Sign in to use this feature.

Years

Between: -

Subjects

remove_circle_outline
remove_circle_outline
remove_circle_outline
remove_circle_outline
remove_circle_outline
remove_circle_outline
remove_circle_outline
remove_circle_outline
remove_circle_outline

Journals

remove_circle_outline
remove_circle_outline
remove_circle_outline
remove_circle_outline
remove_circle_outline
remove_circle_outline
remove_circle_outline
remove_circle_outline
remove_circle_outline
remove_circle_outline
remove_circle_outline
remove_circle_outline
remove_circle_outline
remove_circle_outline

Article Types

Countries / Regions

remove_circle_outline
remove_circle_outline
remove_circle_outline
remove_circle_outline
remove_circle_outline
remove_circle_outline

Search Results (3,089)

Search Parameters:
Keywords = land take

Order results
Result details
Results per page
Select all
Export citation of selected articles as:
32 pages, 729 KB  
Article
Titling as Land Reform in Tanzania: Contours, Conflicts and Convergence
by Kathryn E. Owens, Kelly M. Askew, Shyamala Nagaraj, Faustin Maganga, Howard Stein and Rie Odgaard
Land 2025, 14(11), 2247; https://doi.org/10.3390/land14112247 - 13 Nov 2025
Abstract
The “land governance orthodoxy” that has dominated development circles for the past two decades posits that government-issued title deeds are a prerequisite for economic growth in Africa and elsewhere in the Global South. Anything other than formal certification is viewed as inadequate, informal, [...] Read more.
The “land governance orthodoxy” that has dominated development circles for the past two decades posits that government-issued title deeds are a prerequisite for economic growth in Africa and elsewhere in the Global South. Anything other than formal certification is viewed as inadequate, informal, insecure and inanimate. In this paper, we explore the “institutional pluralism” that characterizes land formalization efforts in rural Tanzania. We find that the multiple (often competing) objectives, procedures, actors, justifications, technologies, and outcomes have produced a crowded and chaotic field of titling initiatives. Despite an investment of around USD 340 million, progress remains painfully slow—at a rate of ~1% per year—such that it will take the rest of this century to reach universal titling. And at what cost? Our study is based on appraisals of policy and project documents and interviews with government officials, donor agencies, project implementers and NGO staff. Discussion of the findings is supported by data from annual budget speeches, national-level statistics and survey data collected by our team from forty Tanzanian villages. We argue that it is time to return to a broader, integrated approach to rural development and recognize that local landholding systems offer high levels of security. Our findings have relevance beyond land formalization to other areas where duplicative efforts implemented in the name of progress might be counterproductive to achieving economic and social development goals. Full article
(This article belongs to the Special Issue Critical Insights on Tenure Security in the Global South)
Show Figures

Figure 1

27 pages, 40043 KB  
Article
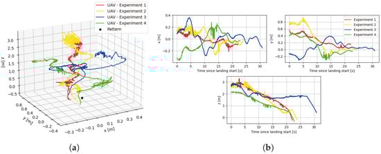
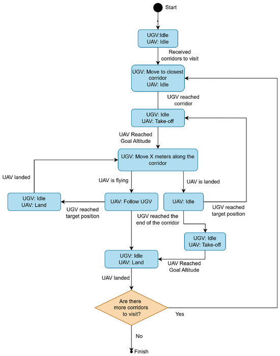
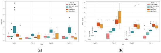
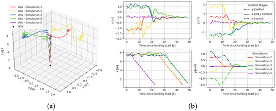
Collaborative Infrastructure-Free Aerial–Ground Robotic System for Warehouse Inventory Data Capture
by Rafaela Chaffilla, Paulo Alvito and Meysam Basiri
Drones 2025, 9(11), 792; https://doi.org/10.3390/drones9110792 - 13 Nov 2025
Abstract
Efficient and reliable inventory management remains a challenge in modern warehouses, where manual counting is time-consuming, error-prone, and costly. We present an autonomous aerial–ground system for warehouse inventory data capture that operates without external infrastructure or prior mapping operations. A differential-drive unmanned ground [...] Read more.
Efficient and reliable inventory management remains a challenge in modern warehouses, where manual counting is time-consuming, error-prone, and costly. We present an autonomous aerial–ground system for warehouse inventory data capture that operates without external infrastructure or prior mapping operations. A differential-drive unmanned ground vehicle (UGV) performs global localization and navigation from a simple 2D floor plan via 2D LiDAR scan-to-map matching fused in an Extended Kalman Filter. An unmanned aerial vehicle (UAV) uses fiducial-based relative localization to execute short, autonomous take-off, follow, precision landing, and close-range imaging of high shelves. By ferrying the UAV between aisles, the UGV extends the UAV’s effective endurance and coverage, limiting flight to brief, high-value segments. We validate the system in simulation and real environments. In simulation, the proposed localization method achieves higher accuracy and consistency than AMCL, GMapping, and KartoSLAM across varied layouts. In experiments, the UAV reliably follows and lands on the UGV, producing geo-referenced imagery of high shelves suitable for downstream inventory recognition. Full article
Show Figures

