A New Hybrid Rigid–Flexible Coupling Modeling for Efficient Vibration Analysis of the Cooling System of New Energy Vehicles
Abstract
1. Introduction
- (1)
- We propose a combined modeling method for the cooling fan of new energy vehicles (NEVs). Virtual prototyping is employed to acquire critical parameters such as the equivalent stiffness of the fan frame, thereby resolving the challenge of simplified modeling for structurally complex cooling fans.
- (2)
- We introduce a centroidal velocity-based strategy to derive the kinetic equation of fan blades. By replacing the velocity of arbitrary points with that of the blade centroid, this approach significantly simplifies the analytical formulation of kinetic energy for irregularly shaped blades.
- (3)
- We clarify the amplitude–speed dependency mechanism and degree-of-freedom coupling under road-induced and rotational-frequency excitations. The revealed dynamics provide practical guidelines for optimizing vibration suppression and enhancing the fatigue life of high-speed cooling fans in NEVs.
2. Virtual Prototyping Acquisition and the Frame Simplification
2.1. Virtual Prototyping Based on the Experiment
2.2. Simplification of the Fan’s Frame
3. The Rotating Fan Modeling
3.1. Analytical Model of the Fan
3.2. Multi-Blade Coordinate Transformation
3.3. Solution by Complex Modal Method
4. Dynamic Analysis in Various Excitations
4.1. Modal Examination w.r.t FEM Results
4.2. Effect of Road Excitation
4.3. Effect of Rotor Frequency Excitation
5. Experimental Validation
5.1. Experiment Setup and Procedure
5.2. Modal Test
5.3. Vibration Test for Various Rotating Speeds
5.4. Time Cost of Present Method and FEM
6. Conclusions
- (1)
- The proposed methodology demonstrates significant computational efficiency improvements over FEM analysis, particularly which costs merely about 1/70th of the FEM processing time in scenarios requiring extensive iterative computations. This approach exhibits superior practicality for parametric studies of fan systems, such as enabling effective optimization of stiffness and damping characteristics across broad speed ranges.
- (2)
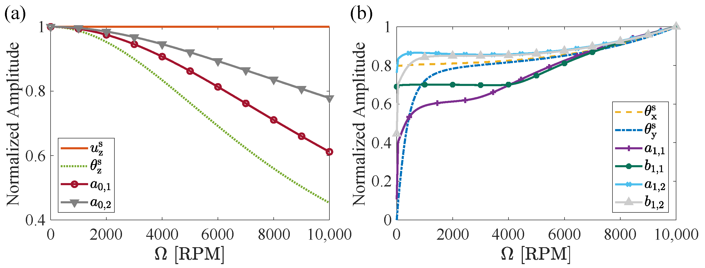
- The fan response analysis by the proposed method reveals that the system’s DOFs can be categorically decomposed into two distinct groups based on their coupling characteristics: symmetric and asymmetric DOFs (see Figure 6), which exhibit complete dynamic decoupling.
- (3)
- The response of the considered DOFs depends on the coupling effects as well as their natural frequency under road excitation. For an arbitrary DOF, its amplitude is primarily governed by the DOF whose natural frequency is closest to the excitation frequency within the same group.
- (4)
- The proposed methodology enables efficient generation of frequency-sweep response characteristics for the fan’s DOFs, including Campbell diagram visualization and rotational speed-dependent amplitude profiles. The results demonstrate that resonant phenomena remain confined within each respective DOF group (symmetric/asymmetric), exhibiting no cross-group coupling effects.
