Sign in to use this feature.

Years

Between: -

Subjects

remove_circle_outline
remove_circle_outline
remove_circle_outline
remove_circle_outline
remove_circle_outline
remove_circle_outline
remove_circle_outline
remove_circle_outline
remove_circle_outline

Journals

remove_circle_outline
remove_circle_outline
remove_circle_outline
remove_circle_outline
remove_circle_outline
remove_circle_outline
remove_circle_outline
remove_circle_outline
remove_circle_outline
remove_circle_outline
remove_circle_outline
remove_circle_outline
remove_circle_outline
remove_circle_outline
remove_circle_outline
remove_circle_outline
remove_circle_outline
remove_circle_outline

Article Types

Countries / Regions

remove_circle_outline
remove_circle_outline
remove_circle_outline
remove_circle_outline
remove_circle_outline
remove_circle_outline
remove_circle_outline

Search Results (3,676)

Search Parameters:
Keywords = kinetic experiments

Order results
Result details
Results per page
Select all
Export citation of selected articles as:
24 pages, 2610 KB  
Article
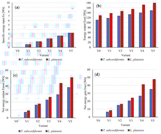
The Effect of Pretreatment of Tetraselmis subcrodiformis (Wille) Butcher and Limnospira platensis (Gomont) Ciferri et Tiboni Biomass with Solidified Carbon Dioxide on the Efficiency of Anaerobic Digestion
by Marcin Dębowski, Izabela Świca, Marcin Zieliński and Joanna Kazimierowicz
Appl. Sci. 2025, 15(21), 11373; https://doi.org/10.3390/app152111373 - 23 Oct 2025
Abstract
The aim of this study was to determine the effects of low-temperature pretreatment of microalgae (Tetraselmis subcordiformis (Wille) Butcher) and cyanobacteria (Limnospira platensis (Gomont) Ciferri et Tiboni) using solidified carbon dioxide (SCO2) on the progression of methane fermentation. The [...] Read more.
The aim of this study was to determine the effects of low-temperature pretreatment of microalgae (Tetraselmis subcordiformis (Wille) Butcher) and cyanobacteria (Limnospira platensis (Gomont) Ciferri et Tiboni) using solidified carbon dioxide (SCO2) on the progression of methane fermentation. The experiment was carried out under batch conditions with six process variants that differed in the volumetric ratio of SCO2 to the biomass tested. Changes in organic matter solubility, anaerobic digestion kinetics and overall CH4 production performance were analysed. The results showed that pretreatment effectively increased the solubility of organic compounds, especially in the case of L. platensis biomass, where the highest increases in soluble sTOC (up to 21.6%) and sCOD (up to 14.3%) were observed. CH4 yield in the most efficient variant (SCO2:biomass = 1:2.5) increased to 354 ± 16 mL CH4/gVS for T. subcordiformis and 403 ± 18 mL CH4/gVS for L. platensis, respectively. Despite the apparently less favourable physicochemical parameters of the biomass for anaerobic digestion, L. platensis showed a higher susceptibility to digestion and better kinetic indicators for methane fermentation. The results indicate that the efficiency of anaerobic biodegradation of biomass depends not only on the chemical composition but also on the cellular structure and physicochemical interactions during pretreatment. The use of SCO2 as a disintegrant could be an effective, energy-saving method to increase the fermentation efficiency of photosynthetic microorganisms in biowaste management. Full article
Show Figures