Figure 1

22 pages, 2234 KB  
Article
Research on the Spatial Evolution and Planning Strategies of Green Belts in Metropolises
by Guoping Xiong and Zhuowei Yao
Land 2025, 14(11), 2239; https://doi.org/10.3390/land14112239 - 12 Nov 2025
Viewed by 134
Abstract
Green belts in metropolises face a significant contradiction between ecological protection constraints and urban sprawl, necessitating effective planning and management. Existing studies have primarily focused on a single dimension, while the factors influencing the spatial evolution of green belts are complex and diverse. [...] Read more.
Green belts in metropolises face a significant contradiction between ecological protection constraints and urban sprawl, necessitating effective planning and management. Existing studies have primarily focused on a single dimension, while the factors influencing the spatial evolution of green belts are complex and diverse. This study establishes a multi-objective quantitative analysis framework, utilizing quantitative analysis methods such as average nearest neighbor analysis, landscape ecological index analysis, land–use transition matrix, kernel density estimation, and spatial autocorrelation models. Taking the green belt area of Shijiazhuang as a case study, this research systematically analyzes the spatial evolution characteristics of the region from 2015 to 2024. The findings reveal spatial patterns such as the small-scale and dispersed expansion of industrial land, increasing fragmentation of ecological spaces, ongoing encroachment on agricultural land, differentiated growth of service industry spaces, and the uncontrolled sprawl of residential areas in villages and towns during rapid urbanization. These patterns lead to increased ecological risks, imbalanced urban–rural development, and lagging infrastructure. To address these challenges, this study proposes a planning strategy of “adjusting the primary industry, restricting the secondary industry, and promoting the tertiary industry,” aiming to resolve the conflict between ecological protection and urban expansion in metropolitan green belts, ensuring their orderly development. This research provides insights for the sustainable development of green belts in Metropolises of developing countries during the rapid urbanization process. Full article
(This article belongs to the Special Issue Building Resilient and Sustainable Urban Futures)
Show Figures

Figure 1

18 pages, 4510 KB  
Article
Spatiotemporal Evolution and Driving Factors of Land Economic Density at Township Scale: A Case Study of Anyang City, China
by Zechen Wang, Xin Shen, Jiayuan Mao, Zhangyanyang Yao and Shiliang Liu
Land 2025, 14(11), 2227; https://doi.org/10.3390/land14112227 - 11 Nov 2025
Viewed by 268
Abstract
Land economic density (LED) is vital for optimizing industrial structure and promoting intensive resource utilization. However, most existing studies have focused on city or county scales, with limited attention to township-level patterns. To address this research gap, we take 86 townships in Anyang [...] Read more.
Land economic density (LED) is vital for optimizing industrial structure and promoting intensive resource utilization. However, most existing studies have focused on city or county scales, with limited attention to township-level patterns. To address this research gap, we take 86 townships in Anyang City as research units and develop a four-dimensional evaluation system for LED. The study aims to reveal the spatial patterns and driving mechanisms of township-level LED evolution. This study is based on township-level land use, statistical, and socioeconomic data from 2005 to 2023. Using ArcGIS 10.5 for spatial analysis, spatial autocorrelation, standard deviation ellipse, and geographically weighted regression methods were applied to explore the spatiotemporal evolution and driving mechanisms of LED in Anyang City. The results indicate that (1) high-LED areas form a ring around the central city with dual cores in western Linzhou county and southeastern Huaxian county, while low-LED areas are concentrated at the northwestern and northeastern margins; (2) global spatial autocorrelation is weak, with low–low clusters shrinking from contiguous patches to only three townships by 2023, while high–high clusters expand from isolated points to multi-centered diffusion; (3) the ellipse consistently shows a northwest–southeast orientation, with the rotation angle increasing from 128.24° to 130.35°, the flatness ratio rising from 0.432 to 0.445, and the centroid shifting northwest then southeast; (4) The geographically weighted regression (GWR) results highlight economic foundation, industrial upgrading, and government support as the dominant drivers. Based on these findings, we propose a “One Core–Four Poles, Three Axes–Five Zones” spatial optimization framework to promote coordinated urban–rural development. This study provides a practical and multidimensional evaluation approach at the township level, offering methodological support for regional territorial spatial planning and sustainable development. Full article
(This article belongs to the Special Issue Celebrating National Land Day of China)
Show Figures

