Research on GPS Satellite Clock Bias Prediction Algorithm Based on the Inaction Method
Highlights
- NTFT spectrum shows that GPS satellite clock bias contains pronounced periodic components whose amplitudes and frequencies vary significantly over time.
- IM-SAM uses the inaction method to obtain instantaneous periodic parameters at the prediction boundary, overcoming the limitations of least-squares fitting at the data edge.
- IM-SAM enables more accurate and more stable short-term satellite clock prediction under time-varying periodic behavior.
- The clock bias predicted by IM-SAM provides higher PPP positioning accuracy compared with IGU-P.
Abstract
1. Introduction
2. Normal Time-Frequency Transform and Inaction Method
2.1. Normal Time-Frequency Transform
2.2. Inaction Method
3. Clock Bias Prediction Algorithm Based on the Inaction Method
3.1. Construction of the Clock Bias Model
- Step 1: Use the least squares method to fit the clock bias data , obtaining the trend term . Subtract the trend term to obtain the residual sequence containing periodic terms and noise, .
- Step 2: Perform time-frequency analysis on the residual sequence using NTFT to obtain the NTFT time-frequency spectrum .
- Step 3: Using IM, extract the instantaneous parameters of multiple periodic terms along the ridge of the NTFT time-frequency spectrum, including the instantaneous frequency , instantaneous amplitude , and instantaneous phase .
- Step 4: According to Equation (10), . Taking , , and , then , from which the initial phase of the periodic term at the final time can be obtained.
- Step 5: Substitute the time-varying parameters of periodic terms , , and extracted at into Equation (10) to predict clock bias for future periods.
3.2. Simulation Example
4. Experiments and Analysis
4.1. Time-Frequency Characteristics of Satellite Clock Bias
4.2. Prediction Error Analysis of Different Prediction Models
4.3. Prediction Accuracy and Stability Analysis
4.4. Precise Point Positioning Experimental Analysis
5. Conclusions
- ①
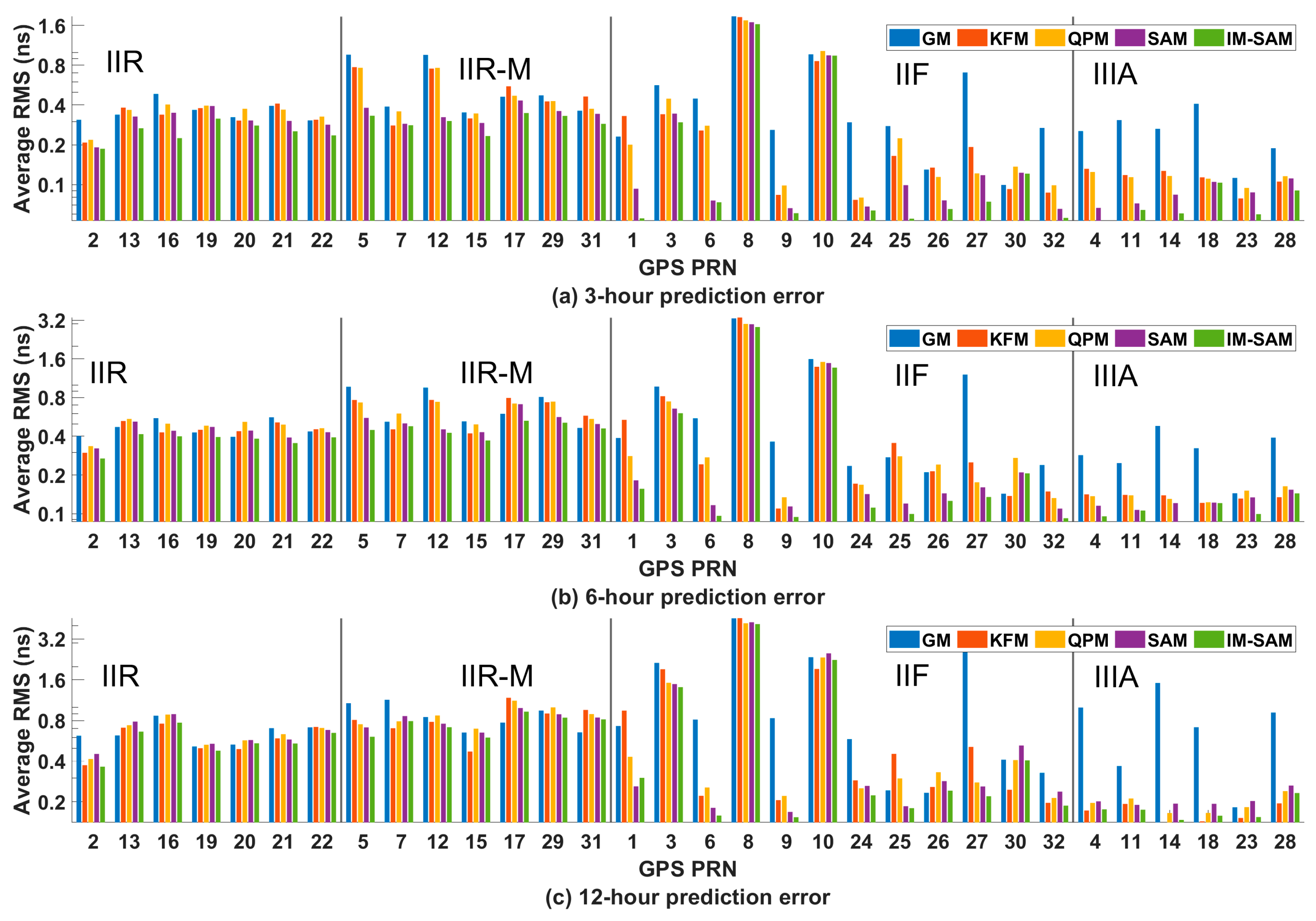
- IM-SAM significantly outperformed traditional models in terms of RMS and STD metrics for all prediction durations (3 h, 6 h, 9 h, and 12 h). Among all tested models, IM-SAM achieved the lowest average RMS value, with improvement rates exceeding 30% compared to GM, KFM, and QPM for short-term predictions. IM-SAM reduces prediction error by 19.14% compared to SAM with a similar model structure in 3 h predictions and maintains its advantage in longer prediction intervals. Additionally, a kinematic PPP experiment was performed using IM-SAM-predicted clock products and compared with the IGU-P. The positioning results from six IGS stations revealed that IM-SAM clock products led to a notable improvement in positioning accuracy, with average RMS reductions in all coordinate directions.