Figure 1

15 pages, 1015 KB  
Article
Aristolochic Acid I Adsorption onto Activated Carbon: Kinetics, Equilibrium, and Thermodynamic Studies
by Maria-Alexandra Pricop, Adina Negrea, Mihaela Ciopec, Ioan Bogdan Pascu, Camelia Oprean, Alexandra Teodora Lukinich-Gruia, Iustina-Mirabela Cristea, Alexandra Ivan, Virgil Păunescu and Călin Adrian Tatu
Processes 2025, 13(11), 3397; https://doi.org/10.3390/pr13113397 - 23 Oct 2025
Abstract
The removal of phytotoxins from herbal preparations is important due to evidence linking exposure to aristolochic acid I (AAI), a toxin found in Aristolochiaceae species, with certain kidney diseases. This study evaluates the effectiveness of activated carbon (AC) in removing AAI from aqueous [...] Read more.
The removal of phytotoxins from herbal preparations is important due to evidence linking exposure to aristolochic acid I (AAI), a toxin found in Aristolochiaceae species, with certain kidney diseases. This study evaluates the effectiveness of activated carbon (AC) in removing AAI from aqueous solutions and determines the optimal conditions for the process, which are necessary for accurate kinetic, thermodynamic, and equilibrium analyses. After establishing the best conditions for the adsorption reaction (pH > 6; solid/liquid ratio (S:L) = 0.1 g adsorbent: 25 mL AAI solution; contact time 120 min; temperature = 298 K, AAI initial concentration (Ci) = 150 mg/L), a maximum adsorption capacity of 10.67 mg/g was obtained. Quantitative analysis of AAI was performed using UV-VIS spectrophotometry. Experiments on kinetics, thermodynamics, and adsorption isotherms were carried out. The findings showed that the process adheres to pseudo-second-order kinetics and is spontaneous and endothermic and takes place at the interface between the adsorbent and adsorbate. The equilibrium data fits the Sips isotherm model with a regression coefficient close to 1. The findings indicate that AC is an effective material for the removal of AAI by adsorption from an aqueous solution. Full article
25 pages, 4789 KB  
Article
A New Hybrid Rigid–Flexible Coupling Modeling for Efficient Vibration Analysis of the Cooling System of New Energy Vehicles
by Ning Zhang, Yuankai Ren, Zihong Li and Hangyu Lu
Actuators 2025, 14(11), 512; https://doi.org/10.3390/act14110512 - 22 Oct 2025
Abstract
The cooling system is a core component for a vehicle’s powertrains to operate smoothly and maintain a satisfying noise, vibration, and harshness (NVH) performance. However, advances in new energy vehicles bring with them complex requirements for the cooling fan design due to new [...] Read more.
The cooling system is a core component for a vehicle’s powertrains to operate smoothly and maintain a satisfying noise, vibration, and harshness (NVH) performance. However, advances in new energy vehicles bring with them complex requirements for the cooling fan design due to new issues such as increased heat load, dynamic variations, and high-speed vibrations, which demand the optimization of fan dynamics over a wide range of parameters. In this paper, by thoroughly checking the effect of rigid–flexible coupling and the geometrically complex elastic frame of the fan, we propose a combined modeling approach to reduce the computational time of broad-range parameter variation analysis and examine the vibration problem in the cooling fans under various external excitations. First, the complicated frame of the fan is simplified through virtual prototyping based on an experiment. Then, modal transition is applied, reducing the complex kinetic expression, and a time-invariant system model is derived with multi-blade coordinate transformation. Stability and bifurcation analysis are performed regarding different excitation couplings from the rotor, powertrain, and road. The results of the simulation and experiment illustrate that the proposed methodology achieves a substantial reduction in computational time, and all degrees of freedom (DOFs) are divided into two groups including symmetrical and asymmetrical types. The results also imply the great potential for the optimization and control of the high-speed fan’s vibration for new energy cars. Full article
(This article belongs to the Section Actuators for Surface Vehicles)
Show Figures

