Sign in to use this feature.

Years

Between: -

Subjects

remove_circle_outline
remove_circle_outline
remove_circle_outline
remove_circle_outline
remove_circle_outline
remove_circle_outline
remove_circle_outline
remove_circle_outline
remove_circle_outline

Journals

Article Types

Countries / Regions

Search Results (102)

Search Parameters:
Keywords = jump discontinuity

Order results
Result details
Results per page
Select all
Export citation of selected articles as:
26 pages, 712 KB  
Article
Comparing Multi-Scale and Pipeline Models for Speaker Change Detection
by Alymzhan Toleu, Gulmira Tolegen and Bagashar Zhumazhanov
Acoustics 2026, 8(1), 5; https://doi.org/10.3390/acoustics8010005 - 25 Jan 2026
Abstract
Speaker change detection (SCD) in long, multi-party meetings is essential for diarization, Automatic speech recognition (ASR), and summarization, and is now often performed in the space of pre-trained speech embeddings. However, unsupervised approaches remain dominant when timely labeled audio is scarce, and their [...] Read more.
Speaker change detection (SCD) in long, multi-party meetings is essential for diarization, Automatic speech recognition (ASR), and summarization, and is now often performed in the space of pre-trained speech embeddings. However, unsupervised approaches remain dominant when timely labeled audio is scarce, and their behavior under a unified modeling setup is still not well understood. In this paper, we systematically compare two representative unsupervised approaches on the multi-talker audio meeting corpus: (i) a clustering-based pipeline that segments and clusters embeddings/features and scores boundaries via cluster changes and jump magnitude, and (ii) a multi-scale jump-based detector that measures embedding discontinuities at several window lengths and fuses them via temporal clustering and voting. Using a shared front-end and protocol, we vary the underlying features (ECAPA, WavLM, wav2vec 2.0, MFCC, and log-Mel) and test the model’s robustness under additive noise. The results show that embedding choice is crucial and that the two methods offer complementary trade-offs: the pipeline yields low false alarm rates but higher misses, while the multi-scale detector achieves relatively high recall at the cost of many false alarms. Full article
Show Figures

Figure 1

19 pages, 6992 KB  
Article
A Fault Identification Method for Micro-Motors Using an Optimized CNN-Based JMD-GRM Approach
by Yufang Bai, Zhengyang Gu, Junsong Yu and Junli Chen
Micromachines 2026, 17(1), 123; https://doi.org/10.3390/mi17010123 - 19 Jan 2026
Viewed by 217
Abstract
Micro-motors are widely used in industrial applications, which require effective fault diagnosis to maintain safe equipment operation. However, fault signals from micro-motors often exhibit weak signal strength and ambiguous features. To address these challenges, this study proposes a novel fault diagnosis method. Initially, [...] Read more.
Micro-motors are widely used in industrial applications, which require effective fault diagnosis to maintain safe equipment operation. However, fault signals from micro-motors often exhibit weak signal strength and ambiguous features. To address these challenges, this study proposes a novel fault diagnosis method. Initially, the Jump plus AM-FM Mode Decomposition (JMD) technique was utilized to decompose the measured signals into amplitude-modulated–frequency-modulated (AM-FM) oscillation components and discontinuous (jump) components. The proposed process extracts valuable fault features and integrates them into a new time-domain signal, while also suppressing modal aliasing. Subsequently, a novel Global Relationship Matrix (GRM) is employed to transform one-dimensional signals into two-dimensional images, thereby enhancing the representation of fault features. These images are then input into an Optimized Convolutional Neural Network (OCNN) with an AdamW optimizer, which effectively reduces overfitting during training. Experimental results demonstrate that the proposed method achieves an average diagnostic accuracy rate of 99.0476% for multiple fault types, outperforming four comparative methods. This approach offers a reliable solution for quality inspection of micro-motors in a manufacturing environment. Full article
(This article belongs to the Section E:Engineering and Technology)
Show Figures

