Sign in to use this feature.

Years

Between: -

Subjects

remove_circle_outline
remove_circle_outline
remove_circle_outline
remove_circle_outline
remove_circle_outline
remove_circle_outline
remove_circle_outline
remove_circle_outline
remove_circle_outline

Journals

remove_circle_outline
remove_circle_outline
remove_circle_outline
remove_circle_outline
remove_circle_outline
remove_circle_outline
remove_circle_outline
remove_circle_outline
remove_circle_outline
remove_circle_outline
remove_circle_outline

Article Types

Countries / Regions

remove_circle_outline
remove_circle_outline
remove_circle_outline
remove_circle_outline
remove_circle_outline
remove_circle_outline

Search Results (1,146)

Search Parameters:
Keywords = kinematical characteristics

Order results
Result details
Results per page
Select all
Export citation of selected articles as:
18 pages, 1521 KB  
Article
Visibility of Vertical Road Signs in Real Driving Environments: Effects of Retroreflectivity and Surface Conditions
by Claudia Brasile, Margherita Pazzini, Davide Chiola, Andrea Simone, Claudio Lantieri and Valeria Vignali
Infrastructures 2026, 11(1), 8; https://doi.org/10.3390/infrastructures11010008 (registering DOI) - 23 Dec 2025
Abstract
The visibility of vertical road signs is a crucial factor for driving safety, especially in low-light conditions. The retroreflectivity of signs is imperative to ensure that drivers are able to perceive the information in a timely manner. However, the effectiveness of signs can [...] Read more.
The visibility of vertical road signs is a crucial factor for driving safety, especially in low-light conditions. The retroreflectivity of signs is imperative to ensure that drivers are able to perceive the information in a timely manner. However, the effectiveness of signs can be compromised by factors such as material degradation, wear and tear, and dirt on the surface. The objective of this study is to analyze how different surface conditions and different levels of retroreflectivity of vertical signs affect users’ perception and driving behavior in a real controlled environment. A total of twenty-five volunteers undertook the same road test twice. During the initial trial, the subjects encountered signs with a Class II retro-reflective film (EN 12899-1:2007), and during the second trial, they encountered the same signs in the same positions as the first trial but with varied characteristics and additional factors such as dirt, water, and degradation. Through a Mobile Eye Tracker and a Racelogic Video Vbox, it was possible to investigate the alterations in the visual and kinematic behavior of participants across the two tests. The statistical analysis was conducted using the Wilcoxon test, Spearman’s correlation and regression analysis. The analysis revealed that the signal with a dirty surface had the most significant impact on participants’ perception, showing a substantial reduction in the distance of the first fixation (−15%), a decrease in the number of fixations (−37%), and an increase in the time required for it to be perceived (+40%). This study demonstrates that the maintenance of road sign surfaces is a critical factor in their effectiveness and is as influential as the level of retroreflectivity of the material. Full article
(This article belongs to the Special Issue Sustainable Infrastructures for Urban Mobility, 2nd Edition)
Show Figures

Figure 1

22 pages, 2556 KB  
Article
Ergonomic Risk Assessment of Professional Dance Using Motion Capture with Ergonomic Evaluation by the Rapid Entire Body Assessment (REBA)
by Verena Fehringer, Christian Maurer-Grubinger, Fabian Holzgreve, Daniela Ohlendorf and Eileen M. Wanke
Sensors 2026, 26(1), 70; https://doi.org/10.3390/s26010070 (registering DOI) - 22 Dec 2025
Abstract
The aim of the present study was to assess physical demands in professional dance during daily training routine using kinematic data and to categorize it ergonomically using the Rapid Entire Body Assessment (REBA) tool. The three phases of daily classical ballet training of [...] Read more.
The aim of the present study was to assess physical demands in professional dance during daily training routine using kinematic data and to categorize it ergonomically using the Rapid Entire Body Assessment (REBA) tool. The three phases of daily classical ballet training of n = 28 professional dancers (16f/12m) were recorded with the inertial motion capture system MVN Link (Xsens, Netherlands), extracted and analyzed by MATLAB; subsequently, the ergonomic risk was determined. Female dancers trained significantly longer in the high-risk range than their male colleagues (f: 94%; m: 89%; p < 0.001). During the entire training, the female and male dancers had a mean REBA score of 6.31 and 6.03 resp., with phase 3 tending to have lower REBA values but an increased likelihood of injury due to fatigue and ground reaction forces. It can be recommended that the daily training should be critically examined and adjusted to anthropometric characteristics and the integration of regeneration phases, cardiopulmonary components, and targeted strength training programs to relieve vulnerable structures, as substantiated in the main text and should not exaggerate the main conclusions. Full article
(This article belongs to the Section Intelligent Sensors)
Show Figures

