Sign in to use this feature.

Years

Between: -

Subjects

remove_circle_outline
remove_circle_outline
remove_circle_outline
remove_circle_outline
remove_circle_outline
remove_circle_outline
remove_circle_outline
remove_circle_outline
remove_circle_outline

Journals

remove_circle_outline
remove_circle_outline
remove_circle_outline
remove_circle_outline
remove_circle_outline
remove_circle_outline
remove_circle_outline
remove_circle_outline
remove_circle_outline

Article Types

Countries / Regions

remove_circle_outline
remove_circle_outline
remove_circle_outline
remove_circle_outline
remove_circle_outline

Search Results (1,008)

Search Parameters:
Keywords = karyotype

Order results
Result details
Results per page
Select all
Export citation of selected articles as:
14 pages, 3106 KB  
Article
Identification of Misplaced Endometrial Glands and Stroma in the Myometrium of Foetal Uteri Evocative of Developmental Adenomyosis
by Jean Gogusev, Yves Lepelletier, Nicolas Lopez, Patrick Barbet and Pierre Validire
Int. J. Mol. Sci. 2026, 27(8), 3595; https://doi.org/10.3390/ijms27083595 - 17 Apr 2026
Abstract
Adenomyosis is a benign gynaecological disorder in which endometrial glands and stroma enter the uterine myometrium with varying degrees of spreading. To analyse the presence of developmentally displaced endometrial glands and stroma in the foetal myometrium, a retrospective cohort of 420 foetal uteri, [...] Read more.
Adenomyosis is a benign gynaecological disorder in which endometrial glands and stroma enter the uterine myometrium with varying degrees of spreading. To analyse the presence of developmentally displaced endometrial glands and stroma in the foetal myometrium, a retrospective cohort of 420 foetal uteri, including one monozygotic twin pair, was histopathologically evaluated. The gestational age ranged between 18 and 37 weeks; the clinical characteristics included various foetal malformations with a predominantly normal karyotype, except in one case with trisomy 18. Ectopic endometrial tissue enclosed in the myometrium was discovered in twelve individual foetuses from the cohort (12/420). The investigation of the histogenetic attributes of the misplaced endometrial tissue in both monozygotic twins’ (MZ) foetal uteri revealed isolated glands and thin channels containing cords of endometrial-type glands penetrating the myometrium. Through immunohistochemistry, low levels of oestrogen receptors (ERs) were detected, whereas a moderate level of progesterone receptor (PR) expression was observed in the ectopic glandular and stromal cell nuclei in all cases. Additionally, the surrounding periglandular component consistently expressed the vimentin and CD10 stromal cell markers, while the myometrial smooth muscle cells revealed the strong expression of both alpha-Smooth Muscle Actin (α-SMA) and desmin marker proteins. Full article
(This article belongs to the Section Molecular Pathology, Diagnostics, and Therapeutics)
Show Figures

Figure 1

21 pages, 1936 KB  
Article
Clinical Validation of the Belay Ascent™ Test to Report on Chromosomal Arm-Level Aneuploidy and Gene-Level Copy Number Variants in Cerebrospinal Fluid Using Low-Pass Whole-Genome Sequencing
by Qian Nie, Kala F. Schilter, Alexandra Larson, Vindhya Udhane, Viriya Keo, Sakshi Khurana, Jennifer N. Adams, Anthony Acevedo, Daniel Sanchez, Tarin Peltier, Kathleen Mitchell, DeElegant Robinson, Kyle M. Hernandez, Christopher Douville, Chetan Bettegowda and Honey V. Reddi
Cancers 2026, 18(8), 1277; https://doi.org/10.3390/cancers18081277 - 17 Apr 2026
Abstract
Background: Evaluation of chromosome aneuploidy and gene-level copy number alterations for diagnosis, prognosis, and therapeutic decision-making in solid tumors is the standard of care. Chromosomal microarray (CMA), next-generation sequencing (NGS), immunohistochemistry (IHC), and fluorescence in situ hybridization (FISH) are the gold standard for [...] Read more.
Background: Evaluation of chromosome aneuploidy and gene-level copy number alterations for diagnosis, prognosis, and therapeutic decision-making in solid tumors is the standard of care. Chromosomal microarray (CMA), next-generation sequencing (NGS), immunohistochemistry (IHC), and fluorescence in situ hybridization (FISH) are the gold standard for detecting these variants in tumor tissue. In contrast to most solid tumors, cancers of the central nervous system (CNS) pose a unique challenge for effective detection via plasma due to the blood–brain barrier (BBB), with the additional challenges of brain biopsy or surgery being highly invasive and posing a significant risk to the patient. The Belay Ascent™ liquid biopsy test uses low-pass whole-genome sequencing (LP-WGS) to report on chromosome arm-level aneuploidy and gene-level copy number variants (CNVs) in cerebrospinal fluid (CSF) to inform diagnosis, prognosis, and therapeutic decision-making in CNS tumors. Methods: This study presents the equivalence of Ascent™ in detecting chromosome arm-level aneuploidy and gene-level CNVs using 48 tissue specimens followed by a clinical validation using a cohort of 32 CSF specimens with matched tissue-based tumor profiling information. Results: Equivalence of Ascent™ in detecting chromosome arm-level aneuploidy and gene-level CNVs using 48 tissue specimens was shown to have 100% and 97% positive percent agreement (PPA), respectively, compared to the gold standard of CMA/NGS. The validation cohort of 32 CSF specimens demonstrated 78% and 90% PPA for aneuploidy and gene-level CNVs, respectively. Clinical impact of Ascent™ was demonstrated, with 243 production cases able to inform the diagnosis and management of CNS tumors with high accuracy. Conclusions: Given the paucity of cells in CSF, limiting the use of karyotyping, CMA, IHC, and FISH, the Belay Ascent™ test provides a highly sensitive novel minimally invasive method for the evaluation of chromosome aneuploidy and gene-level CNVs in CSF. Full article
(This article belongs to the Special Issue Novel Genomic Strategies for Personalized Cancer Treatment)
Show Figures

