Next Article in Journal
Autonomous Locomotion and Embedded Trajectory Control in Miniature Robots Using Piezoelectric-Actuated 3D-Printed Resonators
Previous Article in Journal
Bionic Design Based on McKibben Muscles and Elbow Flexion and Extension Assist Device
Previous Article in Special Issue
Revolutionizing Patient Care: A Comprehensive Review of Recent Advances in Flexible Printed Heaters for Wearable Medical Applications
 
 
Font Type:
Arial Georgia Verdana
Font Size:
Aa Aa Aa
Line Spacing:
Column Width:
Background:
Article

Modeling Soft Rehabilitation Actuators: Segmented PRB Formulations with FEM-Based Calibration

by
Tomislav Bazina
1,2,
David Liović
1,
Jelena Srnec Novak
1,2 and
Ervin Kamenar
1,2,*
1
University of Rijeka, Faculty of Engineering, Vukovarska 58, 51000 Rijeka, Croatia
2
University of Rijeka, Centre for Micro- and Nanosciences and Technologies, Radmile Matejčić 2, 51000 Rijeka, Croatia
*
Author to whom correspondence should be addressed.
Actuators 2026, 15(1), 22; https://doi.org/10.3390/act15010022
Submission received: 19 November 2025 / Revised: 21 December 2025 / Accepted: 25 December 2025 / Published: 1 January 2026

Abstract

Soft pneumatic glove actuators for hand rehabilitation require compact, accurate models that can be evaluated in real time. At the same time, high-fidelity finite element (FE) simulations are too slow for iterative design and control. We develop a finite element-based calibration pipeline that combines a dependency-constrained human finger kinematic model with a segmented pseudo-rigid-body (PRB) description of ribbed-bellow soft pneumatic actuators sized to individual fingers. FE models with symmetry and contact generate pressure–pose data for the MCP, PIP, and DIP spans, from which we extract per-segment bending angles and axial elongations, fit simple pressure–kinematics relations, and identify PRB parameters using basin-hopping global optimization. The calibrated PRB reproduces FE flexion–extension trajectories for index and little finger actuators with millimetric accuracy (mean segment positioning errors of approximately 2.3 mm and 0.7 mm), preserves finger-like bending localized in the bellows, and maintains negligible compression of inter-joint links (below 1.2%). The pressure–bend and pressure–elongation maps achieve near-unity adjusted R 2 , and the PRB forward kinematics evaluates complete pressure trajectories in less than half a millisecond, compared with several hours for the corresponding FE simulations. This pipeline provides a practical route from detailed FE models to controller-ready reduced-order surrogates for design-space exploration and patient-specific control of soft rehabilitation actuators.

1. Introduction

Robotic-assisted rehabilitation offers a novel approach by delivering effective therapy while reducing reliance on healthcare professionals [1]. Soft robotic devices for hand rehabilitation combine compliance, low inertia, and ergonomic form factors, making them well suited for safe, wearable assistance and at-home therapy—properties that address some of the practical limitations of rigid exoskeletons for post-stroke hand recovery. Unlike traditional rigid robots, soft robots offer a more natural interaction with the human hand, making them well suited for personalized rehabilitation. Surveys and reviews highlight the growing role of soft pneumatic actuators (SPAs) and soft gloves in rehabilitation and assistive care, and report promising results for activity-based therapy and user comfort [2,3,4,5,6,7]. Despite its potential, challenges in the design and implementation of these systems due to the intricate anatomy of the human hand, which comprises up to 25 degrees of freedom (DOF), remain and warrant further exploration [1,8].
A critical challenge in translating soft pneumatic actuators from laboratory prototypes to clinical deployment is the need for patient-specific customization [9,10,11,12]. Hand anthropometry varies significantly across patient populations—adult hand lengths range from approximately 160–210 mm, with finger lengths varying between individuals. Traditional rehabilitation devices adopt a “one-size-fits-all” approach that compromises therapeutic efficacy, particularly for stroke patients whose affected hands may exhibit altered dimensions due to muscle atrophy or spasticity [13].
Each soft-actuator design still cycles through fabricate–test–refine loops. With empirical anthropometric fitting, a single patient-specific device can require multiple prototypes. The burden grows when scaling to hand diversity: covering the 5th–95th percentile demands retargeting segment lengths, rib counts, and inter-joint spacings to meet the proportions of the metacarpophalangeal (MCP), proximal interphalangeal (PIP), and distal interphalangeal (DIP) joints. Without computational tools that predict how changes in geometry alter pressure–motion mappings, teams default to trial-and-error, slowing clinical translation and limiting access to home-based rehabilitation.
The finite element method (FEM) is widely used for SPA modeling and control [14,15], offering high-fidelity analysis of complex geometries, materials, and loads. It therefore plays a central role in design and validation [16]. Reliable predictions depend on accurate material characterization and precise boundary and loading definitions, as minor input errors can undermine validity. Yet nonlinear effects—hyperelasticity, large deformations, and contact—make FEM calculations time- and computationally intensive.
The pseudo-rigid-body (PRB) approach—approximating a compliant segment with a small chain of rigid links and rotational springs—yields compact analytic models of SPA bending and elongation suitable for control and rapid design iteration [17,18,19]. Real-time kinematic models are essential for closed-loop control of soft rehabilitation devices [20]. Although high-fidelity finite element simulations are accurate, their computational cost under nonlinear effects makes them impractical for real-time feedback in complex structures [21,22]. PRB models are several orders of magnitude more efficient than FEM, enabling deployment on embedded controllers for portable at-home systems. Recent work [23] demonstrates that PRB-based controllers achieve substantially lower tracking errors than autotuned bare single-loop proportional-integral-derivative (PID) controllers in SPAs. In the same study, reductions of 86% in average root mean square error (RMSE) and 79% in average maximum error for finger motion are reported. Thus, reduced-order models are not merely a convenience but a prerequisite for scalable, intelligent control of soft rehabilitation devices across diverse patient needs and hand morphologies.
During the design phase, PRB input parameters are directly interpretable in terms of actuator geometry and material properties. For example, design choices such as segment lengths, rib counts, bellow and wall thicknesses, bellow radii, and TPU grades can be used as inputs to the PRB model. This interpretability allows designers to sweep these quantities without re-meshing or re-simulating. Calibrated PRB models then serve as fast surrogate objectives for multi-parameter optimization, reducing design-space exploration. The key challenge is calibrating the PRB parameters so that the reduced model reproduces the actuator’s behavior across the operating range. Recent work on bellow/rib actuators and rehabilitation gloves demonstrates viable fabrication and baseline performance. Still, it remains to show how to extract controller-ready PRB models from FEM data systematically and to quantify approximation error across the operating envelope [8,16,24,25,26,27,28].
In this paper, we develop an iterative FEM-based pipeline that combines segmented PRB modeling with global basin-hopping [29,30] parameter optimization to obtain compact, calibrated models of 3D-printed ribbed SPAs for finger rehabilitation. FEM simulations generated with standard commercial solvers provide calibration targets. At the same time, calibrated PRB parameters remain connected to the geometric and material design variables, minimizing bending and elongation errors across the pressure range. Section 2 introduces the human finger kinematic model, SPA geometry, FEM setup, and the segmented PRB formulation. Section 3 reports PRB calibration and validation against FEM for different fingers. Finally, Section 4 summarizes error trends, discusses design and control implications, and relates the pipeline to our earlier dependency-constrained hand models and SPA prototypes [8,24,25,31]. The main contributions of this work are as follows:
  • A segmented PRB surrogate model for ribbed SPAs that incorporates axial elongation, bending–elongation coupling, and geometric correction factors, linking PRB parameters directly to actuator geometry and material choices.
  • An FEM-based calibration pipeline that starts from human-finger kinematics, builds high-fidelity FEM models of 3D-printed SPAs, and employs basin-hopping global optimization to fit PRB parameters to dense bending and elongation data.
  • A systematic validation study on actuators for different fingers, comparing PRB predictions against FEM trajectories, quantifying pose and elongation errors, identifying operating regimes where simplified PRB assumptions are most reliable, and demonstrating that the PRB surrogate runs several orders of magnitude faster than FEM.
By explicitly coupling FEM validation with compact PRB representations and global parameter search, this work aims to give designers and control engineers a practical route from detailed simulation to controller-ready models for soft rehabilitation actuators.

2. Materials and Methods

In this section, we describe the complete modeling and design flow used to develop soft pneumatic actuators (SPAs) for finger rehabilitation. We begin with a brief overview of our previous work on the dependency-constrained kinematic description of the human finger [25] and on the geometry of a ribbed-bellow SPA [31], which provides the kinematic and geometric basis for what follows. As a graphical abstract, Figure 1 summarizes this full pipeline from human finger to SPA model. Next, we construct a finite element (FE) model that captures the actuator’s pressure-induced bending and elongation. Building on these FE results, we introduce a segmented PRB representation in which the actuator is abstracted as a segmented rigid chain aligned with the finger joints and augmented with prismatic joints to account for axial extension. We define the calibration procedure that links FE data to PRB parameters. This representation enables efficient workspace analysis and parameter identification under anatomical constraints.

2.1. Overview of the Dependency-Constrained Human Hand Model

Before designing the SPA, we rely on a previously developed kinematic hand model tailored to rehabilitation robotics [8,25]. Starting from the GRASP taxonomy of human grasp types [32], which consolidates existing grasp taxonomies into 33 everyday (ADL) grasps, we used the joint patterns of these grasps to impose dependencies between joints and fingers. These dependencies reflect the fact that tendon connections and joint couplings naturally constrain the hand, so individual joints do not move independently. The resulting model simplifies a detailed musculoskeletal representation into a 9-degree-of-freedom, dependency-constrained hand model for the index, middle, ring, and little fingers, using linear joint couplings referenced to the MCP joint to capture flexion–extension (F–E, bending and straightening in the sagittal plane), abduction–adduction (A–A, spreading and closing of the fingers), and inter-finger coupling across common grasp types.
At the finger level, each of these fingers is modeled as a serial kinematic chain comprising a carpometacarpal (CMC) F–E joint, a metacarpophalangeal (MCP) universal joint decomposed into two revolute joints for F–E and A–A, and two additional revolute joints for proximal (PIP) and distal (DIP) interphalangeal F–E. The joint centers of rotation are positioned in flexion–extension and abduction–adduction approximation planes, and forward kinematics is obtained using a modified Denavit–Hartenberg (DH) procedure [33] to attach coordinate frames to the links and derive the homogeneous transformation from the palm to the fingertip.
In this context, the workspace denotes the set of reachable fingertip positions, while the range of motion (ROM) denotes the admissible joint angle limits. Both the workspace and the ROM of the reduced model were previously validated against reported anatomical limits [8,25]. The model is implemented in the Robot Operating System (ROS) framework using 50th-percentile hand dimensions and has been shown to provide accurate fingertip positioning across circular and prismatic grasps [25,34]. The kinematic chain, the index finger workspace, and the musculoskeletal hand implementation are illustrated in Figure 1A–C. Here, we briefly summarize the kinematic and anatomical descriptions of the finger that serve as a basis for the SPA design pipeline. Complete derivations and validation details are given in [8,25].