Figure 1

18 pages, 9029 KB  
Article
Fuel Dilution in Hybrid Engine Oils: Correlation Between Viscosity Loss and FTIR Spectral Shifts in Modern Combustion Systems
by Artur Wolak and Grzegorz Zając
Energies 2026, 19(1), 50; https://doi.org/10.3390/en19010050 - 22 Dec 2025
Abstract
This study investigates fuel-induced oil dilution in hybrid powertrains using a combined assessment of kinematic viscosity and FTIR differential spectroscopy. Ten oil samples collected from hybrid vehicles operating under diverse real-world driving patterns were examined to determine how hybrid-specific operating conditions—such as frequent [...] Read more.
This study investigates fuel-induced oil dilution in hybrid powertrains using a combined assessment of kinematic viscosity and FTIR differential spectroscopy. Ten oil samples collected from hybrid vehicles operating under diverse real-world driving patterns were examined to determine how hybrid-specific operating conditions—such as frequent cold starts, extended start–stop phases and short, thermally unstable trips—influence lubricant ageing and, consequently, the energy efficiency of the combustion subsystem. In eight of the ten cases, a clear reduction in kinematic viscosity was observed, indicating the presence of volatile fuel fractions and confirming that fuel dilution is a dominant mechanism shaping the early stages of oil degradation in hybrid engines. FTIR analysis consistently revealed spectral shifts related to oxidation, nitration, sulfonation and additive depletion, together with hydrocarbon enrichment characteristic of fuel contamination. The co-occurrence of viscosity loss and FTIR band evolution demonstrates a strong and reproducible relationship between mechanical thinning of the lubricant and chemically driven transformation pathways, both of which can negatively affect frictional losses and energetic performance. Paper-based blot testing was used only as a supplementary qualitative tool and provided visual confirmation for samples exhibiting the strongest fuel-related FTIR signatures and viscosity changes. Although not mechanistically specific, the method reinforced the laboratory findings in cases of pronounced degradation. Overall, the results highlight the diagnostic value of combining viscosity data with FTIR spectral analysis to characterise fuel dilution and associated ageing mechanisms in hybrid combustion systems. This study contributes to a more comprehensive understanding of lubricant deterioration under real hybrid driving conditions and supports the development of practical monitoring strategies aimed at safeguarding both engine durability and the energy efficiency of hybrid powertrains. Full article
(This article belongs to the Special Issue Combustion Systems for Advanced Engines)
Show Figures

Figure 1

25 pages, 17971 KB  
Article
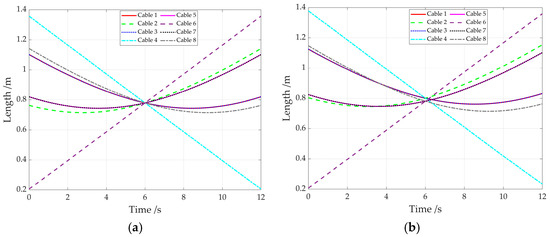
Kinematic Modeling and Solutions for Cable-Driven Parallel Robots Considering Adaptive Pulley Kinematics
by Zhonghua Hu, Chaowen Deng, Kai Wang and Jianqing Peng
Sensors 2026, 26(1), 39; https://doi.org/10.3390/s26010039 - 20 Dec 2025
Viewed by 47
Abstract
Although the use of adaptive pulleys enhances the motion characteristics of cable-driven parallel robots (CDPRs), it significantly increases the complexity of the kinematics model. Conventional methods often fail to account for the influence of adaptive pulley motion on cable length variation, making it [...] Read more.
Although the use of adaptive pulleys enhances the motion characteristics of cable-driven parallel robots (CDPRs), it significantly increases the complexity of the kinematics model. Conventional methods often fail to account for the influence of adaptive pulley motion on cable length variation, making it difficult to establish a precise kinematics model. To deal with the problem, this study presents a kinematic modeling and solution method for CDPRs, which incorporates adaptive pulley kinematics. First, the structural design of the CDPR driven by eight cables is analyzed. Then, the generalized kinematics model and the improved kinematics model with adaptive pulley considerations are established. Furthermore, a hybrid Levenberg–Marquardt and Genetic algorithm is proposed to achieve the efficient and high-precision solution of kinematics equations by combining the rapid global search and precise local optimization. Finally, the proposed method is validated through straight path simulation and elliptical path simulation. The simulation results indicate that the tracking accuracy of the end-effector is better than the 1 × 10−7 level for the proposed method. Full article
Show Figures