Figure 1

18 pages, 2187 KB  
Article
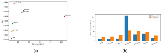
DCN-KUnet: A DCNv3-Based Backbone and KAN Bottleneck for Chromosome Segmentation
by Yufei Yang and Min Chang
Electronics 2026, 15(8), 1649; https://doi.org/10.3390/electronics15081649 - 15 Apr 2026
Viewed by 155
Abstract
Chromosome foreground segmentation is a binary semantic segmentation problem that serves as a prerequisite for overlap reasoning, contact-region inspection, and automated karyotyping. Although simpler than full instance separation in formulation, it remains difficult in metaphase imagery because chromosomes are elongated, deformable, weakly bounded, [...] Read more.
Chromosome foreground segmentation is a binary semantic segmentation problem that serves as a prerequisite for overlap reasoning, contact-region inspection, and automated karyotyping. Although simpler than full instance separation in formulation, it remains difficult in metaphase imagery because chromosomes are elongated, deformable, weakly bounded, and frequently touching or partially overlapping. To address these chromosome-specific difficulties, we present DCN-KUnet as a task-oriented integration rather than a new generic segmentation family. The encoder–decoder backbone embeds DCNv3 modules to perform geometry-adaptive sampling for bending-aware and boundary-aware representation learning, while a B-spline KAN bottleneck refines the compressed semantic representation through lightweight nonlinear transformation. In addition, a hybrid objective composed of mask supervision, semantic consistency regularization, and internal feature regularization (Lcd+LSCR+LIFD) jointly constrains prediction accuracy, cross-stage semantic agreement, and feature compactness during training. Experiments on the public overlapping-chromosome dataset and on AutoKary2022 converted to binary foreground masks show that DCN-KUnet achieves stronger Dice, IoU, and HD95 with a moderate parameter budget. These results support the proposed framework as a practical and lightweight semantic foreground front-end for chromosome analysis pipelines rather than a full instance-disentanglement solution. Full article
Show Figures

Figure 1

10 pages, 750 KB  
Review
Histo-Molecular Intratumoral Heterogeneity in Meningiomas: A Narrative Review
by Nourou Dine Adeniran Bankole, Tuan Le Van, Luc Kerherve, Edouard Morlaix, Jean-François Bellus, Kerima Belhajali, Julian Lopez, Pierre De Buck, Alia Sayda Houidi, Walid Farah, Maxime Lleu, Olivier Baland, Cathy Cao, Ahmed El Cadhi, Jacques Beaurain, Thiebaud Picart and Moncef Berhouma
Cancers 2026, 18(8), 1206; https://doi.org/10.3390/cancers18081206 - 10 Apr 2026
Viewed by 409
Abstract
Background: Meningiomas, the most common primary intracranial tumors, are predominantly benign, but high-grade variants show marked aggressiveness, histo-molecular heterogeneity, and treatment resistance. Although the 2021 WHO CNS classification integrates molecular and histopathologic criteria, substantial inter- and intratumoral variability still limits prognostic accuracy [...] Read more.
Background: Meningiomas, the most common primary intracranial tumors, are predominantly benign, but high-grade variants show marked aggressiveness, histo-molecular heterogeneity, and treatment resistance. Although the 2021 WHO CNS classification integrates molecular and histopathologic criteria, substantial inter- and intratumoral variability still limits prognostic accuracy and treatment effectiveness. The goal was to provide insight regarding the histo-molecular intratumoral heterogeneity (ITH) of meningioma and examine its clinical implications. Methods: A narrative review was performed in accordance with PRISMA guidelines. PubMed and Google Scholar were screened for studies on “meningioma” and “intratumoral heterogeneity” published up to 28 July 2025. Eligible studies included original human research reporting histological or molecular heterogeneity with clinical relevance. Results: Eighteen studies comprising 2952 meningioma patients (mean age 59.4 ± 14.8 years, range 16–85) were included. Integrated cytogenetic, molecular, and spatial analyses, including FISH, karyotyping, scRNA-seq, CNV profiling, and spatial transcriptomics, revealed multilayered histo-molecular heterogeneity. Histologically, regional variations in morphology and proliferative index increased with tumor grade. Genomic diversity, marked by recurrent losses of 1p, 14q, and 22q and transcriptionally distinct subclones, defined a complex tumor architecture. Spatial and temporal analyses demonstrated subclonal expansion, stepwise clonal evolution, and therapy resistance, particularly in recurrent tumors. Functionally, SULT1E1+ subclones and COL6A3-mediated macrophage–tumor interactions emerged as potential key drivers of malignancy, recurrence, and radioresistance. Conclusions: Histo-molecular diversity underlies meningioma progression, recurrence, and therapeutic resistance. Standardization of ITH assessment, integration of AI-based spatial analytics, and the development of subclone-specific therapies are essential next steps toward advancing precision neuro-oncology. Full article
Show Figures

