIMO [...] Read more.
This paper develops an algebraic framework for operator matrix polynomials and demonstrates its application to control-design problems in aeroservoelastic systems. We present constructive spectral-factorization and linearization tools (block spectral divisors, companion forms and realization algorithms) that enable systematic block-pole assignment for large-scale MIMO models. Building on this theory, an adaptive block-pole placement strategy is proposed and cast in a practical implementation that augments a nominal state-feedback law with a compact neural-network compensator (single hidden layer) to handle un-modeled nonlinearities and uncertainty. The method requires state feedback and the system’s nominal model and admits Laplace-domain analysis and straightforward implementation for a two-degree-of-freedom aeroelastic wing with cubic stiffness nonlinearity and Roger aerodynamic lag is validated in MATLAB R2023a. Comprehensive simulations (Runge–Kutta 4) for different excitations and step disturbances demonstrate the approach’s advantages: compared with Eigenstructure assignment, LQR and H2-control, the proposed method achieves markedly better robustness and transient performance (e.g., closed-loop Hiω2 ≈ 4.64, condition number χ ≈ 11.19, and reduced control efforts μ ≈ 0.41, while delivering faster transients and tighter regulation (rise time ≈ 0.35 s, settling time ≈ 1.10 s, overshoot ≈ 6.2%, steady-state error ≈ 0.9%, disturbance-rejection ≈ 92%). These results confirm that algebraic operator-polynomial techniques, combined with a compact adaptive NN augmentation, provide a well-conditioned, low-effort solution for robust control of aeroelastic systems. Full article
Show Figures

Figure 1

15 pages, 7926 KB  
Article
The Ragweed Finder: A Citizen-Science Project to Inform Pollen Allergy Sufferers About Ambrosia artemisiifolia Populations in Austria
by Lukas Dirr, Katharina Bastl, Maximilian Bastl, Uwe Edwin Berger, Johannes Martin Bouchal, Andreja Kofol Seliger, Donát Magyar, Jana Ščevková, Tamás Szigeti and Friðgeir Grímsson
Appl. Sci. 2025, 15(22), 12333; https://doi.org/10.3390/app152212333 - 20 Nov 2025
Viewed by 448
Abstract
Ambrosia artemisiifolia (ragweed) is a highly invasive species that produces large amounts of allergenic pollen. This poses a serious health risk to allergy sufferers. The “Ragweed Finder” is an Austrian citizen science platform (website and app) that enables the public to report occurrences [...] Read more.
Ambrosia artemisiifolia (ragweed) is a highly invasive species that produces large amounts of allergenic pollen. This poses a serious health risk to allergy sufferers. The “Ragweed Finder” is an Austrian citizen science platform (website and app) that enables the public to report occurrences of ragweed, which are then verified by experts. Over 90% of reports are confirmed as positive, with most originating from eastern Austria, where ragweed is widespread. The number of reports has generally increased over time, except in 2020 during the pandemic. Report frequency does not directly correlate with daily pollen concentrations, but peaks before and during pollen season. Most observations occur along traffic routes, likely due to seed dispersal by vehicle airflow or easier accessibility for users. Verified observations are displayed on an interactive map, helping allergy sufferers to avoid exposure and informing local authorities of the need for targeted control actions. The data are also used to raise awareness among policymakers and help to enact the first law for the control and prevention of ragweed in Burgenland (Austria), in 2021: the “Burgenland Ragweed Control Act”. This demonstrates the success of the “Ragweed Finder” as an important tool for monitoring this invasive species in Austria. Full article
(This article belongs to the Section Environmental Sciences)
Show Figures

Figure 1

14 pages, 398 KB  
Article
Efficient Record Linkage in the Age of Large Language Models: The Critical Role of Blocking
by Nidhibahen Shah, Sreevar Patiyara, Joyanta Basak, Sartaj Sahni, Anup Mathur, Krista Park and Sanguthevar Rajasekaran
Algorithms 2025, 18(11), 723; https://doi.org/10.3390/a18110723 - 16 Nov 2025
Viewed by 745
Abstract
Record linkage is an essential task in data integration in the fields of healthcare, law enforcement, fraud detection, transportation, biology, and supply chain management. The problem of record linkage is to cluster records from various sources such that each cluster belongs to a [...] Read more.
Record linkage is an essential task in data integration in the fields of healthcare, law enforcement, fraud detection, transportation, biology, and supply chain management. The problem of record linkage is to cluster records from various sources such that each cluster belongs to a single entity. Scalability in record linking is limited by the large number of pairwise comparisons required. Blocking addresses this challenge by partitioning data into smaller parts, substantially reducing the computational cost. With the advancement of Large Language Models (LLMs), there are several possibilities to improve record linkage by leveraging their semantic understanding of textual attributes. LLM-based record linkage algorithms in the literature have very large runtimes. In this paper, we show that the employment of blocking can result in significant improvements not only in the runtime but also in the accuracy. Specifically, we propose a record linkage algorithm that combines LLMs with blocking. Experimental evaluation demonstrates that our algorithm achieves lower runtimes while simultaneously improving F1 scores compared to the approaches relying solely on LLMs. These findings demonstrate the importance of blocking even in the era of advanced machine learning models. Full article
Show Figures