- ②
- Traditional models (GM, KFM, and QPM) do not model periodic terms, so their prediction errors exhibit significant periodic fluctuations. Although SAM partially mitigates these fluctuations through global fitting, its performance deteriorates in the presence of frequency drift or sudden changes. In contrast, IM-SAM is able to adaptively capture the latest periodic dynamics at the edge of the prediction boundary, significantly reducing prediction errors and making them more stable.
Author Contributions
Funding
Data Availability Statement
Acknowledgments
Conflicts of Interest
Abbreviations
| SAM | spectral analysis model |
| IM-SAM | improved spectral analysis model |
| QPM | quadratic polynomial model |
| GM | gray model |
| KFM | Kalman filter model |
| NTFT | normal time-frequency transform |
| IM | inaction method |
| GPS | Global Position System |
| CODE | Center for Orbit Determination in Europe |
| RMS | root mean square |
| STD | standard deviation |
| DOY | day of year |
| GNSS | Global Navigation Satellite Systems |
| IGS | International GNSS Service |
| PPP | precise point positioning |
| IGU-O | observed half of IGS ultra-rapid product |
| IGU-P | predicted half of IGS ultra-rapid product |
References
- Mao, Y.; Wang, Q.; Hu, C.; Yang, H.; Yang, X.; Yu, W. New Clock Offset Prediction Method for BeiDou Satellites Based on Inter-Satellite Correlation. Acta Geod. Et Geophys. 2018, 54, 35–54. [Google Scholar] [CrossRef]
- Heo, Y.J.; Cho, J.; Heo, M.B. Improving Prediction Accuracy of GPS Satellite Clocks with Periodic Variation Behaviour. Meas. Sci. Technol. 2010, 21, 73001. [Google Scholar] [CrossRef]
- Xue, H.; Xu, T.; Nie, W.; Yang, Y.; Ai, Q. An Enhanced Prediction Model for BDS Ultra-Rapid Clock Offset That Combines Singular Spectrum Analysis, Robust Estimation and Gray Model. Meas. Sci. Technol. 2021, 32, 105002. [Google Scholar] [CrossRef]
- Zhang, B.; Ou, J.; Yuan, Y.; Li, Z. Extraction of Line-of-Sight Ionospheric Observables from GPS Data Using Precise Point Positioning. Sci. China Earth Sci. 2012, 55, 1919–1928. [Google Scholar] [CrossRef]
- Huang, G.; Cui, B.; Zhang, Q.; Fu, W.; Li, P. An Improved Predicted Model for BDS Ultra-Rapid Satellite Clock Offsets. Remote Sens. 2018, 10, 60. [Google Scholar] [CrossRef]
- Shen, C.; Wang, G.; Liu, L.; Ren, D.; Hu, H.; Sun, W. Extraction of Periodic Terms in Satellite Clock Bias Based on Fourier Basis Pursuit Bandpass Filter. Remote Sens. 2025, 17, 827. [Google Scholar] [CrossRef]
- Zhao, L.; Li, N.; Li, H.; Wang, R.; Li, M. BDS Satellite Clock Prediction Considering Periodic Variations. Remote Sens. 2021, 13, 4058. [Google Scholar] [CrossRef]