Figure 1

19 pages, 1682 KB  
Article
Assessing Port Facility Safety: A Comparative Analysis of Global Accident and Injury Databases
by Antonio Giovannetti, Marco Gotelli, Vittorio Solina and Flavio Tonelli
Appl. Sci. 2025, 15(22), 11961; https://doi.org/10.3390/app152211961 - 11 Nov 2025
Viewed by 147
Abstract
Maritime transportation plays a vital role in international trade and commerce, with ports serving as critical points of connection between land and sea transportation systems. The operational efficiency of port facilities is essential to ensure the uninterrupted flow of goods and services, making [...] Read more.
Maritime transportation plays a vital role in international trade and commerce, with ports serving as critical points of connection between land and sea transportation systems. The operational efficiency of port facilities is essential to ensure the uninterrupted flow of goods and services, making port safety a top priority for governments, authorities, and shipping companies. Due to the importance of Occupational Health and Safety (OHS) within port environments, it is crucial to develop a structured framework in order to collect and analyze port accidents data. Today there are several different national agencies, private organizations, and/or local regulatory bodies taking charge of these data over different areas, each with variations in how they document and classify the events; in addition these are frequently limited to only major disasters and/or summary statistics. This paper aims to create a general framework to collect and fuse open-source port accident data from different sources in a structured way and to analyze the safety conditions of port facilities by conducting a comparative evaluation based on design of experiment (DoE). Through this analysis, we identify common causes of accidents and injuries in port facilities, as well as any differences in safety conditions across regions, types of port facilities, and other relevant factors. This information can be used to inform policies and practices aimed at improving port safety, reducing accidents and injuries, and ultimately enhancing the efficiency and sustainability of maritime transportation systems. The motivation to develop this research relies on the necessity to define requirements for the development of innovative solutions to be developed by the authors using modeling and simulation (M&S) and XR (extended reality) in order to increase safety in these contexts. Full article
Show Figures

Figure 1

34 pages, 939 KB  
Article
Rising from the Margins: The Formation of the Institutional Features of Religious Organizations—A Case Study of the Development of Chan Buddhism and Pure Land Buddhism in the Early Tang Dynasty
by Qixin Yang and Yanfei Sun
Religions 2025, 16(11), 1437; https://doi.org/10.3390/rel16111437 - 11 Nov 2025
Viewed by 317
Abstract
How are the institutional features of religious organizations formed? In seeking to explain religious change and development, an increasing number of sociologists of religion emphasize the importance of organizational features. However, few scholars have examined how these institutional features take shape during the [...] Read more.
How are the institutional features of religious organizations formed? In seeking to explain religious change and development, an increasing number of sociologists of religion emphasize the importance of organizational features. However, few scholars have examined how these institutional features take shape during the early stages of religious organizations. Given that emerging religions often originate in marginalized contexts with scarce resources and limited support, this paper draws on the theory of interstitial space to analyze how such relatively unstructured and flexible environments—which provide greater freedom and adaptability for agents—affect religious development. The study finds that interstitial space fosters religious innovation and helps shape the institutional features of emerging religions. Furthermore, this paper proposes four explanatory mechanisms to illustrate how the interstitial space in multiple marginalized areas shapes the features of religious organizations. These mechanisms can shed light on the development of various religious sects, including Chan Buddhism and Pure Land Buddhism in the early Tang dynasty. Full article
Show Figures

