Next Article in Journal
The Itinerary of the N-Type Map and Its Application
Next Article in Special Issue
Existence of Solution to Nonlinear Third-Order Differential Equation and Iterative Method Utilization via Graph-Based Contraction
Previous Article in Journal
GWO-FNN: Fuzzy Neural Network Optimized via Grey Wolf Optimization
Previous Article in Special Issue
An Efficient Iterative Scheme for Approximating the Fixed Point of a Function Endowed with Condition (Bγ,μ) Applied for Solving Infectious Disease Models
 
 
Font Type:
Arial Georgia Verdana
Font Size:
Aa Aa Aa
Line Spacing:
Column Width:
Background:
Article

Fixed Points of Self-Mappings with Jumping Effects: Application to Stability of a Class of Impulsive Dynamic Systems

by
Manuel De la Sen
1,*,
Asier Ibeas
2,
Aitor J. Garrido
3 and
Izaskun Garrido
3
1
Automatic Control Group–ACG, Institute of Research and Development of Processes, Department of Electricity and Electronics, Faculty of Science and Technology, University of the Basque Country (UPV/EHU), 48940 Leioa, Spain
2
Department of Telecommunications and Systems Engineering, Universitat Autònoma de Barcelona, UAB, 08193 Barcelona, Spain
3
Automatic Control Group–ACG, Institute of Research and Development of Processes, Department of Automatic Control and Systems Engineering, Faculty of Engineering of Bilbao, Institute of Research and Development of Processes–IIDP, University of the Basque Country (UPV/EHU), 48013 Bilbao, Spain
*
Author to whom correspondence should be addressed.
Mathematics 2025, 13(7), 1157; https://doi.org/10.3390/math13071157
Submission received: 4 March 2025 / Revised: 27 March 2025 / Accepted: 28 March 2025 / Published: 31 March 2025
(This article belongs to the Special Issue Fixed Point, Optimization, and Applications: 3rd Edition)

Abstract

This paper studies the boundedness and convergence properties of the sequences generated by strict and weak contractions in metric spaces, as well as their fixed points, in the event that finite jumps can take place from the left to the right limits of the successive values of the generated sequences. An application is devoted to the stabilization and the asymptotic stabilization of impulsive linear time-varying dynamic systems of the n-th order. The impulses are formalized based on the theory of Dirac distributions. Several results are stated and proved, namely, (a) for the case when the time derivative of the differential system is impulsive at isolated time instants; (b) for the case when the matrix function of dynamics is almost everywhere differentiable with impulsive effects at isolated time instants; and (c) for the case of combinations of the two above effects, which can either jointly take place at the same time instants or at distinct time instants. In the first case, finite discontinuities of the first order in the solution are generated; that is, equivalently, finite jumps take place between the corresponding left and right limits of the solution at the impulsive time instants. The second case generates, equivalently, finite jumps in the first derivative of the solution with respect to time from their left to their right limits at the corresponding impulsive time instants. Finally, the third case exhibits both of the above effects in a combined way.

1. Introduction

Impulsive dynamic systems play an important role in some theoretical and applied problems in the field of dynamic systems and the stabilization of control systems. Basically, impulses at certain time instants in a control law cause the solution trajectory to have finite jumps as a result, or equivalently, such a solution is piecewise continuous with discontinuities of the first kind. By appropriately monitoring the sizes and the signs of the impulses and their distribution through time, impulsive control becomes a useful tool for closed-loop stabilization either when combined with regular control designs or by injecting the necessary impulses as the only stabilizing actions. The control impulses might also be generated using feedback on the trajectory solution. In that context, impulsive control has often been used for the stabilization of time-delay systems. The related background literature is abundant. See, for instance, [1,2,3,4,5], concerned with the impulsive stabilization of time-delay systems and some of the references therein as a reference sample of such a bibliography.
On the other hand, it is well-known that fixed point theory has been, and continues to be, widely used in the study of dynamic systems due to its applicability in analyzing the boundedness and convergence of sequences generated by various types of mappings, which play a fundamental role in the stability analysis of such systems. Very often, it is rigorously feasible to identify possible fixed points of the map, which generates the solution trajectory of a dynamic system from the initial conditions with the equilibrium points of such a system. As a direct result, eventual boundedness and/or convergence of the sequences generated by such a mapping to the fixed point is a useful suitable property to elucidate the dynamic system’s stability and asymptotic stability.
The related background literature is very exhaustive. We now mention some of it for the different kinds of contractions. For instance, the so-called weak contractive mappings in metric spaces do not ensure the existence of fixed points, but in the case they exist, they are unique. See, for instance, [6,7,8,9] and the references therein. The celebrated so-called (strict) contractions guarantee the existence of a unique fixed point and the convergence of all sequences to it if the considered metric space is complete. See, for instance, [8,9,10,11,12] and some of the references therein. Non-expansive mappings are useful to investigate, in general, the boundedness of sequences without paying special attention to convergence [8,13]. It can be recalled that strict contractions are also weak contractions and that weak contractions are also non-expansive mappings so any result valid for the latter also applies to the former.
There are also other types of more general contractions like, for instance, quasi-contractions [14] or those associated with the so-called controlled metric spaces, which basically admit weighting functions in the configuration of their associated triangle inequality [15,16]. Moreover, the so-called pseudocontractive mappings are formulated in Banach spaces, and they are more general than non-expansive mappings, while they are closely linked to accretive mappings [8,17]. The triangle inequality is sometimes generalized to the involvement of an extended version of its standard form, which consists of allowing a correcting scalar number that can exceed unity. The associated metric spaces are referred to as b-metric spaces [18].
It can also be pointed out that fixed point theory has also been extended to “ad hoc” versions related to fractional differential equations, with the subsequent investigation of the existence of fixed points and the boundedness and convergence of the generated sequences. See, for instance, [19,20] and some of the references therein. The generalized contractions [21] and the so-called large contractions (see, for instance, [22,23,24,25,26,27]) are of interest because they conform to a special case of weak contractions. Specifically, when the self-mappings generate distances that exceed a prescribed threshold, these large contractions become strict contractions. There are also weaker extended versions available in the background literature which, for distances exceeding such a prescribed threshold, the “extended large contractive” self-mapping is dominated by a c-comparison function [28] rather than being a (strict) contraction. We pay some attention in this paper to mappings under weaker conditions compared to large contractions. For example, when distances exceed a maximum prescribed threshold, they are strict contractions, while for smaller distances, special constraints are not involved. This philosophy does not guarantee the existence of fixed points, but it guarantees the avoidance of large unsuitable distances between consecutive points of the generated sequences through the self-mapping in the metric space. In the event that there is a fixed point, then these mappings, when associated with a state trajectory solution of a differential system, guarantee global stability (that is, the global boundedness of the solution for any finite initial condition). In general, they do not guarantee global asymptotic stability, that is, the global boundedness for any finite initial condition, with the additional property of the convergence of sequences to the fixed point.
The main idea behind the stabilization of dynamic systems under the above design philosophy is to dynamically generate jumps in the self-mapping that generate the solution to reduce the potential large inconvenient distances at the next stages of the generated sequences. It can be noticed that jumps in the solution, which make it piecewise continuous rather than continuous are associated with impulsive actions in its derivative with respect to time. In the context of dynamic systems, the transients can become improved using non-periodic or adaptive sampling, which adapts itself to the signal transients. In this framework, each sampling action serves to capture the value of the signal at a particular moment, allowing for an adaptive discrete version of the dynamic system. As a result, the overshoot peaks become reduced. See [29,30,31] and some of the references therein. Such a property can be reasonably linked to the idea that the above-mentioned jumps should typically be distributed through time in a non-uniform way rather than periodically.
In addition, the stability properties of linear time-varying dynamic systems have been investigated exhaustively in the background literature. See, for instance, [32,33,34] and some of the references therein, while the modeling aspects of differential systems, including the boundedness properties of the solutions and their related stability and convergence properties, can be found in [35,36,37,38,39] and the references therein. Some known technical issues on the equivalences of norms are invoked in some mathematical proofs [40]. It can be pointed out that fixed points are also relevant in certain algebraic and geometric studies. See, for instance, [41,42,43,44]. In particular, in [41], two theorems are formulated that address the fixed points of automorphisms on the moduli space of the principal bundles on algebraic curves. Also, in [44], Higgs pairs with group E6 are studied, and the fixed points of the sigma action are calculated.
The rest of the paper organizes its contribution as follows:
Section 2 formalizes some relevant properties of the boundedness of distances and that of their associated sequences and the related convergence properties of the introduced, so-called jumping self-mappings under given conditions. Such self-mappings have the characteristics that, at certain points of their domain, they can exhibit a finite jump between its left and right limits. In particular, conditions are given for such mappings to become contractions, weak contractions, or sub-contractions or bounded through the adequate distribution and size of the jumps. Also, the relevant properties of interest concerning the boundedness of distances between sequences and that of the generated sequences, as well as their related convergence and Cauchyness issues, are established and proved.
Section 3 focuses on the stabilization of a class of linear time-varying systems subject to impulsive actions. Two types of impulses might be allowed, namely, impulses in the derivative with respect to time of the system state and impulses in the matrix function of dynamics. These impulses can take place either separately or in a mixed way at the same or different time instants. The first type of impulse causes finite jumps in the solution trajectory at the impulsive time instants. The second kind of impulse generates finite jumps in the matrix of dynamics. Impulses are seen to be useful in the stabilization process via judicious choices of the time instants where impulses are generated at the entries of the matrix functions of impulsive gains. Also, the first mentioned type of impulses on the state first derivative with respect to time can be used to stabilize a system with several configurations (that is, with different alternative matrices of dynamics) using impulses to commute from one configuration to another one when the state exceeds a given, supposedly large, threshold. It is needed that at least one of the configurations be stable for global asymptotic stabilization and that this configuration be active along time intervals exceeding a minimum threshold. It can be pointed out that the above-mentioned second kind of impulse of the time derivative of the matrix of dynamics causes finite jumps in the first time derivative with respect to the time of the solution trajectory, which is then a piecewise continuous function under discontinuities of the first kind. The mathematical characterization of the impulses is addressed through the involvement of Dirac-type distributions in the system matrix. In the impulsive case, the evolution operator is seen to be, in general, non-unique. The formal study of the stabilization processes is included in the general formalism of Section 2 on jumping self-mappings.