Author Contributions
Funding
Data Availability Statement
Conflicts of Interest
Appendix A. Supplementary Equations
References
- Huang, B.; Xu, J.; Wang, J.; Xu, L.; Chen, X. Numerical Investigation on the Aerodynamic and Aeroacoustic Characteristics in New Energy Vehicle Cooling Fan with Shroud. Processes 2024, 12, 333. [Google Scholar] [CrossRef]
- Dong, W.; Hu, D.; Shen, Y.; Li, J.; Yang, Q. Feasibility verification of reducing the total sound pressure level of multiple cooling fans for fuel cell vehicle. Int. J. Green Energy 2024, 21, 26–42. [Google Scholar] [CrossRef]
- Lakzayi, H.; Pouransari, Z.; KargarAbjahan, M. Numerical and experimental investigation of aerodynamic noise from a cooling fan in a turbulent flow. Int. J. Aeroacoust. 2024, 23, 38–59. [Google Scholar] [CrossRef]
- Lim, J.; Sim, W.; Yun, S.; Lee, D.; Chung, J. Reduction of vibration forces transmitted from a radiator cooling fan to a vehicle body. J. Sound Vib. 2018, 419, 183–199. [Google Scholar] [CrossRef]
- Ren, J.; Xie, Y. Environmental vibration experiment and optimization of new energy car battery cooling fan. Fresenius Environ. Bull. 2019, 28, 9318–9326. [Google Scholar]
- Zhao, Y.; Feng, J.; Zhou, Q.; Peng, X. Blade fracture analysis of a motor cooling fan in a high-speed reciprocating compressor package. Eng. Fail. Anal. 2018, 89, 88–99. [Google Scholar] [CrossRef]
- Wei, W.; Ghoreishi, S.H. Engine Cooling Fan Noise and Vibration Problem Caused by a Switching Power Supply; Technical Report; SAE Technical Paper; SAE International: Warrendale, PA, USA, 2003. [Google Scholar]
- Fairuz, Z.; Sufian, S.; Abdullah, M.; Zubair, M.; Aziz, M.A. Effect of piezoelectric fan mode shape on the heat transfer characteristics. Int. Commun. Heat Mass Transf. 2014, 52, 140–151. [Google Scholar] [CrossRef]
- Park, M.J.; Lee, D.J. Sources of broadband noise of an automotive cooling fan. Appl. Acoust. 2017, 118, 66–75. [Google Scholar] [CrossRef]
- Feng, X.; Leng, Y.; Guo, X.; Liang, H.; Dong, C. Wave propagation phenomenon of poroelastic piezoelectric micro-fan actuators for power equipment detection. Acta Mech. 2025, 236, 4025–4040. [Google Scholar] [CrossRef]
- Koyuncu, A.; Erdoğmuş, A.B. Experimental and Numerical Investigation of Thermal Performance of Piezoelectric Fan. In Proceedings of the 2024 23rd IEEE Intersociety Conference on Thermal and Thermomechanical Phenomena in Electronic Systems (ITherm), Aurora, CO, USA, 28–31 May 2024; pp. 1–8. [Google Scholar]
- Sun, Z.; Chai, P.; Tian, J.; Du, Z.; Ouyang, H. Aerodynamic Noise Characteristics of Axial Flow Fan in Narrow Space and Noise Reduction Based on Flow Control. In Proceedings of the ASME Turbo Expo 2022: Turbomachinery Technical Conference and Exposition, Rotterdam, The Netherlands, 13–17 June 2022; Volume 86113, p. V10CT33A008. [Google Scholar]
- Guo, R.; Mi, T.; Li, L.; Luo, R. Research on aerodynamic performance and noise reduction of high-voltage fans on fuel cell vehicles. Appl. Acoust. 2022, 186, 108454. [Google Scholar] [CrossRef]
- Zhang, Z.; Wang, D.; Guo, Y.; Shen, L.; Wang, X. Study on the Influence of Fan and Fan Cowl on Intake Air Parameters of Cooling Module. J. Therm. Sci. Eng. Appl. 2024, 16, 031005. [Google Scholar] [CrossRef]
- Ferrari, C.; Beccati, N.; Pedrielli, F. CFD Methodology for an Underhood Analysis towards the Optimum Fan Position in a Compact Off-Road Machine. Energies 2023, 16, 4369. [Google Scholar] [CrossRef]