Figure 1

27 pages, 7691 KB  
Article
Seasonal Variations in the Mechanisms Linking the Built Environment and Metro Station Area Vitality in Cold Regions: A Case Study of Harbin
by Xiaolu Zhou and Jianfei Chen
Land 2025, 14(11), 2222; https://doi.org/10.3390/land14112222 - 10 Nov 2025
Viewed by 195
Abstract
As urbanization advances toward refined territorial spatial governance, integrating comprehensive transportation and spatial vitality has become essential for sustainable urban development. Transit-oriented development (TOD) plays a key role in linking transportation infrastructure with the coordinated evolution of territorial space. However, the interaction mechanisms [...] Read more.
As urbanization advances toward refined territorial spatial governance, integrating comprehensive transportation and spatial vitality has become essential for sustainable urban development. Transit-oriented development (TOD) plays a key role in linking transportation infrastructure with the coordinated evolution of territorial space. However, the interaction mechanisms between the built environment and metro station area vitality in cold-region cities remain underexplored, particularly in relation to seasonal differentiation. Taking Harbin as a representative cold-region metropolis, this study investigates how built environment factors shape metro station area vitality across seasons and how their spatial mechanisms differ between winter and summer. An indicator system based on the “5D” framework was established, and K-means clustering was applied to classify stations into four coordinated spatial types. A composite vitality index integrating transportation, social, and economic dimensions was constructed to assess seasonal variations. Spearman correlation and XGBoost models identified dominant drivers at the global level, while the MGWR model revealed spatial heterogeneity. The results indicate that POI density exerts the strongest influence on metro station area vitality, contributing 47.95% in winter and 47.27% in summer. Residential density plays a more decisive role during summer, accounting for 18.90%. In contrast, winter vitality depends more on transportation accessibility, with the distance to parking facilities contributing 11.59%. Core urban stations consistently maintain high vitality, while peripheral areas have weaker performances, especially during winter. These findings clarify seasonally adaptive mechanisms linking the built environment and spatial vitality, providing evidence for coordinated optimization of metro systems and land-use planning in cold-region cities. Full article
Show Figures

Figure 1

29 pages, 3996 KB  
Article
Demand Assessment and Integration Feasibility Analysis for Advanced and Urban Air Mobility in Illinois
by Vasileios Volakakis, Christopher Cummings, Laurence Audenaerd, William M. Viste and Hani S. Mahmassani
Appl. Sci. 2025, 15(22), 11901; https://doi.org/10.3390/app152211901 - 8 Nov 2025
Viewed by 244
Abstract
Advanced and Urban Air Mobility (AAM and UAM) represent emerging transportation concepts that involve the use of novel aircraft technologies to transport passengers and cargo within urban, regional, and intra-regional environments. These systems may include Electric Vertical Take-off and Landing (eVTOL) aircraft, Short [...] Read more.
Advanced and Urban Air Mobility (AAM and UAM) represent emerging transportation concepts that involve the use of novel aircraft technologies to transport passengers and cargo within urban, regional, and intra-regional environments. These systems may include Electric Vertical Take-off and Landing (eVTOL) aircraft, Short Take-off and Landing (STOL) aircraft, and unmanned aerial vehicles (UAVs), which are being considered for a range of applications including passenger transport, cargo delivery, and other specialized operations. This study introduced a state-specific analytical framework that integrates different methodologies and data to enable a more precise evaluation of AAM viability in the State of Illinois, compared to generic national or global assessments, capturing the state’s unique mobility patterns, infrastructure constraints, and demographic distributions. One of the main goals is to provide a comprehensive evaluation of the potential implications—both challenges and opportunities—associated with AAM and UAM operations. The analysis examines potential impacts on mobility, infrastructure, economic development, and public services, with particular emphasis on identifying key considerations for policy development. The research framework categorizes use cases into two broad types: AAM for the transportation of people and cargo, and AAM for functional applications such as emergency response, agriculture, and infrastructure monitoring. The study provides a detailed quantitative assessment of passenger air taxi services, including demand estimation, business model feasibility analysis, integration effects on existing transportation systems, and infrastructure requirements. For other AAM applications, the analysis identifies operational considerations, regulatory implications, and potential barriers to implementation, establishing a foundation for future detailed evaluation. Full article
(This article belongs to the Special Issue Autonomous Vehicles and Robotics—2nd Edition)
Show Figures

