Sign in to use this feature.

Years

Between: -

Subjects

remove_circle_outline
remove_circle_outline
remove_circle_outline
remove_circle_outline
remove_circle_outline
remove_circle_outline
remove_circle_outline
remove_circle_outline
remove_circle_outline

Journals

remove_circle_outline
remove_circle_outline

Article Types

Countries / Regions

remove_circle_outline
remove_circle_outline
remove_circle_outline
remove_circle_outline

Search Results (262)

Search Parameters:
Keywords = kinematic fitting

Order results
Result details
Results per page
Select all
Export citation of selected articles as:
15 pages, 925 KB  
Article
The Softball Pitching Plane (SPP): A Reliable Geometric Descriptor of Arm Trajectory and Its Relationship to Ball Velocity in Adolescent Pitchers
by Kai-Jen Cheng, Ian P. Jump, Ryan M. Zappa, Anthony W. Fava, Madeline R. Klubertanz, Joseph H. Caplan and Gretchen D. Oliver
Appl. Sci. 2026, 16(2), 574; https://doi.org/10.3390/app16020574 - 6 Jan 2026
Viewed by 373
Abstract
This study introduced Softball Pitching Plane (SPP), a best-fit geometric plane designed to characterize the throwing arm spatial trajectory during the windmill softball pitch. The purpose was to evaluate the reliability of this planar representation and determine whether deviations from the SPP were [...] Read more.
This study introduced Softball Pitching Plane (SPP), a best-fit geometric plane designed to characterize the throwing arm spatial trajectory during the windmill softball pitch. The purpose was to evaluate the reliability of this planar representation and determine whether deviations from the SPP were associated with ball velocity. Forty-nine adolescent softball pitchers each performed 15 drop-ball pitches (735 total pitches). Kinematics were recorded using a 15-sensor electromagnetic tracking system. A weighted orthogonal least-squares algorithm was applied to compute the best-fit plane across three intervals (WU–BR, TOP–BR, and DS–BR). Reliability was assessed using within-subject variability, leave-one-trial-out error, and ICCs. Linear mixed-effects models were used to examine associations between SPP parameters and ball velocity. The downswing–ball release interval of the wrist trajectory showed the most stable planar pattern (RMS = 0.053 m). SPP parameters demonstrated high reliability (CV ≤ 4.2%; ICC = 0.81–0.90). RMS deviation negatively predicted ball velocity at both within-pitcher (−0.11 km·h−1 per cm, p = 0.003) and between-pitcher levels (−0.40 km·h−1 per cm, p = 0.03). These findings indicate that, in adolescent softball pitchers, the SPP provides a reliable geometric description of throwing-arm motion during the downswing–ball release phase, with reduced deviation associated with higher pitch velocity. Full article
(This article belongs to the Special Issue Biomechanics and Sport Engineering: Latest Advances and Prospects)
Show Figures

Figure 1

27 pages, 32271 KB  
Article
Modeling Soft Rehabilitation Actuators: Segmented PRB Formulations with FEM-Based Calibration
by Tomislav Bazina, David Liović, Jelena Srnec Novak and Ervin Kamenar
Actuators 2026, 15(1), 22; https://doi.org/10.3390/act15010022 - 1 Jan 2026
Viewed by 211
Abstract
Soft pneumatic glove actuators for hand rehabilitation require compact, accurate models that can be evaluated in real time. At the same time, high-fidelity finite element (FE) simulations are too slow for iterative design and control. We develop a finite element-based calibration pipeline that [...] Read more.
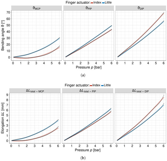
Soft pneumatic glove actuators for hand rehabilitation require compact, accurate models that can be evaluated in real time. At the same time, high-fidelity finite element (FE) simulations are too slow for iterative design and control. We develop a finite element-based calibration pipeline that combines a dependency-constrained human finger kinematic model with a segmented pseudo-rigid-body (PRB) description of ribbed-bellow soft pneumatic actuators sized to individual fingers. FE models with symmetry and contact generate pressure–pose data for the MCP, PIP, and DIP spans, from which we extract per-segment bending angles and axial elongations, fit simple pressure–kinematics relations, and identify PRB parameters using basin-hopping global optimization. The calibrated PRB reproduces FE flexion–extension trajectories for index and little finger actuators with millimetric accuracy (mean segment positioning errors of approximately 2.3 mm and 0.7 mm), preserves finger-like bending localized in the bellows, and maintains negligible compression of inter-joint links (below 1.2%). The pressure–bend and pressure–elongation maps achieve near-unity adjusted R2, and the PRB forward kinematics evaluates complete pressure trajectories in less than half a millisecond, compared with several hours for the corresponding FE simulations. This pipeline provides a practical route from detailed FE models to controller-ready reduced-order surrogates for design-space exploration and patient-specific control of soft rehabilitation actuators. Full article
Show Figures