Figure 1

34 pages, 1599 KB  
Article
Disturbance-Resilient Path-Following for Unmanned Airships via Curvature-Aware LOS Guidance and Super-Twisting Terminal Sliding-Mode Control
by Rongwei Liang, Duc Thien An Nguyen and Mostafa Hassanalian
Drones 2026, 10(1), 47; https://doi.org/10.3390/drones10010047 - 9 Jan 2026
Viewed by 225
Abstract
Unmanned airships are highly sensitive to parametric uncertainty, persistent wind disturbances, and sensor noise, all of which compromise reliable path-following. Classical control schemes often suffer from chattering and fail to handle index discontinuities on closed-loop paths due to the lack of mechanisms and [...] Read more.
Unmanned airships are highly sensitive to parametric uncertainty, persistent wind disturbances, and sensor noise, all of which compromise reliable path-following. Classical control schemes often suffer from chattering and fail to handle index discontinuities on closed-loop paths due to the lack of mechanisms and cannot simultaneously provide formal guarantees on state constraint satisfaction. We address these challenges by developing a unified, constraint-aware guidance and control framework for path-following in uncertain environments. The architecture integrates an extended state observer (ESO) to estimate and compensate lumped disturbances, a barrier Lyapunov function (BLF) to enforce state constraints on tracking errors, and a super-twisting terminal sliding-mode (ST-TSMC) control law to achieve finite-time convergence with continuous, low-chatter control inputs. A constructive Lyapunov-based synthesis is presented to derive the control law and to prove that all tracking errors remain within prescribed error bounds. At the guidance level, a nonlinear curvature-aware line-of-sight (CALOS) strategy with an index-increment mechanism mitigates jump phenomena at loop-closure and segment-transition points on closed yet discontinuous paths. The overall framework is evaluated against representative baseline methods under combined wind and parametric perturbations. Numerical results indicate improved path-following accuracy, smoother control signals, and strict enforcement of state constraints, yielding a disturbance-resilient path-following solution for the cruise of an unmanned airship. Full article
Show Figures

Figure 1

13 pages, 449 KB  
Review
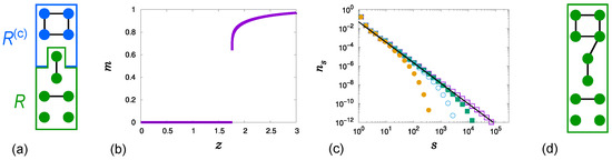
Recent Progress on Hybrid Percolation Transitions
by Young Sul Cho and Byungnam Kahng
Entropy 2026, 28(1), 68; https://doi.org/10.3390/e28010068 - 6 Jan 2026
Viewed by 195
Abstract
Percolation describes the formation of a giant cluster once the average degree of a network exceeds a critical value. A hybrid percolation transition (HPT) denotes a phenomenon in which a discontinuous jump of the order parameter and the critical behavior, a basic pattern [...] Read more.
Percolation describes the formation of a giant cluster once the average degree of a network exceeds a critical value. A hybrid percolation transition (HPT) denotes a phenomenon in which a discontinuous jump of the order parameter and the critical behavior, a basic pattern of a continuous transition, appear together at the same threshold. Such HPTs have been reported in many different systems. In this review, we present several representative examples of HPTs and classify them into two categories: global suppression-induced HPTs and cascading failure-induced HPTs. In the former class, critical behavior manifests itself in the distribution of cluster sizes, whereas in the latter it emerges in the distribution of avalanche sizes. We further outline the universal scaling relations shared by both types. Full article
(This article belongs to the Special Issue Percolation in the 21st Century)
Show Figures

Figure 1

33 pages, 1438 KB  
Article
Regime-Switching Affine Term Structure Models with Jumps: Evidence from South African Bond Yields
by Malefane Molibeli and Gary van Vuuren
J. Risk Financial Manag. 2025, 18(12), 681; https://doi.org/10.3390/jrfm18120681 - 1 Dec 2025
Viewed by 523
Abstract
We present a unified framework for modelling the term structure of interest rates using affine term structure models (ATSMs) with jumps and regime switches. The novelty lies in combining affine jump diffusion models with regime switching dynamics within a unified framework, allowing for [...] Read more.
We present a unified framework for modelling the term structure of interest rates using affine term structure models (ATSMs) with jumps and regime switches. The novelty lies in combining affine jump diffusion models with regime switching dynamics within a unified framework, allowing for state-dependent jump behaviour while preserving analytical tractability. This integration enables the model to simultaneously capture nonlinear market regimes and discontinuous movements in interest rates—features that traditional affine models or regime switching models alone cannot jointly represent. Estimation is carried out using the Unscented Kalman Filter (UKF) with the belief that it is capable of handling nonlinearity and therefore should estimate the non-Gaussian dynamics well. The yield curve fit demonstrates that both models fit our data well. RMSEs show that the regime switching affine jump diffusion (RS-AJD) model outperforms the affine jump diffusion (AJD) in-sample. Full article
(This article belongs to the Special Issue Modelling for Positive Change: Economics and Finance)
Show Figures