2.2. Finger SPA Design and Segmented Rigid Kinematic Model

The finger SPAs are designed to mirror the anatomical segmentation of the index, middle, ring, and little fingers while remaining compatible with 3D printing and pneumatic actuation. Each actuator combines a cylindrical corrugated backbone with three ribbed bellow segments that span the MCP, PIP, and DIP regions, respectively (see Figure 2). Reinforcement on the bottom side biases deformation toward flexion, so that pressurization produces controlled bending rather than symmetric radial expansion. Three internal cylindrical channels route pressure independently to the MCP, PIP, and DIP segments, enabling joint-wise modulation of bending and elongation. Rounded contact grooves on the bottom side and simple mounting features ensure ergonomic attachment to the finger and straightforward routing of pneumatic tubing. This ribbed-bellow architecture was chosen because it supports large, repeatable strains and finger-specific tailoring of segment lengths. Geometric parameters are selected to match the anthropometric finger lengths and joint locations of a male hand, obtained from the previously introduced hand model. Another important reason for selecting these parameters is their compatibility with standard fused deposition modeling (FDM) technology. This consideration is particularly relevant since future development aims to produce the soft pneumatic actuators (SPAs) using FDM-based manufacturing. Table 1 lists overall actuator length and segment spacings (A, B, C) for each finger, together with the number of ribs per MCP, PIP, and DIP segment ( n r , seg ), illustrating how the same cross-sectional design can be scaled across fingers while preserving joint alignment.
As detailed in our prior work [31], the SPAs are fabricated via FDM in single-material thermoplastic polyurethane (TPU). FDM enables monolithic ribbed bellows and internal cavities, including the reinforcing layer, to be printed in one build, eliminating secondary assembly and improving leak tightness (See Figure 1C). Segment-wise wall thicknesses and rib geometries are specified to achieve the desired pressure-driven bending and elongation at the MCP, PIP, and DIP spans. TPU provides high compliance and durability and can support the repeated large deformations required in soft finger actuators, with elongation-at-break typically in the 300–600% range [35]. Commercial TPU grades span approximately 60–95 Shore A hardness with reported Young’s modulus values of 10–98 MPa [28,36,37], and their mechanical behavior depends strongly on composition and microstructure [38]. In this work, we use a commercial TPU 85A [39], which offers a practical balance of flexibility, strength, and printability and is adopted consistently for both modeling inputs and prototype builds [40].
To relate this physical design to the hand kinematics, we model each finger SPA as a segmented rigid chain using a modified DH convention. The kinematic chain comprises revolute joints that emulate the anatomical MCP, PIP, and DIP flexion–extension (F–E) joints, interleaved with prismatic joints that capture pressure-dependent elongations of the three ribbed bellow segments and small misalignments between the actuator and finger trajectories. In the present implementation, this yields a 7-DOF chain per actuator: three revolute joints and four prismatic joints. Frames are attached in the middle of each ribbed bellow, as well as at the beginning of the first bellow, so that the z-axes coincide with the anatomical joint rotation axes, and the DH parameters are assigned to each link following the modified procedure used in the hand model. Joint variables are the angles θ i for revolute joints and offsets d i = L i + Δ d i for prismatic joints, where L i denotes the nominal segment length and Δ d i its pressure-induced elongation. The complete SPA kinematic chain with its DH parameters is illustrated in Figure 1D, overlaid on the 3D-printed actuator.
Using these parameters, homogeneous transformation matrices are constructed along the chain from the actuator base to the tip to obtain the full 6D pose of the SPA tip in the reference frame. This segmented rigid representation provides a compact forward kinematics for workspace analysis and alignment with the human finger model and, in subsequent sections, serves as the backbone for calibrating the PRB surrogate. A complete derivation of the SPA kinematics, including the explicit DH parameters and transformation matrices, is given in [31].

2.3. Uniaxial Tensile Testing and Material Modeling

A total of five specimens were manufactured using FDM technology and tested to capture the realistic material behaviour of TPU 85A, which exhibits a hyperelastic response (Figure 3a). Uniaxial tensile tests were conducted using a StepLAB electromechanical testing machine equipped with a 25 kN load cell. A crosshead speed of 50 mm/min was maintained for consistency, while the sampling frequency was set to 20 Hz. Strain measurements were performed using an Epsilontech 3442-010M-050M-ST extensometer (Epsilon Technology Corp., Jackson, WY, USA) with a gauge length of 10 mm. Tensile tests were performed on type 1BB specimens designed in accordance with standard HRN EN ISO 527-2:2025 [41], with a specimen thickness of 6 mm.
For the numerical simulations, Abaqus/Standard 2020 was employed, which features an option to directly import experimental stress–strain data and automatically calibrate material parameters for the adopted model. As TPU 85A exhibits hyperelastic material behavior, the Ogden model was selected. The Ogden model expresses the strain energy density (W) as a function of the three principal stretches λ 1 , λ 2 , λ 3 and 2 N material parameters μ i and α i (for i = 1 , , N ), with compressibility governed by parameters D i and the elastic volume ratio J el , as described in [42,43]:
W = i = 1 N 2 μ i α i 2 λ 1 α i + λ 2 α i + λ 3 α i 3 + i = 1 N 1 D i ( J e l 1 ) 2 i
The experimental stress–strain curve up to a strain of 0.3 mm/mm (Figure 3b) was thus imposed, and the software performed the parameter optimization using its internal fitting routines. Since the Ogden model is nonlinear, this specific strain range was selected to optimize the fit, as preliminary linear elastic analysis using a Young’s modulus of 27 MPa, reported in [39], showed maximum deformations of the numerical model (SPA) below 0.3 mm/mm. For the later PRB surrogate modeling, the effective linear elastic fit was taken over the lower-strain region (up to 0.2 mm/mm) because subsequent FEM simulations of the full SPA showed that the bottom reinforcement layer (which guides flexion) experienced strains below 0.2 mm/mm even at maximum flexion. After calibrating the material parameters ( μ 1 = 22.6969   MPa , μ 2 = 55.6498   MPa , α 1 = 13.2861 , α 2 = 25 , D 1 = 2.023 × 10 2   MPa 1 , D 2 = 0   MPa 1 ), a finite element simulation of the uniaxial tensile test was performed to verify the goodness of fit against the experimental data (Figure 3b). Once the fit confirmed that the selected model accurately captured the realistic behavior of TPU 85A, subsequent numerical simulations of the SPA were conducted.

2.4. Finite Element Modeling of SPA

To provide a reliable reference for subsequent analytical development, we performed finite element simulations of the proposed SPA under a range of internal pressures. Detailed models were constructed for the index and little fingers, with analogous setups applicable to the remaining digits. All analyses were run in Abaqus/Standard 2020 to evaluate functional actuation and quantify the bending attainable in the flexion–extension (F–E) plane.
The numerical model of the SPA body was defined using the geometrical parameters presented in Figure 2, Table 1 and the Poisson’s ratio of 0.36 [44] representative of FDM-printed TPU 85A. To capture the realistic hyperelastic behavior of TPU 85A, an Ogden material model [43] was adopted, with material parameters estimated in Section 2.3.
Figure 4a summarizes the constraints and loading. The immobile inlet section was omitted, and the global origin was placed at the centerline of the first ribbed bellow. The SPA base was coupled to an analytical rigid surface via a tie constraint. The surface’s reference point (RP) was fully fixed (three translations and three rotations), providing a stable fixture while keeping the immobilized geometry compact. This construction enforces displacement compatibility at the interface and transfers loads between the actuator and the support without adding mesh complexity. Large deformations of the SPA were captured using the dynamic implicit solver with geometric nonlinearity enabled.
To reduce cost, a longitudinal symmetry plane (Z-plane) was exploited (Figure 4a), constraining out-of-FE-plane displacements and suppressing rotations about in-plane axes (i.e., twisting and abduction/adduction). A hard, frictionless contact in the normal direction was defined between adjacent outer rib surfaces so that, during inflation, rib-to-rib interactions transmit compressive forces without penetration. The same contact formulation was used between the analytical rigid surface and the first below rib to ensure a stable attachment.
Uniform internal pressure was applied to the inner faces of the bellows (highlighted in red in Figure 4a) and ramped linearly from 0 MPa to 0.6 MPa (6 bar). The time increment used an initial step of 0.001, constrained between 1 × 10−5 and 1 × 10−2, yielding at least 100 pressure increments over the ramp.
The geometry was meshed with second-order tetrahedral elements (C3D10), which incorporate mid-edge nodes and quadratic interpolation to better represent curvature and severe bending. Compared with first-order tetrahedral elements (C3D4), these elements deliver higher accuracy per degree of freedom and can reduce the element count needed to achieve comparable fidelity [45]. A convergence test was conducted for the index SPA considering mesh sizes of 1, 0.8, 0.6 and 0.4 mm. Following convergence tests, a mesh size of 0.8 mm (127,218 elements, 214,890 nodes) was adopted for subsequent analyses, with coarser local seeds of 1.5 mm applied in relatively rigid regions (e.g., connecting rods) to reduce computational time (Figure 4b). This mesh provided sufficient accuracy while balancing computational efficiency compared to finer meshes (1 mm: 1.3 h; 0.8 mm: 2.61 h; 0.6 mm: 7.35 h; 0.4 mm: 51.4 h). Given the nonlinear nature of the analysis, computational time was a critical factor; thus, the selected mesh represents an optimal balance between accuracy and efficiency.
Simulation snapshots for the index and little finger actuators (Figure 5a,b) show smooth, pressure-induced bending predominantly concentrated within the ribbed bellows, while the connecting rods preserve inter-segment spacing.
Planar displacements ( x , y ) were extracted at ten landmarks: the start, mid, and end points of each bellow associated with the MCP, PIP, and DIP segments, plus the actuator TIP (Figure 6). These points were sampled at pressure increments of 0.01 MPa, producing pressure–pose traces for subsequent model calibration.

2.4.1. Connecting-Rod Compression Analysis

To assess whether the straight links between neighboring bellows deform significantly during pressurization, we evaluated the axial compression of the MCP–PIP, PIP–DIP, and DIP–TIP spans (see Figure 2 and Table 1). At the onset of actuation, these inter-joint distances are at their maximum values. As pressure rises, opposing forces at one or both ends induce small shortenings. For each span, we recorded the initial (maximum) length and the minimum length reached at 6 bar, then computed the absolute range (max–min) and its ratio to the maximum length. The results, summarized in Table 2, show closely matching behavior for the index (I) and little (L) fingers: range-to-maximum ratios remain below 1.19% for the MCP–PIP and PIP–DIP links and below 0.46% for the DIP–TIP link. Because these compressive strains are negligible, the analytical formulation in Section 2.5 treats the connecting rods as straight, inextensible members fixed at their initial (zero-pressure) lengths, consistent with the F–E values in Figure 6.
The F–E plane reconstructions in Figure 6 annotate the MCP, PIP, DIP, and TIP landmarks; each bellow’s curvature is approximated by a three-point circular arc (through its start, mid, and end locations), with straight segments for the rods. The resulting kinematic envelopes closely resemble the human finger workspace (cf. Figure 1B), supporting the SPA’s suitability for rehabilitation tasks.