Figure 1

14 pages, 765 KB  
Article
Feasibility of the Manual Diaphragm Release Technique in Neurocritical Patients on Mechanical Ventilation: A Pilot Randomized Controlled Trial
by Elis Fernanda Araújo Lima de Oliveira, Helga Cecília Muniz de Souza, Heitor Fernandes Silveira Cavalini, Fabianne Maisa de Novaes Assis Dantas, Victor Ribeiro Neves, Fernando de Aguiar Lemos, Marcelo Gama de Abreu and Paulo André Freire Magalhães
Med. Sci. 2026, 14(1), 1; https://doi.org/10.3390/medsci14010001 - 19 Dec 2025
Viewed by 55
Abstract
Introduction: This pilot randomized trial evaluated the feasibility of the Manual Diaphragm Release Technique (MDRT) in neurocritical patients on invasive mechanical ventilation (IMV) and explored its immediate effects on diaphragmatic kinematics to inform future trials. Methods: Adult neurocritical patients receiving IMV and ventilated [...] Read more.
Introduction: This pilot randomized trial evaluated the feasibility of the Manual Diaphragm Release Technique (MDRT) in neurocritical patients on invasive mechanical ventilation (IMV) and explored its immediate effects on diaphragmatic kinematics to inform future trials. Methods: Adult neurocritical patients receiving IMV and ventilated in an assisted mode (pressure-support ventilation, PSV) at the time of enrollment were randomized to receive a single session of MDRT plus standard physiotherapy vs. a sham maneuver plus standard physiotherapy. The primary outcome was the feasibility of applying MDRT in neurocritical care patients under IMV, operationalized by the recruitment rate, protocol adherence, and incidence of intervention-related adverse events. The exploratory secondary outcomes were immediate diaphragmatic kinematics (contraction and relaxation velocities and inspiratory and expiratory excursions), which were measured by ultrasound to provide preliminary effect-size estimates for future trials. Results: Twenty neurocritical patients (10 in each group) were randomized and all completed the protocol. Baseline characteristics were comparable between groups. The study demonstrated high feasibility with 80% recruitment rate, 100% adherence, and a mean intervention time of 6.2 ± 1.1 min. No adverse events were observed during or after the intervention. Adjusted analyses revealed no detectable differences in diaphragmatic kinematics between groups after the single session. The adjusted mean differences were 0.1 mm/s (95% CI: −0.3 to 0.5; p = 0.50) for contraction velocity and 0.2 mm/s (95% CI: −0.05 to 0.45; p = 0.11) for relaxation velocity. For diaphragmatic excursion, the difference was 0.5 mm (95% CI: −1.2 to 2.2; p = 0.55) during inspiration and 1.0 mm (95% CI: −0.1 to 2.1; p = 0.08) during expiration. Conclusions: MDRT was found to be feasible for use in neurocritical patients under mechanical ventilation. Although no immediate effects on diaphragm kinematics were detected, these preliminary findings support the rationale for larger, adequately powered trials to further investigate cumulative or long-term effects. Trial registration: The trial is registered in ReBEC—Brazilian Registry of Clinical Trials under ID: RBR-3ngffwr. Full article
(This article belongs to the Section Critical Care Medicine)
Show Figures