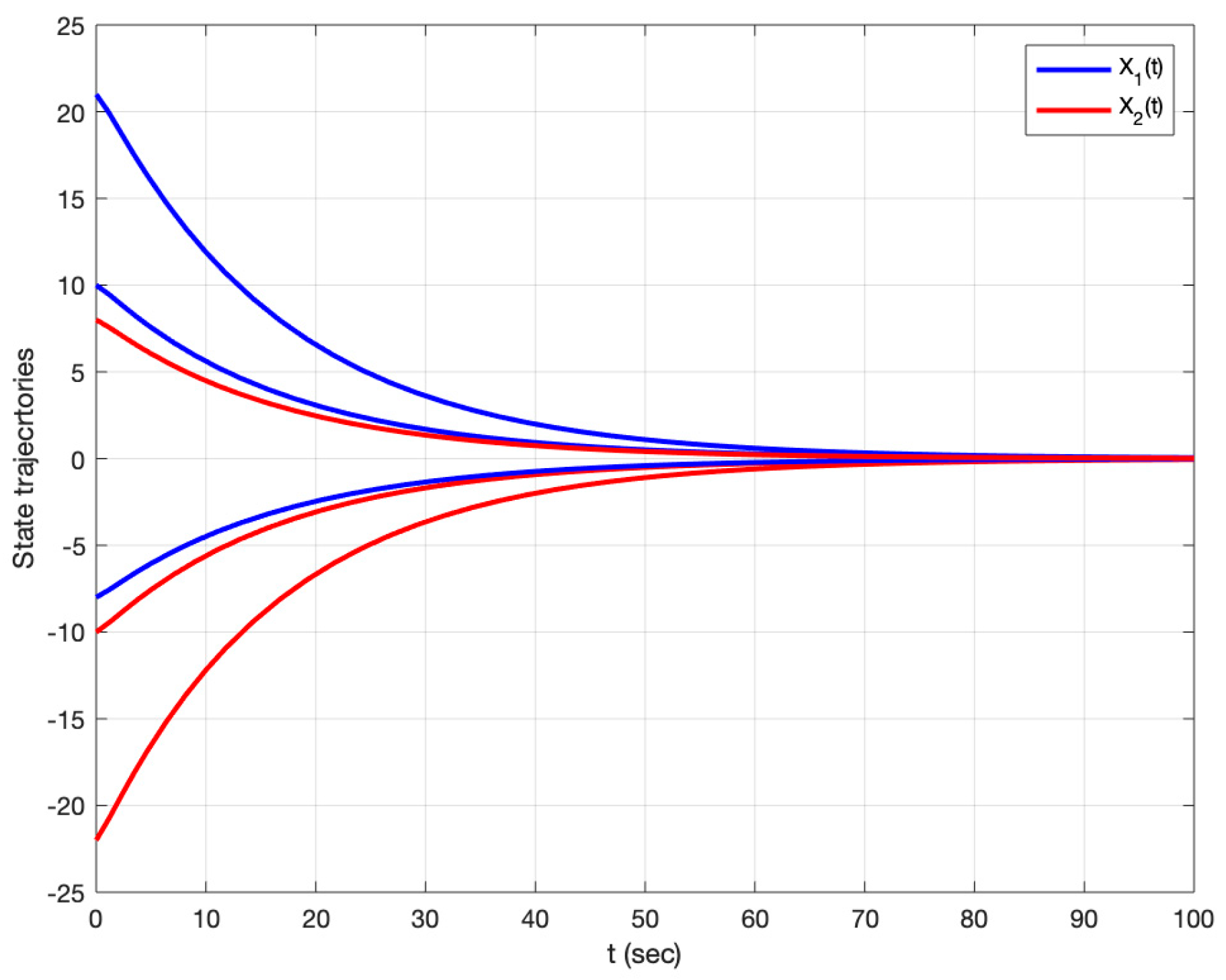
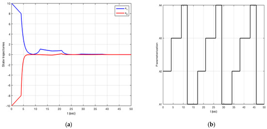
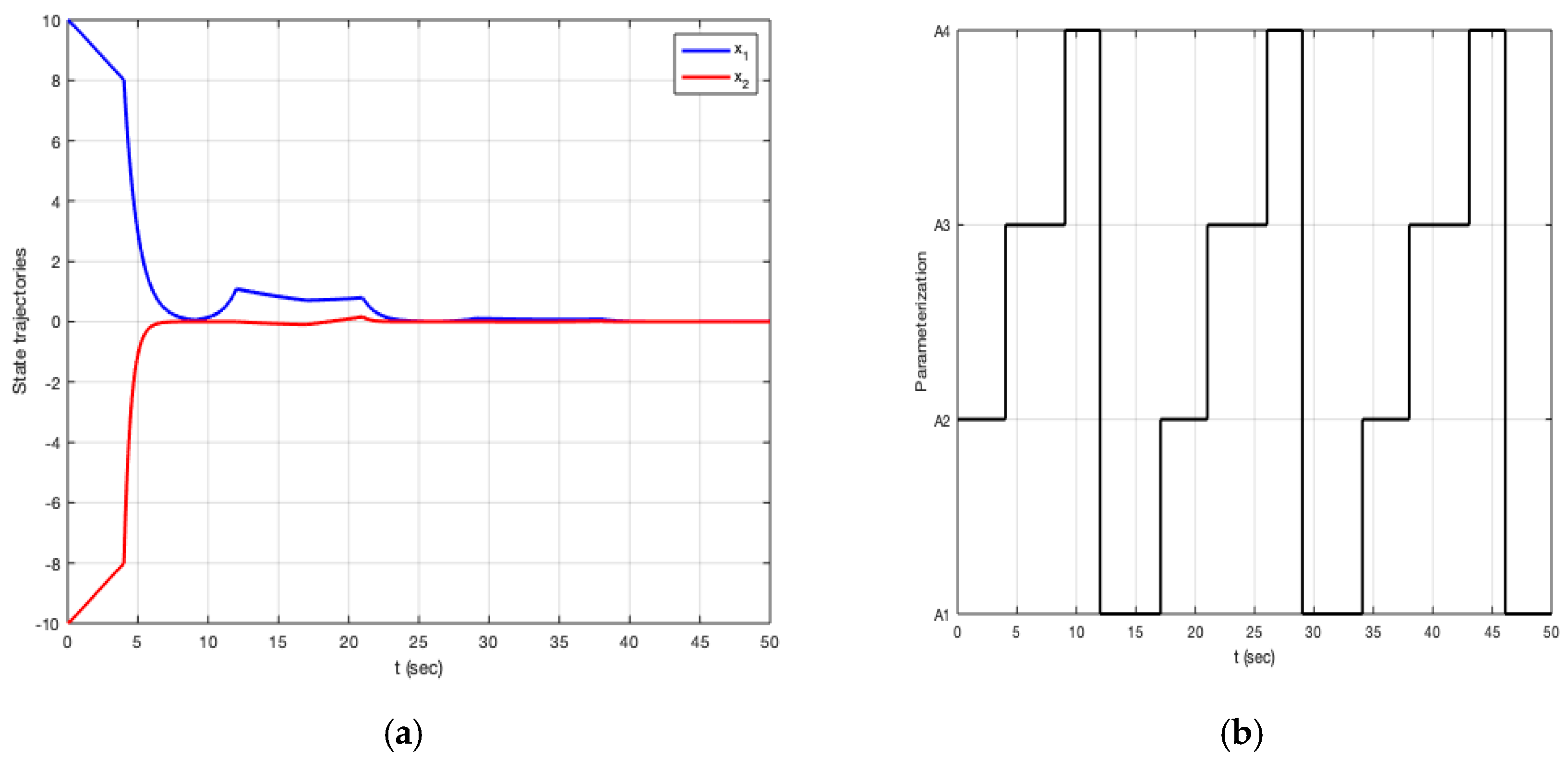
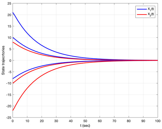
Section 4 discusses some illustrative examples that incorporate numerical simulations. Finally, some conclusions end the paper.

Nomenclature

p ¯ = 1 , 2 , , p ;
I n is the n-th identity matrix;
0 n is the n-th zero matrix;
R 0 + = R + 0 = r R : r 0 ; R + = r R : r > 0 ;
R 0 = R 0 = r R : r 0 ; R = r R : r < 0 ;
where R is the set of real numbers.
In the same way, we can define “mutatis-mutandis” as the respective subsets Z 0 + , Z + , Z 0 , and Z of the set Z of integer numbers.
An impulsive real function f : R 0 + R is that which has a nonzero set of Dirac distribution-type impulses K δ τ t i on a finite set of impulsive points τ = t i , such that there is an impulsive jump f t i + f t i = K t i δ 0 at t = t i of size K t i 0 R . The same idea applies for a vector function f : R 0 + R n in the sense that t = t i R 0 + is impulsive if there is at least a component j n ¯ of f t i , such that f j t i + f j t i = K j t i δ 0 with K j t i 0 . Thus, t i is an impulsive point of f t if f t i + f t i = K 1 t i δ 0 , K 2 t i δ 0 , , K 2 t i δ 0 T is nonzero, that is, if there is at least one nonzero K j t i for j n ¯ . An abbreviated notation for this is f t i + f t i = K j t i δ 0 . Again, a generalization for real matrix functions F : R 0 + R n × n is direct in the sense that t k is an impulsive point of F t = F i j t if F t k F t k = K i j t k δ 0 with at least one entry of K t k = K i j t k being nonzero. Note that if t is non-impulsive, then the impulsive jump amplitude is null. To keep the notation less involved, the right limit t + of t is simply denoted by t so that F t stands as notation for F t + .
χ 0 denotes the infinity cardinal of a numerable set.
The entry-to-entry definition of the matrix K R n × m is denoted by K = K i j ; i n ¯ , j m ¯ .
c a r d S χ 0 denotes the (finite or infinity) cardinal of a countable set S . If such a cardinal is finite then c a r d S < χ 0 . If the cardinal is (denumerable) infinity, then c a r d S = χ 0 .
The acronym “iff” is the equivalent usual abbreviation of the claim “if and only if”.
If P ¯ 0 R n × n is symmetric, then λ m a x P = P 2 and λ m i n P are the maximum and minimum eigenvalues of P . If, in addition, P 0 , then λ m a x P = λ m i n 1 P 1 > 0 and λ m i n P = λ m a x 1 P 1 > 0 .
P ¯ P ¯ for P , P ¯ ¯ 0 (positive semidefinite real n-matrices) means that P ¯ P ¯ 0 , i.e., P ¯ P is positive semidefinite, and P , P ¯ 0 (positive definite matrices) means that P ¯ P 0 , i.e., P ¯ P is positive definite.

2. Main Results on Distances, Boundedness, and Convergence for Jumping Self-Mappings

This section relies on the main concepts and some mathematical results of the jumping self-mappings in metric spaces to be studied and the relevant related properties of boundedness and convergence under contractive conditions.
The self-mapping T : X X is being considered on a metric space X , d which is defined by the composition of two piecewise continuous self-mappings T , T + : X X , defined on the same metric space X , d by z = T x = T x , z z + = T + z = T + T x = T x for any x X , and T is the composed self-mapping T = T + T on X. The notation T x for z = T x is useful to intuitively design the left limit of the point whose right limit is z = T x . Note that if z = T x = z = T x , that is, there is not a finite jump of T in x , then T + is the identity, and T = T is continuous in x . In the same way, one may define the composed self-mapping T I = T T + on X , such that x = T + x , z = T x = T T + x = T I x . Note from the above considerations that, even if T , T + : X X have finite jump discontinuities, T , T I : X X can be continuous.