Figure 1

22 pages, 15544 KB  
Article
A Method for Paddy Field Extraction Based on NDVI Time-Series Characteristics: A Case Study of Bishan District
by Chenxi Yuan, Yongzhong Tian, Ye Huang, Jinglian Tian and Wenhao Wan
Agriculture 2025, 15(22), 2321; https://doi.org/10.3390/agriculture15222321 - 7 Nov 2025
Viewed by 212
Abstract
Rice, as one of the world’s three major staple crops, provides a food source for nearly half of the global population. Timely and accurate acquisition of rice cultivation information is crucial for optimizing spatial distribution, guiding production practices, and safeguarding food security. Taking [...] Read more.
Rice, as one of the world’s three major staple crops, provides a food source for nearly half of the global population. Timely and accurate acquisition of rice cultivation information is crucial for optimizing spatial distribution, guiding production practices, and safeguarding food security. Taking Bishan District of Chongqing as the study area, NDVI values were derived from Sentinel-2 satellite imagery to construct standard NDVI time-series curves for typical land-cover types, including paddy fields, dryland, water bodies, construction land, and forest and grassland. These curves were then used in the NDVI time-series characteristics method to identify paddy fields. First, the Euclidean distance between the standard NDVI time series of paddy fields and those of other land-cover types was calculated. The sum of these element-wise differences was used to determine the upper threshold for paddy field extraction. Second, the mean absolute deviation between elements of the rice sample dataset and the standard NDVI time series was calculated for each time step. The sum of these average deviations was used as the lower threshold to extract the initial paddy field data. On this basis, an extreme-value constraint was introduced to reduce the interference of mixed pixels from forest and grassland and construction land, effectively eliminating anomalous pixels and improving the accuracy of paddy field identification. Finally, the results were validated and compared with those from other extraction methods. The results indicate that: (1) Paddy fields exhibit distinct NDVI time-series characteristics throughout the entire growing season, which can serve as a reference standard. By calculating the Euclidean distance between the NDVI curves of other land-cover types and those of paddy fields, similarity can be quantified, enabling rice identification. (2) The extraction method based on NDVI time-series characteristics successfully identified paddy fields through the appropriate setting of thresholds. The overall accuracy and Kappa coefficient remained high, while the F1-score consistently exceeded 0.8, indicating a good balance between precision and recall. Furthermore, the bootstrap uncertainty analysis revealed narrow 95% confidence intervals across all metrics, confirming the robustness and statistical reliability of the results. Overall, the proposed method demonstrated excellent performance in paddy field classification and significantly outperformed traditional machine learning methods implemented on the GEE platform. (3) Mixed pixels considerably affected the accuracy of rice classification; however, the introduction of the extreme-value constraint effectively mitigated this influence and further improved classification results. Full article
(This article belongs to the Section Artificial Intelligence and Digital Agriculture)
Show Figures