2.4.2. Pressure–Response Regression for Bending and Elongation

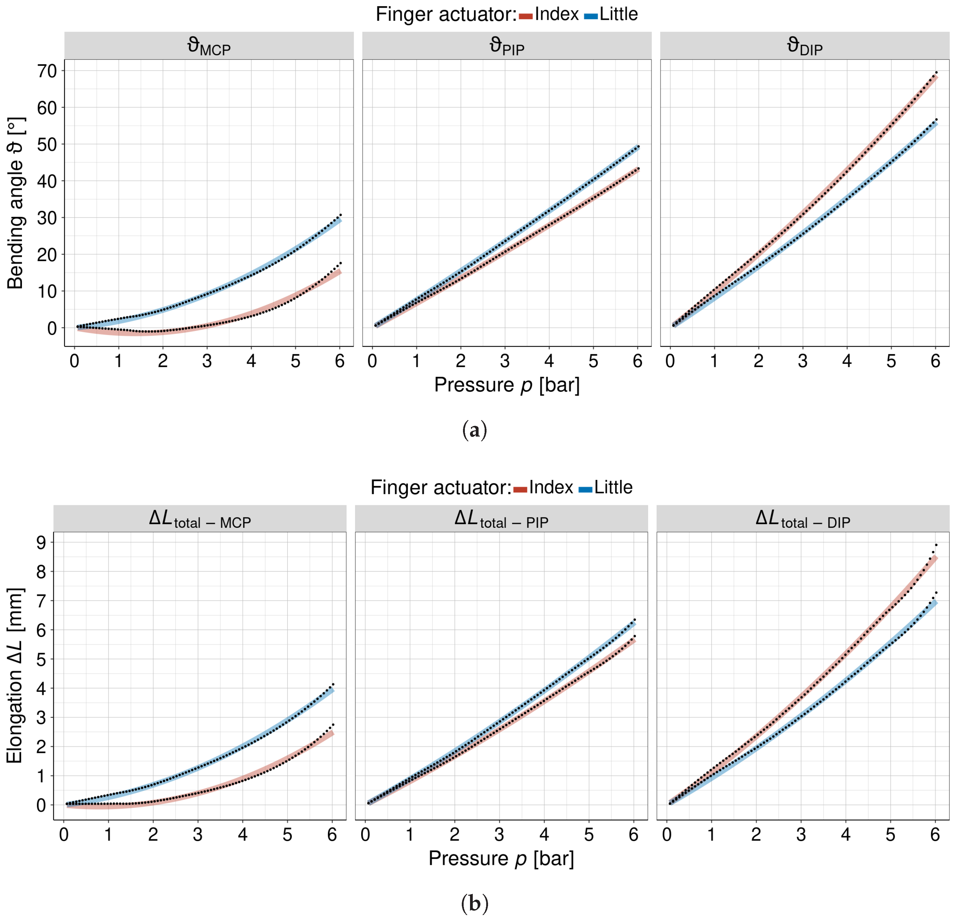
Building on the FEM dataset, we extracted, for each bellow segment (MCP, PIP, and DIP), the end bending angles ϑ i and the total segment elongations Δ L total , i . Elongations were evaluated along a fitted three-point circular arc (cf. Figure 6). To quantify how pressure drives kinematics, we estimated the dependence of ϑ i and Δ L total , i on the segment pressure p seg using regression across both the index and little finger actuators. The resulting trends for the two fingers are qualitatively alike (Figure 7a,b), so a common model form is adopted. Because mild nonlinearity is evident, we augment the linear term with a quadratic pressure term and omit the intercept, yielding:
ϑ i = K ϑ 1 , i p seg + K ϑ 2 , i p seg 2 , i { MCP , PIP , DIP } , Δ L total , i = K L 1 , i p seg + K L 2 , i p seg 2 , i { MCP , PIP , DIP } .
The fitted coefficients for Equation (2), together with goodness-of-fit metrics, are listed in Table 3 and Table 4. Adjusted R 2 values are essentially unity across all segments, indicating an excellent fit to the FEM trends. Residual errors are small (angles: 0.113–0.725°; elongations: 0.0231–0.0792 mm), confirming that the model captures the compliant response of the actuators. The linear term dominates for the PIP and DIP segments in both fingers. In contrast, the MCP segment shows a relatively stronger quadratic contribution, consistent with more pronounced geometric and material nonlinearity at the proximal bellow.
Together, these regressions yield compact, pressure-driven kinematic maps—joint angles and segment elongations versus pressure—that we use in Section 2.5 to extract geometric parameters and calibrate a pseudo-rigid-body (PRB) representation of the actuator. The near-unity R 2 values and small residuals justify adopting the fitted relations as the calibration target. At the same time, the FEM-observed pressure-to-bend monotonicity and the approximate preservation of inter-joint distances across segments serve to structure and constrain the analytical form of the PRB model developed next.

2.5. Pseudo-Rigid-Body SPA Modeling Approach

Motivated by the FEM findings, the bending of each ribbed bellow is well captured by a three-point circular-arc fit, which points to a compact analytical description of the actuator’s motion. We therefore adapt a pseudo-rigid-body (PRB) framework at the segment level: each bellow is represented by a single rigid link joined by a revolute hinge with lumped torsional compliance, translating distributed elasticity into rigid-body kinematics with few parameters. The segmentwise PRB surrogates are then assembled to reproduce the whole actuator trajectory. Before presenting the PRB equations, we derive simplified estimates of the pressure-induced forces and bending moments acting on each bellow so that the equivalent joint torques and axial loads remain consistent with the FE baseline. These approximations enable accurate kinematic predictions under actuation and yield a concise, well-posed set of parameters for subsequent calibration. All developments summarized here are also presented in the author’s doctoral thesis [24].

2.5.1. Analytical Approximation of Pressure-Induced Bending Moment and Axial Tension Force

To provide closed-form loads for the PRB model, we derive (i) the bending moment generated by internal pressure on a ribbed semiannular segment and (ii) the corresponding axial tension force. Each segment comprises n r , seg identical ribs with inner/outer radii r seg and R seg measured from the top surface of the reinforcing element. A projected semiannular surface is used as an area-equivalent approximation to the corrugated profile (Figure 8a,b).
The pressure-induced bending moment is obtained through the following steps:
(i)
Form the differential moment from the pressure load on an elemental rib area and its moment arm.
(ii)
Integrate over the semiannular rib surface in angle and radius.
(iii)
Obtain the moment contribution of a single rib.
(iv)
Multiply by the number of ribs to get the segment moment.
Using polar coordinates on the semiannulus, the elemental rib area is
d A rib = r d θ d r
and the pressure p seg produces the differential force
d F rib = p seg d A rib = p seg r d θ d r
with moment arm r sin θ , giving the differential moment
d M seg = d F seg r sin θ = p seg d A rib r sin θ = p r 2 sin θ d θ d r
Integrating over the semiannulus,
0 π sin θ d θ = 2 , r seg R seg r 2 d r = R seg 3 r seg 3 3 .
The moment contribution of a single rib is
M rib = 2 3 p seg ( R seg 3 r seg 3 )
and the total segment moment (for n r , seg ribs) follows as
M seg = 2 3 n r , seg p ( R seg 3 r seg 3 )
The axial tension force is obtained through the following steps:
(i)
Compute the projected area of a single semiannular rib.
(ii)
Sum the projected areas over all ribs in the segment.
(iii)
Multiply the total projected area by the internal pressure to obtain the segment force.
The projected area of one 180° semiannular rib is
A rib = π 2 R seg 2 r seg 2 ,
so the total projected area for n r , seg identical ribs is
A seg = n r , seg A rib = n r , seg π 2 R seg 2 r seg 2 .
The corresponding axial tension force is then
F seg = p seg A seg = π 2 n r , seg p seg R seg 2 r seg 2 .
Assumption 1. (1) Each rib experiences uniform internal pressure p seg . (2) The corrugated bellow is approximated by an area-equivalent 180° semiannulus per rib. (3) Ribs are identical and equally loaded, so both M seg and F seg scale linearly with n r , seg . (4) Radial expansion is neglected for the moment balance; a full 360 annulus would yield zero net bending moment by symmetry, whereas a 180 semiannulus generates a finite moment. (5) The axial force F seg acts along the bellow symmetry axis and is used directly as the PRB axial load for the corresponding segment.

2.5.2. Equivalent-Section Approximation of a Ribbed Bellow Segment Bending Stiffness

To couple the pressure-induced moment M seg (Equation (8)) with material and geometry, we estimate the segment bending stiffness K seg / ( N   m   rad 1 ) using an equivalent cross-section that combines a hollow semiannulus and a rectangular reinforcement (see Figure 9). Because the ribbed outer profile varies between r b and R b along the bellow, we introduce a radius mixing parameter λ to define an outer equivalent radius R b , eq for inertia calculations; λ is later identified in the calibration stage. R b and r b are the bellows’ geometric outer and inner radii used for inertia (half the true diameters), whereas R seg and r seg are radii measured from the reinforcement’s top surface to the rib profile for the pressure–area approximation. The bending stiffness K seg relates the segment bending moment M seg to the segment rotational deformation ϑ seg :
K seg = M seg ϑ seg = E I total L seg ,
where E / Pa is the Young’s modulus, I total / m 4 is the total section inertia, and  L seg / m is the bellow segment length (cf. Figure 2).
To relate stiffness to material properties and geometry, we proceed as follows:
(i)
Compute an equivalent outer radius R b , eq using the mixing parameter λ .
(ii)
Evaluate the second moments of area of the hollow semiannulus and the rectangular base.
(iii)
Sum the contributions to obtain I total .
(iv)
Insert I total into Equation (12) to obtain the closed-form K seg .
We define the equivalent outer radius R b , eq by blending the geometric outer and inner radii R b and r b with a mixing parameter λ [ 0 , 1 ] :
R b , eq = λ R b + ( 1 λ ) r b .
For the hollow semiannulus representing the corrugated skin, the projected area A semi and the second moment of area about the base (neutral axis along the chord) I semi are
A semi = π 2 R b , eq 2 r b 2 ,
I semi = π 8 R b , eq 4 r b 4 .
For the rectangular reinforcement of width b = 2 R b , eq and thickness t b , the centroidal inertia and area are
I rect , centroid = 1 12 b t b 3 = R b , eq t b 3 6 ,
A rect = b t b = 2 R b , eq t b ,
and, using the parallel–axis theorem with offset d = t b / 2 , the inertia about the neutral axis becomes
I rect = I rect , centroid + A rect d 2 = R b , eq t b 3 6 + ( 2 R b , eq t b ) t b 2 2 = 2 R b , eq t b 3 3 .
Combining the semiannulus and rectangular contributions yields the total section inertia
I total = π 8 R b , eq 4 r b 4 semiannulus + 2 R b , eq t b 3 3 rectangular base .
Substituting I total into the Euler–Bernoulli stiffness relation provides the segment bending stiffness K seg as a function of modulus E, equivalent geometry, and segment length L seg :
K seg = E L seg π 8 R b , eq 4 r b 4 + 2 R b , eq t b 3 3 .
This analytically derived bending stiffness will be used to compute the PRB joint’s torsional spring stiffness for each segment, consistent with the pressure-induced moment in Equation (8). The mixing parameter λ and additional PRB parameters will be calibrated against the FEM baseline.

