Sign in to use this feature.

Years

Between: -

Subjects

remove_circle_outline
remove_circle_outline
remove_circle_outline
remove_circle_outline
remove_circle_outline
remove_circle_outline
remove_circle_outline
remove_circle_outline
remove_circle_outline

Journals

Article Types

Countries / Regions

Search Results (33)

Search Parameters:
Keywords = lava tubes

Order results
Result details
Results per page
Select all
Export citation of selected articles as:
22 pages, 6432 KB  
Article
Minerals as Windows into Habitability on Lava Tube Basalts: A Biogeochemical Study at Lava Beds National Monument, CA
by Dina M. Bower, Amy C. McAdam, Clayton S. C. Yang, Feng Jin, Maeva Millan, Clara Christiann, Mathilde Mussetta, Christine Knudson, Jamielyn Jarvis, Sarah Johnson, Zachariah John, Catherine Maggiori, Patrick Whelley and Jacob Richardson
Minerals 2025, 15(12), 1303; https://doi.org/10.3390/min15121303 - 14 Dec 2025
Viewed by 323
Abstract
Lava tubes on Earth provide unique hydrogeological niches for life to proliferate. Orbital observations of the Martian surface indicate the presence of lava tubes, which could hold the potential for extant life or the preservation of past life within a subsurface environment protected [...] Read more.
Lava tubes on Earth provide unique hydrogeological niches for life to proliferate. Orbital observations of the Martian surface indicate the presence of lava tubes, which could hold the potential for extant life or the preservation of past life within a subsurface environment protected from harsh conditions or weathering at the surface. Secondary minerals in lava tubes form as a combination of abiotic and biotic processes. Microbes colonize the surfaces rich in these secondary minerals, and their actions induce further alteration of the mineral deposits and host basalts. We conducted a biogeochemical investigation of basaltic lava tubes in the Medicine Lake region of northern California by characterizing the compositional variations in secondary minerals, organic compounds, microbial communities, and the host rocks to better understand how their biogeochemical signatures could indicate habitability. We used methods applicable to landed Mars missions, including Raman spectroscopy, X-ray diffraction (XRD), Laser-Induced Breakdown Spectroscopy (LIBS), and gas chromatography–mass spectrometry (GC-MS), along with scanning electron microscopy (SEM) and metagenomic DNA/RNA sequencing. The main secondary minerals, amorphous silicates, and calcite, formed abiotically from the cave waters. Two types of gypsum, large euhedral grains with halites, and cryptocrystalline masses near microbial material, were observed in our samples, indicating different formation pathways. The cryptocrystalline gypsum, along with clay minerals, was associated with microbial materials and biomolecular signatures among weathered primary basalt minerals, suggesting that their formation was related to biologic processes. Some of the genes and pathways observed indicated a mix of metabolisms, including those involved in sulfur and nitrogen cycling. The spatial relationships of microbial material, Cu-enriched hematite in the host basalts, and genetic signatures indicative of metal cycling also pointed to localized Fe oxidation and mobilization of Cu by the microbial communities. Collectively these results affirm the availability of bio-essential elements supporting diverse microbial populations on lava tube basalts. Further work exploring these relationships in lava tubes is needed to unravel the intertwined nature of abiotic and biotic interactions and how that affects habitability in these environments on Earth and the potential for life on Mars. Full article
(This article belongs to the Special Issue Exploring Novel Interactions Between Microbes and Minerals)
Show Figures

Figure 1

24 pages, 3598 KB  
Article
State of the Art on Empirical and Numerical Methods for Cave Stability Analysis: Application in Al-Badia Lava Tube, Harrat Al-Shaam, Jordan
by Ronald Herrera, Daniel Garcés, Abdelmadjid Benrabah, Ahmad Al-Malabeh, Rafael Jordá-Bordehore and Luis Jordá-Bordehore
Appl. Mech. 2025, 6(3), 56; https://doi.org/10.3390/applmech6030056 - 31 Jul 2025
Viewed by 935
Abstract
Empirical and numerical methodologies for the geomechanical assessment of underground excavations have evolved in recent years to adapt to the geotechnical and structural conditions of natural caves, enabling stability evaluation and ensuring safe conditions for speleological exploration. This study analyzes the evolution of [...] Read more.
Empirical and numerical methodologies for the geomechanical assessment of underground excavations have evolved in recent years to adapt to the geotechnical and structural conditions of natural caves, enabling stability evaluation and ensuring safe conditions for speleological exploration. This study analyzes the evolution of the state of the art of these techniques worldwide, assessing their reliability and application context, and identifying the most suitable methodologies for determining the stability of the Al-Badia lava tube. The research was conducted through bibliographic analysis and rock mass characterization using empirical geomechanical classifications. Subsequently, the numerical boundary element method (BEM) was applied to compare the obtained results and model the stress–strain behavior of the cavity. The results allowed the classification of the Al-Badia lava tube into stable, transition, and unstable zones, using empirical support charts and determining the safety factors of the surrounding rock mass. The study site highlights that empirical methods are rather conservative, and numerical results align better with observed conditions. Full article
Show Figures