Figure 1

14 pages, 3831 KB  
Article
An Adaptive Absolute Phase Correction Method with Row–Column Constraints for Projected Fringe Profilometry
by Yuyang Yu, Qin Zhang, Pengfei Feng, Lei Qian and Chucheng Li
Photonics 2025, 12(10), 956; https://doi.org/10.3390/photonics12100956 - 27 Sep 2025
Viewed by 467
Abstract
The accuracy of phase unwrapping is a decisive factor in achieving high-precision dimensional measurement using the projected fringe profilometry. However, discontinuities at truncation points inevitably lead to phase jumps, especially when measuring objects with complex hollow features, resulting in significantly increased errors. To [...] Read more.
The accuracy of phase unwrapping is a decisive factor in achieving high-precision dimensional measurement using the projected fringe profilometry. However, discontinuities at truncation points inevitably lead to phase jumps, especially when measuring objects with complex hollow features, resulting in significantly increased errors. To address this issue, this paper proposes an adaptive phase correction algorithm based on row and column constraints. First, the algorithm identifies the main normal phase distribution region in each column and interpolates abnormal values deviating from this region, ensuring smooth phase distribution in the column direction. Then, it detects each continuous non-zero segment in every row, locates phase jump positions, and performs local corrections. This approach enhances the overall continuity of the phase map and effectively compensates for phase jump errors. Experimental results demonstrate that the proposed method can effectively suppress phase jumps caused by object edges and hollow regions, achieving an absolute error of less than 0.05 mm in measured step height differences in standard blocks. This provides a reliable phase preprocessing solution for the optical measurement of complex-shaped objects. Full article
Show Figures

Figure 1

13 pages, 5337 KB  
Article
Asymptotic Convergence of Solutions for Singularly Perturbed Linear Impulsive Systems with Full Singularity
by Nauryzbay Aviltay and Muratkhan Dauylbayev
Symmetry 2025, 17(9), 1389; https://doi.org/10.3390/sym17091389 - 26 Aug 2025
Viewed by 841
Abstract
This paper considers impulsive systems with singularities. The main novelty of this study is that the impulses (impulsive functions) and the initial value are singular. The asymptotic convergence of the solution to a singularly perturbed initial problem with an infinitely large initial value, [...] Read more.
This paper considers impulsive systems with singularities. The main novelty of this study is that the impulses (impulsive functions) and the initial value are singular. The asymptotic convergence of the solution to a singularly perturbed initial problem with an infinitely large initial value, as ε0, to the solution to a corresponding modified degenerate initial problem is proved. It is established that the solution to the initial problem at point t=0 has an initial jump phenomenon, and the value of this initial jump is determined. The theoretical results are supported by illustrative examples with simulations. Singularly perturbed problems are characterized by the presence of a small parameter multiplying the highest derivatives in the differential equations. This leads to rapid changes in the solution near the boundary or at certain points inside the domain. In our problem, symmetry is violated due to the emergence of a boundary layer at the initial point and at the moments of discontinuity. As a result, the problem as a whole is asymmetric. Such asymmetry in the behavior of the solution is a main feature of singularly perturbed problems, setting them apart from regularly perturbed problems in which the solutions usually exhibit smoother changes. Full article
(This article belongs to the Section Mathematics)
Show Figures

Figure 1

21 pages, 7834 KB  
Article
Robust and Adaptive Ambiguity Resolution Strategy in Continuous Time and Frequency Transfer
by Kun Wu, Weijin Qin, Daqian Lv, Wenjun Wu, Pei Wei and Xuhai Yang
Remote Sens. 2025, 17(16), 2878; https://doi.org/10.3390/rs17162878 - 18 Aug 2025
Viewed by 951
Abstract
The integer precise point positioning (IPPP) technique significantly improves the accuracy of positioning and time and frequency transfer by restoring the integer nature of carrier-phase ambiguities. However, in practical applications, IPPP performance is often degraded by day-boundary discontinuities and instances of incorrect ambiguity [...] Read more.
The integer precise point positioning (IPPP) technique significantly improves the accuracy of positioning and time and frequency transfer by restoring the integer nature of carrier-phase ambiguities. However, in practical applications, IPPP performance is often degraded by day-boundary discontinuities and instances of incorrect ambiguity resolution, which can compromise the reliability of time transfer. To address these challenges and enable continuous, robust, and stable IPPP time transfer, this study proposes an effective approach that utilizes narrow-lane ambiguities to absorb receiver clock jumps, combined with a robust sliding-window weighting strategy that fully exploits multi-epoch information. This method effectively mitigates day-boundary discontinuities and employs adaptive thresholding to enhance error detection and mitigate the impact of incorrect ambiguity resolution. Experimental results show that at an averaging time of 76,800 s, the frequency stabilities of GPS, Galileo, and BDS IPPP reach 4.838 × 10−16, 4.707 × 10−16, and 5.403 × 10−16, respectively. In the simulation scenario, the carrier-phase residual under the IGIII scheme is 6.7 cm, whereas the robust sliding-window weighting method yields a lower residual of 5.2 cm, demonstrating improved performance. In the zero-baseline time link, GPS IPPP achieves stability at the 10−17 level. Compared to optical fiber time transfer, the GPS IPPP solution demonstrates superior long-term performance in differential analysis. For both short- and long-baseline links, IPPP consistently outperforms the PPP float solution and IGS final products. Specifically, at an averaging time of 307,200 s, IPPP improves average frequency stability by approximately 29.3% over PPP and 32.6% over the IGS final products. Full article
Show Figures