Figure 1

18 pages, 473 KB  
Systematic Review
A Systematic Review of Rehabilitation Interventions for Athletes with Chronic Ankle Instability
by Marlena Skwiot
J. Clin. Med. 2026, 15(1), 220; https://doi.org/10.3390/jcm15010220 - 27 Dec 2025
Viewed by 689
Abstract
Background: Ankle sprains affect approximately 8% of the general population, and recurrence occurs in as many as 80% of patients participating in high-risk sports. The aim of this review was to assess the impact of physiotherapy interventions on chronic ankle stability (CAI), providing [...] Read more.
Background: Ankle sprains affect approximately 8% of the general population, and recurrence occurs in as many as 80% of patients participating in high-risk sports. The aim of this review was to assess the impact of physiotherapy interventions on chronic ankle stability (CAI), providing evidence for the effectiveness of clinical treatment and care for patients with CAI. Methods: A systematic review was conducted in accordance with the Preferred Reporting Items for Systematic Reviews and Meta-Analyses (PRISMA) guidelines. Randomized controlled trials (RCTs) evaluating the effectiveness of physiotherapy interventions in athletes with CAI following injury were analyzed. PubMed, Embase, PEDro, and Cochrane electronic databases were searched. A modified McMaster Critical Review Form for quantitative studies was used to assess the methodological quality of the included studies, in accordance with the guidelines. Results: The literature search yielded 316 results, of which 13 articles met all required eligibility criteria and were included in the study. The RCTs included 490 athletes with CAI. Interventions included various types of exercises, including balance training (BT), plyometric training, CrossFit, and neuromuscular training. The duration of the intervention was 4–12 weeks. Both subjective and objective measures were used to assess the effectiveness of the therapy in the following seven domains: Dynamic Balance, Static Balance, Patient-Reported Outcomes, Kinematic Outcomes, Proprioception, Body-Composition, and Strength Assessment. Conclusions: The evidence supports the effectiveness of rehabilitation interventions in athletes with CAI. Further large-scale randomized controlled trials, incorporating control groups and long-term follow-up, are needed to better determine the robust impact of conservative management on improving both the physical and psychological health of patients with CAI. Full article
(This article belongs to the Section Sports Medicine)
Show Figures