Figure 1

28 pages, 2174 KB  
Article
Validating Lava Tube Stability Through Finite Element Analysis of Real-Scene 3D Models
by Jiawang Wang, Zhizhong Kang, Chenming Ye, Haiting Yang and Xiaoman Qi
Electronics 2025, 14(15), 3062; https://doi.org/10.3390/electronics14153062 - 31 Jul 2025
Viewed by 1270
Abstract
The structural stability of lava tubes is a critical factor for their potential use in lunar base construction. Previous studies could not reflect the details of lava tube boundaries and perform accurate mechanical analysis. To this end, this study proposes a robust method [...] Read more.
The structural stability of lava tubes is a critical factor for their potential use in lunar base construction. Previous studies could not reflect the details of lava tube boundaries and perform accurate mechanical analysis. To this end, this study proposes a robust method to construct a high-precision, real-scene 3D model based on ground lava tube point cloud data. By employing finite element analysis, this study investigated the impact of real-world cross-sectional geometry, particularly the aspect ratio, on structural stability under surface pressure simulating meteorite impacts. A high-precision 3D reconstruction was achieved using UAV-mounted LiDAR and SLAM-based positioning systems, enabling accurate geometric capture of lava tube profiles. The original point cloud data were processed to extract cross-sections, which were then classified by their aspect ratios for analysis. Experimental results confirmed that the aspect ratio is a significant factor in determining stability. Crucially, unlike the monotonic trends often suggested by idealized models, analysis of real-world geometries revealed that the greatest deformation and structural vulnerability occur in sections with an aspect ratio between 0.5 and 0.6. For small lava tubes buried 3 m deep, the ground pressure they can withstand does not exceed 6 GPa. This process helps identify areas with weaker load-bearing capacity. The analysis demonstrated that a realistic 3D modeling approach provides a more accurate and reliable assessment of lava tube stability. This framework is vital for future evaluations of lunar lava tubes as safe habitats and highlights that complex, real-world geometry can lead to non-intuitive structural weaknesses not predicted by simplified models. Full article
Show Figures

Figure 1

20 pages, 4965 KB  
Article
Tools for Managing the Integrity of Tourist Volcanic Caves in the Canary Islands Due to Instability Problems
by Luis E. Hernández-Gutiérrez, Juan C. Santamarta, Leticia Pacheco, Esther Martín-González, Helena Hernández-Martín, Ramón Xifré and Carlos Calderón-Guerrero
Geosciences 2025, 15(7), 236; https://doi.org/10.3390/geosciences15070236 - 20 Jun 2025
Viewed by 1620
Abstract
Natural caves have a great heritage and natural value, which has made them a tourist attraction that contributes positively to the diversification of tourist offerings in Spain. Volcanic caves are a particular type of natural cave, exclusive to the Canary Islands. The tourist [...] Read more.
Natural caves have a great heritage and natural value, which has made them a tourist attraction that contributes positively to the diversification of tourist offerings in Spain. Volcanic caves are a particular type of natural cave, exclusive to the Canary Islands. The tourist management of these caves entails certain peculiarities that do not occur in other types of tourist establishments. The caves are exposed to certain natural hazards that are important to recognize, evaluate, and where appropriate, plan and adopt the necessary measures to guarantee the safety of visitors and workers. The main natural hazard is the structural stability of the cavity, which can affect workers and visitors. Volcanic caves present structural, lithological, and geomechanical singularities that require a specific methodology to study their stability. This study proposes a specific protocol for the early detection and management of instabilities in tourist volcanic caves, in order to help with the proper management of this ecotourism resource. To this end, tools are provided for the recognition, characterization, and geological and geomechanical analysis, classification of the types of instability in volcanic tubes, and geospatial techniques to control the structural stability. Full article
Show Figures