The metric d : X × X R 0 + satisfies the following constraints for any x , y , x , y X :
d T + x , T + y K 1 x , y d x , y
where K 1 : X × X R 0 + is a bounded continuous function. Note from the triangle inequality that
d T x , T y d T x , T x + d T x , T y + d T y , T y
and assume that d T y , T y and d T x , T x satisfy the subsequent constraints:
τ 1 y , y + d T y , T y K 1 x , y d x , y
τ 2 x , x + d T x , T x K 1 x , y d x , y
where
τ 1 y , y = λ 1 y , y d x , y d T y , T y , K 1 x   , y d x , y
α 1 T x , T y d T x   ,   T y   ,   β 1 x , y K 1 x , y d x , y
τ 2 x , x = λ 2 x , x d x , y d T x   ,   T x   ,   K 1 x   , y d x , y
α 2 T x , T y d T x   ,   T y   ,   β 2 x , y K 1 x , y d x , y
if d x , y 0 under the constraints:
0 α 1 T x , T y + α 2 T x , T y 1 ; 0 β 1 x , y + β 2 x , y 1
if d x , y 0 and τ 1 x , y = τ 2 x , y = 0 if d x , y = 0 , where the functions α i . , . and β i . , . are control functions that modulate the allowed tolerances to jumps from the left to right limits when generating the sequences through the mapping T , and
λ 1 y , y d T y   ,   T y d x ,   y   ,     β 1 x , y K 1 x   , y α 1 T x , T y d T x   ,   T y d x , y , β 1 x , y K 1 x , y
if d x , y 0
λ 2 x , x d T x   ,   T x d x ,   y   ,     β 2 x , y K 1 x   , y α 2 T x , T y d T x   ,   T y d x , y , β 2 x , y K 1 x , y
if d x , y 0 , and λ 1 x , y = λ 2 x , y = 0 if d(x, y) = 0.
Then,
d T x , T y K 1 x , y d x , y τ x , x , y , y = K 1 x , y d x , y τ 1 y , y τ 2 x , x
= K 1 x ,   y λ x   , x ,     y   , y d x , y = K 1 x ,   y λ 1 y ,   y λ 2 x   , x d x , y
where
τ x , x , y , y = τ 1 y , y + τ 2 x , x
λ x , x , y , y = λ 1 y , y + λ 2 x , x d T x   ,   T y d x , y , K 1 x , y if   d x , y 0
λ x , x , y , y = 0 τ x , x , y , y = 0 if   d x , y = 0
Remark 1.
Note that  τ 1 y , y , λ 1 y , y , τ 2 x , x , λ 2 x , x , τ x , x , y , y  and  λ x , x , y , y  can be negative, zero, or positive according to the above constraints.
Define  K : X × X R 0 +  by
K x , x , y , y = K 1 x , y λ x , x , y , y = K 1 x , y λ 1 y , y λ 2 x , x
Theorem 1.
Assume that  T : X X  is a self-mapping on  X , which satisfies (1)–(14), and that the function  K : X × X R 0 + , defined by
K x , x , y , y = K 1 x , y λ 1 y , y λ 2 x , x = K 1 x , y λ x , x , y , y
is piecewise continuous bounded on  X × X . Then, the following properties hold:
(i)
If (X, d) is complete and  K x , x , y , y 0 , K ¯  for all  x , y X  and some real constant K ¯ 0 , 1 , then  T : X X  is a (strict) contraction, and it has a unique fixed point in  X  to which all sequences in  X , which are Cauchy (then convergent and bounded), converge;
(ii)
If  K x , x , y , y 0 , 1  for all  x , y X , such that  x y , then  T : X X  is a weak contraction, and it has a unique fixed point in  X  if (X, d) is compact, that is, complete and totally bounded. All sequences in  X  are Cauchy and converge to the fixed point;
(iii)
If  K x , x , y , y 0 , 1  for all  x , y X  and  K x , x , T x , T x 0 , 1  for all  x X , such that  T x x , then  T : X X  is a sub-contraction, and it has (at least) a fixed point in  X  if (X, d) is compact. All sequences in  X  are bounded and Cauchy and converge to one of the fixed points;
(iv)
The self-mappings  T   ,     T + : X X  are continuous at the fixed points  z  of  T : X X , that is,  z = z = T z = T z ,  z = T + z = T + z = T + T z = T z , in the three above properties.
Proof. 
It is obvious that if K x , x , y , y 0 , K ¯ 0 , 1 for all x , y X in (15) then, for all n Z + ,
d T n x , T n y K ¯ n d x , y
so that d T n x   ,   T n y n = 0 0 . Furthermore,
n = 0 d T n + 1 x , T n x n = 0 K ¯ n d x , T x = 1 1 K ¯ d x , T x < +
which implies that d T n + 1 x , T n x 0 as n , and one obtains:
j = 0 n d T j + 1 x , T j x j = 0 n K ¯ n d x , T x = 1 K ¯ n + 1 1 K ¯ d x , T x 1 1 K ¯ d x , T x < +
n = 0 d T n + 1 x , x n = 0 d T n + 1 x , T n x + d x , T n x
j = 0 n d T j + 1 x , x j = 0 n d T j + 1 x , T n x +   d x , T j x
so that
j = 0 n d T j + 1 x , x d x , T n x = d T n + 1 x , x d x , T x j = 0 n d T j + 1 x , T j x 1 K ¯ n + 1 1 K ¯ d x , T x
j = 0 d T n + 1 x , x d x , T n x = lim n d T n x   , x d x   , T x n = 0 d T n + 1 x , T n x < +
so that d T n + 1 x , x 2 K ¯ 1 + K ¯ n 1 K ¯ d x , T x , then T n x n = 0 is bounded for any x X , and there exists l i m n d T n x , x 2 K ¯ 1 K ¯ d x , T x . Since T : X X is continuous and it is Lipschitz with constant K ¯ , then l i m n d T n x , x = d l i m n T n x , x so that T n x n = 0 is convergent (and then Cauchy) to some z X since X , d is complete.
On the other hand,
m = 0 q d T n + m x , T n + m y m = 0 q K ¯ n + m d T n x , T n y = K ¯ n 1 K ¯ q + 1 1 K ¯ d T n x , T n y
so that m = 0 q d T n + m x , T n + m y n = 0 0 for any given q Z 0 + , and lim n , q m = 0 q d T n + m x , T n + m y = 0 .
Taking y = T x , it follows from the above results that:
lim n , q m = 0 q d T n + m x , T n + m + 1 x = l i m n m = 0 q < d T n + m x , T n + m + 1 x = l i m n d T n x , T n + 1 x = 0
Since K x , y 0 , K ¯ for all x , y X , it follows that T : X X is continuous, and the limit and distance can be interchanged. Then,
m = 0 d lim n T n + m x , T l i m n , T n + m x = l i m n m = 0 q d l i m n T n + m x , T l i m n T n + m x = d lim n T n x , T lim n T n x = 0 .
Then, T n x n = 0 is a Cauchy sequence, and since X , d is complete, then T n x n = 0 is bounded, T n x n = 0 z x X , and T n + 1 x n = 0 T z x = z x so that z x is a fixed point. Since d T n x , T n y d z x   ,   z y = 0 as n , where T n + 1 x n = 0 T z x = z x and T n + 1 y n = 0 T z y = z y for all x , y X , it follows that z = z x = z y so that the fixed point of T : X X is unique, and all the sequences T n x n = 0 converge to it for any x X . Property (i) has been proved.
To prove property (ii), note that if K x , x , y , y 0 , 1 for all x , y X if x y , then d T x , T y < d x , y if x y . Thus, take x X . If T n x T n + 1 x for all n Z 0 + , then any distance sequence d T n x   , T n + 1 x n = 0 converges so that d T n x   , T n + 1 x n = 0 ε x 0 . The following cases are considered:
Case a: T n x T n + 1 x for all n Z 0 + and ε x = 0 so that d T n x   , T n + 1 x n = 0 0 . Since X is totally bounded, T n x n = 0 is bounded, and it as a Cauchy, and then convergent, subsequence T n k x k = 0 z x , with z x X since X , d is compact. Furthermore, since d T n k x , T n k + 1 x 0 , d T n k x , z x 0 as k and d T n k + 1 x , z x d T n k x , z x + d T n k x , T n k + 1 x , then d T n k + 1 x , z x 0 as k so that z x T n k + 1 x k = 0 = T T n k x k = 0 T z x . Thus, z x is a fixed point of T : X X in X since X , d is complete. Assume that there is some y x X , such that T n k y k = 0 z y = T z y and z y z x . Then, d z x , z y > 0 so that 0 < d z x , z y = d T z x , T z y < d z x , z y , a contradiction so that z = z y = z x , and the fixed point z of T : X X in X is unique. Furthermore, one obtains for the whole sequence T n k x n = 0 T n x n = 0 that lim sup n d T n x , z lim n , k d T n x , T n k x + lim n z , T n k x = 0 , and then all T n x n = 0 z ; that is, all the whole sequences also converge to the fixed point.
Case b: T n x T n + 1 x for all n Z 0 + and ε x > 0 so that T n x n = 0 + with d T n x   , T n + 1 x n = 0 ε x > 0 . Thus, X , d is not totally bounded, contradicting the hypotheses. Thus, Case b is not possible.
Case c: T n x T n + 1 x for all n Z 0 + and ε x > 0 so that the sequence T n x n = 0 is bounded with d T n x   , T n + 1 x n = 0 ε x > 0 . Two sub-cases were evaluated: (1) T n x n = 0 does not converge. This is impossible since from the weak contraction property, ε x = 0 . Concerning (2), T 2 n x n = 0 and T 2 n + 1 x n = 0 converge to distinct limits x e , x o x e X . Then
d T 2 n x , T 2 n + 1 x d T 2 n x , x e + d x o , T 2 n + 1 x + d x e , x o
which implies that
lim n d T 2 n x   , T 2 n + 1 x d x e   ,   x o lim n d T 2 n x , x e + lim n d x o , T 2 n + 1 x = 0 + 0 = 0
which implies that
ε x = d T x e , T x o = d x e , x o = lim n d T 2 n x , T 2 n + 1 x < d x e x o
which is a contradiction. Thus, Case c is not possible.
Case d: T n 0 x = T n 0 + 1 x for some n 0 Z 0 + , then d T n x , T n + 1 x = 0 for any n n 0 Z 0 + ; thus, Case a applies.
Property (ii) has been proved. The proof of property (iii) is very similar to that of property (ii) and is omitted. Property (iv) follows directly from (3) to (6) from d z , T z = 0 if z = T z , which leads for i = 1 , 2 to
τ i z , z = λ i z , z d ( z , T z ) = 0 τ i z , z + d T z , T z = d T z , T z K 1 z , T z d ( z , T z ) = 0
so that d z , T z = 0 if z = T z implies that d T z , T z = d z , z = 0 ; thus, z = z . □
Remark 2.
Note that since a sub-contraction is not necessarily (strictly or weakly) contractive for all pairs  x , y  in  X  but just non-expansive, then the uniqueness of the fixed point is not ensured even if  X , d  is compact.
Corollary 1.
Assume that in Theorem 1 (i), the condition  K x   , x   , y , y 0 , K ¯  for all  x , y X  is replaced with  j = 0 p 1 K T p n + j x   ,   T p n + j y 0 , K ¯ 0   ,   1  for a given  p Z +  , all  x , y X  and all  n Z 0 + .
Then, the composed self-mapping  T ^ = T p : X X  is a (strict) contraction, and it has a unique fixed point  z  in  X  . The fixed point  z  is also the unique fixed point of  T : X X .
Sketch of Proof.
It is obvious that if j = 0 p 1 K T p n + j x , T p n + j y 0 , K ¯ 0 , 1 for all  x , y X  and any  n Z 0 +  then, for all  n Z + d T n + 1 p x , T n + 1 p y K ¯ d T n p x , T n p y K ¯ n d x , y . Define  T ^ : X X  as the composed map of  T : X X   p  times on itself, that is,  T ^ = T p . Then, the above contractive condition is fully equivalent to
d T ^ n + 1 x , T ^ n + 1 y K ¯ d T ^ n x , T ^ n y K ¯ n d x , y
which plays the role of (16) in the proof of Theorem 1 (i) after replacing T by T ^ . Note that if z T z then
0 < d z , T z = d T p + 1 z , T p z K ¯ p d z , T z < d z , T z
which is a contradiction so that z = T z is a fixed point of T : X X . Assume that there are two distinct fixed points z and ω . Then, 0 < d z , ω = d T z , T ω K ¯ d z , ω < d z , ω , which is a contradiction, and then z = ω , and the unique fixed point z of T p : X X is also a unique fixed point of T : X X . □
Theorem 1 (i) can be extended to an asymptotic contraction T : X X as follows:
Corollary 2.