Figure 1

16 pages, 5030 KB  
Article
Design and Evaluation of an Automated Rod-Feeding Mechanism for Small Arch Shed Machine Based on Kinematics
by Panpan Yuan, Pengfei Wen, Jia You, Sidikejiang Aiwaili, Xingliang Zhu, Huiqing Peng and Zhikun Wang
Agriculture 2026, 16(1), 30; https://doi.org/10.3390/agriculture16010030 - 22 Dec 2025
Viewed by 316
Abstract
Current small arch shed machine designs rely on manual pole placements, resulting in low construction efficiency and mechanized levels. These machines were not designed with key components tailored to the agronomic requirements of Xinjiang’s small arch shed cotton cultivation model. An automated rod-feeding [...] Read more.
Current small arch shed machine designs rely on manual pole placements, resulting in low construction efficiency and mechanized levels. These machines were not designed with key components tailored to the agronomic requirements of Xinjiang’s small arch shed cotton cultivation model. An automated rod-feeding mechanism for a small arch shed was designed using SolidWorks 2023 to bridge this gap. Its major components include rod separation and conveying units, enabling the separation and orderly transportation of tunnel rods. A kinematic simulation of the conveyor rod during the transport process using ADAMS 2024.1 software was performed to examine the effects of motor speed, synchronous belt stop block height, and horizontal distance on the conveyor rod. Using MATLAB 2023a to fit the center-of-mass distance curve yields the optimal values for the parameters (motor speed = 17.57 rpm, stop block height = 16.79 mm, and horizontal distance = 103.95 mm). Bench test results confirmed the simulation performance of the device with a motor speed of 17 rpm, a synchronous belt stop block height of 15 mm, and a horizontal distance of 100 mm. The automated rod-feeding device exhibited an 80.8% feeding rate. The prototype operates stably, and this design can serve as a reference for developing automated equipment for small arch sheds. Full article
Show Figures

Figure 1

19 pages, 11006 KB  
Article
Research on GPS Satellite Clock Bias Prediction Algorithm Based on the Inaction Method
by Cong Shen, Huiwen Hu, Guocheng Wang, Lintao Liu, Dong Ren and Zhiwu Cai
Remote Sens. 2025, 17(24), 4013; https://doi.org/10.3390/rs17244013 - 12 Dec 2025
Viewed by 302
Abstract
Satellite clock bias exhibits complex, time-varying periodic characteristics due to environmental disturbances. Accurate modeling and prediction of periodic terms play a crucial role in improving the precision and stability of short-term predictions. Traditional models such as spectral analysis model (SAM) estimate the frequency, [...] Read more.
Satellite clock bias exhibits complex, time-varying periodic characteristics due to environmental disturbances. Accurate modeling and prediction of periodic terms play a crucial role in improving the precision and stability of short-term predictions. Traditional models such as spectral analysis model (SAM) estimate the frequency, amplitude, and phase of periodic terms through global fitting, which limits their ability to adapt to abrupt changes at the prediction boundary. To address this limitation, this paper proposes an improved spectral analysis model (IM-SAM) based on the inaction method (IM). The model employs IM to extract the instantaneous frequency, amplitude, and phase parameters of periodic terms precisely at the data endpoint, and utilizes the parameters of periodic terms at the data endpoint for prediction, effectively suppressing periodic fluctuations in prediction errors. Experimental results based on real GPS clock bias data demonstrate that the root mean square (RMS) of IM-SAM prediction errors is reduced by 19.14%, 14.39%, and 10.48% for 3 h, 6 h, and 12 h prediction tasks, respectively, compared with SAM. Furthermore, a kinematic precise point positioning experiment was performed using IM-SAM-predicted clock products and compared with the predicted half of IGS ultra-rapid clock products. The RMS of position error was reduced by 14.3%, 12.6%, and 7.9% in the east, north, and up directions, respectively. These results demonstrate the practical effectiveness and accuracy of IM-SAM in real-time clock prediction and GPS positioning applications. Full article
Show Figures