- Tan, X.; Xu, J.; He, H.; Chen, D.; Liang, Y.; Wu, M. Short-Term Satellite Clock Bias Forecast Based on Complementary Ensemble Empirical Mode Decomposition and Quadratic Polynomial. Surv. Rev. 2023, 55, 127–136. [Google Scholar] [CrossRef]
- Zhang, B.; Ou, J.; Yuan, Y.; Zhong, S. Yaw Attitude of Eclipsing GPS Satellites and Its Impact on Solutions from Precise Point Positioning. Chin. Sci. Bull. 2010, 55, 3687–3693. [Google Scholar] [CrossRef]
- Senior, K.L.; Ray, J.R.; Beard, R.L. Characterization of Periodic Variations in the GPS Satellite Clocks. GPS Solut. 2008, 12, 211–225. [Google Scholar] [CrossRef]
- Wang, G.; Liu, L.; Xu, A.; Pan, F.; Cai, Z.; Xiao, S.; Tu, Y.; Li, Z. On the Capabilities of the Inaction Method for Extracting the Periodic Components from GPS Clock Data. GPS Solut. 2018, 22, 92. [Google Scholar] [CrossRef]
- Cao, Y.; Huang, G.; Xie, S.; Xie, W.; Liu, Z.; Tan, Y. An Evaluation Method of GPS Satellite Clock In-Orbit with Periodic Terms Deducted. Measurement 2023, 214, 112765. [Google Scholar] [CrossRef]
- Ai, Q.; Maciuk, K.; Lewinska, P.; Borowski, L. Characteristics of Onefold Clocks of GPS, Galileo, BeiDou and GLONASS Systems. Sensors 2021, 21, 2396. [Google Scholar] [CrossRef] [PubMed]
- Formichella, V.; Galleani, L.; Signorile, G.; Sesia, I. Time–Frequency Analysis of the Galileo Satellite Clocks: Looking for the J2 Relativistic Effect and Other Periodic Variations. GPS Solut. 2021, 25, 56. [Google Scholar] [CrossRef]
- Chen, Q.; van Dam, T.; Sneeuw, N.; Collilieux, X.; Weigelt, M.; Rebischung, P. Singular Spectrum Analysis for Modeling Seasonal Signals from GPS Time Series. J. Geodyn. 2013, 72, 25–35. [Google Scholar] [CrossRef]
- Wang, W.; Wang, Y.; Yu, C.; Xu, F.; Dou, X. Spaceborne Atomic Clock Performance Review of BDS-3 MEO Satellites. Measurement 2021, 175, 109075. [Google Scholar] [CrossRef]
- Xie, X.; Geng, T.; Zhao, Q.; Lv, Y.; Cai, H.; Liu, J. Orbit and Clock Analysis of BDS-3 Satellites Using Inter-Satellite Link Observations. J. Geod. 2020, 94, 64. [Google Scholar] [CrossRef]
- Liang, Y.; Xu, J.; Li, F.; Wu, M. A VMD-PE-SG Denoising Method Based on K–L Divergence for Satellite Atomic Clock. Meas. Sci. Technol. 2023, 34, 55012. [Google Scholar] [CrossRef]
- Zhao, D.; Lei, Y. A Technique to Reduce the Edge Effect in Least Squares Extrapolation for Enhanced Earth Orientation Prediction. Stud. Geophys. Et Geod. 2020, 64, 293–305. [Google Scholar] [CrossRef]
- Galleani, L. Detection of Changes in Clock Noise Using the Time–Frequency Spectrum. Metrologia 2008, 45, S143. [Google Scholar] [CrossRef]
- Li, S.; Liu, L.; Cai, S.; Wang, G. Tidal Harmonic Analysis and Prediction with Least-Squares Estimation and Inaction Method. Estuar. Coast. Shelf Sci. 2019, 220, 196–208. [Google Scholar] [CrossRef]