Figure 1

23 pages, 1326 KB  
Article
Hardness Characterization of Simultaneous Aging and Surface Treatment of 3D-Printed Maraging Steel
by Zsuzsa Szabadi Olesnyovicsné, Attila Széll, Richárd Horváth, Mária Berkes Maros and Mihály Réger
Materials 2025, 18(21), 4830; https://doi.org/10.3390/ma18214830 - 22 Oct 2025
Abstract
The primary objective of this research is to simplify and make the industrial manufacturing process of coated maraging steels more economical by combining the advantages of additive manufacturing with simultaneous bulk (aging) and surface (nitriding) treatment in an effective manner. With this aim, [...] Read more.
The primary objective of this research is to simplify and make the industrial manufacturing process of coated maraging steels more economical by combining the advantages of additive manufacturing with simultaneous bulk (aging) and surface (nitriding) treatment in an effective manner. With this aim, preliminary experiments were performed that demonstrated the hardness (and related microstructure) of an as-built MS1 maraging steel, produced by selective laser melting (SLM), is comparable to that of the bulk maraging steel products treated by conventional solution annealing. The direct aging of the solution-annealed and as-built 3D printed maraging steel resulted in similar hardness, indicating that the kinetics of the precipitation hardening process are identical for the steel in both conditions. This assumption was strengthened by a thermodynamic analysis of the kinetics and determination of the activation energy for precipitation hardening using Differential Scanning Calorimetry (DSC) measurements. Industrial target experiments were performed on duplex-coated SLM-printed MS1 steel specimens, which were simultaneously aged and salt-bath nitrided, followed by PVD coating with three different ceramic layers: DLC, CrN, and TiN. For reference, similar duplex-coated samples were used, featuring a bulk Böhler W720 maraging steel substrate that was solution annealed, precipitation hardened, and salt-bath nitrided in separate steps, following conventional procedures. The technological parameters (temperature and time) of the simultaneous nitriding and aging process were optimized by modeling the phase transformations of the entire heat treatment procedure using DSC measurements. A comparison was made based on the in-depth hardness profile estimated by the so-called expanding cavity model (ECM), demonstrating that the hardness of the surface layer of the coated composite material systems is determined solely by the type of the coatings and does not influenced by the type of the applied substrate materials (bulk or 3D printed) or its heat treatment (whether it is a conventional, multi-step treatment or a simultaneous nitriding + aging process). Based on the research work, a proposal is suggested for modernizing and improving the cost-effectiveness of producing aged, duplex-treated, wear-resistant ceramic-coated maraging steel. Full article
(This article belongs to the Section Manufacturing Processes and Systems)
Show Figures

Figure 1

15 pages, 1555 KB  
Article
Selective Ammoxidation of Methanol to Hydrogen Cyanide over Silica-Supported FeMo Oxide Catalysts: Experiments and Kinetic Modeling
by Bo Wang and Yuhuan Zhao
Catalysts 2025, 15(11), 1004; https://doi.org/10.3390/catal15111004 - 22 Oct 2025
Abstract
We investigated the ammoxidation of methanol for the production of hydrogen cyanide. Silica-supported FeMo oxide catalysts achieved above 98% conversion of methanol, with more than 90% selectivity for the ammoxidation reaction product, HCN. The oxidation products, CO and CO2, were formed [...] Read more.
We investigated the ammoxidation of methanol for the production of hydrogen cyanide. Silica-supported FeMo oxide catalysts achieved above 98% conversion of methanol, with more than 90% selectivity for the ammoxidation reaction product, HCN. The oxidation products, CO and CO2, were formed with a molar selectivity less than 10%, depending on the operating conditions. The kinetics of the ammoxidation of methanol were investigated in a fixed-bed tubular reactor at 320–445 °C and atmospheric pressure. A Mars–van Krevelen model accounted for the ammoxidation of methanol as well as the formation of CO and CO2. The Levenberg–Marquardt algorithm was used to estimate the model parameters, which were statistically significant and fit the experimental data well. The model can be used to simulate and guide the operation of the industrial reactor. Full article
(This article belongs to the Section Catalytic Materials)
Show Figures

Figure 1

30 pages, 3134 KB  
Article
Metformin Mineralization via an Fe-PILC-Catalyzed Photo-Fenton Reaction Driven by UV and Visible Light
by Deysi Amado-Piña, Rubi Romero, Armando Ramírez-Serrano, Sandra Luz Martínez-Vargas, Teresa Torres-Blancas and Reyna Natividad
Water 2025, 17(20), 3028; https://doi.org/10.3390/w17203028 - 21 Oct 2025
Viewed by 199
Abstract
The presence of various drugs in wastewater has generated growing concern about the contamination of water bodies. This requires urgent attention and the development of effective methods for their degradation in aquatic ecosystems. The present study evaluates the efficiency of metformin (MET) degradation [...] Read more.
The presence of various drugs in wastewater has generated growing concern about the contamination of water bodies. This requires urgent attention and the development of effective methods for their degradation in aquatic ecosystems. The present study evaluates the efficiency of metformin (MET) degradation via various photochemical processes—photolysis, H2O2 photodecomposition, photocatalysis, and photo-Fenton—using iron-pillared bentonite clays (Fe-PILC) as a catalyst. The influence of radiation wavelength (254 nm and visible light) was investigated, while MET degradation, H2O2 consumption, and total organic carbon (TOC) removal were monitored as key response variables. Structural characterization confirmed successful pillaring, increasing the surface area of bentonite from 35 to 246 m2/g, with iron content at 11 wt. % quantified by atomic absorption spectroscopy. Fe3O4 and FeO were identified using XPS, and a 2.08 eV band-gap energy was revealed via diffuse reflectance spectroscopy. Experiments were conducted at environmentally relevant MET concentrations (13,000 ng L−1) in a 0.1 L batch photoreactor at 25 °C. The results demonstrate that (i) photo-Fenton was the most efficient process to remove and mineralize MET (100% degradation after 10 min and 83% mineralization after 90 min); (ii) Fe-PILC is effectively activated at λ < 700 nm, enabling 75% mineralization under visible light; (iii) hydroxyl radicals and valence band holes were the primary oxidative species driving MET oxidation; and (iv) cyanoguanidine and carboxylic acids were identified as main oxidation by-products via UHPLC. Pseudo-first-order kinetic constants were determined for all processes, offering insight into their relative efficiencies. Notably, the rate constant for photo-Fenton under visible light (0.406 min−1) was comparable to that under UV -light (0.545 min−1), highlighting the potential of visible light-driven treatments. Therefore, this study demonstrated the metformin degradation capability of iron-pillared clays under both visible and UV light. Full article
Show Figures