Figure 1

23 pages, 7150 KB  
Article
Influence of a Sloped Bottom on a 60-Degree Inclined Dense Jet Discharged into a Stationary Environment: A Large Eddy Simulation Study
by Xinyun Wang and Abdolmajid Mohammadian
J. Mar. Sci. Eng. 2025, 13(12), 2309; https://doi.org/10.3390/jmse13122309 - 4 Dec 2025
Viewed by 341
Abstract
In the present study, numerical simulations were conducted to investigate the behavior of a 60° inclined dense jet discharged onto horizontal (0°) and sloped (5°) bottoms in a stagnant environment. The objective was to evaluate the capability of Large Eddy Simulation (LES) in [...] Read more.
In the present study, numerical simulations were conducted to investigate the behavior of a 60° inclined dense jet discharged onto horizontal (0°) and sloped (5°) bottoms in a stagnant environment. The objective was to evaluate the capability of Large Eddy Simulation (LES) in capturing both the kinematic and mixing characteristics of inclined dense jets interacting with different bottom boundaries. A Reynolds-Averaged Navier–Stokes (RANS) model was also included for comparison. The LES simulations successfully reproduced the key kinematic and mixing characteristics, including the jet trajectory, centerline peak location, impact point, and terminal rise height, and showed strong agreement with the experimental observations. LES also predicted the concentration distributions and variations along both the horizontal and sloped bottoms, whereas the RANS model tended to underestimate both geometrical and dilution properties. A Gaussian fitting function was proposed to estimate the concentration distribution under both bottom conditions. Analysis of the spreading layer indicated that the concentration profiles exhibited self-similarity. Energy spectrum analysis showed that the sloped bottom enhanced shear-induced turbulence, thereby improving the mixing efficiency. Results confirm the reliability of LES for describing jet–bed interactions and emphasize the influence of bed slope on jet dilution and mixing behavior. Full article
(This article belongs to the Section Physical Oceanography)
Show Figures

Figure 1

25 pages, 4642 KB  
Article
Layered and Decoupled Calibration: A High-Precision Kinematic Identification for a 5-DOF Serial-Parallel Manipulator with Remote Drive
by Zhisen Wang, Juzhong Zhang, Yuyi Chu, Yuwen Wu, Yifan Mou, Xiang Wang and Hongbo Yang
Actuators 2025, 14(12), 577; https://doi.org/10.3390/act14120577 - 29 Nov 2025
Viewed by 309
Abstract
Serial-parallel hybrid manipulators featuring remote actuation via parallelogram mechanisms are highly valued for their low inertia and high stiffness. However, the complex nonlinear errors introduced by their multi-stage transmission chains pose significant challenges for high-precision calibration. To address this, this paper proposes a [...] Read more.
Serial-parallel hybrid manipulators featuring remote actuation via parallelogram mechanisms are highly valued for their low inertia and high stiffness. However, the complex nonlinear errors introduced by their multi-stage transmission chains pose significant challenges for high-precision calibration. To address this, this paper proposes a hierarchical and decoupled calibration framework specifically tailored for such parallelogram-driven hybrid manipulators. The method first independently calibrates the pose error of the 3-DOF serial main arm using a composite error model that integrates transmission chain constraints. Subsequently, the 2-DOF parallel wrist is accurately calibrated employing a joint-space error identification strategy based on inverse kinematics, thereby circumventing the intractability of solving the parallel mechanism’s forward kinematics. Experimental validation was performed on a self-developed 5-DOF robot prototype using an optical tracker and an attitude sensor. Results from the validation dataset demonstrate that the proposed method reduces the robot’s average positioning error from 2.199 mm to 0.658 mm (a 70.1% improvement) and the average attitude error from 0.8976 deg to 0.1767 deg (an 80.3% improvement). Furthermore, comparative experiments against the standard MDH model and polynomial fitting models confirm that the proposed composite error model and multi-stage transmission error model are essential for achieving high accuracy. This research provides crucial theoretical insights and practical solutions for the high-precision application of complex remote-driven hybrid manipulators. Full article
(This article belongs to the Section Actuators for Robotics)
Show Figures