2.5.3. Pseudo-Rigid-Body Formulation for a Ribbed Bellow Segment

The pseudo-rigid-body (PRB) model replaces each compliant bellow segment with a short chain of rigid links and a lumped torsional spring, capturing distributed elasticity with a compact set of parameters while allowing the motion to be analyzed using rigid-body kinematics [18]. Compared with FEM, this surrogate is lightweight yet reproduces large rotations and the pressure–bend response observed in Section 2.4. The rationale for adopting the PRB framework is to relax the key modeling assumptions:
  • Euler–Bernoulli and small-strain linearity → PRB joint springs fitted to FEM absorb shear effects and mild nonlinearities.
  • Constant equivalent inertia I total → relaxed by introducing and identifying the radius-mixing parameter λ , enabling segment-wise variation.
  • Uniform curvature and small-rotation use of K seg → the PRB chain permits large rigid-body rotations with lumped torsional compliance.
  • Cantilever-like boundary idealization → the PRB replaces it with a revolute-joint chain matching the inter-segment constraints observed in FEM.
Applied to each bellow segment, the PRB abstraction expresses the kinematics through rigid-body transformations, while lumped torsional springs encode the segment’s elastic response. This pairing presents a compact yet accurate representation of pressure-driven bending at the segment level. In what follows, we instantiate the formulation for a single SPA finger segment. The corresponding PRB moment–motion surrogate is shown in Figure 10.
We now derive the PRB formulation for a ribbed bellow segment—linking the pressure-induced bending moment to the segment end angle ϑ and tip translations ( δ x , δ y ) —in five concise steps:
(i)
Model the segment as a PRB chain characterized by a radius factor γ and a pseudo angle Θ .
(ii)
Map the pseudo rotation to the physical end angle using the parametric angle coefficient c Θ (i.e., ϑ Θ ).
(iii)
Introduce a lumped torsional spring of stiffness K Θ derived from the equivalent bending stiffness K seg .
(iv)
Obtain the tip deflection ( δ x , δ y ) from the rigid-body motion of the PRB link.
(v)
Obtain the bending angle as a function of moment, ϑ ( M seg ) , by augmenting the linear relation with a quadratic correction term β E I calibrated to FEM.
For end-moment loading, the PRB surrogate resolves the tip motion into a non-bending rigid portion and a rotating chord. The resulting horizontal and vertical translations are as follows [18]:
δ x = ( 1 γ ) L seg + γ L seg cos Θ ,
δ y = γ L seg sin Θ ,
where L seg is the segment length, γ = 0.7346 is the characteristic radius factor for end-moment loading, and  Θ is the PRB rotation. Because the PRB angle Θ is a kinematic surrogate, we map it to the physical end angle ϑ through a calibrated angle coefficient:
ϑ = c Θ Θ ,
with c Θ = 1.5164 for end-moment loading, ensuring the PRB rotation matches the beam’s end slope. The PRB joint stores bending energy via a lumped torsional spring whose stiffness is tied to the equivalent bending stiffness of the segment:
K Θ = c Θ E I total L seg = c Θ K seg .
Under pressure-induced end moment, the PRB joint obeys a linear torque–rotation relation,
M seg = K Θ Θ .
Eliminating Θ using Equation (23) gives the linear moment–angle form in physical variables,
M seg = E I total L seg ϑ ,
which links the applied bending moment to the end angle via the equivalent stiffness E I total / L seg . For calibration and comparison with FEM, the tip translations are re-expressed directly in terms of ϑ :
δ x = ( 1 γ ) L seg + γ L seg cos ϑ c Θ , δ y = γ L seg sin ϑ c Θ .
To capture the mild geometric or material nonlinearity seen in the FEM baseline while keeping the model compact, we adopt the following quadratic moment–angle law during segment bending:
ϑ = M seg L seg E I total 1 + β E I M seg L seg E I total ,
where β E I is a dimensionless coefficient (identified alongside γ and c Θ during calibration) that adjusts the linear moment–angle relation to fit the slightly nonlinear pressure–bend response.

2.5.4. Axial and Bending Elongation of a Ribbed Bellow Segment

We extend the PRB surrogate to predict the segment’s total length change by combining axial and bending-induced elongation:
(i)
Obtain the axial force F seg from (11) and compute axial elongation using an equivalent area A eq , seg ;
(ii)
Model bending elongation as a low-order function of the end angle ϑ and rib count n r , seg ;
(iii)
Sum axial and bending contributions to form the total elongation, then calibrate the bending coefficients to FEM.
Axial stretching of the segment arises from the axial resultant F seg (from Equation (11)) acting over an equivalent cross-section. Under small-strain linear elasticity, the axial extension is
Δ L axial = F seg L seg E A eq , seg ,
where L seg is the segment length, E is the Young’s modulus, and the equivalent area
A eq , seg = A semi + A rect
adds the hollow semiannulus contribution A semi from Equation (14) to the rectangular base area A rect from Equation (17).
Bending increases the arc length even when the instantaneous radius of curvature is not directly available. To avoid explicit curvature estimation, we represent the bending-induced length change as a low-order function of measurable quantities—the end angle ϑ and the rib count n r , seg :
Δ L bending = f ( ϑ , n r , seg ) ,
and, in the simplest identifiable form used here,
Δ L bending = β ϑ ϑ 2 + β n n r , seg ,
where β ϑ and β n are coefficients obtained from FEM or experimental calibration.
The total elongation combines the axial bar extension with the bending-driven arc-length increase:
Δ L total = Δ L axial + Δ L bending = F seg L seg E A eq , seg + f ( ϑ , n r , seg ) ,
and, under the quadratic–linear bending,
Δ L total = F seg L seg E A eq , seg + β ϑ ϑ 2 + β n n r , seg .
The parameters β ϑ (end angle-related term) and β n (rib count-related term) are identified during model calibration to match the FEM derived pressure–elongation trends.

2.5.5. Kinematic Assembly of Segment-Level PRB Models for the Full Finger Actuator

We chain the segment-level PRB outputs along the MCP→PIP→DIP→TIP sequence to estimate the actuator pose:
(i)
For each bellow segment, evaluate local tip translations ( δ x , δ y ) from the PRB relations in Equation (27) and the total elongation Δ L total from Equation (34).
(ii)
Accumulate end joint angles: ϑ MCP , ϑ MCP + ϑ PIP , and  ϑ MCP + ϑ PIP + ϑ DIP .
(iii)
Propagate coordinate frames in three steps. First, rotate each segment’s local PRB tip translations ( δ x , δ y ) by the preceding cumulative angle. Next, place the segment’s total elongation Δ L total along the current cumulative angle. Finally, translate to the next joint using the constant inter-joint link length L i , i + 1 .
Following the compression analysis in Table 2, we treat the inter-joint rod lengths as constants during kinematic assembly, denoting them L i , i + 1 { L MCP , PIP , L PIP , DIP , L DIP , TIP } , which remain fixed during kinematic assembly.
For the MCP segment, which is rooted at the global frame, the bellow starts at the origin. Its local PRB tip translations act on a global basis, and the axial-plus-bending elongation is applied along the MCP end angle ϑ MCP :
x start , MCP = 0 , y start , MCP = 0 , x end , MCP = x start , MCP + δ x , MCP + Δ L total , MCP cos ϑ MCP , y end , MCP = y start , MCP + δ y , MCP + Δ L total , MCP sin ϑ MCP .
For the PIP segment, the frame is first translated from MCP by the constant inter-joint length L MCP , PIP along ϑ MCP . The PIP local PRB translations are then rotated by ϑ MCP , and the PIP elongation is applied along the cumulative angle ϑ MCP + ϑ PIP :
x start , PIP = x end , MCP + L MCP , PIP cos ϑ MCP , y start , PIP = y end , MCP + L MCP , PIP sin ϑ MCP , x end , PIP = x start , PIP + δ x , PIP cos ϑ MCP δ y , PIP sin ϑ MCP + Δ L total , PIP cos ( ϑ MCP + ϑ PIP ) , y end , PIP = y start , PIP + δ x , PIP sin ϑ MCP + δ y , PIP cos ϑ MCP + Δ L total , PIP sin ( ϑ MCP + ϑ PIP ) .
For the DIP segment, the frame is translated from PIP by L PIP , DIP along the cumulative angle ϑ MCP + ϑ PIP . The same cumulative angle rotates the DIP local PRB translations, and the DIP elongation is placed along ϑ MCP + ϑ PIP + ϑ DIP :
x start , DIP = x end , PIP + L PIP , DIP cos ( ϑ MCP + ϑ PIP ) , y start , DIP = y end , PIP + L PIP , DIP sin ( ϑ MCP + ϑ PIP ) , x end , DIP = x start , DIP + δ x , DIP cos ( ϑ MCP + ϑ PIP ) δ y , DIP sin ( ϑ MCP + ϑ PIP ) + Δ L total , DIP cos ( ϑ MCP + ϑ PIP + ϑ DIP ) , y end , DIP = y start , DIP + δ x , DIP sin ( ϑ MCP + ϑ PIP ) + δ y , DIP cos ( ϑ MCP + ϑ PIP ) + Δ L total , DIP sin ( ϑ MCP + ϑ PIP + ϑ DIP ) .
Finally, the fingertip position is obtained by a translation of the DIP end point by the constant length L DIP , TIP along the fully accumulated orientation ϑ MCP + ϑ PIP + ϑ DIP :
x TIP = x end , DIP + L DIP , TIP cos ( ϑ MCP + ϑ PIP + ϑ DIP ) , y TIP = y end , DIP + L DIP , TIP sin ( ϑ MCP + ϑ PIP + ϑ DIP ) .
This assembly preserves the constant inter-joint distances, rotates local PRB deflections by the appropriate upstream orientation, and applies each segment’s elongation along its current cumulative heading, yielding a full-pose predictor consistent with the FEM-derived segment kinematics. Taken together, the presented formulations enable closed-form kinematic relations that are grounded in both SPA geometry (e.g., R b , r b , L seg , L i , i + 1 ) and material properties (e.g., E, I total ), while explicitly accounting for design-specific features such as rib count n r , seg and reinforcement thickness t b .