Figure 1

16 pages, 1584 KB  
Article
Comparisons of Genetic and Clinical Findings in Patients with Syndromic to Non-Syndromic Familial Exudative Vitreoretinopathy
by Sho Naruse, Takaaki Hayashi, Tomoko Tsukahara-Kawamura, Itsuka Matsushita, Tatsuo Nagata, Sachiko Nishina, Takao Endo, Shunji Kusaka and Hiroyuki Kondo
Int. J. Mol. Sci. 2026, 27(8), 3348; https://doi.org/10.3390/ijms27083348 - 8 Apr 2026
Viewed by 380
Abstract
To compare the genetic causes, prevalence, and clinical characteristics of syndromic and non-syndromic familial exudative vitreoretinopathy (FEVR). A total of 281 patients with FEVR who underwent clinical and genetic evaluation at five ophthalmological institutions in Japan between 2010 and 2023 were included. Whole-exome [...] Read more.
To compare the genetic causes, prevalence, and clinical characteristics of syndromic and non-syndromic familial exudative vitreoretinopathy (FEVR). A total of 281 patients with FEVR who underwent clinical and genetic evaluation at five ophthalmological institutions in Japan between 2010 and 2023 were included. Whole-exome sequencing, Sanger sequencing, or karyotype analysis was performed using blood samples from probands and available family members. Clinical characteristics of FEVR probands were assessed according to the presence or absence of systemic abnormalities. Among the 281 FEVR probands, 42 (15%) had syndromic FEVR and 239 (85%) had non-syndromic FEVR. Syndromic FEVR was more frequently diagnosed during infancy (95% vs. 57%, p < 0.0001) and occurred more often in sporadic cases (69% vs. 50%, p = 0.028). Variants in Norrin/β-catenin signaling genes were less common in syndromic FEVR (29% vs. 54%, p = 0.0026), whereas symmetrical retinal severity was more frequently observed (67% vs. 39%, p = 0.001). Sex distribution did not differ between groups. Pathogenic variants were identified in 71% of syndromic cases, most commonly in KIF11, NDP, CTNNB1, DOCK6, TSPAN12, and LRP5. Syndromic FEVR exhibits distinct and heterogeneous genetic and clinical features compared with non-syndromic FEVR. Genotype–phenotype characterization may enable earlier diagnosis. Full article
(This article belongs to the Section Molecular Genetics and Genomics)
Show Figures