Figure 1

21 pages, 4008 KB  
Article
Research on Dynamic Trajectory Planning Based on Model Predictive Theory for Complex Driving Scenarios
by Hongluo Li, Hai Pang, Hongyang Xia, Yongxian Huang and Xiangkun Zeng
Sensors 2025, 25(23), 7241; https://doi.org/10.3390/s25237241 - 27 Nov 2025
Viewed by 502
Abstract
Autonomous driving, a transformative automotive technology, is currently a major research focus. Trajectory planning, one of the three core technologies for realizing autonomous driving, plays a decisive role in the performance of autonomous driving systems. The key challenge lies in planning an optimal [...] Read more.
Autonomous driving, a transformative automotive technology, is currently a major research focus. Trajectory planning, one of the three core technologies for realizing autonomous driving, plays a decisive role in the performance of autonomous driving systems. The key challenge lies in planning an optimal trajectory based on real-time environmental information, yet significant research gaps remain, particularly for dynamic driving scenarios. To address this, our study investigates lane-changing trajectory planning in dynamic scenarios based on model predictive control (MPC) theory and proposes a novel dynamic lane-changing trajectory planning method. First, kinematic models for both the host vehicle and surrounding vehicles are established. Then, following the core components of MPC theory, we construct a prediction model, define an objective function, and formulate constraints for the rolling optimization step. Finally, the optimal control sequence derived from the optimization is processed using a least-squares fitting method to generate a lane-changing trajectory that demonstrates real-time adaptability in dynamic environments. The proposed method is validated through simulation studies of three typical driving conditions on a co-simulation platform. The results confirm that the planned trajectory exhibits excellent dynamic real-time adaptability, thereby contributing a foundation for achieving full-scenario autonomous driving. Full article
(This article belongs to the Section Intelligent Sensors)
Show Figures

Figure 1

31 pages, 676 KB  
Review
Functional Biomarkers Associated with Risk of Low Back Pain in Firefighters: A Systematic Review
by John M. Mayer, Mina Botros, Elizabeth Grace and Ram Haddas
J. Funct. Morphol. Kinesiol. 2025, 10(4), 441; https://doi.org/10.3390/jfmk10040441 - 14 Nov 2025
Viewed by 639
Abstract
Background: Firefighters are at elevated risk of low back pain (LBP), yet predictors, mechanisms, and interventions for LBP in this occupation remain poorly defined. The purpose of this study was to systematically review the literature and synthesize the evidence on functional biomarkers associated [...] Read more.
Background: Firefighters are at elevated risk of low back pain (LBP), yet predictors, mechanisms, and interventions for LBP in this occupation remain poorly defined. The purpose of this study was to systematically review the literature and synthesize the evidence on functional biomarkers associated with the risk of LBP in firefighters. Methods: PubMed, EMBASE, CINAHL, and PEDro were searched for studies evaluating functional biomarkers in firefighters with or without LBP, including aerobic capacity, anthropometric measures, disability/kinesiophobia, functional work tasks/capacity, imaging/structural/morphological characteristics, kinematics, movement quality/range of motion, muscular fitness, overall physical fitness, physical activity. Empirical evidence statements were generated for each biomarker domain, under Protocol Registration PROSPERO (CRD420251010061). Results: Eighteen studies (n = 32,977) met inclusion criteria and were predominantly cross-sectional (14/18) with fair quality (13/18), which suggests a substantial risk of bias. Higher disability/kinesiophobia and poorer functional work task performance were linked to increased risk of LBP, although causal relationships cannot be determined. Associations for the eight other biomarkers were inconsistent. Two interventional studies demonstrated benefits from trunk-focused exercise. Conclusions: The literature examining functional biomarkers and LBP in firefighters is fragmented, which precludes making robust and broad clinical recommendations for evidence-based implementation. Findings of future research may ultimately lead to approaches to improve the safety and health of firefighters with LBP through patient-centered and tailored programs addressing integrated functional biomarkers across the continuum of prevention, clinical care, and resilience development. Full article
(This article belongs to the Section Functional Anatomy and Musculoskeletal System)
Show Figures