- Guo, T.; Zhang, T.; Lim, E.; López-Benítez, M.; Ma, F.; Yu, L. A Review of Wavelet Analysis and Its Applications: Challenges and Opportunities. IEEE Access 2022, 10, 58869–58903. [Google Scholar] [CrossRef]
- Zhou, Z.; Liang, X.; Shi, Z.; Wang, G.; Lang, J.; Liu, L. A New Method to Restrain Schuler Periodic Oscillation in Inertial Navigation System Based on Normal Time–Frequency Transform. IEEE Trans. Instrum. Meas. 2022, 71, 8502215. [Google Scholar] [CrossRef]
- Su, X.; Liu, L.; Houtse, H.; Wang, G. Long-Term Polar Motion Prediction Using Normal Time–Frequency Transform. J. Geod. 2014, 88, 145–155. [Google Scholar] [CrossRef]
- Liu, L.; Hsu, H.; Grafarend, E.W. Normal Morlet Wavelet Transform and Its Application to the Earth’s Polar Motion. J. Geophys. Res. Solid Earth 2007, 112. [Google Scholar] [CrossRef]
- Duan, P.; Huang, C. Intradecadal Variations in Length of Day and Their Correspondence with Geomagnetic Jerks. Nat. Commun. 2020, 11, 2273. [Google Scholar] [CrossRef]
- Huang, G.; Cui, B.; Zhang, Q.; Li, P.; Xie, W. Switching and Performance Variations of On-Orbit BDS Satellite Clocks. Adv. Space Res. 2019, 63, 1681–1696. [Google Scholar] [CrossRef]
- Zhang, B.; Hou, P.; Liu, T.; Yuan, Y. A Single-Receiver Geometry-Free Approach to Stochastic Modeling of Multi-Frequency GNSS Observables. J. Geod. 2020, 94, 37. [Google Scholar] [CrossRef]
- Geng, J.; Chen, X.; Pan, Y.; Zhao, Q. A Modified Phase Clock/Bias Model to Improve PPP Ambiguity Resolution at Wuhan University. J. Geod. 2019, 93, 2053–2067. [Google Scholar] [CrossRef]
- Hou, P.; Zhang, B. A Generalized Least-Squares Filter Designed for GNSS Data Processing. J. Geod. 2024, 99, 3. [Google Scholar] [CrossRef]
- Zhang, B.; Zhao, C.; Odolinski, R.; Liu, T. Functional Model Modification of Precise Point Positioning Considering the Time-Varying Code Biases of a Receiver. Satell. Navig. 2021, 2, 11. [Google Scholar] [CrossRef]
- Geng, J.; Yang, S.; Guo, J. Assessing IGS GPS/Galileo/BDS-2/BDS-3 Phase Bias Products with PRIDE PPP-AR. Satell. Navig. 2021, 2, 17. [Google Scholar] [CrossRef]










| Satellite Type | Atomic Clock Types | PRN |
|---|---|---|
| IIR | Rb | G02 G13 G16 G19 G20 G21 G22 |
| IIRM | Rb | G05 G07 G12 G15 G17 G29 G31 |
| IIF | Rb | G01 G03 G06 G09 G10 G25 G26 G27 G30 G32 |
| IIF | Cs | G08 G24 |
| IIIA | Rb | G04 G11 G14 G18 G23 G28 |
| STD (ns) | IIR | IIR-M | IIF-Rb | IIF-Cs | IIIA | Average |
|---|---|---|---|---|---|---|
| GM | 0.4011 | 0.4643 | 0.5934 | 1.3711 | 0.5690 | 0.5671 |
| KFM | 0.3753 | 0.4786 | 0.4022 | 1.1638 | 0.0994 | 0.4039 |
| QPM | 0.4058 | 0.5216 | 0.3662 | 1.1853 | 0.1204 | 0.4140 |
| SAM | 0.3889 | 0.4519 | 0.3410 | 1.3141 | 0.1170 | 0.3946 |
| IM-SAM | 0.3312 | 0.4213 | 0.2948 | 1.1844 | 0.0790 | 0.3456 |
| Average | 0.3804 | 0.4675 | 0.3995 | 1.2437 | 0.1970 |