- Saini, P.; Defoe, J. The effect of blade count on body force model performance for axial fans. J. Turbomach. 2021, 143, 071011. [Google Scholar] [CrossRef]
- Dosne, C.; Barrier, R.; Bourasseau, S.; Carini, M.; Moretti, R.; Peter, J. A First Assessment of Adjoint Body-Force Modeling Capabilities for Fan Design. In Proceedings of the AIAA SCITECH 2024 Forum, Orlando, FL, USA, 8–12 January 2024; p. 2640. [Google Scholar]
- Kong, Q.; Jia, W. A Three-Dimensional Body Force Modeling of Fans in Windmilling Condition and Its Application. Aerospace 2023, 10, 724. [Google Scholar] [CrossRef]
- Mao, Y.; Dang, T.Q. Simple approach for modeling fan systems with a computational-fluid-dynamics-based body-force model. J. Propuls. Power 2020, 36, 642–654. [Google Scholar] [CrossRef]
- Ikeda, T.; Harata, Y.; Ishida, Y. Parametric instability and localization of vibrations in three-blade wind turbines. J. Comput. Nonlinear Dyn. 2018, 13, 071001. [Google Scholar] [CrossRef]
- Hansen, M.H. Improved modal dynamics of wind turbines to avoid stall-induced vibrations. Wind Energy: Int. J. Prog. Appl. Wind Power Convers. Technol. 2003, 6, 179–195. [Google Scholar] [CrossRef]
- Yang, C.H.; Huang, S.C. The influence of disk’s flexibility on coupling vibration of shaft–disk–blades systems. J. Sound Vib. 2007, 301, 1–17. [Google Scholar] [CrossRef]
- Liu, D.; Hong, J. Failure analysis of backward whirl motion in an aero-engine rotor. Eng. Fail. Anal. 2021, 128, 105620. [Google Scholar] [CrossRef]
- Ren, Y.; Su, D.; Fang, J. Whirling modes stability criterion for a magnetically suspended flywheel rotor with significant gyroscopic effects and bending modes. IEEE Trans. Power Electron. 2013, 28, 5890–5901. [Google Scholar] [CrossRef]
- Wang, Y.; Yuan, X.; Lin, Y.; Gu, J.; Zhang, M. A semi-supervised multi-scale deep adversarial model for fan anomaly detection. IEEE Trans. Consum. Electron. 2023, 70, 3539–3547. [Google Scholar] [CrossRef]
- Zhu, L.; Zhu, Z.; Jiang, W. Research on ventilation and noise reduction technology for substations based on deep learning. In Proceedings of the 2024 3rd International Conference on Energy and Power Engineering, Control Engineering (EPECE), Chengdu, China, 23–25 February 2024; pp. 14–17. [Google Scholar]
- Chen, J.; Yang, X.; Yang, C. Analysis and optimization of beat vibration for an electric vehicle. Acoust. Technol. 2023, 42, 338–345. [Google Scholar]
- Paudel, S.; Niroula, S.; Bhattarai, S.; Sapkota, P.; Chitrakar, S. Vibrational Analysis on Cooling Fan with Induced Mechanical Faults. IOP Conf. Ser. Earth Environ. Sci. 2024, 1385, 012011. [Google Scholar] [CrossRef]
- Zhong, Y.; Li, Y. The Rapid Identification and Evaluation of the Resonant Noise of a Cooling Module Based on the Frequency Difference Sensitivity Method. Sensors 2023, 23, 9568. [Google Scholar] [CrossRef] [PubMed]
- De Biagi, V.; Chiaia, B.; Marano, G.C.; Fiore, A.; Greco, R.; Sardone, L.; Cucuzza, R.; Cascella, G.L.; Spinelli, M.; Lagaros, N.D. Series solution of beams with variable cross-section. Procedia Manuf. 2020, 44, 489–496. [Google Scholar] [CrossRef]
- Zou, L.; Wang, Z.; Zong, Z.; Zou, D.y.; Zhang, S. Solving shock wave with discontinuity by enhanced differential transform method (EDTM). Appl. Math. Mech. 2012, 33, 1569–1582. [Google Scholar] [CrossRef]