3. Results and Validation

We validated the pseudo-rigid-body (PRB) formulation by calibrating its parameters to an FEM baseline and comparing the predicted planar trajectories across pressures p [ 0 , 6 ] bar. Calibration was posed as a global, bounded least-squares problem on all segment landmarks, minimizing the pointwise Euclidean (L2) distance between PRB and FEM. We employed scipy.optimize.basinhopping—a stochastic global strategy that repeatedly (i) perturbs the parameter vector within bounds by a randomized step, and (ii) accepts or rejects the hop using a Metropolis criterion with temperature T = 0.2  [29,30,46]. An adaptive step-size controller maintains a target acceptance rate (here 60 % ), balancing exploration and convergence. The decision vector comprised six parameters per segment: λ (radius mixing), γ (characteristic radius factor), c Θ (angle coefficient), β E I (quadratic moment–angle correction), and the elongation terms related to end angle β ϑ and rib count β n . The effective Young’s modulus (E) was determined from uniaxial tensile tests of TPU-85A samples using the strain range up to 20% (see Figure 3b), as numerical analysis of the SPA model revealed this to be the maximum strain occurring in the lower regions, while geometry dimensions ( R seg , r seg , R b , r b , t b ) were measured from the TPU-85A prototype (see Table 5 below). Basin-hopping is particularly well suited to this calibration because the objective landscape is rugged and multimodal: strong coupling among λ , γ , and  c Θ , together with nonlinear corrections β E I , β ϑ , and  β n , yields multiple basins. At the same time, FEM-derived kinematics can introduce mild non-smoothness (e.g., from rib contact). The algorithm’s ability to escape local minima, respect simple bounds, and operate reliably with only function evaluations (no fragile gradients) makes it an efficient and robust choice for our moderate-dimensional (6 per segment) fit, leading to parameter sets that generalize across the full pressure range.
To calibrate the PRB model, we used a multistart BH routine that alternates between randomized hops and Metropolis acceptance. Variable-specific step multipliers (Table 6) scale the nominal hop size to account for parameter sensitivity and dynamic range, so that proposals in differently scaled coordinates explore comparable portions of the landscape. These multipliers, together with an adaptive step-size controller, keep the acceptance rate close to ∼60%, which empirically balances exploration (escaping local minima) and exploitation (refining a promising basin).
We executed four independent BH runs, each with 10 6 iterations, seeded from randomized initial guesses constrained by simple, physically motivated bounds (Table 7, “Optimization limits”). Every 100 iterations, the global step size was rescaled by 0.9 (or its inverse) to steer the acceptance rate back toward the target. Total runtime of all four BH runs, run in parallel, was approximately 5.5 minutes on a consumer-grade laptop. Table 7 then reports, for each finger (Index, Little) and each segment (MCP, PIP, DIP), the calibrated parameter set { λ , γ , c Θ , β E I , β ϑ , β n } that minimizes the bounded least-squares error to FEM kinematics over p [ 0 ,   6 ] bar. The table also summarizes performance using the mean and maximum L2 landmark errors (in m m ) aggregated across all joints and pressures. For the index-finger actuator, the mean and maximum errors are 2.284 m m and 9.249 m m , respectively. For the little-finger actuator, the mean and maximum errors are 0.697 m m and 2.613 m m , respectively. The larger index-finger errors are most likely due to the index actuator initially bending slightly upward before transitioning into a more beam-like bending mode, as if driven by an end load. This behavior is not observed in the little finger, most likely because its shorter length suppresses that initial upward deflection. In its current form, the segmented PRB surrogate cannot capture this initial upward bend, which contributes to increased landmark discrepancies for the index actuator. Overall, these results indicate that the extended PRB surrogate reproduces FEM trajectories with high fidelity while retaining a compact, interpretable parameterization tied to material and geometric design variables.
Figure 11 overlays PRB trajectories (circles) on FEM baselines (triangles) in the flexion–extension plane for the index (panel a) and little (panel b) finger SPAs over p = 0–6 bar. For the little-finger actuator, the FEM and PRB curves nearly coincide across the full pressure range and across all joint regions, and the L2 colormap remains predominantly dark, indicating consistently small point-wise discrepancies (mean L2 0.7 mm). For the index-finger actuator, the FEM trajectory exhibits a brief initial upward bending before transitioning into a more beam-like bending progression, and this initial upward-deflection phenomenon is not captured by the present segmented PRB surrogate. This affects the overall positioning error (mean L2 2.3 mm), while the PRB trajectory still remains representative of the FEM-obtained one. Trajectories of the DIP end landmark closely overlap, while the largest localized errors occur around the PIP end and DIP start landmarks at the highest pressures of p 6 bar (brightest L2 colors). Segment-specific variations in γ and c Θ capture differences in the effective arc geometry and angle scaling, while the radius-mixing parameter λ tunes the equivalent inertia of each segment. The elongation terms β ϑ and β n recover the pressure-dependent arc-length growth and rib-count effects observed in FEM, respectively. Parameter β EI compensates for small geometric or material nonlinearities.
Overall, the calibrated PRB surrogate reproduces the dominant monotonic pressure–bend progression, concentrates curvature within the bellows, preserves the inter-joint spacing set by the connecting rods, and maintains millimeter-level accuracy across the operating range. It also evaluates extremely fast: when timed during optimization on a consumer-grade laptop (with a small measurement overhead), a single-process forward evaluation executes in 0.32–0.48 m s . Even though the PRB formulation relies on an effective Young’s modulus (see Figure 3b), while the Ogden hyperelastic material model governs the FEM response, the PRB model provides sufficient tuning parameters and mild nonlinear compensation mechanisms to match the FEM trajectories with good fidelity. Its main limitation in the index case is the inability to represent the initial upward bending mode that drives the most significant positioning mismatches.

4. Discussion and Conclusions

4.1. Conclusions

This work couples high-fidelity finite element (FEM) simulations with a compact, segment-wise pseudo-rigid-body (PRB) surrogate for ribbed-bellow soft pneumatic finger actuators (SPAs), where the FEM material nonlinearity is captured using an Ogden hyperelastic constitutive model identified from uniaxial tensile experiments. Calibrated against FEM trajectories, the PRB reproduces flexion–extension (F–E) kinematics across p = 0–6 bar with millimeter accuracy, yielding mean segment landmark positioning errors of about 2.3  m m for the index finger and 0.7 m m for the little finger, while retaining a clear link to material and geometric parameters through closed-form loading and stiffness relations. The fitted pressure–bend and pressure–elongation regressions attain near-unity adjusted R 2 with small residuals. FEM shows that curvature localizes in the bellows, with the inter-joint rods remaining effectively inextensible (compression below 1.2%), supporting the constant link-length assumption used in the SPA kinematic chain assembly.
Three modeling choices appear critical for the observed accuracy. First, each bellow is represented by a PRB element whose geometry is tied to an equivalent cross-section. Second, semiannular pressure loads are used to derive closed-form expressions for the segment bending moment and axial force. Third, the use of an effective Young’s modulus in the PRB surrogate, in combination with a small quadratic correction identified from FEM, successfully captures the geometric and material nonlinearities occurring during finger bending. In the FEM reference, material nonlinearities are represented using an Ogden hyperelastic constitutive model. Combined with the regression maps from pressure to segment angles and elongations, these ingredients allow designers to vary rib count, radii, reinforcement thickness, and segment lengths directly in closed form before generating new meshes. Because parameter identification is carried out per segment, adapting the model to different hand sizes and joint spans reduces to rescaling inter-joint distances and re-estimating a small set of segment parameters, which is attractive for patient-specific fitting.
The joint positioning error distributions exhibit systematic, pressure-localized deviations, with significantly different maxima between the two actuators. For the index finger, the maximum point-wise positioning error reaches 9.2 m m , with the most significant localized discrepancies occurring around the PIP end and DIP start landmarks at the highest pressures. An additional contributor is the brief initial upward bending observed in FEM, which the segmented PRB surrogate cannot represent. For the little finger, trajectories nearly coincide over the whole range, and the maximum error is substantially lower ( 2.6 m m ), with any noticeable deviations primarily appearing also near peak pressurization. Material and geometric nonlinearities (large rotations and local rib contact), together with the index-specific initial upward-bending mode, are therefore the most probable causes of the residual FEM–PRB discrepancies in those regimes. The same PRB formulation is used for both fingers, and the calibrated parameters remain within physically plausible ranges across segments, indicating that the approach transfers across the family of finger SPAs with only modest recalibration.

4.2. Discussion

Benchmarking our routines shows that the PRB-based forward kinematics evaluates complete pressure trajectories in less than 0.5 m s on a consumer-grade laptop. In contrast, the corresponding FEM simulations require several hours. By eliminating meshing and contact resolution in favor of closed-form expressions and a short kinematic chain, the surrogate reduces computational cost by several orders of magnitude. It becomes compatible with embedded evaluation for control and online planning. This aligns with the broader view that reduced-order models are essential for scalable, intelligent control of soft rehabilitation devices [23].
Our earlier studies established a grasp-oriented rehabilitation glove methodology: we reduced human-finger kinematics to relevant tasks, analyzed range-of-motion limits, and used those insights to define actuator morphology and the inter-joint distances the soft system must realize [8,25,31]. The present paper extends that pipeline in two directions central to our hypotheses: (i) incorporating material properties (TPU-85A) and ribbed-bellow geometry; and (ii) introducing a modified PRB model that retains that physics through segment-level moments, forces, and elongations while reducing computational cost.
While this work establishes the pressure-kinematic mapping via FEM and PRB modeling, the long-term durability and repeatability of the TPU-based SPAs depend on several factors that warrant attention in future clinical deployment [47,48]. Material hysteresis and cyclic fatigue in hyperelastic polymers like TPU can cause trajectory drift and stiffness degradation over extended operation, particularly under high-pressure cycles or large-strain deformations [47]. Calibrated PRB models, with their ability to capture pressure–bend and pressure–elongation relationships at minimal computational cost, can be recalibrated in situ.
Limitations of the present work include idealized treatment of shear, large-strain hyperelasticity, detailed rib contact, viscoelastic effects, and out-of-plane or torsional modes, as well as the inability to properly represent the brief initial upward-bending mode observed in the index-finger SPA trajectories. These effects are only partially captured through the quadratic moment–angle correction and segment-wise parameter identification. Future work will incorporate viscoelastic constitutive laws and anisotropic print settings into the calibration loop, extend the model and validation to the thumb and off-axis motions, and derive and test inverse kinematics and trajectory solvers based on the calibrated PRB for real-time control. Broader experimental validation across hand sizes, actuator geometries, and materials, along with controller-in-the-loop testing, will further establish the calibrated PRB as a controller-ready surrogate for clinical soft-robotic rehabilitation devices.

Author Contributions

Conceptualization, T.B. and E.K.; methodology, T.B.; software, T.B. and D.L.; validation, T.B. and D.L.; formal analysis, T.B.; investigation, T.B.; resources, E.K.; data curation, T.B.; writing—original draft preparation, T.B., J.S.N. and E.K.; writing—review and editing, T.B., J.S.N., D.L. and E.K.; visualization, T.B., D.L. and J.S.N.; supervision, E.K. and J.S.N.; project administration, E.K.; funding acquisition, T.B., E.K. and J.S.N. All authors have read and agreed to the published version of the manuscript.

Funding

This work has been supported by the University of Rijeka (UNIRI) under projects uniri-iz-25-116 and uniri-mz-25-39.

Institutional Review Board Statement

Not applicable.

Informed Consent Statement

Not applicable.

Data Availability Statement

The datasets and analysis scripts underlying this article are openly available in a public GitHub repository at https://github.com/tbazina/rehab/tree/master/kinematics/Hand9DOF/Index (accessed on 24 December 2025). Additional materials can be provided by the corresponding author upon reasonable request.