Figure 1

26 pages, 6226 KB  
Article
Design and Experimental Validation of a Unidirectional Cable-Driven Exoskeleton for Upper Limb Rehabilitation
by Simone Leone, Francesco Lago, Giuseppe Lavia, Francesco Pio Macrì, Francesco Sgamba, Alessandro Tozzo, Danilo Adamo, Jorge Manuel Navarrete Avila and Giuseppe Carbone
Appl. Sci. 2025, 15(22), 11996; https://doi.org/10.3390/app152211996 - 12 Nov 2025
Viewed by 873
Abstract
Upper limb disabilities resulting from stroke affect millions worldwide, yet current rehabilitation systems face limitations in portability, cost-effectiveness, and multi-joint integration. This study presents a cable-driven parallel exoskeleton integrating elbow, wrist, and finger assistance into a single portable device. The design strategically separates [...] Read more.
Upper limb disabilities resulting from stroke affect millions worldwide, yet current rehabilitation systems face limitations in portability, cost-effectiveness, and multi-joint integration. This study presents a cable-driven parallel exoskeleton integrating elbow, wrist, and finger assistance into a single portable device. The design strategically separates actuation components, housing all motors in a backpack unit, while limb-mounted modules serve as cable routing guides, achieving seven degrees of freedom within practical constraints of portability (1.2–1.5 kg) and cost-effectiveness (3D-printed components). The device incorporates seven servo motors controlled via Arduino with IMU feedback and PID algorithms. Kinematic and dynamic analyses informed mechanical design, while ARMAX system identification enabled controller optimization achieving 87.96% model fit. Experimental validation with eight healthy participants performing four upper limb exercises demonstrated consistent trends toward reduced activation in four monitored agonist muscles with exoskeleton assistance (21.3% average reduction, p = 0.087), with moderate effect sizes for proximal muscles (Cohen’s d = 0.70–0.79) and significant reductions in brachioradialis during radial/ulnar deviation (23.4%, p = 0.045). These findings provide preliminary evidence of the device’s potential to reduce muscular effort during assisted movements, warranting further clinical validation with patient populations. Full article
(This article belongs to the Special Issue Recent Developments in Exoskeletons)
Show Figures

Figure 1

26 pages, 4645 KB  
Article
Control of Drum Shear Electric Drive Using Self-Learning Artificial Neural Networks
by Alibek Batyrbek, Valeriy Kuznetsov, Vitalii Kuznetsov, Artur Rojek, Viktor Kovalenko, Oleksandr Tkalenko, Valerii Tytiuk and Pavlo Krasovskyi
Energies 2025, 18(21), 5763; https://doi.org/10.3390/en18215763 - 31 Oct 2025
Cited by 1 | Viewed by 473
Abstract
The objective of this work was to study the possibility of upgrading the control system of the drum shear mechanism by using neural network PI controllers to improve the efficiency of the sheet-metal cutting process. The developed detailed model of the mechanism, including [...] Read more.
The objective of this work was to study the possibility of upgrading the control system of the drum shear mechanism by using neural network PI controllers to improve the efficiency of the sheet-metal cutting process. The developed detailed model of the mechanism, including a dual DC electric drive with three subordinate control loops for the voltage of the thyristor converter, current and speed of the motors, a 6-mass kinematic system with viscoelastic connections as well as a model of the metal cutting process, made it possible to uncover that the interaction of electric drives with the mechanical part leads to significant speed fluctuations during the cutting process, which worsens the quality of the sheet-metal edge. A modified system of current and speed controllers with built-in three-layer fitting neural networks as nonlinear components of proportional-integral channels is proposed. An algorithm for the fast learning of neural controllers using the gradient descent method in each cycle of calculating the controller signal is also proposed. The developed neuro-regulators make it possible to reduce the amplitude of speed fluctuations during the cutting process by four times, ensuring the effective damping of oscillations and reducing the duration of transient processes to 0.1 s. Full article
(This article belongs to the Section F5: Artificial Intelligence and Smart Energy)
Show Figures