Figure 1

16 pages, 1581 KB  
Protocol
A Simple and Fast Protocol to Detect Nucleophosmin 1 (NPM1) Mutation and Fms-like Tyrosine Kinase 3 Internal Tandem Duplication (FLT3/ITD): Optimizing Laboratory Routine
by Alessandra Helena da Silva Hellwig, Gisele Menezes Ewald, Grazielle Motta Rodrigues, William Latosinski Matos, Juliana Bergmann, Viviane Horn de Melo, Rodrigo Minuto Paiva, Dariane Castro Pereira and Eduardo Wandame Gomez
Methods Protoc. 2026, 9(2), 59; https://doi.org/10.3390/mps9020059 - 3 Apr 2026
Viewed by 276
Abstract
Acute myeloid leukemia (AML) is a heterogeneous hematologic malignancy. AML classification is currently based on cytogenetic and molecular alterations as well as immunophenotyping, although risk stratification still relies primarily on cytogenetic findings. However, approximately 45% of AML patients present with a normal karyotype, [...] Read more.
Acute myeloid leukemia (AML) is a heterogeneous hematologic malignancy. AML classification is currently based on cytogenetic and molecular alterations as well as immunophenotyping, although risk stratification still relies primarily on cytogenetic findings. However, approximately 45% of AML patients present with a normal karyotype, which makes accurate risk classification and treatment stratification more challenging. Therefore, the identification of molecular prognostic markers described in the literature has become essential in routine diagnostic laboratories, enabling the more precise categorization of patients into risk groups. In this study, we present a simple, rapid, step-by-step multiplex PCR protocol combined with capillary electrophoresis for the detection of two of the most prevalent molecular alterations in AML: nucleophosmin 1 (NPM1) mutations and Fms-like tyrosine kinase 3 internal tandem duplications (FLT3/ITD). This protocol provides a practical workflow that can assist diagnostic laboratories in implementing and optimizing multiplex mutation detection in routine practice. Full article
(This article belongs to the Section Molecular and Cellular Biology)
Show Figures

Figure 1

16 pages, 980 KB  
Article
Telomere Length and Checkpoint Kinase Expression Patterns Across Cytogenetic Risk Groups in Chronic Lymphocytic Leukemia
by Fábio Morato de Oliveira, Fermino Sanches Lizarte Neto, Eduardo Vignoto Fernandes, Mayara Bocchi and Bruno Machado Rezende Ferreira
Kinases Phosphatases 2026, 4(2), 9; https://doi.org/10.3390/kinasesphosphatases4020009 - 2 Apr 2026
Viewed by 205
Abstract
Chronic lymphocytic leukemia (CLL) exhibits marked clinical heterogeneity that is closely associated with genomic instability. Although cytogenetic abnormalities are widely used for risk stratification, they do not fully capture the biological complexity of the disease. Telomere dysfunction and alterations in DNA damage response [...] Read more.
Chronic lymphocytic leukemia (CLL) exhibits marked clinical heterogeneity that is closely associated with genomic instability. Although cytogenetic abnormalities are widely used for risk stratification, they do not fully capture the biological complexity of the disease. Telomere dysfunction and alterations in DNA damage response pathways have been implicated in disease progression, but their relationship with cytogenetic risk in CLL remains incompletely characterized. In this study, peripheral blood mononuclear cells (PBMCs) from 48 CLL patients were analyzed. The analyzed PBMC fractions were enriched in leukemic B cells, with an estimated median tumor content above 85–90%. Cytogenetic profiles were obtained by conventional karyotyping following in vitro immunostimulation with DSP30 and interleukin-2 and classified according to ERIC and Döhner criteria. Telomere length was assessed by quantitative PCR, and CHEK1 and CHEK2 expression levels were quantified by RT–qPCR. Molecular parameters were compared across cytogenetic risk groups. Distinct molecular profiles were observed across cytogenetic categories. Favorable-risk CLL cases showed preserved telomere length, low CHEK1 expression, and maintained CHEK2 levels. Intermediate-risk cases, predominantly characterized by trisomy 12, exhibited moderate telomere shortening accompanied by increased CHEK1 expression and partial reduction of CHEK2. High-risk CLL cases, defined by del(11q), del(17p), or complex karyotypes, displayed pronounced telomere shortening, marked CHEK1 upregulation, and strong suppression of CHEK2. Telomere length was inversely correlated with cytogenetic risk (Spearman’s ρ = −0.68, p < 0.0001), and the CHEK1/CHEK2 expression ratio increased progressively with genomic complexity. These findings indicate that telomere length and CHEK1/CHEK2 expression patterns are closely associated with cytogenetic risk in CLL and may provide complementary biological information for risk stratification. Full article
Show Figures