Assume that the contractive hypothesis of Theorem 1 (i) is weakened as follows: K x   , x   , y , y 0 , M  for all  x , y X  and  lim sup n K T T n 1 x , T n x   ,   T T n 1 y ,   T n y K ¯ 0  for all  x , y X  and some real constants  M 0   , +  and  K ¯ 0 , 1 . Then, T : X X  is an asymptotic contraction, and it has a unique fixed point in X .
Proof. 
The inequality (16) of the proof of Theorem 1 is modified as follows for any x , y X :
lim sup n d T n + m x , T n + m y K ¯ m d T n x , T n y 0 ;   m Z 0 +
which leads to
lim m lim sup n d T n + m x , T n + m y K ¯ m d T n x , T n y 0
which implies that d T n x , T n y 0 as n since K ¯ 0 , 1 . In addition, T : X X is still continuous since it is globally Lipschitzian with Lipschitz constant M. Therefore, the proof of Theorem 1 (i) is extendable to this case. □
The following result is immediate from Theorem 1 [(i) and (ii)]:
Corollary 3.
Consider the self-mapping T : X X  of Theorem 1. The following properties hold:
(i)
Assume that  X , d  is complete, that  K x , x , y , y 0 , K ¯  for all  x , y X  and some real constant  K ¯ 0 , 1 , and that the fixed point of the (strict contraction)  T : X X  is  z X  . Then, all sequences  T n x n = 0  for any given  x X  are Cauchy and converge to  z ;
(ii)
Assume that  X , d  is compact and that  K x , x , y , y 0 , 1  for all  x , y X , such that  x y  and that the self-mapping  T : X X  is a weak contraction with a unique fixed point  z X . Thus, all the sequences  T n x n = 0  are Cauchy and converge to  z X . □
The following result relies on the inclusion of T : X X within a special class of weak contractions, [1,2,3,4], which do not require the compactness of X , d but just its completeness to guarantee the existence and the uniqueness of a fixed point.
Corollary 4.
Consider the self-mapping T : X X  of Theorem 1. Let ϕ : R 0 + R 0 +  be a continuous non-decreasing function, such that  ϕ t = 0  iff t = 0 , which satisfies the following constraint for all x , y x X :
ϕ d x , y K 1 x   ,   y 1 λ x   ,   x   , y , y d x , y , d x , y
subject to λ x , x , y , y K 1 x   ,   y 2   , K 1 x   ,   y 1  for all  x , y x X . Assume that (X, d) is complete. Then,  T : X X  is a weak contraction with a unique fixed point  z X . Thus, all the sequences  T n x n = 0  are Cauchy and converge to  z X .
Proof. 
It is direct since K x , x , y , y = K 1 x , y λ x , x , y , y  with the given constraints, it implies that  0 d T x , T y d x , y ϕ x , y < d x , y  if x y . Thus, T : X X  is a type of weak contraction, and it has a unique fixed point if X , d  is complete. □
The following result considers not only the case when the iterations of the self-mapping T : X X are contractive but also that there exists a finite set of consecutive iterations where the mapping may be non-contractive (in particular, even expansive). In this case, one considers that there is another adjacent set where it is contractive with a sufficiently small contractive constant so as to neutralize the potential expansive effect of the former set. The above combination pattern is repeated as the iterations progress, while the sizes of the above respective sets can be, in general, variable. In particular, an appropriate and sufficiently drastic, contractive impulsive action can neutralize potential previous expansive effects. The second part of the result is related to stabilization by testing the values of the distances if they overpass a prescribed bound followed by an impulsive action of sufficient size to avoid unsuitable growing of the distance at the next iteration.
Theorem 2.
Let  T : X X  be a self-mapping on  X , which satisfies (1)–(14), and the function  K : X × X R 0 + , defined in (15), be piecewise continuous bounded on  X × X . Then, the following properties hold:
(i)
Assume that  X , d  is complete and that the subsequent boundedness conditions hold:
( C . 1 )   K T j x   , T j x   ,   T j + 1 x , T j + 1 x K ^ j   0   ,   K ¯   0   ,   1 ; j n k , n ¯ k Z 0 +
( C . 2 )   K T j x , T j x , T j + 1 x , T j + 1 x K ^ j 0 , K ^ ¯ R + ; j n ¯ k , n k + 1 Z 0 +
where  n k + 1 n k , n k + θ Z + ;  n ¯ k n k , n k + 1 Z 0 + ; for all  k Z 0 +  and some  n k Z 0 + ;   n k + 1 > n k   , θ Z + , where  K ¯ 0 , 1  and  K ^ ¯ 0 , + , while the real constants and the real constants  K ^ j  for  j n ¯ k , n k + 1 Z 0 +  are not necessarily less than one.
(C.3)  max k Z 0 + n k + 1 n k θ , that is, the above difference of integers is finite for all  k Z 0 +  (this implies from C.1–C.2 that  max k Z 0 + n ¯ k + 1 n ¯ k θ ¯ ), and, for  k Z + ,
j = n k j = n ¯ k K ^ j   j = n ¯ k 1 + 1 n k 1 K ^ j K ^ < 1 lim k n ¯ k + 1 n ¯ k = q ¯ < +
(C.4) The sequence  T n ¯ k + 1 n ¯ k k = 0  of self-mappings in  X  is pointwise convergent in  X  to the self-mapping  T ¯ : X X , that is,  T n ¯ k + 1 n ¯ k x k = 0 T ¯ x  for all  x X .
Then, the following holds:
(1)
d T n ¯ k + 1 x , T n ¯ k x 0  as  k  for all  x X  and the sequences of distances  d T n ¯ k + 1 x , T n ¯ k x k = 0  are bounded for all  x X . Also,  d T n ¯ k + m x , T n ¯ k x 0  as  k  for all  x X  and  m Z + ;
(2)
k = j n d T n ¯ k + 1 x , T n ¯ k x k = 0 d T n ¯ k + 1 x , T n ¯ k x C x < +  for any  x X  and any integers  n   , j n Z 0 + ;
(3)
The sequences  T n ¯ k x k = 0 T n x n = 0  are bounded and Cauchy, then convergent in  X  for all  x X ;
(4)
d T n + 1 x , T n x 0  as  n  and  d T n + 1 x , T n x k = 0  are bounded for all  x X ,  k = 0 d T n + 1 x , T n x < + , and  T n x k = 0  is bounded;
(5)
Assume pointwise convergence of  T n ¯ k + 1 n ¯ k  to some limit mapping  T ^ : X X , that is,  T n ¯ k + 1 n ¯ k x T ^ x k = 0 = T n ¯ k + 1 x 0 T ^ T n ¯ k x 0 k = 0 0  for  X x = T n k x 0  and all  x 0 X . Then, one obtains:
lim k d T n ¯ k + m n ¯ k x , T ^ x = lim k d T n ¯ k + 1 n ¯ k x , T ^ T n k x 0 = d lim k T n ¯ k + 1 x 0 , lim k T ^ T n k x 0 = d x , T ^ x = 0 ,
and  T ^ : X X  is Lipschitz-continuous.
Then,  T n ¯ k + 1 x T ^ T n ¯ k x 0  and  T n ¯ k + j x T ^ j T n ¯ k x 0  as  k  for any  j 0 , n ¯ k + 1 Z 0 +  for all  x X . Equivalently, for any integer  n n ¯ k , n ¯ k + 1 ,  T n x T ^ j T n ¯ k x 0  as  k  for any  j 0 , n ¯ k + 1 Z 0 + .
(ii)
Assume that  K x   , x   , y , y : K x   , x   , y , y > 1 , take any  x , y X  and given constants  M R + , such that  M M K m 1 M , where  K m = inf x , y X K x   , x   , y , y : K x   , x   , y , y > 1  and assume that  K x , x , y , y 0 , K M  for some finite  K M 1 R  and all  x , y X .
Assume also that, if  d x , y M + M  for some given positive real constants, then one chooses
λ x , x , y , y M / d x , y K 1 x , x , y , y
Thus, for any  n Z + , and all  x , y X , one obtains  d T n x , T n y K M M , and
M + M d T n x , T n y K T n 1 x , T n 1 x , T n 1 y , T n 1 y M d T n + 1 x , T n + 1 y M
Also, all the distance sequences  d T n x   , T n y n = 0  are bounded if  d x , y  is finite. If  z X  is a fixed point of  T : X X , then  d T n x , T n z = d T n x , z K M M , and then  T n x n = 0  is bounded for any  x X .
Proof. 
One obtains:
d T n ¯ k + 1 x , T n ¯ k x K ^ d T n ¯ k x , T n ¯ k 1 x K ^ k d T n ¯ 1 x , T n ¯ 0 x ;   k Z +
Then, since K ^ 0 , 1 , d T n ¯ k + 1 x , T n ¯ k x 0 as k for all x X , and
k = 0 d T n ¯ k + 1 x , T n ¯ k x 1 K ^ 1 d T n ¯ 1 x , T n ¯ 0 x = C x
On the other hand, 0 d T n ¯ k + 1 x , T n ¯ k x d T n ¯ k + 1 x , T n ¯ k + 1 x + d T n ¯ k + 1 x , T n ¯ k x as k for all x X implies that d T n ¯ k + 1 x , T n ¯ k x 0 as k . Proceed by complete induction by assuming that d T n ¯ k + m 1 x , T n ¯ k x 0 and taking into account the already proved result that d T n ¯ k + m x , T n ¯ k + m 1 x 0 as k for a given m Z + and all x X . Then, for all x X ,
0 d T n ¯ k + m x , T n ¯ k x d T n ¯ k + m x , T n ¯ k + m 1 x + d T n ¯ k + m 1 x , T n ¯ k x as   k
And property (i.1) has been fully proved. On the other hand, note that
k = 0 d T n ¯ j + 1 x , x d T n ¯ j x , x = d T n ¯ k + 1 x , x d T n ¯ 0 x , x k = 0 d T n ¯ k x , T n ¯ k + 1 x < +
for any x X so that d T n ¯ k + 1 x , x d T n ¯ 0 x , x + k = 0 d T n ¯ k x , T n ¯ k + 1 x < + , and T n ¯ k x k = 0 is bounded. Furthermore, lim sup k d T n ¯ k T x   ,   x d T n ¯ k x   ,   x lim k d T n ¯ k + 1 x , T n ¯ k x = 0 . Then, either x = T x (i.e., x is a fixed point of T : X X ) so that T n ¯ k x = x and the convergence is directly proved or, since T n ¯ k x k = 0 is bounded, then lim sup k d T n ¯ k T x   ,   x d T n ¯ k x   ,   x = 0 if there exists a finite limit lim k d T n ¯ k T x , x = lim k d T n ¯ k x , x = d lim k T n ¯ k x , x 0 , since T : X X is Lipschitz-continuous in view of (25) and (26), which implies that T n ¯ k x k = 0 is convergent, and then Cauchy, to some z X since X , d is complete.