Figure 1

41 pages, 3872 KB  
Article
Influence of Selected Hypromellose Functionality-Related Characteristics and Soluble/Insoluble Filler Ratio on Carvedilol Release from Matrix Tablets
by Tadej Ojsteršek, Grega Hudovornik and Franc Vrečer
Pharmaceutics 2025, 17(10), 1358; https://doi.org/10.3390/pharmaceutics17101358 - 21 Oct 2025
Viewed by 195
Abstract
Background/Objectives: This study investigated how selected functionality-related characteristics (FRCs) of hypromellose (HPMC)—namely viscosity, hydroxypropoxy substitution, particle size, and the ratio of water-soluble (FlowLac® 100) to water-insoluble (Avicel® PH-102) fillers— affect the release of carvedilol from matrix tablets. Methods: Using a Central [...] Read more.
Background/Objectives: This study investigated how selected functionality-related characteristics (FRCs) of hypromellose (HPMC)—namely viscosity, hydroxypropoxy substitution, particle size, and the ratio of water-soluble (FlowLac® 100) to water-insoluble (Avicel® PH-102) fillers— affect the release of carvedilol from matrix tablets. Methods: Using a Central Composite Design (CCD) Design of Experiments (DoE), mixtures of HPMC QbD samples were prepared to achieve target HPMC FRC levels. Within the CCD, levels of FlowLac® 100 and Avicel® PH-102 were also varied. The mean and standard deviation of carvedilol release at each analyzed time point of the release profile were used as target variables for individual multiple linear regression (MLR) models. Results: Lactose, the water-soluble filler, significantly accelerated carvedilol release, whereas the water-insoluble MCC slowed and stabilized release by improving gel integrity. Among the HPMC FRCs, particle size had the strongest influence during the early release phase, while HPMC viscosity and hydroxypropoxy substitution degree became more important in later phases. Analysis of the results using optimized multiple linear regression (MLR) models revealed key interaction effects, particularly between HPMC viscosity and lactose content, and between viscosity and particle size, demonstrating their combined role in modulating release kinetics. Conclusions: These findings provide valuable insight into how controlling HPMC’s FRCs and filler composition can reduce interbatch variability in drug release and support the rational design of robust controlled release formulations. Full article
Show Figures