Acknowledgments

This research is connected to the Croatian Science Foundation (HRZZ) project UIP-2025-02-1541, which has been approved and is currently in the contract-signing phase. The first author is grateful to Saša Zelenika and Goran Gregov for comments and suggestions on the original write-up, prepared as part of the first author’s doctoral thesis. The authors would like to thank Lovro Nađ for his contribution to specimen fabrication and the experimental tensile testing.

Conflicts of Interest

The authors declare no conflicts of interest.

Abbreviations

The following abbreviations are used in this manuscript:
A–AAbduction–Adduction
ADLActivities of Daily Living
AMAdditive Manufacturing
BHBasin-hopping
DHDenavit–Hartenberg
DIPDistal Interphalangeal
DOFDegree of Freedom
FDMFused Deposition Modeling
F–EFlexion–Extension
FEFinite Element
FEAFinite Element Analysis
FEMFinite Element Method
IIndex Finger
LLittle Finger
MCPMetacarpophalangeal
PIPProximal Interphalangeal
PIDProportional-integral-derivative
PRBPseudo Rigid Body
RMSERoot Mean Square Error
ROMRange of Motion
ROSRobot Operating System
RPReference Point
SPASoft Pneumatic Actuator
TPUThermoplastic Polyurethane

References

  1. Colombo, R.; Sanguineti, V. Rehabilitation Robotics: Technology and Application; Academic Press: London, UK, 2018. [Google Scholar]
  2. Rus, D.; Tolley, M.T. Design, fabrication and control of soft robots. Nature 2015, 521, 467–475. [Google Scholar] [CrossRef] [PubMed]
  3. Majidi, C. Soft robotics: A perspective—Current trends and prospects for the future. Soft Robot. 2014, 1, 5–11. [Google Scholar] [CrossRef]
  4. Marchese, A.D.; Katzschmann, R.K.; Rus, D. A Recipe for Soft Fluidic Elastomer Robots. Soft Robot. 2015, 2, 7–25. [Google Scholar] [CrossRef]
  5. Chu, C.Y.; Patterson, R.M. Soft robotic devices for hand rehabilitation and assistance: A narrative review. J. Neuroeng. Rehabil. 2018, 15, 1–14. [Google Scholar] [CrossRef] [PubMed]
  6. Proulx, C.E.; Beaulac, M.; David, M.; Deguire, C.; Haché, C.; Klug, F.; Kupnik, M.; Higgins, J.; Gagnon, D.H. Review of the effects of soft robotic gloves for activity-based rehabilitation in individuals with reduced hand function and manual dexterity following a neurological event. J. Rehabil. Assist. Technol. Eng. 2020, 7, 2055668320918130. [Google Scholar] [CrossRef]
  7. Lang, C.E.; Lohse, K.R.; Birkenmeier, R.L. Dose and timing in neurorehabilitation: Prescribing motor therapy after stroke. Curr. Opin. Neurol. 2015, 28, 549–555. [Google Scholar] [CrossRef] [PubMed]
  8. Bazina, T.; Mauša, G.; Zelenika, S.; Kamenar, E. Reducing Hand Kinematics by Introducing Grasp-Oriented Intra-Finger Dependencies. Robotics 2024, 13, 82. [Google Scholar] [CrossRef]
  9. Chung, S.b.; Venter, M.P. Analysis and Design for a Wearable Single-Finger-Assistive Soft Robotic Device Allowing Flexion and Extension for Different Finger Sizes. Math. Comput. Appl. 2024, 29, 79. [Google Scholar] [CrossRef]
  10. Arias, D.I.; Elías, D.A. A Modular Soft Hand Exoskeleton with Interactive Interface: Design and Implementation for Spinal Cord Injury Rehabilitation. In Proceedings of the 2025 11th International Conference on Mechatronics and Robotics Engineering (ICMRE), Lille, France, 24–26 February 2025; IEEE: Piscataway, NJ, USA, 2025; pp. 265–271. [Google Scholar] [CrossRef]
  11. Dragusanu, M.; Troisi, D.; Prattichizzo, D.; Malvezzi, M. Evaluating Adaptability Properties of a Compact Wearable Hand Exoskeleton. In Proceedings of the 2024 10th IEEE RAS/EMBS International Conference for Biomedical Robotics and Biomechatronics (BioRob), Heidelberg, Germany, 1–4 September 2024; IEEE: Piscataway, NJ, USA, 2024; pp. 1561–1566. [Google Scholar] [CrossRef]
  12. Dávila-Vilchis, J.M.; Ávila Vilchis, J.C.; Vilchis-González, A.H.; LAZ-Avilés. Design Criteria of Soft Exogloves for Hand Rehabilitation-Assistance Tasks. Appl. Bionics Biomech. 2020, 2020, 2724783. [Google Scholar] [CrossRef]
  13. Morris, L.; Diteesawat, R.S.; Rahman, N.; Turton, A.; Cramp, M.; Rossiter, J. The-state-of-the-art of soft robotics to assist mobility: A review of physiotherapist and patient identified limitations of current lower-limb exoskeletons and the potential soft-robotic solutions. J. Neuroeng. Rehabil. 2023, 20, 18. [Google Scholar] [CrossRef]
  14. Wu, K.; Zheng, G. FEM-Based Gain-Scheduling Control of a Soft Trunk Robot. IEEE Robot. Autom. Lett. 2021, 6, 3081–3088. [Google Scholar] [CrossRef]
  15. Coevoet, E.; Morales-Bieze, T.; Largilliere, F.; Zhang, Z.; Thieffry, M.; Sanz-Lopez, M.; Carrez, B.; Marchal, D.; Goury, O.; Dequidt, J.; et al. Software toolkit for modeling, simulation, and control of soft robots. Adv. Robot. 2017, 31, 1208–1224. [Google Scholar] [CrossRef]
  16. Gregov, G.; Ploh, T.; Kamenar, E. Design, development and experimental assessment of a cost-effective bellow pneumatic actuator. Actuators 2022, 11, 170. [Google Scholar] [CrossRef]
  17. Howell, L.L. Compliant Mechanisms; Wiley: Hoboken, NJ, USA, 2001. [Google Scholar]
  18. Howell, L.L.; Magleby, S.P.; Olsen, B.M.; Wiley, J. Handbook of Compliant Mechanisms; Wiley: Hoboken, NJ, USA, 2013. [Google Scholar] [CrossRef]
  19. Armanini, C.; Boyer, F.; Mathew, A.T.; Duriez, C.; Renda, F. Soft Robots Modeling: A Structured Overview. IEEE Trans. Robot. 2023, 39, 1728–1748. [Google Scholar] [CrossRef]
  20. Heung, K.H.L.; Li, H.; Wong, T.W.L.; Ng, S.S.M. Assistive robotic hand with bi-directional soft actuator for hand impaired patients. Front. Bioeng. Biotechnol. 2023, 11, 1188996. [Google Scholar] [CrossRef]
  21. Yao, Y.; Chen, Y.; He, L.; Maiolino, P. Design Optimization for Bellow Soft Pneumatic Actuators in Shape-Matching. In Proceedings of the 2023 IEEE International Conference on Soft Robotics (RoboSoft), Singapore, 3–7 April 2023; IEEE: Piscataway, NJ, USA, 2023; pp. 1–7. [Google Scholar] [CrossRef]
  22. Huang, X.; Zou, J.; Gu, G. Kinematic Modeling and Control of Variable Curvature Soft Continuum Robots. IEEE/ASME Trans. Mechatronics 2021, 26, 3175–3185. [Google Scholar] [CrossRef]
  23. Zhang, H.; Heung, K.H.; Naquila, G.J.; Hingwe, A.; Deshpande, A.D. A Novel Parameter Estimation Method for Pneumatic Soft Hand Control Applying Logarithmic Decrement for Pseudo-Rigid Body Modeling. Adv. Intell. Syst. 2024, 7, 2400637. [Google Scholar] [CrossRef]
  24. Bazina, T. Data-Driven Characterization of Grip Strength and Grasp-Oriented Kinematics in Rehabilitation Robotics. Ph.D. Thesis, Faculty of Engineering, University of Rijeka, Rijeka, Croatia, 2025. [Google Scholar]
  25. Bazina, T.; Schnurrer-Luke-Vrbanić, T.; Črnjarić-Žic, N.; Zelenika, S.; Kamenar, E. Hand model with dependency constrained joints for applications in rehabilitation robotics. Med. Flum. 2022, 58, 385–398. [Google Scholar] [CrossRef]
  26. Polygerinos, P.; Wang, Z.; Galloway, K.C.; Wood, R.J.; Walsh, C.J. Soft robotic glove for combined assistance and at-home rehabilitation. Robot. Auton. Syst. 2015, 73, 135–143. [Google Scholar] [CrossRef]
  27. Yi, J.; Chen, X.; Wang, Z. A three-dimensional-printed soft robotic glove with enhanced ergonomics and force capability. IEEE Robot. Autom. Lett. 2017, 3, 242–248. [Google Scholar] [CrossRef]
  28. Ang, B.W.K.; Yeow, C.H. Print-it-Yourself (PIY) glove: A fully 3D printed soft robotic hand rehabilitative and assistive exoskeleton for stroke patients. In Proceedings of the 2017 IEEE/RSJ International Conference on Intelligent Robots and Systems (IROS), Vancouver, BC, Canada, 24–28 September 2017; IEEE: Piscataway, NJ, USA, 2017; pp. 1219–1223. [Google Scholar] [CrossRef]
  29. Wales, D.J.; Doye, J.P.K. Global Optimization by Basin-Hopping and the Lowest Energy Structures of Lennard-Jones Clusters Containing up to 110 Atoms. J. Phys. Chem. A 1997, 101, 5111–5116. [Google Scholar] [CrossRef]
  30. Olson, B.; Hashmi, I.; Molloy, K.; Shehu, A. Basin Hopping as a General and Versatile Optimization Framework for the Characterization of Biological Macromolecules. Adv. Artif. Intell. 2012, 2012, 674832. [Google Scholar] [CrossRef]
  31. Bazina, T.; Kladarić, M.; Kamenar, E.; Gregov, G. Development of Rehabilitation Glove: Soft Robot Approach. Actuators 2024, 13, 472. [Google Scholar] [CrossRef]
  32. Feix, T.; Romero, J.; Schmiedmayer, H.B.; Dollar, A.M.; Kragic, D. The GRASP Taxonomy of Human Grasp Types. IEEE Trans. Hum.-Mach. Syst. 2016, 46, 66–77. [Google Scholar] [CrossRef]
  33. Craig, J.J. Introduction to Robotics: Mechanics and Control, 3rd ed.; Pearson Education Limited: London, UK, 2014. [Google Scholar]
  34. Cobos, S.; Ferre, M.; Sánchez-Urán, M.Á.; Ortego, J.; Aracil, R. Human hand descriptions and gesture recognition for object manipulation. Comput. Methods Biomech. Biomed. Eng. 2010, 13, 305–317. [Google Scholar] [CrossRef]
  35. Arifvianto, B.; Iman, T.N.; Prayoga, B.T.; Dharmastiti, R.; Salim, U.A.; Mahardika, M.; Suyitno. Tensile properties of the FFF-processed thermoplastic polyurethane (TPU) elastomer. Int. J. Adv. Manuf. Technol. 2021, 117, 1709–1719. [Google Scholar] [CrossRef]
  36. Ang, B.W.K.; Yeow, C.H. Design and Modeling of a High Force Soft Actuator for Assisted Elbow Flexion. IEEE Robot. Autom. Lett. 2020, 5, 3731–3736. [Google Scholar] [CrossRef]
  37. Bhat, A.; Ambrose, J.W.; Yeow, R.C.H. Composite Soft Pneumatic Actuators Using 3D Printed Skins. IEEE Robot. Autom. Lett. 2023, 8, 2086–2093. [Google Scholar] [CrossRef]
  38. Bardin, A.; Le Gac, P.Y.; Cérantola, S.; Simon, G.; Bindi, H.; Fayolle, B. Hydrolytic kinetic model predicting embrittlement in thermoplastic elastomers. Polym. Degrad. Stab. 2020, 171, 109002. [Google Scholar] [CrossRef]
  39. Forward AM. Ultrafuse TPU 85A—Technical Data Sheet. 2022. Available online: https://move.forward-am.com/hubfs/AES%20Documentation/Flexible%20Filaments/TPU%2085A/TDS/Ultrafuse_TPU_85A_TDS_EN_v2.5.pdf (accessed on 16 February 2025).
  40. Curkovic, P.; Cubric, G. Fused Deposition Modelling for 3D Printing of Soft Anthropomorphic Actuators. Int. J. Simul. Model. 2021, 20, 303–314. [Google Scholar] [CrossRef]
  41. HRN EN ISO 527-2:2025; Plastics—Determination of Tensile Properties—Part 2: Test Conditions for Moulding and Extrusion Plastics. Croatian Standards Institute (HZN): Zagreb, Croatia, 2025.
  42. SIMULIA. Abaqus 2020 Documentation; Dassault Systèmes Simulia Corp.: Providence, RI, USA, 2020. [Google Scholar]
  43. Agarwal, M.; Pelegri, A.A. An Ogden hyperelastic 3D micromechanical model to depict Poynting effect in brain white matter. Heliyon 2024, 10, e25379. [Google Scholar] [CrossRef]
  44. Haid, D.M.; Duncan, O.; Hart, J.; Foster, L. Characterisation of thermoplastic polyurethane (TPU) for additive manufacturing. In Proceedings of the 14th Symposium of the Section Sportinformatics and Sport Technology (Spinfortec 2022), Chemnitz, Germany, 29–30 September 2022; pp. 85–88. [Google Scholar]
  45. Pasvanti, N.; Psarros, A.; Korbetis, G.; Vlahinos, A.; Mihailidis, A. Lattice structures modeling: Introduction to homogenization. In Proceedings of the 8th Before Reality Conference, Munich, Germany, 20–22 May 2019. [Google Scholar]
  46. Virtanen, P.; Gommers, R.; Oliphant, T.E.; Haberland, M.; Reddy, T.; Cournapeau, D.; Burovski, E.; Peterson, P.; Weckesser, W.; Bright, J.; et al. SciPy 1.0: Fundamental algorithms for scientific computing in Python. Nat. Methods 2020, 17, 261–272. [Google Scholar] [CrossRef] [PubMed]
  47. Bui, P.D.H.; Prugh, B.; Padilla, A.M.E.; Schell, C.; Keller, M.; Schultz, J.A. Endurance tests for a fabric reinforced inflatable soft actuator. Front. Mater. 2023, 10, 1112540. [Google Scholar] [CrossRef]
  48. Du, T.; Sun, L.; Wan, J. A Worm-like Crawling Soft Robot with Pneumatic Actuators Based on Selective Laser Sintering of TPU Powder. Biomimetics 2022, 7, 205. [Google Scholar] [CrossRef] [PubMed]
Figure 1. End-to-end pipeline from human-finger modeling to SPA design: (A) characterization of human finger kinematics (see [25] for details); (B) reachable workspace of the index finger in the flexion–extension (F–E) plane; (C) implementation of a 3D hand model with MCP, PIP, DIP, and TIP landmarks; (D) kinematic modeling and design of a segmented ribbed-bellow SPA (fabrication details in [31]).
Figure 1. End-to-end pipeline from human-finger modeling to SPA design: (A) characterization of human finger kinematics (see [25] for details); (B) reachable workspace of the index finger in the flexion–extension (F–E) plane; (C) implementation of a 3D hand model with MCP, PIP, DIP, and TIP landmarks; (D) kinematic modeling and design of a segmented ribbed-bellow SPA (fabrication details in [31]).
Actuators 15 00022 g001
Figure 2. 3D CAD model and cross-section of the finger SPA. The model illustrates three ribbed bellow segments aligned with the MCP, PIP, and DIP joint regions, a cylindrical corrugated backbone, and an integrated air inlet. The cross-sectional view highlights the overall actuator length (A), connecting rod lengths (B, C), individual bellow lengths, actuator width, air-channel (inlet) diameter, number of ribs per segment ( n r , seg ), and their correspondence to the anatomical joints.
Figure 2. 3D CAD model and cross-section of the finger SPA. The model illustrates three ribbed bellow segments aligned with the MCP, PIP, and DIP joint regions, a cylindrical corrugated backbone, and an integrated air inlet. The cross-sectional view highlights the overall actuator length (A), connecting rod lengths (B, C), individual bellow lengths, actuator width, air-channel (inlet) diameter, number of ribs per segment ( n r , seg ), and their correspondence to the anatomical joints.
Actuators 15 00022 g002
Figure 3. Uniaxial tensile test results and material–model calibration for TPU 85A. (a) Experimental stress–strain curves of TPU 85A obtained under uniaxial tensile loading. (b) Ogden hyperelastic model calibration using experimental stress–strain data from TPU-85A uniaxial tensile tests: blue dots denote experimental data, the green curve shows the fitted Ogden model, the red curve with circular markers shows the FEM response using the Ogden model in a uniaxial-tension setup, and the black line shows the linear elastic model using the effective Young’s modulus (E) identified from the low-strain range (up to ≈20%) used in the pseudo-rigid-body (PRB) surrogate.
Figure 3. Uniaxial tensile test results and material–model calibration for TPU 85A. (a) Experimental stress–strain curves of TPU 85A obtained under uniaxial tensile loading. (b) Ogden hyperelastic model calibration using experimental stress–strain data from TPU-85A uniaxial tensile tests: blue dots denote experimental data, the green curve shows the fitted Ogden model, the red curve with circular markers shows the FEM response using the Ogden model in a uniaxial-tension setup, and the black line shows the linear elastic model using the effective Young’s modulus (E) identified from the low-strain range (up to ≈20%) used in the pseudo-rigid-body (PRB) surrogate.