Figure 1

31 pages, 11797 KB  
Article
AI-Driven Virtual Power Plant Scheduling: CUDA-Accelerated Parallel Simulated Annealing Approach
by Ali Abbasi, João L. Sobral and Ricardo Rodrigues
Smart Cities 2025, 8(6), 192; https://doi.org/10.3390/smartcities8060192 - 13 Nov 2025
Viewed by 879
Abstract
Efficient scheduling of virtual power plants (VPPs) is essential for the integration of distributed energy resources into modern power systems. This study presents a CUDA-accelerated Multiple-Chain Simulated Annealing (MC-SA) algorithm tailored for optimizing VPP scheduling. Traditional Simulated Annealing algorithms are inherently sequential, limiting [...] Read more.
Efficient scheduling of virtual power plants (VPPs) is essential for the integration of distributed energy resources into modern power systems. This study presents a CUDA-accelerated Multiple-Chain Simulated Annealing (MC-SA) algorithm tailored for optimizing VPP scheduling. Traditional Simulated Annealing algorithms are inherently sequential, limiting their scalability for large-scale applications. The proposed MC-SA algorithm mitigates this limitation by executing multiple independent annealing chains concurrently, enhancing the exploration of the solution space and reducing the requisite number of sequential cooling iterations. The algorithm employs a dual-level parallelism strategy: at the prosumer level, individual energy producers and consumers are assessed in parallel; at the algorithmic level, multiple Simulated Annealing chains operate simultaneously. This architecture not only expedites computation but also improves solution accuracy. Experimental evaluations demonstrate that the CUDA-based MC-SA achieves substantial speedups—up to 10× compared to a single-chain baseline implementation while maintaining or enhancing solution quality. Our analysis reveals an empirical power-law relationship between parallel chains and required sequential iterations (iterations ∝ chains−0.88±0.17), demonstrating that using 50 chains reduces the required number of sequential iterations by approximately 10× compared to single-chain SA while maintaining equivalent solution quality. The algorithm demonstrates scalable performance across VPP sizes from 250 to 1000 prosumers, with approximately 50 chains providing the optimal balance between solution quality and computational efficiency for practical applications. Full article
Show Figures

Figure 1

19 pages, 4518 KB  
Article
Simulation Study on Heat Transfer and Flow Performance of Pump-Driven Microchannel-Separated Heat Pipe System
by Yanzhong Huang, Linjun Si, Chenxuan Xu, Wenge Yu, Hongbo Gao and Chaoling Han
Energies 2025, 18(22), 5882; https://doi.org/10.3390/en18225882 - 8 Nov 2025
Viewed by 555
Abstract
The separable heat pipe, with its highly efficient heat transfer and flexible layout features, has become an innovative solution to the heat dissipation problem of batteries, especially suitable for the directional heat dissipation requirements of high-energy-density battery packs. However, most of the number–value [...] Read more.
The separable heat pipe, with its highly efficient heat transfer and flexible layout features, has become an innovative solution to the heat dissipation problem of batteries, especially suitable for the directional heat dissipation requirements of high-energy-density battery packs. However, most of the number–value models currently studied examine the flow of refrigerant working medium within the pump as an isentropic or isothermal process and are unable to effectively analyze the heat transfer characteristics of different internal regions. Based on the laws of energy conservation, momentum conservation, and mass conservation, this study establishes a steady-state mathematical model of the pump-driven microchannel-separated heat pipe. The influence of factors—such as the phase state change in the working medium inside the heat exchanger, the heat transfer flow mechanism, the liquid filling rate, the temperature difference, as well as the structural parameters of the microchannel heat exchanger on the steady-state heat transfer and flow performance of the pump-driven microchannel-separated heat pipe—were analyzed. It was found that the influence of liquid filling ratio on heat transfer quantity is reflected in the ratio of change in the sensible heat transfer and latent heat transfer. The sensible heat transfer ratio is higher when the liquid filling is too low or too high, and the two-phase heat transfer is higher when the liquid filling ratio is in the optimal range; the maximum heat transfer quantity can reach 3.79 KW. The decrease in heat transfer coefficient with tube length in the single-phase region is due to temperature and inlet effect, and the decrease in heat transfer coefficient in the two-phase region is due to the change in flow pattern and heat transfer mechanism. This technology has the advantages of long-distance heat transfer, which can adapt to the distributed heat dissipation needs of large-energy-storage power plants and help reduce the overall lifecycle cost. Full article
Show Figures