Figure 1

27 pages, 15076 KB  
Article
Detection of Small-Scale Subsurface Echoes Using Lunar Radar Sounder and Surface Scattering Simulations with a DEM Generated Using a Generative Adversarial Network
by Hitoshi Nozawa, Junichi Haruyama, Atsushi Kumamoto, Takahiro Iwata, Kosei Toyokawa, James W. Head and Roberto Orosei
Remote Sens. 2025, 17(10), 1710; https://doi.org/10.3390/rs17101710 - 13 May 2025
Viewed by 1585
Abstract
Spaceborne radar is a powerful tool for probing planetary subsurface structures. Earlier radar studies of the Moon have primarily examined large-scale horizontal structures. However, recent discoveries of vertical holes suggesting the existence of lava tubes and theoretically predicted subsurface gas voids formed by [...] Read more.
Spaceborne radar is a powerful tool for probing planetary subsurface structures. Earlier radar studies of the Moon have primarily examined large-scale horizontal structures. However, recent discoveries of vertical holes suggesting the existence of lava tubes and theoretically predicted subsurface gas voids formed by volatiles in magma have highlighted the importance of small-scale subsurface structures. We developed a method using SELENE Lunar Radar Sounder (LRS) data to detect small-scale subsurface echoes (hundreds of meters). Surface scattering simulations incorporating incoherent scattering from sub-resolution roughness were performed using a high-resolution digital elevation model generated by a generative adversarial network. Detection thresholds for subsurface echo candidates (SECs) were determined from the histograms of difference intensities between LRS and simulation B-scans. Results show that some SECs exist in the extension area of the analyzed graben. SECs were also detected continuously across multiple LRS ground tracks in areas unrelated to grabens. Using the radar equation analysis, the echo intensities of SECs could be explained for subsurface structures with 50–600 m widths and dielectric constants of 1–4. This suggests the existence of either subsurface voids or materials with a high porosity of more than 35%. Among the SECs detected continuously across multiple LRS ground tracks, those that are more or less aligned in the downward elevation direction are likely indicative of lava tubes. On the other hand, the SECs distributed along the extension of the graben are aligned parallel to the contour lines. These SECs likely suggest gas voids at the tip of the intrusive magma that formed the graben. Full article
Show Figures

Graphical abstract

28 pages, 8684 KB  
Article
Rapid Response to Effusive Eruptions Using Satellite Infrared Data: The March 2024 Eruption of Fernandina (Galápagos)
by Diego Coppola, Simone Aveni, Adele Campus, Marco Laiolo, Francesco Massimetti and Benjamin Bernard
Remote Sens. 2025, 17(7), 1191; https://doi.org/10.3390/rs17071191 - 27 Mar 2025
Cited by 4 | Viewed by 2251
Abstract
On 3 March 2024, a new effusive eruption began from a sub-circular fissure on the southeast upper flank of the Fernandina volcano (Galápagos archipelago, Ecuador). Although the eruption posed no threat to people, as the island is uninhabited, it provided an opportunity to [...] Read more.
On 3 March 2024, a new effusive eruption began from a sub-circular fissure on the southeast upper flank of the Fernandina volcano (Galápagos archipelago, Ecuador). Although the eruption posed no threat to people, as the island is uninhabited, it provided an opportunity to test a rapid response system for effusive eruptions, based on satellite infrared (IR) data. In this work, we illustrate how the analysis of data from multiple IR sensors allowed us to monitor the eruption in near real-time (NRT), providing recurrent updates on key parameters, such as (i) lava discharge rate and trend, (ii) erupted lava volume, (iii) lava field area, (iv) active flow front position (v) flow velocity, (vi) location of active vents and breakouts, and (vii) emplacement style. Overall, the eruption lasted 68 days, during which 58.5 ± 29.2 Mm3 of lava was erupted and an area of 14.9 ± 0.5 km2 was invaded. The eruption was characterized by a peak effusion rate of 206 ± 103 m3/s, an initial velocity of ~2.3 km/h, and by an almost exponential decline in the effusion rate, accompanied by a transition from channel- to tube-fed emplacement style. The advance of the lava flow was characterized by three lengthening phases that allowed the front to reach the coast (~12.5 km from the vent) after 36 days (at an average velocity of ~0.015 km/h). The results demonstrate the efficiency of satellite thermal data in responding to effusive eruptions and maintaining situational awareness at remote volcanoes where ground-based data are limited or completely unavailable. The requirements, limitations, and future perspectives for applying this rapid response protocol on a global scale are finally discussed. Full article
(This article belongs to the Special Issue Satellite Monitoring of Volcanoes in Near-Real Time)
Show Figures