Figure 1

9 pages, 1018 KB  
Article
Buffy Coat Enrichment Improves the Success Rate of Conventional Cytogenetics in Hypocellular Specimens: A Prospective Quality Improvement Study
by Gokce A. Toruner, Nawal Imtiaz, Andrew M. McCoy, Melissa Robinson, Griselda J. Cardona, Sarita S. Delgado, Su Yang, Qing Wei, L. Jeffrey Medeiros and Guilin Tang
Genes 2026, 17(4), 417; https://doi.org/10.3390/genes17040417 - 31 Mar 2026
Viewed by 324
Abstract
Background: Specimens with low cell counts may fail to yield sufficient analyzable metaphases or are rejected for chromosomal analysis. Buffy coat enrichment (BCE) concentrates nucleated cells prior to culture; however, its impact on routine cancer cytogenetics has not been systematically evaluated. Methods [...] Read more.
Background: Specimens with low cell counts may fail to yield sufficient analyzable metaphases or are rejected for chromosomal analysis. Buffy coat enrichment (BCE) concentrates nucleated cells prior to culture; however, its impact on routine cancer cytogenetics has not been systematically evaluated. Methods: We first validated BCE in hypocellular specimens (<5 K/µL) and then conducted a prospective quality improvement study from November 2024 to October 2025, encompassing 12,088 specimens. A phased intervention strategy was implemented by performing BCE on specimens with cell counts of 2.0–4.9 K/µL (designated as phase I); followed by expanding BCE to specimens with cell counts of 1.0–4.9 K/µL (phase II). Outcomes were assessed by the rate of successful karyotypes, defined as ≥10 analyzable metaphases. Results: In the validation cohort (cell counts < 5 K/µL), BCE improved the success rate across all cell count strata. In the prospective study cohort, implementation of BCE increased the overall success rate from 78% at baseline to 83% in phase I, and further increased to 90% in phase II. Conclusions: BCE significantly improves the success rate of chromosomal analysis by increasing the yield of metaphases in hypocellular specimens. This simple and scalable intervention reduces specimen rejection and enhances diagnostic yield in routine cancer cytogenetics. Full article
(This article belongs to the Section Cytogenomics)
Show Figures

Figure 1

13 pages, 6941 KB  
Article
Establishment of an Immortalized Canine Hippocampal Neural Stem Cell Line via SV40LT Retroviral Transduction
by Yankun Ke, Zixin Li, Huaiyu Wang, Yixuan Zhang, Shiyu Xu and Longlong Zhang
Cells 2026, 15(6), 543; https://doi.org/10.3390/cells15060543 - 19 Mar 2026
Viewed by 432
Abstract
Dogs represent a promising animal model for analyzing human neurodegenerative diseases, owing to their similarities to humans in nervous system architecture and behavioral phenotypes. Neural stem cells (NSCs) serve as a highly valuable in vitro experimental model for investigating neurogenesis, neurodegenerative disease pathogenesis, [...] Read more.
Dogs represent a promising animal model for analyzing human neurodegenerative diseases, owing to their similarities to humans in nervous system architecture and behavioral phenotypes. Neural stem cells (NSCs) serve as a highly valuable in vitro experimental model for investigating neurogenesis, neurodegenerative disease pathogenesis, and neural molecular biology; however, studies on immortalized canine neural stem cell lines remain scarce. Herein, we successfully established an immortalized canine hippocampal neural stem cell line that can be continuously passaged in vitro via SV40 large T antigen (SV40LT) viral infection and subsequent cellular transformation. Both the immortalized NSCs and their normal parental counterparts differentiated into neuronal and glial lineages under induced differentiation conditions. Normal canine hippocampal NSCs can be passaged for no more than 10 generations, whereas the immortalized line can be passaged indefinitely while maintaining a normal karyotype. This immortalized canine hippocampal NSC line can act as a critical experimental tool for future research into neural differentiation mechanisms and stem cell-derived therapeutic strategies for neurological disorders in dogs. Full article
(This article belongs to the Section Stem Cells)
Show Figures

Graphical abstract

15 pages, 761 KB  
Article
Diagnostic Yield of Phenotype-Guided Genetic Testing in Infertility: A Five-Year Retrospective Study from a Tertiary Referral Cohort
by Kristina Aleknavičienė, Marius Šukys, Živilė Žemeckienė, Birutė Žilaitienė and Rasa Ugenskienė
Diagnostics 2026, 16(6), 896; https://doi.org/10.3390/diagnostics16060896 - 18 Mar 2026
Viewed by 362
Abstract
Background/Objectives: To evaluate the diagnostic yield of phenotype-guided cytogenetic and targeted molecular genetic testing in patients referred for infertility and reproductive disorders within a tertiary medical genetics referral pathway. Methods: This retrospective study included 900 consecutive patients (473 males, 427 females) [...] Read more.
Background/Objectives: To evaluate the diagnostic yield of phenotype-guided cytogenetic and targeted molecular genetic testing in patients referred for infertility and reproductive disorders within a tertiary medical genetics referral pathway. Methods: This retrospective study included 900 consecutive patients (473 males, 427 females) referred to a tertiary medical genetics center between January 2020 and December 2024. Conventional karyotyping was performed in all patients. Additional targeted molecular tests were applied based on clinical indication: Y chromosome microdeletion analysis in azoospermia or oligospermia, CFTR sequencing in suspected congenital bilateral absence of the vas deferens, and F2/F5 genotyping in recurrent pregnancy loss (RPL). Diagnostic yield was analyzed in a predefined subgroup of 566 patients with RPL, unexplained infertility, azoospermia, or oligospermia; remaining referrals were included in descriptive cytogenetic analyses only. Results: Chromosomal abnormalities were identified in 3.22% (29/900) of the total cohort and in 5.12% (29/566) of the diagnostic-yield cohort. Targeted testing yields were 3.75% (6/160) for Y chromosome microdeletions, 9.38% (3/32) for CFTR variants, and 3.31% (4/121) for F2/F5 variants. Diagnostic yield varied markedly by phenotype, being highest in azoospermia (33.3%), followed by oligospermia (6.6%), RPL (5.3%), and unexplained infertility (3.1%). In unexplained infertility, all chromosomal abnormalities were detected in female patients. Conclusions: In a tertiary referral setting, phenotype-guided genetic testing provides the greatest diagnostic value in well-defined infertility phenotypes, particularly azoospermia. Lower yields in other referral groups support a targeted, indication-based approach to genetic evaluation and highlight the need for advanced genomic strategies in persistently unexplained cases. Full article
(This article belongs to the Section Clinical Laboratory Medicine)
Show Figures