Figure 1

17 pages, 1754 KB  
Article
A Fuzzy Five-Region Membership Model for Continuous-Time Vehicle Flow Statistics in Underground Mines
by Hao Wang, Maoqua Wan, Hanjun Gong and Jie Hou
Processes 2025, 13(8), 2434; https://doi.org/10.3390/pr13082434 - 31 Jul 2025
Viewed by 596
Abstract
Accurate dynamic flow statistics for trackless vehicles are critical for efficiently scheduling trackless transportation systems in underground mining. However, traditional discrete time-point methods suffer from “time membership discontinuity” due to RFID timestamp sparsity. This study proposes a fuzzy five-region membership (FZFM) model to [...] Read more.
Accurate dynamic flow statistics for trackless vehicles are critical for efficiently scheduling trackless transportation systems in underground mining. However, traditional discrete time-point methods suffer from “time membership discontinuity” due to RFID timestamp sparsity. This study proposes a fuzzy five-region membership (FZFM) model to address this issue by subdividing time intervals into five characteristic regions and constructing a composite Gaussian–quadratic membership function. The model dynamically assigns weights to adjacent segments based on temporal distances, ensuring smooth transitions between time intervals while preserving flow conservation. When validated on a 29-day RFID dataset from a large coal mine, FZFM eliminated conservation bias, reduced the boundary mutation index by 11.1% compared with traditional absolute segmentation, and maintained high computational efficiency, proving suitable for real-time systems. The method effectively mitigates abrupt flow jumps at segment boundaries, providing continuous and robust flow distributions for intelligent scheduling algorithms in complex underground logistics systems. Full article
(This article belongs to the Special Issue Data-Driven Analysis and Simulation of Coal Mining)
Show Figures

Figure 1

27 pages, 11022 KB  
Article
Mathematical Modeling of Impurity Diffusion Processes in a Multiphase Randomly Inhomogeneous Body Using Feynman Diagrams
by Petro Pukach, Yurii Chernukha, Olha Chernukha, Yurii Bilushchak and Myroslava Vovk
Symmetry 2025, 17(6), 920; https://doi.org/10.3390/sym17060920 - 10 Jun 2025
Cited by 1 | Viewed by 608
Abstract
Modeling of impurity diffusion processes in a multiphase randomly inhomogeneous body is performed using the Feynman diagram technique. The impurity diffusion equations are formulated for each of the phases separately. Their random boundaries are subject to non-ideal contact conditions for concentration. The contact [...] Read more.
Modeling of impurity diffusion processes in a multiphase randomly inhomogeneous body is performed using the Feynman diagram technique. The impurity diffusion equations are formulated for each of the phases separately. Their random boundaries are subject to non-ideal contact conditions for concentration. The contact mass transfer problem is reduced to a partial differential equation describing diffusion in the body as a whole, which accounts for jump discontinuities in the searched function as well as in its derivative at the stochastic interfaces. The obtained problem is transformed into an integro-differential equation involving a random kernel, whose solution is constructed as a Neumann series. Averaging over the ensemble of phase configurations is performed. The Feynman diagram technique is developed to investigate the processes described by parabolic partial differential equations. The mass operator kernel is constructed as a sum of strongly connected diagrams. An integro-differential Dyson equation is obtained for the concentration field. In the Bourret approximation, the Dyson equation is specified for a multiphase randomly inhomogeneous medium with uniform phase distribution. The problem solution, obtained using Feynman diagrams, is compared with the solutions of diffusion problems for a homogeneous layer, one having the coefficients of the base phase and the other having the characteristics averaged over the body volume. Full article
(This article belongs to the Section Mathematics)
Show Figures