Figure 1

19 pages, 12357 KB  
Article
Ecological Wisdom Study of the Han Dynasty Settlement Site in Sanyangzhuang Based on Landscape Archaeology
by Yingming Cao, He Jiang, MD Abdul Mueed Choudhury, Hangzhe Liu, Guohang Tian, Xiang Wu and Ernesto Marcheggiani
Heritage 2025, 8(11), 466; https://doi.org/10.3390/heritage8110466 - 6 Nov 2025
Viewed by 270
Abstract
This study systematically investigates settlement sites that record living patterns of ancient humans, aiming to reveal the interactive mechanisms of human–environment relationships. The core issues of landscape archeology research are the surface spatial structure, human spatial cognition, and social practice activities. This article [...] Read more.
This study systematically investigates settlement sites that record living patterns of ancient humans, aiming to reveal the interactive mechanisms of human–environment relationships. The core issues of landscape archeology research are the surface spatial structure, human spatial cognition, and social practice activities. This article takes the Han Dynasty settlement site in Sanyangzhuang, Neihuang County, Anyang City, Henan Province, as a typical case. It comprehensively uses ArcGIS 10.8 spatial analysis and remote sensing image interpretation techniques to construct spatial distribution models of elevation, slope, and aspect in the study area, and analyzes the process of the Yellow River’s ancient course changes. A regional historical geographic information system was constructed by integrating multiple data sources, including archeological excavation reports, excavated artifacts, and historical documents. At the same time, the sequences of temperature and dry–wet index changes in the study area during the Qin and Han dynasties were quantitatively reconstructed, and a climate evolution map for this period was created based on ancient climate proxy indicators. Drawing on three dimensions of settlement morphology, architectural spatial organization, and agricultural technology systems, this paper provides a deep analysis of the site’s spatial cognitive logic and the ecological wisdom it embodies. The results show the following: (1) The Sanyangzhuang Han Dynasty settlement site reflects the efficient utilization strategy and environmental adaptation mechanism of ancient settlements for land resources, presenting typical scattered characteristics. Its formation mechanism is closely related to the evolution of social systems in the Western Han Dynasty. (2) In terms of site selection, settlements consider practicality and ceremony, which can not only meet basic living needs, but also divide internal functional zones based on the meaning implied by the orientation of the constellations. (3) The widespread use of iron farming tools has promoted the innovation of cultivation techniques, and the implementation of the substitution method has formed an ecological regulation system to cope with seasonal climate change while ensuring agricultural yield. The above results comprehensively reflect three types of ecological wisdom: “ecological adaptation wisdom of integrating homestead and farmland”, “spatial cognitive wisdom of analogy, heaven, law, and earth”, and “agricultural technology wisdom adapted to the times”. This study not only deepens our understanding of the cultural value of the Han Dynasty settlement site in Sanyangzhuang, but also provides a new theoretical perspective, an important paradigm reference, and a methodological reference for the study of ancient settlement ecological wisdom. Full article
Show Figures

Figure 1

19 pages, 1562 KB  
Article
Nonlinear Effects of Land Resource Misallocation and Carbon Emission Efficiency Across Various Industrial Structure Regimes: Evidence from PSTR Model
by Lu Li, Qiuyue Xia and Tian Liu
Land 2025, 14(11), 2207; https://doi.org/10.3390/land14112207 - 6 Nov 2025
Viewed by 307
Abstract
Carbon emission efficiency plays a vital role in the realization of the “dual carbon” goals. Taking land resource allocation as the entry point, this paper explores how land resource misallocation (LRM) affects carbon emission efficiency (CEE) to support the enhancement of CEE and [...] Read more.
Carbon emission efficiency plays a vital role in the realization of the “dual carbon” goals. Taking land resource allocation as the entry point, this paper explores how land resource misallocation (LRM) affects carbon emission efficiency (CEE) to support the enhancement of CEE and the optimal allocation of land resources. Using 108 cities in the Yangtze River Economic Belt from 2003 to 2021 as an example, this paper constructs a panel smooth transition model (PSTR), with industrial structure as the transition variable, to examine the nonlinear impact effects of LRM on CEF and its regional heterogeneity. The research results show that the LRM index as a whole presents a fluctuating downward trend, while CEF shows a fluctuating but slow upward trend, and the regional differences in both LRM and CEF continue to expand. There exists a significant nonlinear relationship between LRM and CEF. When the advancement of industrial structure index shifts from the low regime to the high regime, the impact of LRM on CEF presents an inverted “U”-shaped curve characteristic. The nonlinear impact of LRM on CEF exhibits regional heterogeneity, and the threshold effect of industrial structure is the main reason for the regional differences in the nonlinear impact. Therefore, it is necessary to accelerate the market-oriented reform of land factor allocation, and to formulate phased and differentiated land resource allocation policies adapted to the stages of industrial structure development, so as to effectively serve the goals of green, low-carbon, and high-quality development. Full article
Show Figures