Figure 1

28 pages, 11637 KB  
Article
Additively Manufactured Dragonfly-Inspired Wings for Bio-Faithful Flapping MAV Development
by Emilia Georgiana Prisăcariu, Oana Dumitrescu, Sergiu Strătilă, Mihail Sima, Claudia Săvescu, Iulian Vlăducă and Cleopatra Cuciumita
Biomimetics 2025, 10(12), 849; https://doi.org/10.3390/biomimetics10120849 - 18 Dec 2025
Viewed by 141
Abstract
This work presents a first-iteration bio-faithful dragonfly-inspired wing designed for future flapping micro air vehicle (MAV) applications. Using high-resolution imaging, the natural venation pattern of fore- and hindwings was reconstructed in CAD and reproduced through high-precision stereolithography at 1:1 and 3:1 scale. The [...] Read more.
This work presents a first-iteration bio-faithful dragonfly-inspired wing designed for future flapping micro air vehicle (MAV) applications. Using high-resolution imaging, the natural venation pattern of fore- and hindwings was reconstructed in CAD and reproduced through high-precision stereolithography at 1:1 and 3:1 scale. The printed polymeric wings successfully preserved the anisotropic stiffness distribution of the biological structure, enabling realistic bending and torsional responses. Modal analysis and dynamic testing confirmed that the lightweight designs operate within the biologically relevant 20–40 Hz range and that geometry and material choices allow predictable tuning of natural frequencies. Preliminary aerodynamic estimates captured the characteristic anti-phase lift behavior of four-wing flapping, while schlieren and infrared thermography demonstrated that heat dispersion and flow features follow the vein-driven structural pathways of the printed wings. Together, these results validate the feasibility and functional relevance of bio-faithful venation architectures and establish a solid foundation for future iterations incorporating membranes, full kinematic actuation, and higher-fidelity aeroelastic modeling. Full article
(This article belongs to the Section Biomimetic Design, Constructions and Devices)
Show Figures

Graphical abstract

17 pages, 477 KB  
Review
A Scoping Review of Advances in Active Below-Knee Prosthetics: Integrating Biomechanical Design, Energy Efficiency, and Neuromuscular Adaptation
by Zanodumo Godlimpi and Thanyani Pandelani
Prosthesis 2025, 7(6), 165; https://doi.org/10.3390/prosthesis7060165 - 15 Dec 2025
Viewed by 130
Abstract
Background: This scoping review systematically maps and synthesises contemporary literature on the biomechanics of active below-knee prosthetic devices, focusing on gait kinematics, kinetics, energy expenditure, and muscle activation. It further evaluates design advancements, including powered ankle–foot prostheses and variable impedance systems, that [...] Read more.
Background: This scoping review systematically maps and synthesises contemporary literature on the biomechanics of active below-knee prosthetic devices, focusing on gait kinematics, kinetics, energy expenditure, and muscle activation. It further evaluates design advancements, including powered ankle–foot prostheses and variable impedance systems, that seek to emulate physiological ankle function and enhance mobility outcomes for transtibial amputees. Methods: This review followed the PRISMA-ScR guidelines. A comprehensive literature search was conducted on ScienceDirect, PubMed and IEEE Xplore for studies published between 2013 and 2023. Search terms were structured according to the Population, Intervention, Comparator, and Outcome (PICO) framework. From 971 identified articles, 27 peer-reviewed studies were found to meet the inclusion criteria between January 2013 and December 2023. Data were extracted on biomechanical parameters, prosthetic design characteristics, and participant demographics to identify prevailing trends and research gaps. This scoping review was registered with Research Registry under the following registration number: reviewregistry 2055. Results: The reviewed studies demonstrate that active below-knee prosthetic systems substantially improve gait symmetry and ankle joint range of motion compared with passive devices. However, compensatory trunk and pelvic movements persist, indicating that full restoration of natural gait mechanics remains incomplete. Metabolic efficiency varied considerably across studies, influenced by device design, control strategies, and user adaptation. Notably, the literature exhibits a pronounced gender imbalance, with only 10.7% female participants, and a reliance on controlled laboratory conditions, limiting ecological validity. Conclusions: Active prosthetic technologies represent a significant advancement in lower-limb rehabilitation. Nevertheless, complete biomechanical normalisation has yet to be achieved. Future research should focus on long-term, real-world evaluations using larger, more diverse cohorts and adaptive technologies such as variable impedance actuators and multi-level control systems to reduce asymmetrical loading and optimise gait efficiency. Full article
Show Figures