Alternative Proof of Cauchyness
(by contradiction). Assume that there is some x X , such that T n ¯ k x k = 0 is not Cauchy. Then, for some given ε > 0 , there are some N = N ε Z 0 + and some k N ε , m Z + , such that d T n ¯ k + m x , T n ¯ k x ε > 0 , which contradicts property 1. Then, all the subsequences T n ¯ k x k = 0 are Cauchy sequences convergent in X since X , d is complete. Properties (i.2) and (i.3) have been proved.
To prove property (i.4), note that
d T n ¯ k + 1 + j x , T n ¯ k + l x max 1 , K ^ ¯ j d T n ¯ k + 1 x , T n ¯ k x
for j , l max n ¯ k + 2 n ¯ k + 1 , n ¯ k + 1 n ¯ k Z 0 + , k Z 0 + and, since sup k Z 0 + max n ¯ k + 2 n ¯ k + 1 , n ¯ k + 1 n ¯ k θ ¯ from C.3, then, for all x X ;
d T n ¯ k + 1 + j x , T n ¯ k + j x max 1 , K ^ ¯ θ ¯ d T n ¯ k + 1 x , T n ¯ k x d T n + 1 x , T n x max 1 , K ^ ¯ θ ¯ d T n ¯ k + 1 x , T n ¯ k x
for n n ¯ k , n ¯ k + 1 1 Z 0 + ; k Z 0 + and, as k , n ¯ k , n   n ¯ k , n ¯ k + 1 1 , which implies d T n + 1 x , T n x 0 as n for all x X .
Also,
k = 0 d T n + 1 x , T n x max 1 , K ^ ¯ θ ¯ k = 0 d T n ¯ k + 1 x   ,   T n ¯ k x < +
Then, property (i.4) follows from (34) and (35) and properties (i.1)–(i.3).
To prove property (i.5), note that, since T n ¯ k + 1 n ¯ k x is continuous in view of (27) for X x = T n k x 0 and all x 0 X (so that the operations of limit and distance can be permuted), and, if  n ¯ k k q 0  as  k ,  n ¯ k + 1 n ¯ k q as k , then if n ˜ k = n ¯ k + 1 n ¯ k , where n ˜ k Z 0 + 0 as k , one also obtains
n ¯ k + m n ¯ k = i = 2 m n ¯ k + i n ¯ k + i 1 = n ¯ k + 1 n ¯ k + i = 1 m 1 n ˜ k + i 1 for   m Z 2
Then,
d T n ¯ k + 2 n ¯ k + 1 x , T ^ x d T n ¯ k + 2 n ¯ k + 1 x , T n ¯ k + 1 n ¯ k x + d T n ¯ k + 1 n ¯ k x , T ^ x d T n ¯ k + 1 n ¯ k + n ˜ k x , T n ¯ k + 1 n ¯ k x + d T n ¯ k + 1 n ¯ k x , T ^ x = d T n ¯ k + 1 n ¯ k T n ˜ k x , T n ¯ k + 1 n ¯ k x + d T n ¯ k + 1 n ¯ k x , T ^ x
so that
lim k d T n ¯ k + 2 n ¯ k + 1 x , T ^ x lim k d T n ¯ k + 1 n ¯ k T n ˜ k x , T n ¯ k + 1 n ¯ k x + lim k d T n ¯ k + 1 n ¯ k x , T ^ x = lim k d T n ¯ k + 1 n ¯ k T 0 x , T n ¯ k + 1 n ¯ k x + lim k d T n ¯ k + 1 n ¯ k x , T ^ x = d lim k T n ¯ k + 1 n ¯ k x , lim k T n ¯ k + 1 n ¯ k x + d lim k T n ¯ k + 1 n ¯ k x , T ^ x = d T ^ x , T ^ x + d T ^ x , T ^ x = 0
and
lim k d T n ¯ k + m n ¯ k x , T ^ x lim k i = 1 m 1 d T n ¯ k + i + 1 n ¯ k + i x , T n ¯ k + i n ¯ k + i 1 x + lim k d T n ¯ k + 1 n ¯ k x , T ^ x = i = 1 m 1 d lim k T n ¯ k + i + 1 n ¯ k + i x , lim k T n ¯ k + i n ¯ k + i 1 x + d lim k T n ¯ k + 1 n ¯ k x , T ^ x = i = 1 m 1 d lim k T n ¯ k + 1 n ¯ k T n ˜ k + i 1 x , lim k T n ¯ k + 1 n ¯ k T n ˜ k + i 2 x + d lim k T n ¯ k + 1 n ¯ k x , T ^ x = m . d lim k T n ¯ k + 1 n ¯ k T 0 x , lim k T n ¯ k + 1 n ¯ k T 0 x + d lim k T n ¯ k + 1 n ¯ k x , T ^ x = m . d lim k T n ¯ k + 1 n ¯ k x , lim k T n ¯ k + 1 n ¯ k x + d lim k T n ¯ k + 1 n ¯ k x , T ^ x = m . d T ^ x , T ^ x + d T ^ x , T ^ x = 0
On the other hand, from (28) and since T n ¯ k x k = 0 T n x n = 0 is Cauchy and then convergent, one obtains:
lim k d T n ¯ k + m n ¯ k x , T ^ x = lim k d T n ¯ k + 1 n ¯ k x , T ^ x = d x , T ^ x = d lim k T n ¯ k + 1 x 0 , T ^ lim k T n k x 0 = d x , T ^ x = 0
so that x = T ^ x = lim k T n ¯ k x 0 , for any x 0 X , is a fixed point of T ^ : X X . Assume that T ^ : X X has another fixed point z . Thus, one obtains the subsequent contradiction if z x :
0 = d T ^ z , z = d T ^ z , T ^ x + d T ^ x , z = d z , x + d T ^ x , z d z , x > 0
so that x is the unique fixed point of T ^ : X X and independent of the initial x 0 X . Property (i.5) has been proved. To prove property (ii), note from (15) that
d T x , T y K x , x , y , y d x , y
with
K x , x , y , y = K 1 x , x , y , y + λ x , x , y , y
and then d T x , T y M if d x , y M + M , and
λ x , x , y , y M / d x , y K 1 x , x , y , y
Thus, (30) holds and d T n x , T n y M for any x , y X and any n Z + . If z X is a fixed point of T : X X , and since M + M M + K m 1 M = K m M K M M , then
d T n x , T n z = d T n x , z K M M for any x X and any n Z + . Thus, T n x n = 0 is bounded since T : X X is Lipschitz-continuous so that
lim sup n d T n x , T n z = lim sup n d T n x , z = d lim sup n T n x , z K M M
Note that Theorem 2 (ii) guarantees the distances boundedness along the iteration procedure that generates the sequences using the appropriate impulses if the new distance exceeds an amount in order to reduce it at the next step while keeping it under the prefixed upper-bound M .
Corollary 5 below extends Theorem 2 (ii) by allowing the distance to grow over several consecutive steps of the iteration before performing the large distance text for distance reduction. Furthermore, the violation of the lower-bound distance M + M before applying the reduction might be optionally allowed on a finite number of (step-dependent) iteration steps. The proof of Corollary 5 is very close to that of Theorem 2 (ii), and it is omitted.
Corollary 5.
Assume that in Theorem 2 (ii) the large distance text for distance reduction is performed after several consecutive iteration steps d T k x   , T k y M + M  for k n + 1 , n + r n Z + and some r n = r n Z + for each any n Z 0 + , then the constraint (29) is applied while the remaining constraints of Theorem 2 (ii) are kept.
Thus, for any n Z + , and all x , y X , one obtains d T n x   , T n y K M M , and
d T n + j x , T n + j y max 0 j r n 1 K r n T n + j 1 x , T n + j 1 x , T n + j 1 y , T n + j 1 y M d T n + r n x , T n + r n y M
so that all the distance sequences  d T n x , T n y n = 0  are bounded if  d x , y  is finite. If  z X  is a fixed point of  T : X X  then  d T n x , T n z = d T n x , z K M M , and then  T n x n = 0  is bounded for any  x X . □
Remark 3.
(1) Note that Theorem 2 (i) covers the particular cases when all iterations are contractive, with identical different contractive constants, by fixing n ¯ k = n k = k  for all k Z 0 + . ;
(2) Note that the proof of Theorem 2 can be re-arranged dually, with the necessary direct “ad hoc changes” by considering the compositions of the mapping T : X X on the subsequences   n k k = 0 instead of on the subsequences   n ¯ k k = 0 ;
(3) Note that in view of (25) and (26), the compositions of the mapping T : X X on itself are not commutative, in general, but this fact is not relevant for the validity of the results and proof.
Note that the sequence T n k + 1 n k k = 0 of self-mappings in X is pointwise convergent in X to the composed self-mapping T q : X X   q times on itself of T : X X , that is, T n k + 1 n k x k = 0 T q x ; for all, x X if n k + 1 n k k = 0 q .
Remark 4.
Note that it is direct to define the self-mapping T ¯ : X X from T : X X as follows:
x ¯ 2 n = x n = T x n 1 = T ¯ x ¯ 2 n 1 = T ¯ 2 x ¯ 2 n 2
x ¯ 2 n 1 = x n = T ¯ x ¯ 2 n 2 = T ¯ 2 x 2 n 3
In this way, if the element x n of the sequence x n n = 0 generated by T : X X has no jump, then x n = x n = x ¯ 2 n = x ¯ 2 n 1 , while if it has a jump, then x ¯ 2 n 1 = x n x n = x ¯ 2 n , where x ¯ n n = 1 is generated by T ¯ : X X with x ¯ 0 = x 0 and x ¯ 1 = x 0 . Thus, T ¯ : X X describes equivalently the sequences generated by T : X X by keeping constant consecutive values of them when jumps do not take place.