Actuators 15 00022 g003
Figure 4. SPA boundary conditions and FE mesh. (a) Base tied to a rigid analytical surface, with all six DOFs fixed at the reference point (RP). Pressure is applied on the internal bellow surfaces, and Z-symmetry halves the model. (b) Half-model mesh using second-order tetrahedral C3D10 elements, refined around the ribbed bellows and coarser in the solid links.
Figure 4. SPA boundary conditions and FE mesh. (a) Base tied to a rigid analytical surface, with all six DOFs fixed at the reference point (RP). Pressure is applied on the internal bellow surfaces, and Z-symmetry halves the model. (b) Half-model mesh using second-order tetrahedral C3D10 elements, refined around the ribbed bellows and coarser in the solid links.
Actuators 15 00022 g004
Figure 5. Finite element visualization of bending caused by pressure in the finger SPAs. Each panel shows a sequence of deformed shapes under internal pressures of 0, 2, 4 and 6 bar (from low to high). Bending localizes in the ribbed bellows and increases monotonically with pressure, yielding smooth finger-like flexion, while the connecting rods largely preserve inter-segment spacing. (a) Index-finger SPA; (b) Little-finger SPA.
Figure 5. Finite element visualization of bending caused by pressure in the finger SPAs. Each panel shows a sequence of deformed shapes under internal pressures of 0, 2, 4 and 6 bar (from low to high). Bending localizes in the ribbed bellows and increases monotonically with pressure, yielding smooth finger-like flexion, while the connecting rods largely preserve inter-segment spacing. (a) Index-finger SPA; (b) Little-finger SPA.
Actuators 15 00022 g005
Figure 6. Composite illustration of the FEM dataset and its measurement landmarks. (Top): landmark points used for kinematic tracking of the SPA. The MCP, PIP, and DIP bellows are annotated at their start, mid, and end positions (nine points), with the actuator tip (TIP) as the tenth marker; these points define the set for recording in-plane ( x , y ) displacements at each pressure step. (Bottom): finite element reconstruction of flexion–extension kinematics for the ribbed-bellow SPAs over p = 0–6 bar, with the index finger shown on the left and the little finger on the right. For each actuator, the start, mid, and end landmarks of the MCP, PIP, and DIP bellows are traced as pressure increases, and the TIP trajectory is shown. A three-point circular arc approximates curvature within each bellow, while the connecting rods are modeled as straight links, yielding a finger-like bending envelope.
Figure 6. Composite illustration of the FEM dataset and its measurement landmarks. (Top): landmark points used for kinematic tracking of the SPA. The MCP, PIP, and DIP bellows are annotated at their start, mid, and end positions (nine points), with the actuator tip (TIP) as the tenth marker; these points define the set for recording in-plane ( x , y ) displacements at each pressure step. (Bottom): finite element reconstruction of flexion–extension kinematics for the ribbed-bellow SPAs over p = 0–6 bar, with the index finger shown on the left and the little finger on the right. For each actuator, the start, mid, and end landmarks of the MCP, PIP, and DIP bellows are traced as pressure increases, and the TIP trajectory is shown. A three-point circular arc approximates curvature within each bellow, while the connecting rods are modeled as straight links, yielding a finger-like bending envelope.
Actuators 15 00022 g006
Figure 7. Regression of FEM-derived pressure–kinematics relationships for the index (red) and little (blue) finger SPAs. (a) Bellow end angle versus internal pressure; (b) segment elongation versus internal pressure. In both cases, quadratic-in-pressure fits (no intercept) capture the mild nonlinearity while preserving a simple model structure suitable for later analytical calibration.
Figure 7. Regression of FEM-derived pressure–kinematics relationships for the index (red) and little (blue) finger SPAs. (a) Bellow end angle versus internal pressure; (b) segment elongation versus internal pressure. In both cases, quadratic-in-pressure fits (no intercept) capture the mild nonlinearity while preserving a simple model structure suitable for later analytical calibration.
Actuators 15 00022 g007
Figure 8. Pressure loading of a ribbed bellow segment. (a) Free-body view indicating the pressure-resultant force F seg and induced bending moment M seg under internal pressure. (b) Semiannular projected surface A rib used for load evaluation: inner and outer radii r seg , R seg define the area; the dashed curve sketches the true corrugation, while the solid (red) curve denotes the area-equivalent approximation.
Figure 8. Pressure loading of a ribbed bellow segment. (a) Free-body view indicating the pressure-resultant force F seg and induced bending moment M seg under internal pressure. (b) Semiannular projected surface A rib used for load evaluation: inner and outer radii r seg , R seg define the area; the dashed curve sketches the true corrugation, while the solid (red) curve denotes the area-equivalent approximation.
Actuators 15 00022 g008
Figure 9. Equivalent cross-section for computing the total second moment of area I total . The section is modeled as a hollow semiannulus (inner radius r b , outer equivalent radius R b , eq ) that captures the corrugated bellow skin, plus a rectangular thickening of width 2 R b , eq and thickness t b that represents the reinforcing base. Neutral axes and component inertias are indicated: I semi for the semiannulus and I rect for the rectangular base.
Figure 9. Equivalent cross-section for computing the total second moment of area I total . The section is modeled as a hollow semiannulus (inner radius r b , outer equivalent radius R b , eq ) that captures the corrugated bellow skin, plus a rectangular thickening of width 2 R b , eq and thickness t b that represents the reinforcing base. Neutral axes and component inertias are indicated: I semi for the semiannulus and I rect for the rectangular base.
Actuators 15 00022 g009
Figure 10. Pseudo-rigid-body (PRB) moment–motion approximation for a ribbed bellow segment. (a) Cantilevered elastic segment subjected to an end moment, with tip translations ( δ x , δ y ) and end angle ϑ indicated. (b) Equivalent PRB surrogate comprising a rigid link of length γ L seg rotating about a characteristic pivot with torsional spring K Θ ; the scale factor c Θ maps the pseudo angle Θ to the physical end angle ϑ .
Figure 10. Pseudo-rigid-body (PRB) moment–motion approximation for a ribbed bellow segment. (a) Cantilevered elastic segment subjected to an end moment, with tip translations ( δ x , δ y ) and end angle ϑ indicated. (b) Equivalent PRB surrogate comprising a rigid link of length γ L seg rotating about a characteristic pivot with torsional spring K Θ ; the scale factor c Θ maps the pseudo angle Θ to the physical end angle ϑ .
Actuators 15 00022 g010
Figure 11. Comparison of planar bending under pressure using FEM (triangles) and the calibrated PRB model (circles) for the (a) index and (b) little-finger SPAs in the flexion–extension plane over p = 0–6 bar. Point fill colors encode the instantaneous FEM–PRB point-wise L2 distance mm , highlighting localized mismatch regions. For the little-finger actuator, the FEM and PRB landmark trajectories nearly coincide across the full pressure range and at all joint regions (MCP, PIP, DIP), indicating a close match of the overall bending envelope. For the index-finger actuator, larger deviations occur because the FEM model exhibits a brief initial upward bending before transitioning into a more beam-like bending progression. Accordingly, the index trajectories agree well, with particularly close overlap near the DIP end landmark, while the largest errors concentrate around the PIP end and DIP start landmarks at the pressures near p = 6 bar.
Figure 11. Comparison of planar bending under pressure using FEM (triangles) and the calibrated PRB model (circles) for the (a) index and (b) little-finger SPAs in the flexion–extension plane over p = 0–6 bar. Point fill colors encode the instantaneous FEM–PRB point-wise L2 distance mm , highlighting localized mismatch regions. For the little-finger actuator, the FEM and PRB landmark trajectories nearly coincide across the full pressure range and at all joint regions (MCP, PIP, DIP), indicating a close match of the overall bending envelope. For the index-finger actuator, larger deviations occur because the FEM model exhibits a brief initial upward bending before transitioning into a more beam-like bending progression. Accordingly, the index trajectories agree well, with particularly close overlap near the DIP end landmark, while the largest errors concentrate around the PIP end and DIP start landmarks at the pressures near p = 6 bar.
Actuators 15 00022 g011
Table 1. Geometric parameters of finger-specific SPAs. For each finger, the table lists overall actuator length (A), segment spacing ( B ,   C ), and the number of ribs n r , seg assigned to the MCP, PIP, and DIP bellow segments, illustrating how the same cross-sectional design is scaled and segmented across fingers.
Table 1. Geometric parameters of finger-specific SPAs. For each finger, the table lists overall actuator length (A), segment spacing ( B ,   C ), and the number of ribs n r , seg assigned to the MCP, PIP, and DIP bellow segments, illustrating how the same cross-sectional design is scaled and segmented across fingers.
FingerDimensions/mmNumber of Ribs (nr,seg)
ABCMCPPIPDIP
Index1472215755
Middle1512417755
Ring1492217755
Little1351913754
Table 2. Compression of inter-joint distances for the index and little fingers.
Table 2. Compression of inter-joint distances for the index and little fingers.
FingerJointsMax/mmMin/mmRange/mmRange_Ratio/%
IndexMCP—PIP23.2722.990.281.12
PIP—DIP16.6016.410.191.13
DIP—TIP17.0516.980.070.43
LittleMCP—PIP19.5719.410.160.82
PIP—DIP13.6113.450.161.19
DIP—TIP15.4215.350.070.46
Table 3. FEM-derived, no-intercept quadratic regressions linking pressure p to joint bending angle ϑ i for the MCP, PIP, and DIP segments of the index and little finger SPAs. Reported are the linear ( K ϑ 1 , i ) and quadratic ( K ϑ 2 , i ) pressure coefficients, together with adjusted R 2 and residual standard error.
Table 3. FEM-derived, no-intercept quadratic regressions linking pressure p to joint bending angle ϑ i for the MCP, PIP, and DIP segments of the index and little finger SPAs. Reported are the linear ( K ϑ 1 , i ) and quadratic ( K ϑ 2 , i ) pressure coefficients, together with adjusted R 2 and residual standard error.
FingerBending AngleCoefficientsAdj. R 2 Residual SE/°
K ϑ 1,i/°bar−1K ϑ 2,i/°bar−2
Index ϑ MCP −2.2080.7940.98510.7250
ϑ PIP 6.5720.1011.00000.1173
ϑ DIP 9.3990.3330.99990.4018
Little ϑ MCP 1.1670.6230.99910.4175
ϑ PIP 7.4990.1141.00000.1130
ϑ DIP 7.9050.2300.99990.3112
Table 4. FEM-derived, no-intercept quadratic regressions linking pressure p to total segment elongation Δ L total , i for the MCP, PIP, and DIP of the index and little finger SPAs. Reported are the linear ( K L 1 , i ) and quadratic ( K L 2 , i ) pressure coefficients, together with adjusted R 2 and residual standard error.
Table 4. FEM-derived, no-intercept quadratic regressions linking pressure p to total segment elongation Δ L total , i for the MCP, PIP, and DIP of the index and little finger SPAs. Reported are the linear ( K L 1 , i ) and quadratic ( K L 2 , i ) pressure coefficients, together with adjusted R 2 and residual standard error.
FingerTotal
Elongation
CoefficientsAdj. R 2 Residual SE/mm
KL1,i/mm bar−1KL2,i/mm bar−2
Index Δ L total , MCP −0.1470.0930.99430.0792
Δ L total , PIP 0.7820.0270.99990.0255
Δ L total , DIP 1.0560.0600.99970.0770
Little Δ L total , MCP 0.1860.0790.99930.0507
Δ L total , PIP 0.8610.0301.00000.0231
Δ L total , DIP 0.8760.0470.99970.0615
Table 5. Material properties and geometric dimensions used as inputs for PRB parameter calibration. Rib count triplets are ordered as {MCP, PIP, DIP}.
Table 5. Material properties and geometric dimensions used as inputs for PRB parameter calibration. Rib count triplets are ordered as {MCP, PIP, DIP}.
PropertySymbol/UnitValue
Young’s modulus (TPU 85A) E / M Pa 31.23
Projected-surface outer radius R seg / m m 14.7
Projected-surface inner radius r seg / m m 8.425
Bellow outer radius R b / m m 11
Bellow inner radius r b / m m 3
Reinforcement thickness t b / m m 2.5
Ribs per segment—Index n r , seg 7, 5 and 5
Ribs per segment—Little n r , seg 7, 5 and 4
Table 6. Variable-specific step multipliers for basin-hopping during PRB parameter calibration.
Table 6. Variable-specific step multipliers for basin-hopping during PRB parameter calibration.
Parameter
NameSymbolMultiplier
Radius mixing λ 2
Characteristic radius factor γ 2
Angle coefficient c Θ 6
Quadratic moment–angle coefficient β E I 10
Bending–elongation angle coefficient β ϑ 10
Rib-count coefficient β n 1
Table 7. Optimization bounds (lower/upper) and calibrated PRB parameters for each finger segment (MCP, PIP, DIP) of the index and little SPAs. The bottom rows summarize aggregate accuracy versus FEM as mean and maximum point-wise L2 errors (in mm) over all joints and pressures 0–3 bar.
Table 7. Optimization bounds (lower/upper) and calibrated PRB parameters for each finger segment (MCP, PIP, DIP) of the index and little SPAs. The bottom rows summarize aggregate accuracy versus FEM as mean and maximum point-wise L2 errors (in mm) over all joints and pressures 0–3 bar.
ParameterOptimization LimitsIndexLittle
LowerUpperMCPPIPDIPMCPPIPDIP
λ 0.41.51.4981.4431.3611.4881.3490.649
γ 010.0680.2910.5370.7930.3130.846
c Θ 185.4076.6072.8055.0066.0814.611
β EI −120−0.94112.67313.1250.93411.845−0.445
β ϑ 0152.2587.25812.7463.8458.65612.040
β n 00.20.00390.02700.00300.01290.05660.0798
Mean L2/mm: 2.284 0.697
Max L2/mm: 9.249 2.613
Disclaimer/Publisher’s Note: The statements, opinions and data contained in all publications are solely those of the individual author(s) and contributor(s) and not of MDPI and/or the editor(s). MDPI and/or the editor(s) disclaim responsibility for any injury to people or property resulting from any ideas, methods, instructions or products referred to in the content.