Figure 1

19 pages, 18173 KB  
Article
Development of a Lagrangian Temperature Particles Method to Investigate the Flow Around a Rough Bluff Body
by Gabriel Ferraz Marcondes de Carvalho, Tiago Raimundo Chiaradia, Victor Hugo Gava Filho, Paulo Guimarães de Moraes, Alex Mendonça Bimbato and Luiz Antonio Alcântara Pereira
Fluids 2025, 10(11), 288; https://doi.org/10.3390/fluids10110288 - 6 Nov 2025
Viewed by 374
Abstract
This paper presents a roughness surface model for Lagrangian simulations that interacts with both temperature and vorticity fields. The chosen problem is the uniform flow around a rough circular cylinder heated with constant temperature under mixed convection. The methodology used is the Temperature [...] Read more.
This paper presents a roughness surface model for Lagrangian simulations that interacts with both temperature and vorticity fields. The chosen problem is the uniform flow around a rough circular cylinder heated with constant temperature under mixed convection. The methodology used is the Temperature Particles Method (TPM), in which both vorticity and temperature fields are discretized in particles to simulate the real flow in a purely Lagrangian form. The simulation is computationally extensive due to the application of the Biot–Savart law for the two fields and the calculation of buoyancy forces, which is alleviated by the use of parallel programming with OpenMP. The simulation of roughness effects for both fields is obtained using a Large Eddy Simulation (LES) model for vorticity, based on the second-order velocity structure function, which is correlated with the thermal diffusivity through the turbulent Prandtl number. In general, the results indicate that roughness increases the drag coefficient, while an increase in the Richardson number reduces this coefficient. Full article
(This article belongs to the Special Issue Vortex Definition and Identification)
Show Figures

Figure 1

17 pages, 3915 KB  
Article
Research on Aging Evolution and Safety Characteristics of Lithium-Ion Batteries Cycling at Low Temperature
by Ruiheng Wang and Bing Xue
Batteries 2025, 11(11), 396; https://doi.org/10.3390/batteries11110396 - 27 Oct 2025
Viewed by 1903
Abstract
Complex operating conditions, such as low temperature, can affect the degradation and safety stability of lithium-ion batteries (LIBs). This paper conducts research on the aging evolution and safety characteristics of LIBs under low-temperature conditions (−20 °C), to reveal the change laws of battery [...] Read more.
Complex operating conditions, such as low temperature, can affect the degradation and safety stability of lithium-ion batteries (LIBs). This paper conducts research on the aging evolution and safety characteristics of LIBs under low-temperature conditions (−20 °C), to reveal the change laws of battery degradation and the trends of thermal parameters of aging LIBs. Cycling and charging/discharging experiments under low temperatures were conducted to collect realistic battery data. Various factors such as temperature, cycle number, charging/discharging rate, and depth of discharge/charge (DOD/DOC) are taken into consideration to test the battery cycling and thermal performance. With collected experimental results, basic electrical states of LIBs such as open-circuit voltage (OCV), internal resistance, and capacity are presented. Then, the capacity loss and internal resistance growth are also described and analyzed under various charge/discharge rates and DODs/DOCs. The experimental results show that low temperatures cause an almost 30% increase in polarization resistance, with nonlinear changes in total internal resistance. Moreover, the battery capacity and internal resistance also have extreme points with different charge/discharge rates under −20 °C, which may demonstrate that the charge/discharge rates of LIBs can be optimized under low temperature. Thermal runaway (TR) experiments were also conducted, and the self-heating rate and other indices are presented to show that an aging battery under low temperature still holds large energy to develop TR. The aging trends of LIBs under low temperatures are summarized, and battery safety is clarified to provide a reference for battery lifetime and safety management under low-temperature conditions. Full article
Show Figures

Figure 1

30 pages, 1387 KB  
Article
Asymptotic Analysis of the Bias–Variance Trade-Off in Subsampling Metropolis–Hastings
by Shuang Liu
Mathematics 2025, 13(21), 3395; https://doi.org/10.3390/math13213395 - 24 Oct 2025
Viewed by 471
Abstract
Markov chain Monte Carlo (MCMC) methods are fundamental to Bayesian inference but are often computationally prohibitive for large datasets, as the full likelihood must be evaluated at each iteration. Subsampling-based approximate Metropolis–Hastings (MH) algorithms offer a popular alternative, trading a manageable bias for [...] Read more.
Markov chain Monte Carlo (MCMC) methods are fundamental to Bayesian inference but are often computationally prohibitive for large datasets, as the full likelihood must be evaluated at each iteration. Subsampling-based approximate Metropolis–Hastings (MH) algorithms offer a popular alternative, trading a manageable bias for a significant reduction in per-iteration cost. While this bias–variance trade-off is empirically understood, a formal theoretical framework for its optimization has been lacking. Our work establishes such a framework by bounding the mean squared error (MSE) as a function of the subsample size (m), the data size (n), and the number of epochs (E). This analysis reveals two optimal asymptotic scaling laws: the optimal subsample size is m=O(E1/2), leading to a minimal MSE that scales as MSE=O(E1/2). Furthermore, leveraging the large-sample asymptotic properties of the posterior, we show that when augmented with a control variate, the approximate MH algorithm can be asymptotically more efficient than the standard MH method under ideal conditions. Experimentally, we first validate the two optimal asymptotic scaling laws. We then use Bayesian logistic regression and Softmax classification models to highlight a key difference in convergence behavior: the exact algorithm starts with a high MSE that gradually decreases as the number of epochs increases. In contrast, the approximate algorithm with a practical control variate maintains a consistently low MSE that is largely insensitive to the number of epochs. Full article
Show Figures

Figure 1

Back to TopTop