Figure 1

24 pages, 26035 KB  
Article
Looking for Microbial Biosignatures in All the Right Places: Clues for Identifying Extraterrestrial Life in Lava Tubes
by Joseph J. Medley, Jennifer J. M. Hathaway, Michael N. Spilde and Diana E. Northup
Appl. Sci. 2024, 14(15), 6500; https://doi.org/10.3390/app14156500 - 25 Jul 2024
Cited by 2 | Viewed by 2619
Abstract
Lava caves are home to a stunning display of secondary mineral speleothems, such as moonmilk and coralloids, as well as highly visible microbial mats. These features contain diverse and under-characterized groups of bacteria. The role of these bacteria in the formation of secondary [...] Read more.
Lava caves are home to a stunning display of secondary mineral speleothems, such as moonmilk and coralloids, as well as highly visible microbial mats. These features contain diverse and under-characterized groups of bacteria. The role of these bacteria in the formation of secondary mineral speleothems is just beginning to be investigated. The lava caves of the Big Island of Hawai`i and in El Malpais National Monument, New Mexico (USA), share many morphologically similar speleothems. This study focused on investigating the overlap in bacteria across a wide range of speleothems in these two geographically distant sites. Through scanning electron microscopy (SEM) and 16S rRNA gene analysis, we found that Hawaiian caves have a greater alpha diversity and beta diversity separated by cave and speleothem type. Many Actinobacteriota were in higher abundance in New Mexico caves, while Hawaiian caves contained more bacteria that are unclassified at the genus and species level. Discovering the diversity in bacteria in these secondary speleothems will assist in identifying cave secondary mineral formations that may be good candidates for finding life on extraterrestrial bodies. Full article
(This article belongs to the Special Issue Geomicrobiology: Latest Advances and Prospects)
Show Figures

Figure 1

9 pages, 7077 KB  
Communication
A New Shallow-Water Species of the Rare Shrimp Genus Bresilia from Cabo Verde (Crustacea, Decapoda, Bresiliidae)
by Sammy De Grave, Peter Wirtz and Arthur Anker
Arthropoda 2023, 1(4), 451-459; https://doi.org/10.3390/arthropoda1040020 - 22 Nov 2023
Viewed by 1707
Abstract
A new species of the rare shrimp genus Bresilia is described and illustrated from shallow-water lava tubes in Cabo Verde. Characteristics differentiating the new species from its three known Atlantic congeners are listed and discussed. Scanning electron images (SEM) are provided of the [...] Read more.
A new species of the rare shrimp genus Bresilia is described and illustrated from shallow-water lava tubes in Cabo Verde. Characteristics differentiating the new species from its three known Atlantic congeners are listed and discussed. Scanning electron images (SEM) are provided of the peculiar chela ornamentation of the first pereiopod in the genus. Full article
Show Figures

Figure 1

28 pages, 8096 KB  
Article
Integrated Conceptual Design and Parametric Control Assessment for a Hybrid Mobility Lunar Hopper
by Jasmine Rimani, Giordana Bucchioni, Andrea Dan Ryals, Nicole Viola and Stéphanie Lizy-Destrez
Aerospace 2023, 10(8), 669; https://doi.org/10.3390/aerospace10080669 - 27 Jul 2023
Cited by 1 | Viewed by 2784
Abstract
The lunar lava tubes are envisioned as possible hosting structures for a human base in the Moon’s equatorial regions, providing shelter from radiations, micrometeoroids, and temperature excursion. A first robotic mission is set to scout the habitability of these underground architectures in the [...] Read more.
The lunar lava tubes are envisioned as possible hosting structures for a human base in the Moon’s equatorial regions, providing shelter from radiations, micrometeoroids, and temperature excursion. A first robotic mission is set to scout the habitability of these underground architectures in the near future. The communication inside these underground tunnels is heavily constrained; hence, the scouting system should rely on a high degree of autonomy. At the same time, the exploration system may encounter different types of terrain, requiring an adaptable mobility subsystem able to travel fast on basaltic terrain while avoiding considerable obstacles. This paper presents a cave explorer’s mission study and preliminary sizing targeting the lunar lava tubes. The study proposes using a hybrid mobility system with wheels and thrusters to navigate smoothly inside the lava tubes. The peculiar mobility system of the cave explorer requires an accurate study of the adaptability of its control capabilities with the change of mass for a given set of sensors and actuators. The combination of conceptual design techniques and control assessment gives the engineer a clear indication of the feasible design box for the studied system during the initial formulation phases of a mission. This first part of the study focuses on framing the stakeholders’ needs and identifying the required capabilities of the cave explorer. Furthermore, the study focuses on assessing a design box in terms of mass and power consumption for the cave explorer. Following different mission-level assessments, a more detailed design of the cave explorer is discussed, providing an initial design in terms of mass and power consumption. Finally, the objective shifts toward studying the performances of the guidance, navigation, and control (GNC) algorithms varying the mass of the cave explorer. The GNC significantly impacts the design box of the surface planetary system. Hence, investigating its limitations can indicate the feasibility of mass growth to accommodate, for example, more payload. Full article
(This article belongs to the Special Issue Space Robotics and Mechatronics)
Show Figures