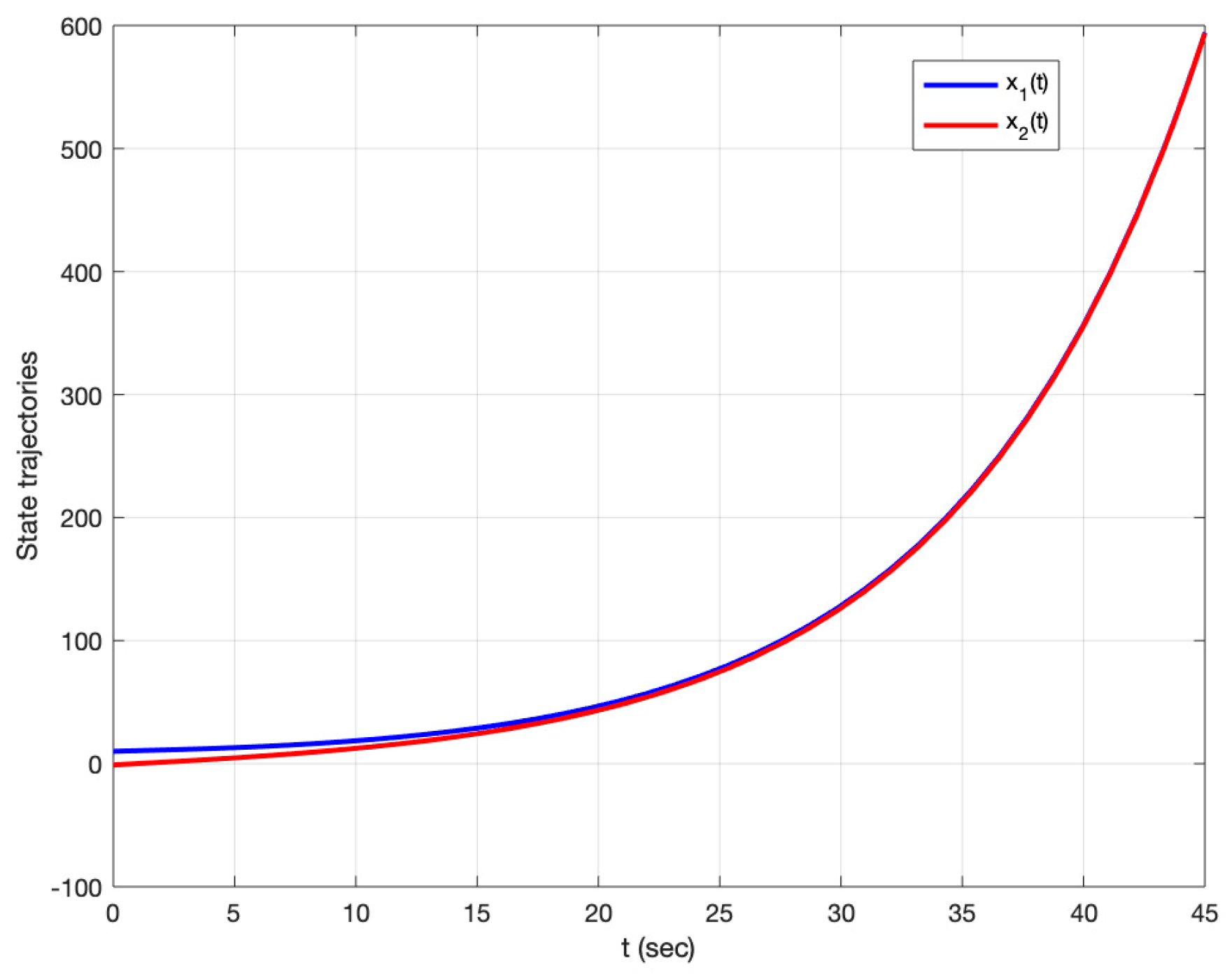
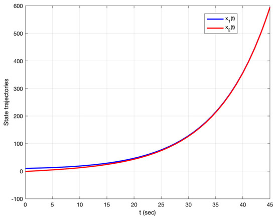
3. Applications to Stability of Time-Varying Linear Dynamic Systems Under Eventually Impulsive Parameterizations

The above results are now linked to the investigation of the stability of a class of time-varying dynamic systems. The following result is of usefulness in the practical use of Theorem 2 (ii) in the case of linear time-varying dynamic systems eventually subject to impulsive actions in their dynamic configurations. In fact, under the assumption that the matrix of dynamics is bounded everywhere, although not necessarily stable for all time, it might be achieved that the maximum increase in the solution norm along finite time intervals is bounded with a prescribed bound (in terms of norms) depending on the interval length. In the impulsive case, the above consideration remains valid with prescribed increases of the solution norm along the inter-impulsive time intervals. This concern, together with the existence of some potential configuration of the time-varying dynamics being stable, may allow the achievement of the solution trajectory boundedness in light of Theorem 2 (ii).
Theorem 3.
In general, consider the following linear time-variant differential system of the n-th order:
x ˙ t = A t x   t ;   x 0 = x 0 R n
where  A : R 0 + R n × n  is bounded with  a = sup t R 0 + A t 2 , and it has piecewise continuous entries. The following properties hold:
d   x t 2 d t x ˙ t 2 ; t R 0 + .
x t + T 2 e a T x t 2 ; t , T R 0 + .
If  A : R 0 + R n × n  has bounded piecewise continuous entries in  t i , t i + 1 I M P t i , t i + 1 R 0 +  with  I M P =   t i R 0 + i = 1 c a r d I M P , with  c a r d I M P χ 0 , being an impulsive set of zero Lebesgue measures and  a = e s s sup t R 0 + A t 2 = sup t t i , t i + 1 I M P t i   ,   t i + 1 A t 2 , then the following properties hold:
d x t 2 d t x ˙ t 2 ; t t i   , t i + 1 I M P t i , t i + 1 .
x t + T t 2 e a T t x t 2 ; t t i   , t i + 1 I M P t i , t i + 1 , T t 0 , t i + 1 t i if t t i , t i + 1
In particular,  x t i + 1   2 e a t i + 1 t i x t i 2 .
Proof. 
Since x t 2 2 = x T t x t , then
d d t x t 2 2 = 2 x t 2 d x t 2 d t = x ˙ T t x t + x T t x ˙ t
x ˙ T t x t + x T t x ˙ t 2 x t 2 x ˙ t 2
which implies that d x t 2 d t x ˙ t 2 if x t 0 . Property (i) is proved if x t 0 . Now, assume that x t 0 = 0 and x ˙ t 0 2 < d x t 0 2 d t for some t 0 R + . Then,
0 t 0 ε t 0 d x τ 2 d τ d τ =   x t 0 2   x t 0 ε 2 = 0   x t 0 ε 2 > t 0 ε t 0 x ˙ τ 2 d τ 0
for ε 0 , t 0 R , leading to the contradiction 0 > 0 so that x ˙ t 0 2 < d x t 0 2 d t for some, t 0 R + is impossible if x t 0 = 0 , and then, d x t 2 d t x ˙ t 2 for all t R + . On the other hand, if x ˙ 0 2 < d x 0 2 d t , one obtains from (51) the following contradiction:
0   x t 0 2   x t 0 ε 2 = 0 0 = 0 > t 0 ε t 0 x ˙ τ 2 d τ 0
which implies that d x t 2 d t x ˙ t 2 for all t R 0 + . As a result, property (i) has been proved for any t R 0 + irrespective of x t being zero or not for some t R 0 + . From property (i) and (45), one obtains:
d x t 2 d t x ˙ t 2 a x t 2
then, property (ii) follows directly. Properties (ii)–(iv) follow along the inter-impulsive switching intervals under the same arguments used in the proof of properties (i)–(ii) since the essential supremum on the union of inter-impulsive intervals coincides with the finite supremum a used in the proof of Theorem 3 [(i) and (ii)], and I M P =   t i R 0 + i = 1 c a r d I M P is of a zero Lebesgue measure, even with c a r d I M P = χ 0 , namely, if there are countably many impulsive time instants. □
Remark 5.
Note that the proof of Theorem 3 does not directly apply, as given, for other vector and vector-induced matrix norms other than l 2 -norms since the auxiliary inequality:
d x t d t 2 x t x ˙ t
arising from (50) does not hold for all time instants in general.
However, one can invoke the equivalence of norms to find its validity under very close forms for other vector norms and corresponding matrix vector-induced norms. In this way, one easily obtains the simple subsequent result for alternative norms, which implies that Theorem 3 is valid for any tandem of vector norms with corresponding vector-induced matrix norms applied to (45):
Lemma 1.
The following properties hold for t , T R 0 + :
(i)
x t + T 1 e a T n x t + T 1 ;  x t + T e a T n x t + T ;  t   ,     T R 0 + ;
(ii)
For any vector norm . , there exists k R + , such that x t + T e a T k x t : t   ,     T R 0 + ;
(iii)
Equation (49) of Theorem 3 (iv) becomes modified as follows:
x t + T t e a k T t x t ; t t i   , t i + 1 I M P t i , t i + 1 , T t 0 , t i + 1 t i if t t i , t i + 1
for some norm-dependent k R + where k = n for the l 1 -norm, and k = n for the l -norm.
Proof. 
It is known [40] that
v 2 v 1 n v 2 ;   v v 2 n v ;   v v 1 n v .
Thus, property (i) follows from Theorem 2 (ii) and (55) since
n 1 / 2 x ˙ t 1 x ˙ t 2 a x t 2 a n 1 / 2 x t 1 x t + T 1 e a n T x t 1 ;   t   ,     T R 0 + ,
x ˙ t x ˙ t 2 a x t 2 a n 1 / 2 x t x t + T e a n T x t ;   t   ,     T R 0 + .
Property (ii) follows, since from the equivalence of norms, there exist constants k 1 , k 2 k 1 R + , such that any vector norm . of v R n satisfies k 1 v v 2 k 2 v . Then, from Theorem 2 [(i)–(ii)], one obtains:
k 1 x ˙ t x ˙ t 2 a x t 2 a k 2 x t x t + T e a k T x t ;   t   ,     T R 0 +
with k = k 2 / k 1 . Property (iii) is direct from Theorem 3 (iv) and properties (i) and (ii). □
In particular, Lemma 1 is useful to evaluate conditions (25) and (26) of Theorem 2, via Theorem 3, in the case of a linear time-varying differential system under the use of norm-induced distances other than the l 2 -vector norms. Basically, one concludes that Theorem 3 is still valid for any vector norms by changing “ad hoc” the involved real constants, which are norm-dependent in general. Note that Theorem 3 (ii) guarantees that the Constraint C.1 of Theorem 2, Equation (25), holds by identifying the l 2 vector norm with a distance from a current value of the generated solution of (45) to a concrete value that could be a suited equilibrium value, if any. Lemma 1 allows the above idea to be extended to any alternative vector norm.
The subsequent result refers to exponential stability of linear time-varying dynamic systems.
Theorem 4.
Assume that A t has bounded entries in R 0 + . The following properties hold:
(i)
If there is a positive definite symmetric constant matrix P R n × n , such that for some ε R + , the subsequent matrix inequality holds:
A T t P + P A t + ε I n ¯ 0
then (45) is globally exponentially stable for any given finite initial condition;
(ii)
Let A * R n × n be a constant stability matrix and A ˜ : R 0 + R n × n be defined by A ˜ t = A t A * . Assume that for some ε R + , the subsequent matrix inequality holds for the positive definite symmetric constant matrix P R n × n and some ε R + :
A * T P + P A * + ε + 2 sup t R 0 + A ˜ t 2 I n ¯ 0
Then, (45) is globally exponentially stable for any given finite initial condition.
Proof. 
Consider the Lyapunov function candidate V x t = x T t P x t , which implies that
λ m P x t 2 2 V x t = x T t P x t λ M P x t 2 2
where λ m P and λ M P are the minimum and maximum eigenvalues of P . One obtains:
V ˙ t = 2 x ˙ T t P x t = x T t   A T t P + P A t x t ε x t 2 2 < 0 if   x t 0
Then, V ˙ t / V t ε / λ m P so that
λ m P x t 2 2 V t e ε / λ m P t V 0 λ M P e ε / λ m P t x 0 2 2
leading to
x t 2 λ M P e ε / λ m P t λ m P x 0 2 < +
Property (i) has been proved. Property (ii) follows with P ¯ P ¯ , where P ¯ is the unique real symmetric n-matrix, which satisfies the relation
P ¯ = 0 e A * T t ε + sup t R 0 + A ˜ t 2 P ¯ 2 e A * t d t
where the integral converges since A * is a stability matrix so that there exist real constants ρ * > 0 and K * 1 , such that e A * t K * e ρ * t for all t R 0 + . Then,
P ¯ 2 K * ρ * 2 ε + sup t R 0 + A ˜ t 2 P ¯ 2
and
P ¯ 2 ε K * 2 ρ * 2 K * 2 sup t R 0 + A ˜ t 2
under the necessary condition sup t R 0 + A ˜ t 2 < ρ * / K * 2 . Property (ii) is proved. □
Remark 6.