- Peters, D.A. Fast Floquet theory and trim for multi-bladed rotorcraft. J. Am. Helicopter Soc. 1994, 39, 82–89. [Google Scholar] [CrossRef]
- Filsoof, O.T.; Yde, A.; Bøttcher, P.; Zhang, X. On critical aeroelastic modes of a tri-rotor wind turbine. Int. J. Mech. Sci. 2021, 204, 106525. [Google Scholar] [CrossRef]
- Newland, D.E. Mechanical Vibration Analysis and Computation; Courier Corporation: North Chelmsford, MA, USA, 2006. [Google Scholar]


















| Name | Symbol | Value |
|---|---|---|
| Density of blades | 1274.9 | |
| Young’s Modulus | E | MPa |
| Poisson’s ratio | 0.35 | |
| Mass except blades | 1.934 kg | |
| Stiffness of | N/m | |
| Stiffness of | Nm/rad | |
| Stiffness of | Nm/rad | |
| Stiffness of | Nm/rad | |
| Distance between and | Ls | 0.08 m |
| Moment of Inertia for | 0.0055 | |
| Moment of Inertia for | 0.0055 | |
| Moment of Inertia for | 0.0028 |
| Order | 1 | 2 | 3 | 4 | |
|---|---|---|---|---|---|
| Name | |||||
| DOF | |||||
| Frequency [Hz] | 95.28 | 132.28 | 135.20 | 280.98 | |
| Order | 1 | 2 | 3 | 4 | 5 | 6 | 7 | 8 | 9 | 10 |
|---|---|---|---|---|---|---|---|---|---|---|
| FEM | 91.5 | 115.1 | 117.8 | 219.9 | 311.5 | 318.0 | 318.1 | 811.8 | 811.9 | 824.3 |
| Present | 91.4 | 113.4 | 115.9 | 217.1 | 310.0 | 314.7 | 314.8 | 786.1 | 786.1 | 885.3 |
| Modal | 1 | 2 | 3 | 4 | 5 | 6 | 7 | 8 | 9 | |
|---|---|---|---|---|---|---|---|---|---|---|
| Type | ||||||||||
| Experiment [Hz] | 14.6 | 18.9 | 37.8 | 51.3 | 73.9 | 89.7 | 98.5 | 155.6 | 170.3 | |
| FEM [Hz] | 14.2 | 18.3 | 35.2 | 57.8 | 69.0 | 89.1 | 96.5 | 157.4 | 169.3 | |
| Method | FEM | Present | |
|---|---|---|---|
| Item | |||
| Iteration count | n | n | |
| Element count (K) | 1770 | 0 | |
| Simulation time (s) | |||
| Analytical time (s) | 0 | ||
| Blade’s modal time (s) | 0 | ||
| Total time (s) | |||
Disclaimer/Publisher’s Note: The statements, opinions and data contained in all publications are solely those of the individual author(s) and contributor(s) and not of MDPI and/or the editor(s). MDPI and/or the editor(s) disclaim responsibility for any injury to people or property resulting from any ideas, methods, instructions or products referred to in the content. |
© 2025 by the authors. Licensee MDPI, Basel, Switzerland. This article is an open access article distributed under the terms and conditions of the Creative Commons Attribution (CC BY) license (https://creativecommons.org/licenses/by/4.0/).
Share and Cite
Zhang, N.; Ren, Y.; Li, Z.; Lu, H. A New Hybrid Rigid–Flexible Coupling Modeling for Efficient Vibration Analysis of the Cooling System of New Energy Vehicles. Actuators 2025, 14, 512. https://doi.org/10.3390/act14110512
Zhang N, Ren Y, Li Z, Lu H. A New Hybrid Rigid–Flexible Coupling Modeling for Efficient Vibration Analysis of the Cooling System of New Energy Vehicles. Actuators. 2025; 14(11):512. https://doi.org/10.3390/act14110512
Chicago/Turabian StyleZhang, Ning, Yuankai Ren, Zihong Li, and Hangyu Lu. 2025. "A New Hybrid Rigid–Flexible Coupling Modeling for Efficient Vibration Analysis of the Cooling System of New Energy Vehicles" Actuators 14, no. 11: 512. https://doi.org/10.3390/act14110512
APA StyleZhang, N., Ren, Y., Li, Z., & Lu, H. (2025). A New Hybrid Rigid–Flexible Coupling Modeling for Efficient Vibration Analysis of the Cooling System of New Energy Vehicles. Actuators, 14(11), 512. https://doi.org/10.3390/act14110512