Figure 1

19 pages, 11006 KB  
Article
Research on GPS Satellite Clock Bias Prediction Algorithm Based on the Inaction Method
by Cong Shen, Huiwen Hu, Guocheng Wang, Lintao Liu, Dong Ren and Zhiwu Cai
Remote Sens. 2025, 17(24), 4013; https://doi.org/10.3390/rs17244013 - 12 Dec 2025
Viewed by 162
Abstract
Satellite clock bias exhibits complex, time-varying periodic characteristics due to environmental disturbances. Accurate modeling and prediction of periodic terms play a crucial role in improving the precision and stability of short-term predictions. Traditional models such as spectral analysis model (SAM) estimate the frequency, [...] Read more.
Satellite clock bias exhibits complex, time-varying periodic characteristics due to environmental disturbances. Accurate modeling and prediction of periodic terms play a crucial role in improving the precision and stability of short-term predictions. Traditional models such as spectral analysis model (SAM) estimate the frequency, amplitude, and phase of periodic terms through global fitting, which limits their ability to adapt to abrupt changes at the prediction boundary. To address this limitation, this paper proposes an improved spectral analysis model (IM-SAM) based on the inaction method (IM). The model employs IM to extract the instantaneous frequency, amplitude, and phase parameters of periodic terms precisely at the data endpoint, and utilizes the parameters of periodic terms at the data endpoint for prediction, effectively suppressing periodic fluctuations in prediction errors. Experimental results based on real GPS clock bias data demonstrate that the root mean square (RMS) of IM-SAM prediction errors is reduced by 19.14%, 14.39%, and 10.48% for 3 h, 6 h, and 12 h prediction tasks, respectively, compared with SAM. Furthermore, a kinematic precise point positioning experiment was performed using IM-SAM-predicted clock products and compared with the predicted half of IGS ultra-rapid clock products. The RMS of position error was reduced by 14.3%, 12.6%, and 7.9% in the east, north, and up directions, respectively. These results demonstrate the practical effectiveness and accuracy of IM-SAM in real-time clock prediction and GPS positioning applications. Full article
Show Figures

Figure 1

18 pages, 3480 KB  
Article
Development of an Underwater Vehicle-Manipulator System Based on Delta Parallel Mechanism
by Zhihao Xu, Yang Zhang, Zongyu Chang, Boyuan Huang, Yuanqiang Bing, Chengyu Zeng, Pinghu Ni, Yachen Feng and Haibo Wang
J. Mar. Sci. Eng. 2025, 13(12), 2361; https://doi.org/10.3390/jmse13122361 - 11 Dec 2025
Viewed by 288
Abstract
Underwater Vehicle-Manipulator Systems (UVMSs) play a critical role in various marine operations, where the choice of manipulator architecture significantly influences system performance. While serial robotic arms have been widely adopted in UVMS applications due to their operational flexibility, their inherent structural characteristics present [...] Read more.
Underwater Vehicle-Manipulator Systems (UVMSs) play a critical role in various marine operations, where the choice of manipulator architecture significantly influences system performance. While serial robotic arms have been widely adopted in UVMS applications due to their operational flexibility, their inherent structural characteristics present certain challenges in underwater environments. These challenges primarily stem from the cumulative effects of joint mechanisms and dynamic interactions with the fluid medium. In this context, we explore an innovative UVMS solution that incorporates the Delta parallel mechanism, which offers distinct advantages through its symmetrical architecture and unilateral motor configuration, particularly in maintaining operational stability. We develop a comprehensive framework that includes mechanical design optimization, implementation of distributed control systems, and formulation of closed-form kinematic models, with comparative analysis against conventional serial robotic arms. Experimental validation demonstrates the system’s effectiveness in underwater navigation, target acquisition, and object manipulation under operator-guided control. The results reveal substantial enhancements in motion consistency and gravitational stability compared to traditional serial-arm configurations, positioning the Delta-based UVMS as a viable solution for complex underwater manipulation tasks. Furthermore, this study provides a comparative analysis of the proposed Delta-based UVMS and conventional serial-arm systems, offering valuable design insights and performance benchmarks to inform future development and optimization of underwater manipulation technologies. Full article
Show Figures