Figure 1

16 pages, 649 KB  
Article
Adapted B-Spline Quasi-Interpolation for Approximating Piecewise Smooth Functions
by David Levin and Nira Gruberger
Algorithms 2025, 18(6), 335; https://doi.org/10.3390/a18060335 - 3 Jun 2025
Cited by 1 | Viewed by 947
Abstract
We address the challenge of efficiently approximating piecewise smooth functions, particularly those with jump discontinuities. Given function values on a uniform grid over a domain Ω in Rd, we present a novel B-spline-based approximation framework, using new adaptable quasi-interpolation operators. This [...] Read more.
We address the challenge of efficiently approximating piecewise smooth functions, particularly those with jump discontinuities. Given function values on a uniform grid over a domain Ω in Rd, we present a novel B-spline-based approximation framework, using new adaptable quasi-interpolation operators. This approach integrates discontinuity detection techniques, allowing the quasi-interpolation operator to selectively use points from only one side of a discontinuity in both one- and two-dimensional cases. Among a range of candidate operators, the most suitable quasi-interpolation scheme is chosen to ensure high approximation accuracy and efficiency, while effectively suppressing spurious oscillations in the vicinity of discontinuities. Full article
(This article belongs to the Special Issue Nonsmooth Optimization and Its Applications)
Show Figures

Figure 1

25 pages, 3155 KB  
Article
On the Characteristic Structure of the Adjoint Euler Equations and the Analytic Adjoint Solution of Supersonic Inviscid Flows
by Carlos Lozano and Jorge Ponsin
Aerospace 2025, 12(6), 494; https://doi.org/10.3390/aerospace12060494 - 30 May 2025
Cited by 1 | Viewed by 916
Abstract
The characteristic structure of the two-dimensional adjoint Euler equations is examined. The behavior is similar to that of the original Euler equations, but with the information traveling in the opposite direction. The compatibility conditions obeyed by the adjoint variables along characteristic lines are [...] Read more.
The characteristic structure of the two-dimensional adjoint Euler equations is examined. The behavior is similar to that of the original Euler equations, but with the information traveling in the opposite direction. The compatibility conditions obeyed by the adjoint variables along characteristic lines are derived. It is also shown that adjoint variables can have discontinuities across characteristics, and the corresponding jump conditions are obtained. It is shown how this information can be used to obtain exact predictions for the adjoint variables, particularly for supersonic flows. The approach is illustrated by the analysis of supersonic flow past a double-wedge airfoil, for which an analytic adjoint solution is obtained in the near-wall region. The solution is zero downstream of the airfoil and piecewise constant around it except across the expansion fan, where the adjoint variables change smoothly while remaining constant along each Mach wave within the fan. Full article
Show Figures

Figure 1

32 pages, 612 KB  
Article
Improved Splitting-Integrating Methods for Image Geometric Transformations: Error Analysis and Applications
by Hung-Tsai Huang, Zi-Cai Li, Yimin Wei and Ching Yee Suen
Mathematics 2025, 13(11), 1773; https://doi.org/10.3390/math13111773 - 26 May 2025
Cited by 1 | Viewed by 1160
Abstract
Geometric image transformations are fundamental to image processing, computer vision and graphics, with critical applications to pattern recognition and facial identification. The splitting-integrating method (SIM) is well suited to the inverse transformation T1 of digital images and patterns, but it encounters [...] Read more.
Geometric image transformations are fundamental to image processing, computer vision and graphics, with critical applications to pattern recognition and facial identification. The splitting-integrating method (SIM) is well suited to the inverse transformation T1 of digital images and patterns, but it encounters difficulties in nonlinear solutions for the forward transformation T. We propose improved techniques that entirely bypass nonlinear solutions for T, simplify numerical algorithms and reduce computational costs. Another significant advantage is the greater flexibility for general and complicated transformations T. In this paper, we apply the improved techniques to the harmonic, Poisson and blending models, which transform the original shapes of images and patterns into arbitrary target shapes. These models are, essentially, the Dirichlet boundary value problems of elliptic equations. In this paper, we choose the simple finite difference method (FDM) to seek their approximate transformations. We focus significantly on analyzing errors of image greyness. Under the improved techniques, we derive the greyness errors of images under T. We obtain the optimal convergence rates O(H2)+O(H/N2) for the piecewise bilinear interpolations (μ=1) and smooth images, where H(1) denotes the mesh resolution of an optical scanner, and N is the division number of a pixel split into N2 sub-pixels. Beyond smooth images, we address practical challenges posed by discontinuous images. We also derive the error bounds O(Hβ)+O(Hβ/N2), β(0,1) as μ=1. For piecewise continuous images with interior and exterior greyness jumps, we have O(H)+O(H/N2). Compared with the error analysis in our previous study, where the image greyness is often assumed to be smooth enough, this error analysis is significant for geometric image transformations. Hence, the improved algorithms supported by rigorous error analysis of image greyness may enhance their wide applications in pattern recognition, facial identification and artificial intelligence (AI). Full article
Show Figures