Figure 1

18 pages, 1596 KB  
Article
New Multiscale Approach of Complex Modelling Chordae Tendineae Considering Strain-Dependent Modulus of Elasticity
by Alicia Menéndez Hurtado, Sergejus Borodinas, Olga Chabarova, Jelena Selivonec and Eugeniuš Stupak
Mathematics 2025, 13(20), 3331; https://doi.org/10.3390/math13203331 - 19 Oct 2025
Viewed by 437
Abstract
Understanding the nonlinear mechanical behaviour of mitral valve chordae tendineae is critical for accurate biomechanical modelling in cardiac simulations. This study integrates high-resolution 3D finite element analysis with experimentally derived Cauchy stress–Green–Lagrange strain data to capture both material and geometric nonlinearities. A one-dimensional [...] Read more.
Understanding the nonlinear mechanical behaviour of mitral valve chordae tendineae is critical for accurate biomechanical modelling in cardiac simulations. This study integrates high-resolution 3D finite element analysis with experimentally derived Cauchy stress–Green–Lagrange strain data to capture both material and geometric nonlinearities. A one-dimensional formulation incorporating strain-dependent elasticity and large deformation kinematics was developed and validated against 3D simulations in COMSOL Multiphysics. Calibrated using experimental stress–strain data and validated against high-fidelity 3D finite element simulations in COMSOL, it reveals that neglecting transverse deformation overestimates axial force by 7%. Cross-sectional area reduction during stretch remained consistently around 12%, underscoring the importance of Poisson effects. A polynomial fit to the strain-dependent modulus of elasticity enables efficient force prediction with excellent agreement to experimental data. These results advance the mathematical modelling of biological tissues with nonlinear hyperelastic behaviour, providing a foundation for patient-specific simulations and real-time predictive tools in cardiovascular engineering. Full article
Show Figures

Figure 1

11 pages, 832 KB  
Article
Adequate Segmentation in Marker-Based Motion Capture Studies for Hyperflexion and Hyperextension Lumbar Exercises
by Claudia F. Romero-Flores, Rogelio Bustamante-Bello, Marcos Moya Bencomo and Iñaki Zenteno Aguirrezabal
Bioengineering 2025, 12(10), 1087; https://doi.org/10.3390/bioengineering12101087 - 7 Oct 2025
Viewed by 836
Abstract
The recent literature has debated the appropriate level of complexity for spine kinematic models. Multi-segmental analyses have been suggested to be more suitable for activities such as walking and running; however, studies focusing on sport-specific movements remain limited. This study compared four spine [...] Read more.
The recent literature has debated the appropriate level of complexity for spine kinematic models. Multi-segmental analyses have been suggested to be more suitable for activities such as walking and running; however, studies focusing on sport-specific movements remain limited. This study compared four spine segmentation strategies for analyzing exercises simulating flexion and extension in acrobatic elements. Seventeen competitive university-level cheerleaders (male and female) participated in a motion capture study. Each athlete performed six exercises in the same order. Reflective markers were placed on the spinous processes of C7, T10, L1, L2, L3, L4, L5, and S1. From these, four models were constructed: (1) L1 and L5, (2) T10 and S1, (3) L1, L3, and L5, and (4) all lumbar vertebrae. Each model was fitted in the sagittal plane using a polynomial function and compared with the others via Pearson correlation. Model 3 (L1, L3, and L5) and Model 4 (all lumbar vertebrae) showed strong correlations across all trials, with Pearson coefficients approaching 1. These findings support the use of a two-segment representation of the lumbar spine (Model 3: L1–L3 and L3–L5) as a suitable approach for kinematic analysis of flexion–extension in acrobatic athletes. Full article
(This article belongs to the Special Issue Sports Biomechanics and Injury Rehabilitation)
Show Figures