Figure 1

10 pages, 219 KB  
Article
Sex- and Age-Specific Characteristics of Running Performance Assessed by OptoJump in Pre-School Children Aged 3 to 6 Years
by Sanja Ljubičić, Jera Gregorc and Vilko Petrić
Children 2025, 12(12), 1684; https://doi.org/10.3390/children12121684 - 11 Dec 2025
Viewed by 476
Abstract
Background/Objectives: Running is among the most prevalent forms of physical activity in preschool-aged children and constitutes a fundamental component for the effective execution of other motor patterns. The main aim of this study is to determine how fundamental running parameters change with age [...] Read more.
Background/Objectives: Running is among the most prevalent forms of physical activity in preschool-aged children and constitutes a fundamental component for the effective execution of other motor patterns. The main aim of this study is to determine how fundamental running parameters change with age and whether there are differences between sexes. Methods: Four-hundred and five pre-school children with the mean (SD) age = 4.9 (1.1) years, height = 111.2 (9.3) cm, weight = 20.0 (4.2) kg, 53.5% girls were recruited from 34 kindergartens in four major cities. The inclusion criteria involved children aged 3–6 years with typical development and without any locomotor or mental disorders and diseases, who were enrolled in day care. Running performance was assessed in preschool children using a 10-m sprint test. Sprint parameters were measured with the OptoJump modular system, an infrared platform that accurately quantifies kinematic variables. Sex (boys vs. girls) and age (3 to 6 years old) differences were calculated by using analysis of variance (ANOVA) or Kruskal–Wallis H-test with post hoc comparison test between the groups. Results: In general, the results indicated that statistically significant differences between boys and girls were observed across the following levels: (1) temporal–kinematic step phase, (2) spatiotemporal movement characteristics, and (3) propulsive phase as an indicator of muscular activity. However, these differences were not consistent across all age groups. Conclusions: This study provides new insights into the spatiotemporal characteristics of running in preschool-aged children. The findings may assist in the early identification of potential motor deviations and in the planning of more effective strategies to promote physical activity during the preschool period. Full article
(This article belongs to the Special Issue Physical and Motor Development in Children)
18 pages, 1683 KB  
Article
Global Fast Terminal Sliding Mode Control for Trajectory Tracking Control of Quadrotor UAVs
by Runze Gao, Shaobo Wu and Hongguang Li
Sensors 2025, 25(24), 7480; https://doi.org/10.3390/s25247480 - 9 Dec 2025
Viewed by 276
Abstract
A fast and stable flight control system is crucial for improving the efficiency of unmanned aerial vehicle (UAV) missions. Focusing on the trajectory tracking control of quadrotor UAVs, this paper proposes a trajectory tracking control method based on the global fast terminal sliding [...] Read more.
A fast and stable flight control system is crucial for improving the efficiency of unmanned aerial vehicle (UAV) missions. Focusing on the trajectory tracking control of quadrotor UAVs, this paper proposes a trajectory tracking control method based on the global fast terminal sliding mode control (GFTSMC) algorithm to address the slow response speed and insufficient anti-disturbance capability inherent in the widely used Proportional–Integral–Derivative (PID) control algorithm and conventional sliding mode control (SMC) algorithm. Firstly, considering the gyroscopic moment of a quadrotor UAV’s rotors, an accurate kinematic and dynamic model of a quadrotor UAV is established, and the trajectory tracking problem faced by such UAVs is decoupled into the command tracking problems of the position loop and the attitude loop. Secondly, GFTSMC controllers are designed for these loops, and the Lyapunov principle is adopted to prove the stability of the designed controllers. Finally, simulation verification is carried out. The simulation results show that, compared to PID control, GFTSMC-based trajectory tracking control for quadrotor UAVs exhibits the characteristics of no overshoot, higher tracking accuracy, and stronger anti-disturbance capability. Compared to nonsingular terminal sliding mode control (NTSMC) and SMC, GFTSMC-based trajectory tracking control reduces the steady-state convergence time by 33.8% and 36.5% and the steady-state disturbance error by 83.1% and 97.3%, respectively, demonstrating faster response speed and stronger anti-disturbance capability. Therefore, the application of GFTSMC significantly improves the trajectory tracking control performance of quadrotor UAVs, thereby supporting them in performing operations in scenarios requiring high real-time performance, precision, and anti-disturbance capability. Full article
Show Figures