Figure 1

30 pages, 7417 KB  
Article
Collembola of the Cavalum and Landeiro Caves (Madeira, Portugal)
by Enrique Baquero, Javier I. Arbea, Élvio Nunes, Dora Aguin-Pombo, Eduardo Mateos and Rafael Jordana
Insects 2023, 14(6), 525; https://doi.org/10.3390/insects14060525 - 5 Jun 2023
Cited by 1 | Viewed by 2591
Abstract
The cave fauna of the Macaronesian archipelagos is rich in endemic species. Unlike the Azores and the Canary Islands, the cave fauna of the Madeira archipelago is little known. The only two cave complexes studied, Machico and São Vicente, lack protection measures. São [...] Read more.
The cave fauna of the Macaronesian archipelagos is rich in endemic species. Unlike the Azores and the Canary Islands, the cave fauna of the Madeira archipelago is little known. The only two cave complexes studied, Machico and São Vicente, lack protection measures. São Vicente is seriously threatened because it is being exploited for touristic purposes, while the Machico complex, the only one in its natural state, is open to the public but without any control. The importance of the conservation of this cave fauna is indisputable. So far, of the 13 cavernicolous species recorded, two of them—genus Centromerus—are critically endangered. Apart from occasional sampling, no monitoring study has ever been carried out. The aim of this work has been to make a species checklist of the cave fauna of the Machico complex, the least studied so far. For this purpose, during 2001–2002, a monitoring study was carried out using traps and manual collections in the lava tubes of Landeiros and Cavalum (I, II, III). Fourteen species of springtails were recorded. Of these, four are new species, Neelus serratus Jordana & Baquero sp. nov., Coecobrya decemsetosa Jordana & Baquero sp. nov., Coecobrya octoseta Jordana & Baquero sp. nov., and Sinella duodecimoculata Jordana & Baquero sp. nov., and one is a new record for the archipelago, Lepidocyrtus curvicollis Bourlet, 1839. Full article
(This article belongs to the Section Insect Systematics, Phylogeny and Evolution)
Show Figures

Figure 1

28 pages, 24850 KB  
Review
Radar Observation of the Lava Tubes on the Moon and Mars
by Xiaohang Qiu and Chunyu Ding
Remote Sens. 2023, 15(11), 2850; https://doi.org/10.3390/rs15112850 - 30 May 2023
Cited by 20 | Viewed by 9658
Abstract
The detection of lava tubes beneath the surfaces of the Moon and Mars has been a popular research topic and challenge in planetary radar observation. In recent years, the Moon–based ground penetrating radar (GPR) carried by the Chinese Chang’e–3/–4 mission, the RIMFAX radar [...] Read more.
The detection of lava tubes beneath the surfaces of the Moon and Mars has been a popular research topic and challenge in planetary radar observation. In recent years, the Moon–based ground penetrating radar (GPR) carried by the Chinese Chang’e–3/–4 mission, the RIMFAX radar carried by the Mars mission Perseverance, and the RoSPR radar and MOSIR radar carried by China’s Tianwen–1 orbiter have extensively promoted the exploration of the underground space of extraterrestrial bodies, which is crucial for the future utilization and development of these spaces. This paper expounds on the principles, methods, and detection results of using GPR to detect lava tubes on the Moon and Mars. First, lava tubes’ formation mechanism and morphological characteristics are outlined, followed by an introduction to GPR’s working principles and classification. The advantages, disadvantages, and prospects of different types of radar in detecting the lava tubes are analyzed. Finally, the distribution of lava tubes on the Moon and Mars is briefly summarized, and the potential utilization of lava tubes is discussed. We believe that the GPR technique is an effective geophysical method for exploring the underground structures of the Moon and Mars, and the lava tubes beneath the surface of extraterrestrial bodies can provide important references for selecting future Moon and Mars bases. Full article
Show Figures