Figure 1

38 pages, 21368 KB  
Article
Machine Learning-Based Dynamic Modeling of Ball Joint Friction for Real-Time Applications
by Kai Pfitzer, Lucas Rath, Sebastian Kolmeder, Burkhard Corves and Günther Prokop
Lubricants 2025, 13(10), 436; https://doi.org/10.3390/lubricants13100436 - 1 Oct 2025
Cited by 1 | Viewed by 1057
Abstract
Ball joints are components of the vehicle axle, and their friction characteristics must be considered when evaluating vibration behavior and ride comfort in driving simulator-based simulations. To model the three-dimensional friction behavior of ball joints, real-time capability and intuitive parameterization using data from [...] Read more.
Ball joints are components of the vehicle axle, and their friction characteristics must be considered when evaluating vibration behavior and ride comfort in driving simulator-based simulations. To model the three-dimensional friction behavior of ball joints, real-time capability and intuitive parameterization using data from standardized component test benches are essential. These requirements favor phenomenological modeling approaches. This paper applies a spherical, three-dimensional friction model based on the LuGre model, compares it with alternative approaches, and introduces a universal parameter estimation framework using machine learning. Furthermore, the kinematic operating ranges of ball joints are derived from vehicle measurements, and component-level measurements are conducted accordingly. The collected measurement data are used to estimate model parameters through gradient-based optimization for all considered models. The results of the model fitting are presented, and the model characteristics are discussed in the context of their suitability for online simulation in a driving simulator environment. We demonstrate that the proposed parameter estimation framework is capable of learning all the applied models. Moreover, the three-dimensional LuGre-based approach proves to be well suited for capturing the dynamic friction behavior of ball joints in real-time applications. Full article
(This article belongs to the Special Issue New Horizons in Machine Learning Applications for Tribology)
Show Figures

Figure 1

17 pages, 4058 KB  
Article
Medical Imaging-Based Kinematic Modeling for Biomimetic Finger Joints and Hand Exoskeleton Validation
by Xiaochan Wang, Cheolhee Cho, Peng Zhang, Shuyuan Ge and Jiadi Chen
Biomimetics 2025, 10(10), 652; https://doi.org/10.3390/biomimetics10100652 - 1 Oct 2025
Viewed by 710
Abstract
Hand rehabilitation exoskeletons play a critical role in restoring motor function in patients with stroke or hand injuries. However, most existing designs rely on fixed-axis assumptions, neglecting the rolling–sliding coupling of finger joints that causes instantaneous center of rotation (ICOR) drift, leading to [...] Read more.
Hand rehabilitation exoskeletons play a critical role in restoring motor function in patients with stroke or hand injuries. However, most existing designs rely on fixed-axis assumptions, neglecting the rolling–sliding coupling of finger joints that causes instantaneous center of rotation (ICOR) drift, leading to kinematic misalignment and localized pressure concentrations. This study proposes the Instant Radius Method (IRM) based on medical imaging to continuously model ICOR trajectories of the MCP, PIP, and DIP joints, followed by the construction of an equivalent ICOR through curve fitting. Crossing-type biomimetic kinematic pairs were designed according to the equivalent ICOR and integrated into a three-loop ten-linkage exoskeleton capable of dual DOFs per finger (flexion–extension and abduction–adduction, 10 DOFs in total). Kinematic validation was performed using IMU sensors (Delsys) to capture joint angles, and interface pressure distribution at MCP and PIP was measured using thin-film pressure sensors. Experimental results demonstrated that with biomimetic kinematic pairs, the exoskeleton’s fingertip trajectories matched physiological trajectories more closely, with significantly reduced RMSE. Pressure measurements showed a reduction of approximately 15–25% in mean pressure and 20–30% in peak pressure at MCP and PIP, with more uniform distributions. The integrated framework of IRM-based modeling–equivalent ICOR–biomimetic kinematic pairs–multi-DOF exoskeleton design effectively enhanced kinematic alignment and human–machine compatibility. This work highlights the importance and feasibility of ICOR alignment in rehabilitation robotics and provides a promising pathway toward personalized rehabilitation and clinical translation. Full article
(This article belongs to the Special Issue Bionic Wearable Robotics and Intelligent Assistive Technologies)
Show Figures

Graphical abstract

Back to TopTop