Figure 1

21 pages, 7248 KB  
Article
Novel Microwave-Synthesized Bimetallic Ce-Al-MOFs with Efficient Phosphate Removal from Aquaculture Effluent: Synthesis, Characterization and Applications
by Jian Zeng, Jiangnan Zhao, Zhenzhen Cai, Jianshe Hu, Zesheng Zhuo and Xiongping Miao
Water 2025, 17(20), 3019; https://doi.org/10.3390/w17203019 - 21 Oct 2025
Viewed by 181
Abstract
The eutrophication of natural water is a severe environmental risk faced by coastal marine ecosystems, and the excess nitrogen and phosphorus in aquaculture effluent are one of the main sources of environmental pollution. Effectively reducing as well as controlling the phosphorus content in [...] Read more.
The eutrophication of natural water is a severe environmental risk faced by coastal marine ecosystems, and the excess nitrogen and phosphorus in aquaculture effluent are one of the main sources of environmental pollution. Effectively reducing as well as controlling the phosphorus content in aquaculture effluent is of great importance for alleviating eutrophication and the governance of coastal environments. This study focuses on addressing phosphorus pollution by developing novel bimetallic Ce-Al-MOFs adsorbents via the microwave-assisted rapid synthesis method, among which the monomer Ce3Al3-BDC3 exhibits excellent phosphate adsorption capacity (136.99 mg P g−1) and great removal efficiency over a wide pH range (2~10). Batch experiments reveal that the adsorption is followed by pseudo-second-order kinetics and the Langmuir isotherm model, indicating monolayer chemisorption. The MOFs material shows high selectivity for phosphorus even under the interference of co-existing anions, as well as excellent reusability, retaining over 65% removal efficiency after six adsorption–desorption cycles. Field tests in coastal areas and indoor aquaculture systems both achieve over 97% phosphate removal, meeting discharge standards. A series of characterization methods identify ligand exchange, electrostatic interactions and surface complexation as key adsorption mechanisms. The Ce-Al-MOFs present a promising solution for mitigating eutrophication and managing aquaculture wastewater sustainably. Full article
(This article belongs to the Section Water, Agriculture and Aquaculture)
Show Figures

Figure 1

18 pages, 2407 KB  
Article
Opoka as a Natural Material for Phosphorus Removal: Properties and Applications
by Evelina Svedaite, Kestutis Baltakys and Tadas Dambrauskas
Water 2025, 17(20), 3017; https://doi.org/10.3390/w17203017 - 20 Oct 2025
Viewed by 266
Abstract
This study investigates the adsorption efficiency of thermally activated natural opoka, a siliceous–calcareous sedimentary rock, as a low-cost adsorbent for removing phosphorus from aqueous solutions. Comprehensive characterization using XRF, XRD, and STA revealed that raw opoka is primarily composed of quartz, tridymite, and [...] Read more.
This study investigates the adsorption efficiency of thermally activated natural opoka, a siliceous–calcareous sedimentary rock, as a low-cost adsorbent for removing phosphorus from aqueous solutions. Comprehensive characterization using XRF, XRD, and STA revealed that raw opoka is primarily composed of quartz, tridymite, and calcite, with a CaO/SiO2 molar ratio of approximately 0.45. After calcination at 850 °C, calcite decomposes and reacts with silica to form wollastonite, enhancing surface reactivity. Adsorption experiments conducted at phosphorus concentrations of 0.2, 2.6, and 5.0 g of P/L demonstrated that the material’s removal efficiency for phosphorus was highest at low concentrations (25.7% at 0.2 g/L) and decreased with an increase in concentration (20.8% at 2.6 g/L and 18.6% at 5.0 g/L). The adsorption process followed pseudo-second-order kinetics (R2 > 0.999), indicating that chemisorption is the dominant mechanism. It is assumed that amorphous calcium phosphate forms at low phosphorus concentrations and an alkaline pH, whereas brushite is more prevalent at higher concentrations under acidic conditions. Potassium adsorption was negligible and reversible in all cases. The findings demonstrate that calcined opoka has promising applications as a reactive calcium silicate material for sustainable phosphorus management in decentralized water treatment systems. Full article
(This article belongs to the Section Wastewater Treatment and Reuse)
Show Figures