| Statistical Indicators | Model | 3 h | 6 h | 9 h | 12 h |
|---|---|---|---|---|---|
| RMS (ns) | GM | 0.4415 | 0.6076 | 0.7746 | 0.9812 |
| KFM | 0.3452 | 0.5050 | 0.6144 | 0.7082 | |
| QPM | 0.3399 | 0.4844 | 0.5933 | 0.7028 | |
| SAM | 0.2906 | 0.4480 | 0.5809 | 0.7009 | |
| IM-SAM | 0.2349 | 0.3835 | 0.5022 | 0.6274 | |
| Improvement rate (%) | GM vs. IM-SAM | 46.78 | 36.87 | 35.15 | 36.05 |
| KFM vs. IM-SAM | 31.93 | 24.05 | 18.25 | 11.41 | |
| QPM vs. IM-SAM | 30.87 | 20.81 | 15.34 | 10.72 | |
| SAM vs. IM-SAM | 19.14 | 14.39 | 13.53 | 10.48 |
| Station Name | IM-SAM E/N/U (cm) | IGU-P E/N/U (cm) | IM-SAM vs. IGU-P E/N/U (%) | ||||||
|---|---|---|---|---|---|---|---|---|---|
| BUCU | 6.207 | 7.330 | 14.741 | 6.222 | 8.807 | 16.791 | 0.2 | 16.7 | 12.2 |
| IISC | 6.168 | 5.787 | 17.424 | 7.857 | 6.439 | 17.812 | 21.4 | 10.1 | 2.1 |
| LCK4 | 6.233 | 5.647 | 10.260 | 8.446 | 6.488 | 10.387 | 26.1 | 12.9 | 1.2 |
| LHAZ | 11.002 | 7.253 | 15.736 | 11.953 | 8.431 | 18.984 | 7.9 | 13.9 | 17.1 |
| PBR4 | 5.322 | 6.271 | 12.416 | 7.002 | 7.106 | 12.614 | 23.9 | 11.7 | 1.5 |
| URUM | 10.003 | 7.680 | 10.430 | 10.655 | 8.585 | 12.022 | 6.1 | 10.5 | 13.2 |
| Average | 7.489 | 6.661 | 13.501 | 8.689 | 7.643 | 14.768 | 14.3 | 12.6 | 7.9 |
Disclaimer/Publisher’s Note: The statements, opinions and data contained in all publications are solely those of the individual author(s) and contributor(s) and not of MDPI and/or the editor(s). MDPI and/or the editor(s) disclaim responsibility for any injury to people or property resulting from any ideas, methods, instructions or products referred to in the content. |
© 2025 by the authors. Licensee MDPI, Basel, Switzerland. This article is an open access article distributed under the terms and conditions of the Creative Commons Attribution (CC BY) license (https://creativecommons.org/licenses/by/4.0/).
Share and Cite
Shen, C.; Hu, H.; Wang, G.; Liu, L.; Ren, D.; Cai, Z. Research on GPS Satellite Clock Bias Prediction Algorithm Based on the Inaction Method. Remote Sens. 2025, 17, 4013. https://doi.org/10.3390/rs17244013
Shen C, Hu H, Wang G, Liu L, Ren D, Cai Z. Research on GPS Satellite Clock Bias Prediction Algorithm Based on the Inaction Method. Remote Sensing. 2025; 17(24):4013. https://doi.org/10.3390/rs17244013
Chicago/Turabian StyleShen, Cong, Huiwen Hu, Guocheng Wang, Lintao Liu, Dong Ren, and Zhiwu Cai. 2025. "Research on GPS Satellite Clock Bias Prediction Algorithm Based on the Inaction Method" Remote Sensing 17, no. 24: 4013. https://doi.org/10.3390/rs17244013
APA StyleShen, C., Hu, H., Wang, G., Liu, L., Ren, D., & Cai, Z. (2025). Research on GPS Satellite Clock Bias Prediction Algorithm Based on the Inaction Method. Remote Sensing, 17(24), 4013. https://doi.org/10.3390/rs17244013