Note that (59) implies that A t is a stability matrix for each t R 0 + , and this fact is considered in Theorem 4 (ii).
The subsequent result refers to the exponential stability of linear time-varying dynamic systems. It addresses the stabilization of a time-varying linear system in the case of when the matrix of dynamics can have discontinuities that translate into impulsive jumps in its derivative with respect to time and are eventually combined with discontinuities of the first kind in the solution trajectory, which translate, equivalently, into the mentioned impulses in its first time derivative. Both impulsive phenomena take place at isolated time instants belonging to the respective sets I M P A ˙ and I M P A , which can be either disjointed or intersect. This result covers, in a unified fashion, the case when those impulsive sets are disjointed, the case when they are not disjointed, and the cases when one of them is empty, or none of them is empty.
Theorem 5.
Consider the following linear time-variant differential impulsive system of the n-th order:
x ˙ t = A t x   t ;   x ˙ t x ˙ t = K A t x t δ 0 ;   x 0 = x 0 R n
A ˙ t A ˙ t = K A d t A t δ 0
where the following conditions are assumed to hold:
(1)
A : R 0 + R n × n  is bounded with a = sup t R 0 + A t 2 , and it has piecewise continuous entries, and K A : R 0 + R n × n is bounded, and its support has zero Lebesgue measure with K A t = 0 iff t I M P A ;
(2)
A : R 0 + R n × n  for all t I M P A ˙ , where the impulsive set of A ˙ t is that of the discontinuities of A t , that is, I M P A ˙ = D A t and A t = A t iff t I M P A ˙ so that K A d : R 0 + R n × n is bounded, and its support has zero Lebesgue measure with K A t = 0 iff t I M P A ˙ ;
(3)
A t  is a stability matrix for all t R 0 + (i.e., for some σ R + , Re   λ i A t σ ; λ i A t s p A t for i n ¯ ) so that there exist real constants ρ , ξ 1 R + , such that
e A t τ 2 ξ e ρ τ ; t ,   τ R 0 + .
(4)
One of the conditions below holds for some μ   ,   ν R 0 + , ν 0 ν : T , + R 0 + and all t R 0 + , θ T R 0 + and some T R 0 + :
t t + θ A ˙ τ 2 d τ μ θ + ν 0 θ
t t + θ A ˙ τ 2 2 d τ μ 2 θ + ν 0 θ
A ˙ τ 2 L 2
Then, the following propositions hold:
(i)
Assume the following particular constraints on the above conditions (1)–(4):
(a) 
The entries of  A t  are bounded continuous time-differentiable functions in  R 0 + ;
(b) 
I M P A I M P A ˙ = , that is, both  A : R 0 + R n × n  and its time derivative, are nowhere impulsive in  R 0 + .
Thus, the following properties hold:
(i.1)
The following Lyapunov matrix equation:
A T t P t + P t A t = I n ; t R 0 +
has a unique positive definite bounded solution (i.e.,  P t 2 L ) for all  t R 0 + ,
A T t P ˙ t + P ˙ t A t = A ˙ T t P t + P t A ˙ t = Q t ; t R 0 +
which follows directly by taking time derivatives in the Lyapunov matrix equation, such that
P ˙ t = 0 e A T t τ A ˙ T t P t + P t A ˙ t e A t τ d τ ; t R 0 +
(i.2)
P t 2 =   0 e A T t τ e A t τ d τ 2 c = ξ ρ 2 ;  t R 0 +
P ˙ t 2 c Q t 2 2 c P t 2 A ˙ t 2 β A ˙ t 2 ;   β = 2 c sup t R 0 + P t 2 = 2 c 2 = 2 ξ ρ 4 .
and the particular differential impulsive-free system of (68) and (69) and Equation (45) is globally uniformly exponentially stable for any given finite initial condition;
(i.3)
V t , x t = x T t P t x t  is an exponentially decreasing Lyapunov function which satisfies:  V t γ V 0 e α t ;  x t 2 2 γ β 1 1 β 2 e α t x 0 2 2 ;  t R 0 +  and  V t 0  and  x t 2 0  as  t  exponentially fast, where:
(a) 
under the conditions (a), Equation (71) or (c), Equation (73), one obtains:
γ = γ 1 = exp ν β β 1 1 R + ; R + α = β 2 1 μ β β 1 1 = 1 β 2 2 μ ξ 4 β 1 ρ 4 ; μ 0   , μ * R 0 + ; μ * = β 1 β 2 β = β 1 ρ 4 2 β 2 ξ 4
and  β 1 , β 2 R +  are such that  β 1 < λ ¯ m P λ ¯ M P = sup t Ρ 0 + P t β 2  with  λ ¯ m P = inf t R 0 + λ min P t  and  λ ¯ M P = sup t R 0 + λ max P t  are the minimum and the maximum eigenvalues of  P , and
(b) 
under condition (b), Equation (72), one obtains:
γ = γ 2 = exp ν β 2 β 2 2 β 1 2 = exp 2 ν ξ 8 β 2 ρ 8 β 1 2 R + ; R + α = 1 2 β 2 1 μ β β 1 1 = 1 2 β 2 2 μ ξ 4 β 1 ρ 4 ;   μ 0   , μ * R 0 + ;   μ * = β 1 2 β 2 β = β 1 ρ 4 4 β 2 ξ 4
(ii)
Under conditions (1)–(4), the impulsive differential system of (68) and (69) is globally uniformly exponentially stable for any given finite initial condition if the following additional conditions hold:
e K A d ϑ k 2 β 1 ε β 2 1 1 / 2 , β 1 + ε β 2 1 1 / 2 ;   K t k , t k + 1 = g t k , t k + 1 g I t k + 1 , t k + 1 1 / 2 < 1
for all  ϑ k I M P A  and some  ε 0 , β 1 R  and all consecutive pairs of impulsive time instants  t k   ,   t k + 1 > t k I M P 0 , with  I M P = I M P A I M P A ˙ , where:
g t k   ,   t = γ β 1 1 β 2 e α t t k ; t t k   , t k + 1
g t p , t = γ β 1 1 β 2 e α t t p ;  t t P , +  if  c a r d I M P = p  and  t p = max t : t I M P
g I t k + 1 , t k + 1 = I n + K A t k + 1 2 2 1 + β 2 e K A t k + 1 2 2 β 1 1 β 2 + β 2 e K A d t k 2 2 β 1 β 2 e K A d t k + 1 2 2
t t k , t k + 1
g I t , t = 1  for  t I M P  and  g I t , + = 1 ;  t t P , +  if  c a r d I M P = p  and  t p = max t : t I M P .
Thus,  x : R 0 + R n  is bounded and  x t 2 0  at an exponential rate as  t + ;
(iii)
Property (ii) still holds if the condition for  K t k , t k + 1  in (76) is replaced with  K ¯ t k , t k + 1 = j = 0 η 1 g t k η + j   ,   t k η + j + 1 g I t k η + j + 1   ,   t k η + j + 1 1 / 2 < 1  for some finite  η Z + ;
(iv)
Property (iii) also holds if the condition for  K t k , t k + 1  in (76) is replaced with  K ¯ k t k , t k + 1 = j = 0 η k 1 g t k η k + j   ,   t k η k + j + 1 g I t k η k + j + 1   ,   t k η k + j + 1 1 / 2 < 1  for some sequence of bounded positive integers  η k η k = 0 c a r d I M P Z + .
Proof. 
Property (i) is proved in [34].
To prove property (ii), note that (68) and (69) lead to their subsequent integral forms:
x t = I n + K A t x t ;   x 0 = x 0 R n ,   t R 0 +
A t = I n + K A d t A t ,   t R 0 +
Now, the bounded stability matrices A t for all t R 0 + satisfy e A t τ 2 ξ e ρ τ , a = sup t R 0 + A t 2 < + and a = sup t R 0 + A t 2 a + sup t R 0 + K A t 2 < + .
For t R 0 + \ I M P A , consider the non-negative real function:
V t , x t = x T t P t x t ; V t , x t = x T t P t x t = x T t I n + K A T t P t   I n + K A t   x t .
with a unique P t = P T t 0 , which is almost time-differentiable everywhere, being time-differentiable for t R 0 + \ I M P A I M P A ˙ , which is the solution for the Lyapunov equation from Theorem 4, with ε = 1 in (55) since (70) holds, then:
A T t P t + P t A t = I n ;   t R 0 +
A T t I n + K A T t P t + P t I n + K A t A t   = I n ;   t R 0 + .
If t I M P A ˙ , then some entry (entries) of A t have finite jump(s) at the time instant t according to A t A t = K A d t A t . If t R 0 + \ I M P A ˙ , then K A d t = 0 and P t = P t so that P t is continuous at the time instant t since A t is continuous at t , and (81) is valid at the right limit of t , that is, one obtains from (82) and (83) that
P t = 0 e A T t τ e A t τ d τ
By taking time derivatives at t R 0 + \ I M P A ˙ in (81) yields:
V ˙ t , x t = 2 x ˙ T t P t x t + x T t P ˙ t x t = x T t   A T t P t + P t A t + P ˙ t x t ; t R 0 +
The time derivative of V t , x t becomes at non-impulsive time instants:
V ˙ t , x t = 2 x ˙ T t P t x t + x T t P ˙ t x t = x T t A T t P t + P t A t + P ˙ t x t = x T t x t + x T t P ˙ t x t = 1 P ˙ t 2   x t 2 2 < 0
for all t R 0 + , such that x t 0 if P ˙ t 2 < 1 . Note that
A ˙ T t P t + P t A ˙ t + A T t P ˙ t + P ˙ t A t = 0 ;   t R 0 + \ I M P A ˙
so that
P ˙ t = P ˙ t = 0 e A T t τ A ˙ T t P t + P t A ˙ t e A t τ d τ = 0 0 e A T t τ A ˙ T t e A T t ς e A t ς + e A T t ς e A t ς A ˙ t e A t τ d ς d τ ;   t R 0 + \ I M P A ˙
Then, since
0 < β 1 inf t R 0 + λ min P t sup t R 0 + λ max P t β 2 = ξ / ρ 2 < +
one obtains from (85)–(87) that
P t 2 β 2 = ξ ρ 2 ;   P ˙ t 2 2 ξ ρ 2 P t A ˙ t 2 2 β 2 2 A ˙ t 2 ;   t R 0 +
and, using (69) for t I M P A ˙ , one obtains:
P ˙ t = P ˙ t 0 e A T t τ A T t K A d T t P t + P t K A d t A t e A t τ δ τ t d τ
so that
P ˙ t P ˙ t 2 2 β 2 2 K A d t A t 2 ;   t R 0 +
and, from (86) and (90),
P ˙ t 2 2 β 2 2 A ˙ t 2 = β A ˙ t 2 ;   P ˙ t 2 2 β 2 2 A ˙ t 2 + K A d t 2 A t 2
Also, from (84) and (79), one obtains:
P t P t 0 e A T t A T t τ e A t A t τ d τ = 0 e K A d T t A T t τ e A t K A d t τ δ τ t d τ ;   t R 0 +
then,
P t P t 2 β 2 e K A d t 2 2 ;   t R 0 +
P t 2 β 2 e K A t 2 2 P t 2 P t 2 + β 2 e K A d t 2 2 ;   t R 0 +
Let t k , t k + 1 > t k be two consecutive time instants of I M P 0 , where I M P = I M P A I M P A ˙ . Then, it follows that:
V ˙ t , x t x t 2 2 1 β A ˙ t 2 β 2 1 β 1 1 β A ˙ t 2 ;   t t k , t k + 1
with β = 2 ξ / ρ 4 so that
V t , x t V t k , x t k e t k t β 2 1 β 1 1 β A ˙ τ 2 d τ ;   t t k , t k + 1
and, under (71) or (73), one obtains:
x t 2 2 g t k , t x t k 2 2 = β 1 1 β 2 e β 2 1 β 1 1 β μ t t k + β β 1 1 ν   x t k 2 2 ; t t k , t k + 1 ,   μ 0 , μ * = β 1 β 2 1 β 1
Under (72), note from the Schwartz inequality that
t k t A ˙ τ 2 d τ t k t A ˙ τ 2 2 d τ   t t k μ 2 t t k 2 + ν t t k μ t t k + ν t t k ;   t t k , t k + 1
and then,
x t 2 2 g t k , t x t k 2 2 β 1 1 β 2 e β β 1 1 μ β 2 1 / 2 t t k β 2 1 / 2 t t k β β 1 1 ν t t k x t k 2 2 = β 1 1 β 2 e β 2 1 β β 1 1 μ t t k + β β 1 1 ν t t k x t k 2 2 β 1 1 β 2 e β 2 1 / 2 β β 1 1 μ t t k + ν β 2 β 2 / 2 β 1 2 x t k 2 2 ; t t k , t k + 1 ,   μ 0 , μ * = β 1 / 2 β 2 β .