Figure 1

20 pages, 2426 KB  
Article
Selective Removal of Chlorpyrifos from Contaminated Water Using Young Walnut-Derived Carbon Material as a Sustainable Adsorbent
by Rialda Kurtić, Tamara Tasić, Vedran Milanković, Vladan J. Anićijević, Lazar Rakočević, Nebojša Potkonjak, Christoph Unterweger, Igor A. Pašti and Tamara Lazarević-Pašti
Processes 2025, 13(10), 3357; https://doi.org/10.3390/pr13103357 - 20 Oct 2025
Viewed by 137
Abstract
Chlorpyrifos (CHP) is a persistent organophosphate pesticide whose presence in water poses serious ecological and health risks. Here, we report a sustainable adsorbent obtained by high-temperature carbonization of immature walnuts (Juglans regia). The adsorbent’s structure, surface chemistry, and charge properties were [...] Read more.
Chlorpyrifos (CHP) is a persistent organophosphate pesticide whose presence in water poses serious ecological and health risks. Here, we report a sustainable adsorbent obtained by high-temperature carbonization of immature walnuts (Juglans regia). The adsorbent’s structure, surface chemistry, and charge properties were comprehensively characterized using FTIR, SEM-EDX, zeta potential measurement, BET analysis, and XPS. The synthesis yielded a mesoporous carbon material with a BET surface area of 303 m2 g−1. Its performance in CHP removal was assessed under batch and dynamic conditions. Adsorption followed pseudo-second-order kinetics (k2 = 0.122 mg min−1 g−1; contact time 0–120 min). Isotherm experiments performed at 20, 25, and 30 °C, with equilibrium data best described by the Langmuir and Sips models, reaching a maximum capacity of 43.2 mg g−1. Thermodynamic analysis indicated a spontaneous and endothermic process. The adsorbent demonstrated selectivity for CHP over chlorpyrifos-oxon (CPO) in binary mixtures, retained its efficiency over at least ten regeneration cycles with ethanol, and removed up to 90% of CHP toxicity, as measured by acetylcholinesterase inhibition. Dynamic filtration confirmed its applicability under flow conditions. These findings demonstrate that the investigated adsorbent is an effective, reusable, and selective adsorbent, offering a low-cost and eco-friendly approach to pesticide removal from contaminated waters. Full article
(This article belongs to the Special Issue Advanced Wastewater Treatment Processes and Technologies)
Show Figures

Figure 1

26 pages, 6796 KB  
Article
The Green Preparation of ZrO2-Modified WO3-SiO2 Composite from Rice Husk and Its Excellent Oxidative Desulfurization Performance
by Hao Li, Xiaorong Xiang, Yinhai Zhang, Huiqing Cheng, Qian Chen, Xiang Li, Feng Wu and Xiaoxue Liu
Catalysts 2025, 15(10), 996; https://doi.org/10.3390/catal15100996 - 19 Oct 2025
Viewed by 258
Abstract
Recently, the resource utilization of agricultural biomass wastes for the preparation of a wide range of high-value-added chemicals and functional materials, especially heterogeneous catalysts, has received extensive attention from researchers. In this work, mesoporous WO3/ZrO2-SiO2 catalysts are prepared [...] Read more.
Recently, the resource utilization of agricultural biomass wastes for the preparation of a wide range of high-value-added chemicals and functional materials, especially heterogeneous catalysts, has received extensive attention from researchers. In this work, mesoporous WO3/ZrO2-SiO2 catalysts are prepared by a two-step incipient-wetness impregnation method using agricultural biomass waste rice husk (RH) as both the silicon source and mesoporous template. The effects of different WO3 and ZrO2 loadings on the oxidative desulfurization (ODS) performance of samples are investigated, and the suitable WO3 and ZrO2 loadings are 11 and 30%, respectively. The relevant characterization results indicate that, compared to 11%WO3/SiO2, the introduction of ZrO2 leads to the formation of stronger W-O-Zr bonds, which makes the tungsten species stabilized in the state of W6+. The strong preferential interaction between Zr and W facilitates the formation of stable and highly dispersed WOx clusters on the mesoporous ZrO2-SiO2 carrier. Furthermore, it also prevents the formation of WO3 crystallites, significantly reducing their content and thus inhibiting the loss of the WO3 component during cycling experiments. Therefore, the 11%WO3/30%ZrO2-SiO2 sample shows excellent catalytic activity and recycling performance (DBT conversion reaches 99.2% after 8 cycles, with a turnover frequency of 12.7 h–1; 4,6-DMDBT conversion reaches 99.0% after 7 cycles, with a turnover frequency of 6.3 h–1). The kinetics of the ODS reactions are further investigated. The mechanism of the ODS reaction is explored through experiments involving leaching, quenching, and the capture of the active intermediate. Finally, a possible reaction mechanism for the ODS process for the 11%WO3/30%ZrO2-SiO2 sample is proposed. Full article
(This article belongs to the Special Issue Heterogeneous Catalysis in China: New Horizons and Recent Advances)
Show Figures