Figure 1

20 pages, 6011 KB  
Article
Simulation and Experiment for Retractable Four-Point Flexible Gripper for Grape Picking End-Effector
by Xiaoqi Hu, Qian Zhang and Caiqi Hu
Agronomy 2025, 15(12), 2813; https://doi.org/10.3390/agronomy15122813 - 7 Dec 2025
Viewed by 279
Abstract
To address the automation of table grape harvesting, a clamping and cutting integrated, four-point flexible end-effector is designed, based on the biological and mechanical characteristics of grapes. The clamping device is validated in regard to force closure requirements using a force spiral. On [...] Read more.
To address the automation of table grape harvesting, a clamping and cutting integrated, four-point flexible end-effector is designed, based on the biological and mechanical characteristics of grapes. The clamping device is validated in regard to force closure requirements using a force spiral. On this basis, a finite element model of the grape pedicel–blade system is established, and dynamic simulations of pedicel cutting are conducted using ANSYS 2021/LS-DYNA. The simulation results indicate that when the pedicel diameter is 10 mm, the maximum shear stress is 1.515 MPa. A kinematic simulation of the clamping device is performed using ADAMS, producing a contact force curve between the end effector’s finger joints and the grape during the clamping process. The simulation results show that the peak contact force of 11 N is lower than the critical rupture force of the grape (24.79 N), satisfying the requirements for flexible, low-damage harvesting. Furthermore, to address the vulnerability of grapes, a contact-force control system is designed, employing a position–speed–torque three-loop control strategy. Pressure sensors integrated into the four clamping fingers provide real-time feedback to adjust the contact force, ensuring precise clamping control. Finally, a physical prototype of the end effector and controller is developed, and harvesting trials are conducted in a vineyard. The harvesting success rate reaches 96.7%, with an average harvesting time of 13.7 s per trial. The grape cluster damage and berry drop rates are 3.2% and 2.8%, respectively, meeting the expected design requirements. Full article
(This article belongs to the Section Precision and Digital Agriculture)
Show Figures

Figure 1

23 pages, 7150 KB  
Article
Influence of a Sloped Bottom on a 60-Degree Inclined Dense Jet Discharged into a Stationary Environment: A Large Eddy Simulation Study
by Xinyun Wang and Abdolmajid Mohammadian
J. Mar. Sci. Eng. 2025, 13(12), 2309; https://doi.org/10.3390/jmse13122309 - 4 Dec 2025
Viewed by 274
Abstract
In the present study, numerical simulations were conducted to investigate the behavior of a 60° inclined dense jet discharged onto horizontal (0°) and sloped (5°) bottoms in a stagnant environment. The objective was to evaluate the capability of Large Eddy Simulation (LES) in [...] Read more.
In the present study, numerical simulations were conducted to investigate the behavior of a 60° inclined dense jet discharged onto horizontal (0°) and sloped (5°) bottoms in a stagnant environment. The objective was to evaluate the capability of Large Eddy Simulation (LES) in capturing both the kinematic and mixing characteristics of inclined dense jets interacting with different bottom boundaries. A Reynolds-Averaged Navier–Stokes (RANS) model was also included for comparison. The LES simulations successfully reproduced the key kinematic and mixing characteristics, including the jet trajectory, centerline peak location, impact point, and terminal rise height, and showed strong agreement with the experimental observations. LES also predicted the concentration distributions and variations along both the horizontal and sloped bottoms, whereas the RANS model tended to underestimate both geometrical and dilution properties. A Gaussian fitting function was proposed to estimate the concentration distribution under both bottom conditions. Analysis of the spreading layer indicated that the concentration profiles exhibited self-similarity. Energy spectrum analysis showed that the sloped bottom enhanced shear-induced turbulence, thereby improving the mixing efficiency. Results confirm the reliability of LES for describing jet–bed interactions and emphasize the influence of bed slope on jet dilution and mixing behavior. Full article
(This article belongs to the Section Physical Oceanography)
Show Figures