Figure 1

26 pages, 3336 KB  
Article
Estimation Method for Basic Parameters of High-Speed Vertical Take-Off and Landing Aircraft
by Yu Wang, Qihang Li and Pan Li
Aerospace 2025, 12(11), 992; https://doi.org/10.3390/aerospace12110992 - 6 Nov 2025
Viewed by 298
Abstract
The research aims to propose a basic parameter estimation method for high-speed vertical take-off and landing (HSVTOL) aircraft, balancing rotor and fixed-wing mode requirements. Flight profiles and performance indicators are defined based on mission phases, and maximum take-off weight is estimated using the [...] Read more.
The research aims to propose a basic parameter estimation method for high-speed vertical take-off and landing (HSVTOL) aircraft, balancing rotor and fixed-wing mode requirements. Flight profiles and performance indicators are defined based on mission phases, and maximum take-off weight is estimated using the fuel fraction method. A pre-estimation model for a turboshaft–turbofan variable cycle engine (TSFVCE) was established, and the conversion between thrust and power was conducted. Constraints related to different performance requirements were analyzed, and the relationship between the rotor and the wing was established, resulting in the generation of constraint diagrams for the selection of basic parameters. This method allows for the rapid and effective estimation of basic parameters, including maximum take-off weight, rotor disk loading, and wing loading. Two tiltrotor aircraft were analyzed using this method. The estimated results closely matched actual values, with errors within a reasonable range. These findings demonstrate the method’s reliability and provide a reference for HSVTOL conceptual design and engine power matching. Full article
(This article belongs to the Section Aeronautics)
Show Figures

Figure 1

20 pages, 14465 KB  
Article
Population Flow-Based Evaluation and Zoning Optimization for Rural Settlement Utilization Efficiency in Metropolitan Suburbs
by Jiancong Xiang, Ruitian Zhang, Dun Wang and Xuesong Kong
Land 2025, 14(11), 2194; https://doi.org/10.3390/land14112194 - 5 Nov 2025
Viewed by 318
Abstract
To address the utilization challenges of rural settlements in metropolitan suburbs, this study takes the suburban areas of Wuhan as its research object. Based on mobile signaling data and multi-source geographic data, it evaluates their utilization efficiency and construction suitability from both dynamic [...] Read more.
To address the utilization challenges of rural settlements in metropolitan suburbs, this study takes the suburban areas of Wuhan as its research object. Based on mobile signaling data and multi-source geographic data, it evaluates their utilization efficiency and construction suitability from both dynamic and static dimensions, and proposes zoning optimization strategies. The study constructed a population mobility network, revealing that rural population flow in Wuhan radiates primarily from the main urban core, with net inflow or balance prevalent in near-suburban areas and net outflow dominant in distant suburbs. The results indicate that only 11.45% of villages achieve medium-to-high utilization efficiency, while 94.50% of the area is classified as highly suitable for development. Based on the “Efficiency-Potential” matrix, villages are categorized into five types, including key development type, gradual optimization type, potential activation type, steady-state improvement type and priority exit type. This study contributes to our understanding of the relationship between rural population and land, and provides support for the optimization of suburban settlements and rural revitalization. Full article
Show Figures