Figure 1

16 pages, 3542 KB  
Article
Efficient Recovery of Lithium and Cobalt from Spent LCO Using Mechanochemical Activation and Ammoniacal Leaching
by Bagdatgul Milikhat, Aisulu Batkal, Kaster Kamunur, Lyazzat Mussapyrova, Yerzhan Mukanov and Rashid Nadirov
Processes 2025, 13(10), 3345; https://doi.org/10.3390/pr13103345 - 19 Oct 2025
Viewed by 235
Abstract
In this study, we investigate the recovery of Li and Co from spent LiCoO2 cathodes of spent lithium batteries using a combined approach of mechanochemical activation (MA) and ammoniacal leaching. High-energy ball milling disrupts the layered structure of LiCoO2, introduces [...] Read more.
In this study, we investigate the recovery of Li and Co from spent LiCoO2 cathodes of spent lithium batteries using a combined approach of mechanochemical activation (MA) and ammoniacal leaching. High-energy ball milling disrupts the layered structure of LiCoO2, introduces defects, and increases surface area, which strongly improves subsequent dissolution. Leaching experiments in an ammonia–ammonium sulphate–sulphite medium were optimized by varying the solid-to-liquid ratio, sodium sulfite concentration, and temperature. Under the best conditions (90 °C, 120 min, S/L = 10 g/L, 0.5 M Na2SO3), nearly complete recoveries were obtained: 99.5% Li and 96.5% Co. Kinetic modeling based on the shrinking-core model confirmed that dissolution of both metals is controlled by chemical reaction, with activation energies of 45.7 kJ·mol−1 for Li and 60.7 kJ·mol−1 for Co. Structural and morphological analyses (XRD, SEM) supported the enhanced reactivity of the activated material. The study demonstrates that MA coupled with optimized ammoniacal leaching provides an efficient process for LiCoO2 recycling, without using aggressive mineral acids and long treatment times. Full article
(This article belongs to the Section Chemical Processes and Systems)
Show Figures

Figure 1

20 pages, 1943 KB  
Article
Experimental and Machine Learning Modelling of Ni(II) Ion Adsorption onto Guar Gum: Artificial Neural Network (ANN) and K-Nearest Neighbor (KNN) Comparative Study
by Ismat H. Ali, Malak F. Alqahtani, Nasma D. Eljack, Sawsan B. Eltahir, Makka Hashim Ahmed and Abubakr Elkhaleefa
Polymers 2025, 17(20), 2791; https://doi.org/10.3390/polym17202791 - 18 Oct 2025
Viewed by 313
Abstract
In this study, a guar gum-based adsorbent was developed and evaluated for the removal of Ni(II) ions from aqueous solutions through a combined experimental and machine learning (ML) approach. The adsorbent was characterized using FTIR, SEM, XRD, TGA, and BET analyses to confirm [...] Read more.
In this study, a guar gum-based adsorbent was developed and evaluated for the removal of Ni(II) ions from aqueous solutions through a combined experimental and machine learning (ML) approach. The adsorbent was characterized using FTIR, SEM, XRD, TGA, and BET analyses to confirm surface functionality and porous morphology suitable for metal binding. Batch adsorption experiments were conducted to optimize the effects of pH, adsorbent dosage, contact time, temperature, and initial metal concentration. The adsorption efficiency increased with higher pH and adsorbent dosage, achieving a maximum Ni(II) removal of 97% (qₘ = 86.0 mg g−1) under optimal conditions (pH 6.0, dosage 1.0 g L−1, contact time 60 min, and initial concentration 50 mg L−1). The process followed the pseudo-second-order kinetic and Langmuir isotherm models. Thermodynamic results revealed the spontaneous, endothermic, and physical nature of the adsorption process. To complement the experimental findings, artificial neural network (ANN) and k-nearest neighbor (KNN) models were developed to predict Ni(II) removal efficiency based on process parameters. The ANN model yielded a higher prediction accuracy (R2 = 0.97) compared to KNN (R2 = 0.95), validating the strong correlation between experimental and predicted outcomes. The convergence of experimental optimization and ML prediction demonstrates a robust framework for designing eco-friendly, biopolymer-based adsorbents for heavy metal remediation. Full article
(This article belongs to the Special Issue Application of Natural-Based Polymers in Water Treatment)
Show Figures