Figure 1

14 pages, 3998 KB  
Article
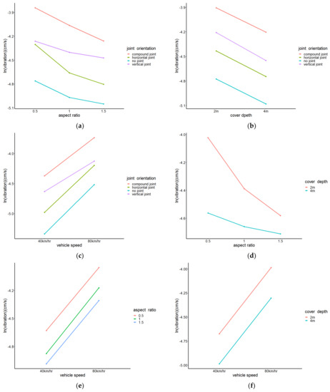
Interaction Analysis of Lava Tube Geometric Characteristics under Vehicle Load Using Design of Experiments
by Jeong-Ho Song, Yong Baek, Jong-Hyun Lee and Jun-Woo Shin
Appl. Sci. 2023, 13(7), 4401; https://doi.org/10.3390/app13074401 - 30 Mar 2023
Cited by 4 | Viewed by 1640
Abstract
The rapid growth of tourism on Jeju Island has led to an increase in traffic volume, causing accelerated ground subsidence at the intersections between natural caves and roads. Natural phenomena are not caused by a single specific factor, but rather occur through interactions [...] Read more.
The rapid growth of tourism on Jeju Island has led to an increase in traffic volume, causing accelerated ground subsidence at the intersections between natural caves and roads. Natural phenomena are not caused by a single specific factor, but rather occur through interactions among multiple factors. Therefore, to analyze natural phenomena, it is necessary to consider not only the main effects, but also the interactions among various factors. In this study, the design of experiments was utilized to analyze the vibration-generating mechanism according to the geometrical characteristics of lava tubes, a kind of natural cave. Analysis of variance was used as the main analysis method, and multiple linear regression analysis and decision trees were additionally used. To detect all the interaction effects, multi-way factorial design, which can estimate the effect of any combination of levels, was utilized. The joint orientation, aspect ratio, and cover depth were selected as factors representing the geometrical characteristic of the lava tubes, and vehicle speed was selected as an external influence factor. As a result of the analysis, all the main effects were found to be significant, and the results of the additional two analysis methods were consistent. The two-factor interactions that showed significant results were aspect ratio × cover depth, joint orientation× vehicle speed, and joint orientation× shape ratio. However, it was difficult to analyze the interaction effect using multiple regression analysis and decision tree analysis. Among the two-factor interactions, aspect ratio × cover depth was found to be the most significant, while the main effect of the two interacting factors was the least significant. The most significant effect at a specific level of aspect ratio and cover depth could be analyzed through an interaction plot. These findings will be useful for evaluating the stability of lava tubes using only geometrical characteristics. Full article
(This article belongs to the Section Civil Engineering)
Show Figures

Figure 1

29 pages, 30220 KB  
Article
Lava Flow Hazard and Its Implication in Geopark Development for the Active Harrat Khaybar Intracontinental Monogenetic Volcanic Field, Saudi Arabia
by Károly Németh and Mohammed Rashad Moufti
Land 2023, 12(3), 705; https://doi.org/10.3390/land12030705 - 18 Mar 2023
Cited by 4 | Viewed by 8511
Abstract
Harrat Khaybar is an active monogenetic volcanic field in western Saudi Arabia that hosts spectacular monogenetic volcanoes and a Holocene volcanic cone with extensive lava fields. The volcanic region is a subject of intensive land use development, especially along tourism ventures, where the [...] Read more.
Harrat Khaybar is an active monogenetic volcanic field in western Saudi Arabia that hosts spectacular monogenetic volcanoes and a Holocene volcanic cone with extensive lava fields. The volcanic region is a subject of intensive land use development, especially along tourism ventures, where the volcanic features are the key elements to utilize for increasing visitation rates to the region. The youngest eruption is suspected to be Holocene and occurred fewer than 5000 years ago based on the cross-cutting relationship between the youngest lava flows and archaeological sites. Lava flows are typical, from pāhoehoe to ‘a‘ā types with great diversity of transitional textural forms. Here, we recorded typical transitional lava flow surface textures from the youngest flows identified by digital-elevation-model-based terrain analysis, satellite imagery, and direct field observations. We performed lava flow simulations using the Q-LavHA plug-in within the QGIS environment. Lava flow simulations yielded satisfactory results if we applied eruptions along fissures, long simulation distances, and ~5 m lava flow thickness. In these simulations, the upper flow regimes were reconstructed well, but long individual lava flows were not possible to simulate, suggesting that morphological steps likely promoted lava ponding, inflation, and sudden deflation by releasing melts further along shallow syneruptive valley networks. Full article
Show Figures