Figure 1

19 pages, 10396 KB  
Article
A Fan-Array Robotic-Arm Approach to Characterization of Pitch-Rate Dynamics of a Flapping-Wing MAV
by Woei-Leong Chan, De-Jing Liu, Hung-Yu Chen and Chia-Le Chin
Actuators 2025, 14(12), 592; https://doi.org/10.3390/act14120592 - 4 Dec 2025
Viewed by 303
Abstract
Flapping-wing micro-air vehicles (FWMAVs) exhibit unique aerodynamic characteristics that differ fundamentally from other aircraft, yet little is known about their dynamic stability derivatives. This study aims to identify pitch-rate stability derivatives of an in-house prototype, CKopter-1, to advance the modeling and control of [...] Read more.
Flapping-wing micro-air vehicles (FWMAVs) exhibit unique aerodynamic characteristics that differ fundamentally from other aircraft, yet little is known about their dynamic stability derivatives. This study aims to identify pitch-rate stability derivatives of an in-house prototype, CKopter-1, to advance the modeling and control of bio-inspired flight. Experiments were conducted using a robotic-arm fan-array system that enabled prescribed pitching motions under controlled inflow. Aerodynamic forces and moments were measured with a six-axis load cell, while vehicle kinematics were captured using motion tracking and synchronized during post-processing. Tests consisted of quasi-static cycles and dynamic cycles at pitch rates of 35°/s, 58.8°/s, and 68.4°/s. The results revealed static instability below an angle of attack of 33°, a trim condition near 58.5°, and positive stability up to 72.5°. Dynamic cases showed clear pitch-rate effects in the longitudinal components, from which the derivatives were extracted. A comparison with previous studies confirmed comparable magnitudes, with systematic differences attributable to wing dihedral and tail length. This study demonstrates that the fan-array robotic-arm method enables stability derivative identification even beyond feasible flight regimes, providing valuable parameters for future flight dynamics modeling and control of FWMAVs. Full article
(This article belongs to the Special Issue Analysis and Design of Linear/Nonlinear Control System—2nd Edition)
Show Figures

Figure 1

24 pages, 6588 KB  
Article
Design and Performance Testing of a Motorized Machine-Mounted Self-Leveling Platform for Hilly Orchards
by Guangyu Xue, Haiyang Liu, Gongpu Wang, Yanyan Shi, Haiyang Shen, Zhou Zhou, Zihan Huan, Wenqin Ding and Lianglong Hu
Agriculture 2025, 15(23), 2512; https://doi.org/10.3390/agriculture15232512 - 3 Dec 2025
Viewed by 256
Abstract
To address issues such as attitude instability, insufficient adaptability, and poor operational quality of precision operation equipment caused by complex terrain conditions in hilly orchards, this study designed an electric carrier Self-Leveling Platform based on the 3-RRS parallel configuration. Focusing on the stability [...] Read more.
To address issues such as attitude instability, insufficient adaptability, and poor operational quality of precision operation equipment caused by complex terrain conditions in hilly orchards, this study designed an electric carrier Self-Leveling Platform based on the 3-RRS parallel configuration. Focusing on the stability requirements of the operation plane, an automatic leveling control strategy was proposed with the constant center height of the moving platform as an additional constraint condition. Based on the inverse kinematics solution of the 3-RRS Parallel Mechanism, the analytical mapping relationship between the fuselage attitude and the compensation angle of the leveling leg crank was derived, and based on this, the working space of the Self-Leveling Platform and the maximum compensation angles of the moving platform in the pitch and roll directions were calculated. Key structural parameters were optimized using a multi-objective genetic algorithm, followed by the completion of a 3D model design and modal simulation analysis to verify the effectiveness of the structural design. Finally, leveling performance tests were conducted on a prototype. The results showed that the platform can achieve omnidirectional automatic leveling, with a maximum leveling time of 1.593 s and a maximum steady-state error of 0.62° under typical slope and load conditions. Analysis of variance results further indicated that there are significant differences in the leveling performance of the 3-RRS parallel configuration of the Self-Leveling Platform in the pitch and roll directions, demonstrating anisotropic characteristics. This study provides an effective solution for attitude stability control of orchard operation equipment in hilly areas and offers theoretical reference and technical support for the application of the 3-RRS parallel configuration in the agricultural equipment field. Full article
(This article belongs to the Section Agricultural Technology)
Show Figures

Figure 1

Back to TopTop