Figure 1

24 pages, 3818 KB  
Article
Synthesis of a CCNC–Silica–Graphene Oxide Porous Monolith for Efficient Copper Ion Removal
by Nduduzo Khumalo, Samson Mohomane, Vetrimurugan Elumalai and Tshwafo Motaung
Gels 2025, 11(10), 832; https://doi.org/10.3390/gels11100832 - 17 Oct 2025
Viewed by 199
Abstract
Heavy metal contamination in water, predominantly from copper (Cu(II)) ions, poses substantial risks to human and environmental health. This study developed a novel, robust adsorbent known as a carboxylate cellulose nanocrystal–silica–graphene oxide hybrid composite porous monolith, which effectively removes Cu(II) from water in [...] Read more.
Heavy metal contamination in water, predominantly from copper (Cu(II)) ions, poses substantial risks to human and environmental health. This study developed a novel, robust adsorbent known as a carboxylate cellulose nanocrystal–silica–graphene oxide hybrid composite porous monolith, which effectively removes Cu(II) from water in a rapid manner. Carboxylate cellulose nanocrystals with enhanced metal-binding properties were synthesized from cellulose extracted from sugarcane bagasse, a significant agricultural byproduct. The porous monolith was synthesized through the combination of carboxylate cellulose nanocrystals, tetraethyl orthosilicate (TEOS), and graphene oxide, utilizing a sol–gel method. The efficacy of the synthesis was confirmed using Fourier-Transform Infra-red (FTIR), X-ray diffraction (XRD), thermogravimetric analysis (TGA), scanning electron microscope (SEM), and Brunauer–Emmett–Teller (BET) analyses. The material exhibited a highly porous mesoporous structure with a surface area of 512 m2/g, signifying a significant enhancement. Batch adsorption experiments under optimal conditions (pH = 5.5, contact time = 240 min, initial concentration = 200 mg/L) demonstrated a high experimental adsorption capacity of 172 mg/g for Cu(II). The adsorption process was best described by the Langmuir isotherm model, which yielded a theoretical maximum capacity (qm) of 172 mg/g, and the pseudo-second-order kinetic model, confirming monolayer coverage and chemisorption as the rate-limiting step. Thermodynamic analyses demonstrate that the process is both spontaneous and exothermic. The porous monolith demonstrates the capability for multiple uses, maintaining over 70% efficiency after five cycles. The findings indicate that the carboxylate cellulose nanocrystal–silica–graphene oxide hybrid composite porous monolith is an efficient and robust method for the remediation of copper-contaminated water. Full article
(This article belongs to the Section Gel Analysis and Characterization)
Show Figures

Figure 1

20 pages, 2995 KB  
Article
Efficient Decolourisation of Astrazon Pink Dye Using Biocarbon Derived from Prosopis juliflora Shells: Kinetics, Isotherms, and RSM-Based Optimization for Sustainable Wastewater Treatment
by Lakshmi Mohanraj and Ranjitha Jambulingam
Reactions 2025, 6(4), 57; https://doi.org/10.3390/reactions6040057 - 17 Oct 2025
Viewed by 144
Abstract
This study investigates the efficiency of biocarbon derived from Prosopis juliflora shells in removing Astrazon pink dye from aqueous solutions. The biocarbon obtained from the thermochemical process was characterised using FTIR Spectroscopy, SEM microscopy with Energy-Dispersive X-ray Spectroscopy (SEM-EDS), and XRD. Batch adsorption [...] Read more.
This study investigates the efficiency of biocarbon derived from Prosopis juliflora shells in removing Astrazon pink dye from aqueous solutions. The biocarbon obtained from the thermochemical process was characterised using FTIR Spectroscopy, SEM microscopy with Energy-Dispersive X-ray Spectroscopy (SEM-EDS), and XRD. Batch adsorption experiments were conducted to assess various factors, including the Potential of Hydrogen (pH), Dosage of biocarbon, Astrazon pink dye concentration, temperature, and Time of contact. Similarly, Adsorption isotherm models, including the Langmuir and the Freundlich isotherms, were used to evaluate the adsorption capacity. In contrast, pseudo-first-order and pseudo-second-order models were used to analyse the kinetics of dye adsorption. The interactive effects of selected variables on the removal of Astrazon Pink dye from synthetic water were determined using Response Surface Methodology (RSM). The maximum dye uptake, 98.54%, was achieved with a biochar dose of 8 g/L at 50 ppm dye concentration, pH 7.5, and 35 °C. The Freundlich adsorption isotherm model and the pseudo-second-order kinetic model are the better-fitting models for the dye adsorption process, with R2 values of 0.99. Consequently, the thermodynamic parameters indicate that the process is endothermic and spontaneous. Full article
Show Figures

Figure 1

Back to TopTop