Figure 1

14 pages, 3131 KB  
Article
Prenatal Classification and Perinatal Outcomes of Fetal Umbilical–Portal–Systemic Venous Shunts: A Tertiary Center Experience
by Kubra Kurt Bilirer, Hale Özer Caltek, Tuğçe Arslanoğlu, Fırat Ersan and Hakan Erenel
Diagnostics 2026, 16(6), 829; https://doi.org/10.3390/diagnostics16060829 - 11 Mar 2026
Viewed by 379
Abstract
Background/Objectives: Umbilical–portal–systemic venous shunts (UPSVS) are rare fetal vascular anomalies with heterogeneous embryologic origins and variable perinatal implications. Although prenatal diagnosis has increased with advances in fetal imaging, data correlating prenatal subclassification with structural/genetic abnormalities and neonatal outcomes remain limited. Methods: [...] Read more.
Background/Objectives: Umbilical–portal–systemic venous shunts (UPSVS) are rare fetal vascular anomalies with heterogeneous embryologic origins and variable perinatal implications. Although prenatal diagnosis has increased with advances in fetal imaging, data correlating prenatal subclassification with structural/genetic abnormalities and neonatal outcomes remain limited. Methods: This retrospective study included 50 fetuses prenatally diagnosed with UPSVS at a tertiary referral perinatology center between 2021 and 2025. Cases were subclassified according to the Achiron prenatal classification into Type 1 umbilical–systemic shunt (USS), Type 2 ductus venosus–systemic shunt (DVSS), Type 3a intrahepatic portosystemic shunt (IHPSS), and Type 3b extrahepatic portosystemic shunt (EHPSS). Prenatal ultrasound, Doppler, fetal echocardiography, and genetic testing (karyotype and chromosomal microarray) were analyzed. Perinatal metrics—including structural/genetic anomalies, fetal growth restriction (FGR), termination of pregnancy (TOP), and neonatal outcomes—were evaluated with postnatal verification. Results: The distribution of subtypes was Type 1: 28% (14/50), Type 2: 48% (24/50), Type 3a: 20% (10/50), and Type 3b: 4% (2/50). Gestational age at diagnosis was significantly higher in Type 3a compared with Type 1 and Type 2 (32.2 ± 2.4 vs. 21.1 ± 6.7 and 22.4 ± 5.8 weeks; p < 0.001). Structural anomalies were most frequent in Type 1 (13/14, 92.9%; p < 0.001), while FGR predominated in Type 3a (9/10, 90%; p = 0.006). Ductus venosus (DV) agenesis was universal in Type 1 (14/14) and Type 3b (2/2), absent in Type 2 (0/24), and present in 20% of Type 3a (2/10) (p < 0.001). Genetic abnormalities were detected in 57% of Type 1 (4/7) and 56% of Type 2 (9/16) fetuses, with trisomy 21 most prevalent in Type 2. TOP was highest in Type 1 (8/14, 57.1%; p < 0.001). Adverse neonatal outcomes occurred primarily in Type 1 and Type 3b (p < 0.001), whereas Type 2 demonstrated favorable neonatal outcomes. Conclusions: UPSVS subtype is strongly associated with structural/genetic anomalies, FGR, and neonatal outcomes, underscoring the importance of prenatal subclassification in prognostic assessment and counseling. Type 1 and Type 3b represent the highest—risk subgroups requiring delivery planning in tertiary centers, while Type 2 generally exhibits a benign perinatal course. The association between Type 3a and FGR highlights the need for detailed evaluation of the hepatic venous system in growth-restricted fetuses. However, interpretation of subgroup-specific associations should consider the relatively small sample size of Type 3b cases and the limited genetic testing performed in some Type 3a fetuses. Multicenter prospective studies are warranted to standardize diagnostic algorithms, optimize genetic testing strategies, and refine perinatal management. Full article
(This article belongs to the Section Clinical Diagnosis and Prognosis)
Show Figures