Figure 1

14 pages, 1850 KB  
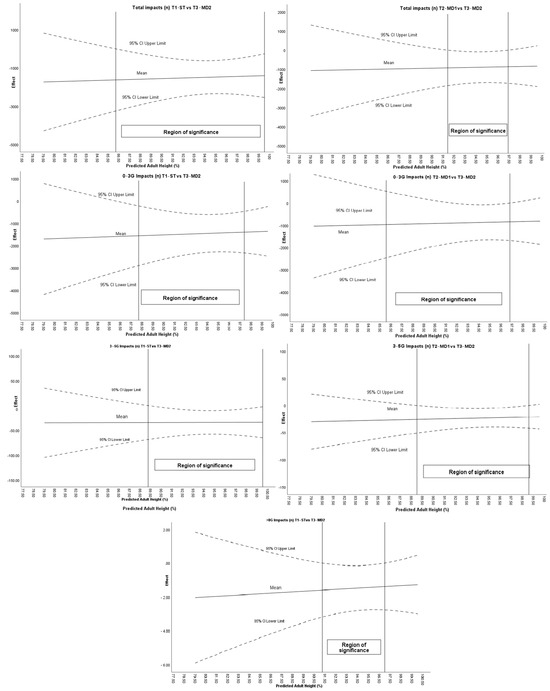
Article
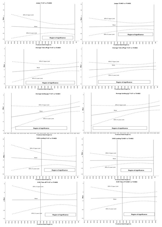
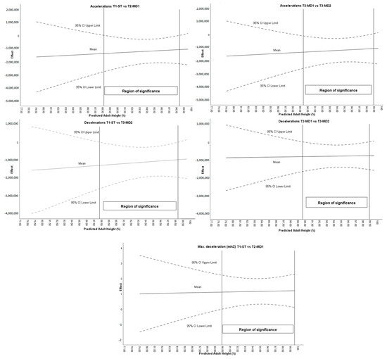
Impact of Modified Competition Formats on Physical Performance in Under-14 Female Volleyball Players: The Role of Biological Maturity
by Ricardo André Birrento-Aguiar, Francisco Javier García-Angulo, Lucas Leonardo, José Manuel Palao-Andrés and Enrique Ortega-Toro
Sports 2025, 13(11), 390; https://doi.org/10.3390/sports13110390 - 5 Nov 2025
Viewed by 300
Abstract
The present study aimed to examine the influence of different competition models on the physical performance of under-14 female volleyball players, attending to biological maturity development. A quasi-experimental design was conducted involving 29 regional-level players (mean percentage of predicted adult height [PAH] = [...] Read more.
The present study aimed to examine the influence of different competition models on the physical performance of under-14 female volleyball players, attending to biological maturity development. A quasi-experimental design was conducted involving 29 regional-level players (mean percentage of predicted adult height [PAH] = 95.38%). Three tournament formats were implemented: Standard Tournament (ST) 1 followed official regulations; Modified Tournament 1 (MD1) featured modified rules including a reduced net height (from 2.10 m to 2.00 m), prohibition of jump serves, and a maximum of two consecutive serves per rotation; and Modified Tournament 2 (MD2) included all prior modifications alongside a reduced court size (from 9 × 9 m to 8 × 8 m). Performance metrics analyzed included the number of accelerations, decelerations, impacts, and jumps (total count, G-force, take-off, and landing characteristics). Measures were gathered using a local positioning system (LPS) device based on UWB technology and an inertial measurement (IMU; WIMU PROTM, Real Track Systems, Almeria, Spain). Significant differences were observed between the tournaments, with Modified Tournament 1 (MD1) and Modified Tournament 2 (MD2) showing higher values in accelerations (p = 0.005), decelerations (p = 0.005), impacts (p < 0.01), and jumps (p < 0.01) compared to Standard Tournament. Notably, the greatest improvements were found between Standard Tournaments (ST) and Modified Tournament 2 (MD2). These findings suggest that modified competition formats enhance kinematic performance in under-14 female volleyball players. The results support the need for age- and maturity-appropriate adjustments to competition regulations in youth volleyball. Full article
Show Figures

Figure 1

29 pages, 8422 KB  
Article
Evaluation of Groundwater Storage in the Heilongjiang (Amur) River Basin Using Remote Sensing Data and Machine Learning
by Teng Sun, ChangLei Dai, Kaiwen Zhang and Yang Liu
Sustainability 2025, 17(21), 9758; https://doi.org/10.3390/su17219758 - 1 Nov 2025
Viewed by 266
Abstract
Against the backdrop of global warming and intensified anthropogenic activities, groundwater reserves are rapidly depleting and facing unprecedented threats to their long-term sustainability. Consequently, investigating groundwater reserves is of critical importance for ensuring water security and promoting sustainable development. This study takes the [...] Read more.
Against the backdrop of global warming and intensified anthropogenic activities, groundwater reserves are rapidly depleting and facing unprecedented threats to their long-term sustainability. Consequently, investigating groundwater reserves is of critical importance for ensuring water security and promoting sustainable development. This study takes the Heilongjiang (Amur) River Basin as the research area. Groundwater storage was estimated using data from the Gravity Recovery and Climate Experiment (GRACE) satellite and the Global Land Data Assimilation System (GLDAS) covering the period from 2002 to 2024. A combination of Random Forest (RF), SHapley Additive exPlanation (SHAP) models, and Pearson partial correlation coefficients was employed to analyze the spatiotemporal evolution characteristics, driving mechanisms, and spatial linear correlations of the primary influencing factors. The results indicate that the basin’s groundwater storage anomaly (GWSA) exhibits an overall declining trend. GWSA is influenced by multiple factors, including climatic and anthropogenic drivers, with temperature (TEM) and precipitation (PRE) identified as the primary controlling variables. Spatiotemporal analysis reveals significant spatial heterogeneity in the relationship between GWSA evolution and its primary drivers. This study adopts a “retrieval–attribution–spatial analysis” framework to provide a scientific basis for enhancing regional groundwater security and supporting sustainable development goals. Full article
Show Figures

Figure 1

Back to TopTop