Figure 1

15 pages, 5618 KB  
Article
Unveiling the Subsurface of Late Amazonian Lava Flows at Echus Chasma, on Mars
by Federico Mansilla, María-Paz Zorzano, Iraklis Giannakis and Javier Ruiz
Remote Sens. 2023, 15(5), 1357; https://doi.org/10.3390/rs15051357 - 28 Feb 2023
Cited by 3 | Viewed by 3831
Abstract
The Echus-Kasei region on Mars has been exposed to different episodic volcanic, fluvial, and glacial events in Amazonian time. The goal of the present work is to demonstrate the usefulness of radar instruments to find preserved late Amazonian subsurface structures that may have [...] Read more.
The Echus-Kasei region on Mars has been exposed to different episodic volcanic, fluvial, and glacial events in Amazonian time. The goal of the present work is to demonstrate the usefulness of radar instruments to find preserved late Amazonian subsurface structures that may have been encapsulated underneath recent lava flows on Mars. We have analysed 27 radar observations of the SHAllow RADar (SHARAD) instrument on board the Mars Reconnaissance Orbiter (MRO), over the region of Echus Chasma. We discovered the presence of subsurface reflectors in five consecutive SHARAD radargrams at a depth from 35 to 79 m beneath the structure of a lava fan that formed about 59 ± 4 Ma ago. Some vents are preserved above the surface of this lava flow, which stands at a height of 80 m above the surrounding surface. A few kilometres to the north, we find other subsurface reflectors at a depth of about 30 m and a long pit chain formed by the collapse of a lava tube. These kinds of subsurface late Amazonian structures are of interest for astrobiology because they date from the last period when the planet still experienced intense volcanic activity over regions that were previously extensively covered by water. Full article
(This article belongs to the Special Issue Radar for Planetary Exploration)
Show Figures

Figure 1

18 pages, 7208 KB  
Article
Stability Analysis of the Volcanic Cave El Mirador (Galápagos Islands, Ecuador) Combining Numerical, Empirical and Remote Techniques
by Guido Rodríguez, Maurizio Mulas, Silvia Loaiza, Michelle Del Pilar Villalta Echeverria, Angel Amable Yanez Vinueza, Erwin Larreta and Luis Jordá Bordehore
Remote Sens. 2023, 15(3), 732; https://doi.org/10.3390/rs15030732 - 27 Jan 2023
Cited by 12 | Viewed by 4658
Abstract
El Mirador de los Túneles is a tube-shaped volcanic cave with a sinuous structure in the Galápagos Islands formed due to cooled near-surface lava flows. Since this natural formation is considered a tourist site, a large number of people frequent it daily; however, [...] Read more.
El Mirador de los Túneles is a tube-shaped volcanic cave with a sinuous structure in the Galápagos Islands formed due to cooled near-surface lava flows. Since this natural formation is considered a tourist site, a large number of people frequent it daily; however, its safety conditions have not yet been defined by a comprehensive geotechnical study. In this research, a stability analysis was carried out by combining both empirical methodologies based on geomechanical classifications using Barton’s Q Index and the recently created Cave Geomechanical Index (CGI), and numerical modeling through the finite element method. In addition, three-dimensional modelling was performed using the remote photogrammetric technique Structure from Motion (SfM) to create the numerical calculation sections and dimensions of the different critical parts of the cave. The results of the analysis showed that there is evidence of instability and subsidence along the tunnel. Furthermore, the geotechnical parameters obtained from the different methods complemented each other, resulting in more realistic engineering representation of the subsurface environment. Finally, a graph showing the two empirical methodologies Barton’s Q Index and CGI, with the addition of the Factors of Safety (FoS) obtained from the modeling is presented. Full article
(This article belongs to the Special Issue Remote Sensing in Engineering Geology - II)
Show Figures

Figure 1

Back to TopTop