Figure 1

10 pages, 728 KB  
Case Report
A Rare Case of De Novo Acute Myeloid Leukemia, Featuring a KMT2A (MLL) Amplification
by Fares Hassan, Jeff Chen, Charles Westphal and Carlos A. Tirado
Diagnostics 2026, 16(6), 820; https://doi.org/10.3390/diagnostics16060820 - 10 Mar 2026
Viewed by 441
Abstract
We present a case of a patient in their 80s initially presenting with myelodysplastic syndromes (MDS). Chromosomal analysis showed an abnormal female karyotype with a complex karyotype. Metaphase FISH confirmed four copies of KMT2A (MLL) in 24.5% [49/200] and amplification of KMT2A ( [...] Read more.
We present a case of a patient in their 80s initially presenting with myelodysplastic syndromes (MDS). Chromosomal analysis showed an abnormal female karyotype with a complex karyotype. Metaphase FISH confirmed four copies of KMT2A (MLL) in 24.5% [49/200] and amplification of KMT2A (MLL) with more than four copies in 22% [44/200]. FISH also revealed the presence of MYC (8q24) on the long arm of chromosome 2 at 2q33 locus, two copies of BCR on each homolog 22, and two additional copies of BCR on a derivative chromosome 22. Flow cytometric analysis revealed a population of aberrant myeloid blasts (15–17%). Bone marrow analysis showed hypercellular marrow with a significant increase in myeloid blasts (~50%) and trilineage dysplasia. Eventually, these findings were consistent with a final diagnosis of acute myeloid leukemia non-M3 and a complex karyotype, correlating with cytogenetics, flow cytometry, molecular, and clinical findings. The patient’s clinical course was marked by a rapid deterioration, including recurrent arrhythmias, hypoxic respiratory failure, and septic shock. Given their poor clinical status and adverse-risk molecular profile, care was transported to hospice. The presence of KMT2A amplification is a rare event in AML and is present in ~1% of AML and MDS cases. MYC translocation, KMT2A (MLL) amplification, and 5q/20q losses suggest secondary therapy-related AML and categorize this case in the adverse risk prognosis under the ELN 2022 guidelines. Full article
(This article belongs to the Section Clinical Diagnosis and Prognosis)
Show Figures

Figure 1

13 pages, 1408 KB  
Article
Multidirectional Chromosomal Painting in the Harpy Eagle (Harpia harpyja): Conservation of Breakpoints in Accipitriformes
by Fábio Augusto Oliveira Silva, Rodrigo Petry Corrêa de Sousa, Anderson José Baia Gomes, Patrícia C. O’brien, Malcolm Ferguson-Smith and Edivaldo Herculano Corrêa de Oliveira
Animals 2026, 16(5), 799; https://doi.org/10.3390/ani16050799 - 4 Mar 2026
Viewed by 1000
Abstract
Diurnal birds of prey (Falconiformes and Accipitriformes) often display karyotypes that diverge markedly from the putative ancestral avian condition (2n = 80), with reduced diploid numbers and fewer microchromosome pairs driven by extensive chromosomal rearrangements. The harpy eagle (Harpia harpyja) was [...] Read more.
Diurnal birds of prey (Falconiformes and Accipitriformes) often display karyotypes that diverge markedly from the putative ancestral avian condition (2n = 80), with reduced diploid numbers and fewer microchromosome pairs driven by extensive chromosomal rearrangements. The harpy eagle (Harpia harpyja) was the first raptor analyzed by chromosome painting, revealing a karyotype (2n = 58) shaped by both microchromosome fusions and macrochromosome fissions followed by secondary fusions. However, these earlier analyses were limited in probe coverage. Here, we present a comprehensive chromosomal map of H. harpyja using multidirectional chromosome painting combined with chromosome-level genome assembly data. We integrated cross-species probes from Gallus gallus and Leucopternis albicollis with high-resolution genomic data to refine syntenic relationships and identify fission–fusion hotspots. G. gallus probes confirmed most previously described and genomically inferred associations but revealed novel features, including a new GGA1/GGA3 association and an increased number of GGA1-derived segments (five to six). Genomic data did not support previously suggested fusions involving GGA20–HHA1 or GGA12–Z. Dual-probe FISH further uncovered lineage-specific rearrangements, indicating rapid chromosomal evolution within Accipitriformes. This integrative approach clarifies harpy eagle genome organization and highlights dynamic evolutionary restructuring in raptor chromosomes. Full article
Show Figures