Figure 1

35 pages, 1140 KB  
Article
Drivers’ Welfare and Pollutant Emission Induced by Ride-Hailing Platforms’ Pricing Strategies
by Jiayang Li, Guoyin Zhang and Debing Ni
Sustainability 2025, 17(9), 3896; https://doi.org/10.3390/su17093896 - 25 Apr 2025
Viewed by 1639
Abstract
We build two multiple-stage game-theoretical models to capture how a ride-hailing platform’s ex-ante and ex-post pricing strategies induce show-up drivers’ strategic inter-area relocations. In both models, the platform operates its ride-hailing service in a two-area city, where the realizations of ride-hailing demand and [...] Read more.
We build two multiple-stage game-theoretical models to capture how a ride-hailing platform’s ex-ante and ex-post pricing strategies induce show-up drivers’ strategic inter-area relocations. In both models, the platform operates its ride-hailing service in a two-area city, where the realizations of ride-hailing demand and supply are spatially asynchronous. Based on the subgame perfect equilibria, we show that show-up drivers’ relocation equilibria induced by the platform’s pricing strategy are not unique but that the equilibrium multiplicity does not affect the platform’s profit. Further, we find that the commission rate has non-monotonic discontinuous impacts on the platform’s profitability, drivers’ welfare, and pollutant emission under both pricing strategies. The continuous impact of an increase in the commission rate leads to a win–loss outcome for the platform and drivers without any effect on the environment, while the jumps result in a loss–win–win outcome for the platform, drivers, and the environment. We finally reveal that, relative to the ex-ante pricing strategy, the ex-post pricing strategy always benefits the platform at the cost of environmental pollution and enhances (reduces) drivers’ welfare when the relocation cost is sufficiently low (high). Managerial insights are also discussed. Full article
(This article belongs to the Special Issue Sustainable Transportation Systems Design and Management)
Show Figures

Figure 1

42 pages, 4959 KB  
Article
Fixed Points of Self-Mappings with Jumping Effects: Application to Stability of a Class of Impulsive Dynamic Systems
by Manuel De la Sen, Asier Ibeas, Aitor J. Garrido and Izaskun Garrido
Mathematics 2025, 13(7), 1157; https://doi.org/10.3390/math13071157 - 31 Mar 2025
Cited by 2 | Viewed by 533
Abstract
This paper studies the boundedness and convergence properties of the sequences generated by strict and weak contractions in metric spaces, as well as their fixed points, in the event that finite jumps can take place from the left to the right limits of [...] Read more.
This paper studies the boundedness and convergence properties of the sequences generated by strict and weak contractions in metric spaces, as well as their fixed points, in the event that finite jumps can take place from the left to the right limits of the successive values of the generated sequences. An application is devoted to the stabilization and the asymptotic stabilization of impulsive linear time-varying dynamic systems of the n-th order. The impulses are formalized based on the theory of Dirac distributions. Several results are stated and proved, namely, (a) for the case when the time derivative of the differential system is impulsive at isolated time instants; (b) for the case when the matrix function of dynamics is almost everywhere differentiable with impulsive effects at isolated time instants; and (c) for the case of combinations of the two above effects, which can either jointly take place at the same time instants or at distinct time instants. In the first case, finite discontinuities of the first order in the solution are generated; that is, equivalently, finite jumps take place between the corresponding left and right limits of the solution at the impulsive time instants. The second case generates, equivalently, finite jumps in the first derivative of the solution with respect to time from their left to their right limits at the corresponding impulsive time instants. Finally, the third case exhibits both of the above effects in a combined way. Full article
(This article belongs to the Special Issue Fixed Point, Optimization, and Applications: 3rd Edition)
Show Figures

Figure 1

Back to TopTop