Share and Cite

MDPI and ACS Style

Bazina, T.; Liović, D.; Srnec Novak, J.; Kamenar, E. Modeling Soft Rehabilitation Actuators: Segmented PRB Formulations with FEM-Based Calibration. Actuators 2026, 15, 22. https://doi.org/10.3390/act15010022

AMA Style

Bazina T, Liović D, Srnec Novak J, Kamenar E. Modeling Soft Rehabilitation Actuators: Segmented PRB Formulations with FEM-Based Calibration. Actuators. 2026; 15(1):22. https://doi.org/10.3390/act15010022

Chicago/Turabian Style

Bazina, Tomislav, David Liović, Jelena Srnec Novak, and Ervin Kamenar. 2026. "Modeling Soft Rehabilitation Actuators: Segmented PRB Formulations with FEM-Based Calibration" Actuators 15, no. 1: 22. https://doi.org/10.3390/act15010022

APA Style

Bazina, T., Liović, D., Srnec Novak, J., & Kamenar, E. (2026). Modeling Soft Rehabilitation Actuators: Segmented PRB Formulations with FEM-Based Calibration. Actuators, 15(1), 22. https://doi.org/10.3390/act15010022

Note that from the first issue of 2016, this journal uses article numbers instead of page numbers. See further details here.

Article Metrics

Back to TopTop