Figure 1

16 pages, 3885 KB  
Article
Preclinical Tumorigenicity Study of an Advanced Therapy Medicinal Product for Diffuse Cartilage Lesions in an Osteoarthritic Environment
by Alessandra Colombini, Vincenzo Raffo, Vincenzo Pennone, Katia Mareschi, Luciana Labanca, Laura Mangiavini, Matteo Moretti, Camilla Recordati, Federico Armando, Laura de Girolamo and Arianna B. Lovati
Cells 2026, 15(5), 429; https://doi.org/10.3390/cells15050429 - 28 Feb 2026
Viewed by 444
Abstract
Background: Advanced therapy medicinal products require rigorous preclinical testing to exclude tumorigenicity. Human articular cartilage cells expanded at low density with human platelet lysate show enhanced proliferation, matrix production, and immunomodulatory properties, supporting their use for diffuse cartilage lesions in osteoarthritic joints. This [...] Read more.
Background: Advanced therapy medicinal products require rigorous preclinical testing to exclude tumorigenicity. Human articular cartilage cells expanded at low density with human platelet lysate show enhanced proliferation, matrix production, and immunomodulatory properties, supporting their use for diffuse cartilage lesions in osteoarthritic joints. This study evaluated tumorigenicity and biodistribution of cartilage cell spheroids generated using two platelet lysate sources. Methods: Cartilage cells were expanded at low density with two platelet lysates and assembled into spheroids. Cytogenetic stability was assessed by metaphase karyotyping following expansion. Immunodeficient mice received subcutaneous implantation and were monitored for 180 days. Human colon carcinoma cells and mouse fibroblasts were used as controls. Clinical follow-up, full organ histopathology, and immunohistochemistry were performed to detect human cell persistence. Results: Expanded cartilage cells showed predominantly normal karyotypes, with rare low-level mosaic chromosomal alterations not detected at the previous passage. Cartilage cell spheroids were well tolerated in vivo, with complete survival and no evidence of tumorigenicity, inflammation, or human cell persistence at implantation sites or distant organs. Control experiments confirmed the sensitivity of the model, and no systemic toxicity was observed. Conclusions: Spheroids derived from cartilage cells are non-tumorigenic, non-migratory, and biologically safe in immunodeficient mice. These findings support their development as cell-based cartilage therapies and align with regulatory recommendations for non-clinical safety evaluation. Full article
Show Figures

Figure 1

12 pages, 3288 KB  
Case Report
A Novel Approach Using Microarray Testing as a Screening Method with Clinical Validation Using Whole-Genome Sequencing and Karyotyping for Identifying 46,XX Testicular Differences of Sex Development
by Takeshi Ozeki, Yuka Nakano, Ayumu Ishigaki, Yoichi Kawashima, Charles W. Crawford, David D. Ordinario, Iri Sato-Baran and Toshihiko Higashida
Diagnostics 2026, 16(5), 706; https://doi.org/10.3390/diagnostics16050706 - 27 Feb 2026
Viewed by 422
Abstract
Background: Microarray testing is commonly used as a screening method for phenotypic traits and common diseases and for genome-wide association studies (GWASs). Despite the known limitations, microarray services can potentially be used as a prescreening tool for chromosomal disorders, which affect approximately 0.4–0.6% [...] Read more.
Background: Microarray testing is commonly used as a screening method for phenotypic traits and common diseases and for genome-wide association studies (GWASs). Despite the known limitations, microarray services can potentially be used as a prescreening tool for chromosomal disorders, which affect approximately 0.4–0.6% of the world population, followed by further clinical diagnostic methods when appropriate. Case Presentation: Here we present a case study of a male subject in his 40s who underwent direct-to-consumer (DTC) genetic testing that utilized microarray, which revealed the absence of Y chromosome haplogroup data despite possessing a typical male phenotype. Subsequent medical consultation, whole-genome sequencing (WGS), and chromosomal analysis confirmed a diagnosis of 46,XX testicular differences of sex development (DSD, formerly XX male syndrome) characterized by the presence of Y chromosome-derived genomic material, including the SRY gene. An initial microarray test gave an indeterminate result for the Y chromosome call rate and an X chromosome heterozygosity result that aligned with the female average. These indeterminate results, coupled with the subject’s male phenotype, led to further testing—WGS, karyotyping, fluorescence in situ hybridization using an SRY Probe, and endocrine testing. From these results, the subject was diagnosed with 46,XX testicular DSD. Conclusions: To our knowledge, this represents the first reported case where 46,XX testicular DSD was diagnosed starting from a DTC test which led to medical consultation and comprehensive genomic and cytogenetic analysis. This case underscores the potential diagnostic value of consumer-initiated DTC microarray screening in the era of genomic medicine and for supporting social needs such as gender confirmation for sports. Full article
(This article belongs to the Section Pathology and Molecular Diagnostics)
Show Figures

Figure 1

Back to TopTop