Now, let t k , t k + 1 > t k be two consecutive time instants of I M P 0 . If V t k , x t k 0 , then one obtains from (79)–(81) and (92) and (93), since P t 2 = λ max P t β 2 and P t is symmetric,
λ min P t k + 1 x t k + 1 2 2 V t k + 1 , x t k + 1 = x T t k + 1 P t k + 1 x t k + 1 = x T t k + 1 I n + K A T t k + 1 P t k + 1   I n + K A t k + 1   x t k + 1 I n + K A t k + 1 2 2   P t k + 1 2 x t k + 1 2 2 I n + K A t k + 1 2 2   P t k + 1 2 λ min 1 P t k + 1   V t k + 1 , x t k + 1 I n + K A t k + 1 2 2   λ max P t k + 1 + β 2 e K A d t k + 1 2 2 λ min 1 P t k + 1   V t k + 1 , x t k + 1 g t k , t k + 1 I n + K A t k + 1 2 2   λ max P t k + 1 + β 2 e K A d t k + 1 2 2 λ min 1 P t k + 1   V t k , x t k g t k , t k + 1 I n + K A t k + 1 2 2 λ max P t k + 1 + β 2 e K A d t k + 1 2 2 λ min 1 P t k + 1 λ max P t k x t k 2 2
where T k = t k + 1 t k is the inter-impulsive time interval for two consecutive impulsive time instants t k , t k + 1 > t k I M P 0 , with g t k , t k + 1 , which depends on the particular invoked condition (72), (73), or (74), such that:
β 1 x t k + 1 2 2 λ min P t k + 1 x t k + 1 2 2 V t k + 1 , x t k + 1 = x T t k + 1 P t k + 1 x t k + 1 g t k , t k + 1 V t k , x t k g t k , t k + 1 λ max P t k x t k 2 2 β 2 g t k , t k + 1 x t k 2 2 .
Thus, taking into account the “ad hoc” use of the expression   x t 2 γ β 1 1 β 2 1 / 2 e α / 2 t x 0 2 from property (i.3), on an inter-impulsive time period, one can derive the subsequent expression in-between consecutive impulsive time instants:
x t 2 / x t k 2 2 = g t k , t = γ β 1 1 β 2 e α t t k ;   t t k , t k + 1 ; t k ,   t k + 1 > t k I M P 0 .
Then, one obtains from (93)–(96) that
x t k + 1 2 2 λ min 1 P t k + 1 λ min 1 P t k + 1 g t k , T k I n + K A T t k + 1 2 2 × λ max P t k + 1 λ max P t k + β 2 e K A d t k + 1 2 2 λ max P t k   x t k 2 2 g t k , t k + 1 I n + K A t k + 1 2 2 1 + β 2 e K A d t k + 1 2 2 1 λ max P t k + 1 λ max P t k λ max P t k + 1 x t k 2 2 g t k , t k + 1 I n + K A t k + 1 2 2 1 + β 2 e K A d t k + 1 2 2 β 1 1   λ max P t k λ max P t k + 1 x t k 2 2 g t k , t k + 1 I n + K A t k + 1 2 2 × 1 + ξ ρ 2 e K A d t k + 1 2 2 1 λ max P t k + 1   λ max P t k + ξ ρ 2 e K A d t k 2 2 λ max P t k + 1 ξ ρ 2 e K A d t k + 1 2 2 x t k 2 2 g t k , t k + 1 g I t k + 1 , t k + 1   x t k 2 2 = g t k , t k + 1   x t k 2 2 = K 2 t k , t k + 1 x t k 2 2
for all t k , t k + 1 > t k I M P 0 , provided that (76)–(78) hold. To avoid division by zero in (97), it is requested that for some given positive real constant ε
λ max P t k + 1 ξ ρ 2 e K A d t k + 1 2 2 ε
and, since β 1 λ max P t k + 1 β 2 = ξ / ρ 2 , the above conditions leads to:
ε λ max P t k + 1 ξ ρ 2 e K A d t k + 1 2 2 ε
equivalently since β 1 λ max P t k + 1 ξ ρ 2 = β 2
ε + β 2 ε + λ max P t k + 1 β 2 e K A d t k + 1 2 2 ε λ max P t k + 1 ε β 1
and equivalently, after fixing ε according to the constraint ε 0 , β 1 , K A d t k + 1 is selected according to the following constraint for (97) to be well-posed:
β 1 + ε β 2 1 = 1 + ε β 2 1 e K A d t k + 1 2 2 1 + ε β 2 1 = β 1 ε β 2 1
which is the first condition of (76) on the impulses of A ˙ t . Note that y = y t 0 ; t R 0 + is the only equilibrium point of (79) and (80) since the matrix of dynamics is non-singular as it is a stability matrix, then ker A t = 0 in (68) for all t R 0 + so that y = 0 R n is the only point leading to y ˙ 0 . As a result, y = 0 , and it is also the only fixed point of the self-mapping on R n , which defines the solution trajectory from any finite initial conditions. Then, it follows from (97), by defining the distance as the l 2 (or Euclidean) norm and fixing K = sup K t k , t k + 1 : t k , t k + 1 > t k I M P 0 < 1 , one obtains from (97) for any finite x 0 R n and t 0 = 0 that:
d x t k , y t k = d x t k , 0 K k d x t 0 , y t 0 = K k d x t 0 , 0
for all t k I M P 0 , where I M P = I M P A I M P A ˙ . Since the self-mapping T on R n is a (strict) contraction of constant K < 1 , then d x t k , 0 0 as k , d x t k , x t k + 1 d x t k , 0 + d x t k + 1 , 0 0 as k , and x t k k = 0 0 at an exponential rate for t k I M P 0 as t 0 = 0 , irrespective of t 0 I M P or not, and   x t k k = 0 is bounded if x 0 is bounded. Since x : R 0 + R n is continuous in t k , t k + 1 I M P 0 t k   ,   t k + 1 , then it cannot be unbounded in t k , t k + 1 I M P t k   ,   t k + 1 since sup t k + 1 t k < + for t k , t k + 1 I M P 0 are consecutive impulsive time instants for k Z + irrespective of t 0 = 0 being in I M P or not. Therefore, one obtains the following:
(1)
If c a r d I M P = χ 0 , then x t 2 < + for all t R 0 + and x t 0 as t at an exponential rate;
(2)
If c a r d I M P = p < χ 0 , that is, if there is a finite number of impulsive time instants, then x : 0 , t p R n is bounded by the same above reasoning, while x : t p , + R n is bounded too and x t 0  as  t + since it follows from (77) that
x t 2 g t p , t x t p 2 = γ β 1 1 β 2 e α t t p x t p 2 < + ;   t > t q R +
with g I t , + = 1 ; t t P , + if c a r d I M P = p , and t p = max t : t I M P , and then K t p , + = g t p   ,   + < 1 . Property (ii) has been proved. The proof of property (iii) is omitted since it is quite close to that of property (ii) based on modifying (98) as follows:
d x t k η , y t k η = d x t k η , 0 K ¯ k d x t 0 , y t 0 = K ¯ k d x t 0 , 0
where K ¯ = sup K ¯ t k , t k + 1 : t k , t k + 1 > t k I M P 0 < 1 . The proof of property (iv) is also direct from the “ad hoc” modification of (99) by replacing η η k 1 , η for k c a r d I M P ¯ 0 . □
The subsequent result addresses the way of globally stabilizing, for any given finite initial conditions, a particular case of the differential system (68) and (69) through the injection of impulses of appropriate distribution and sign on the state solution trajectory. The impulses were monitored with certain adjustable gains of appropriate signs and amplitudes and appropriate lengths of the inter-impulsive time intervals in the event that the dynamics in-between impulsive time instants was unstable, with g t k , t in (77) being non-exponentially decaying but of an exponential positive order. In that context, the stability condition (3) of Theorem 5 along the inter-impulsive time intervals was replaced by either a critical stability one or an instability one, and condition (4) was removed. For exposition simplicity, it is assumed that A t is continuous everywhere so that I M P = I M P A and I M P A ˙ = , that is, K A d t = 0 ; t R 0 + .
Theorem 6.
Consider the time-variant differential impulsive system (68) and (69) with I M P = I M P A , that is, K A d 0 . Assume also that:
(1)
A : R 0 + R n × n  is continuous in  R 0 +  and bounded with  a = sup t R 0 + A t 2 ;
(2)
A t  is not a stability matrix for almost any  t R 0 +  (i.e., for some  σ R 0 + ,  max i n ¯ Re λ i A t σ ;  λ i A t s p A t  for  i n ¯ ), while it fulfils that there exist real constants  ρ 0 , ρ ρ 0 R 0 + , ξ 0 R + , ξ max 1   , ξ 0 R + , such that:
ξ 0 e ρ 0 τ e A t τ 2 ξ e ρ τ ; t ,   τ R 0 +
(3)
Given any  t k I M P 0 , with  t 0 = 0 , then  x t k + 1 2 x t k 2  if the impulsive gain matrix function is selected as diagonal  K A K d i a g : R 0 + R n × n  and the next  t k + 1 = t k + T k I M P  both fulfil the subsequent conditions for some given real constants  η 0 < 1 , η max ξ ,   1 η 0 2 , 1 R +  and some constant  T min = inf t k + 1 t k t k , t k + 1 I M P 0 :
T k T min , T max = 1 ρ ln 1 ξ 1 η 0 2 ; max i n ¯ K A t i i < 0 ; min i n ¯   K A t i i 1 η ξ 1 e ρ T k , 1
Then, the following properties hold:
(i)
The differential impulsive system has a bounded solution trajectory, and then it is globally stable for any give finite initial condition  x 0 = x 0  if  c a r d I M P = χ 0  (i.e., if there are infinite many impulsive time instants). If  c a r d I M P = p < χ 0  (i.e., there is a finite number of impulses), then the differential impulsive system is not guaranteed to be globally stable unless  ρ = 0  (i.e., if the matrix function  A t  is critically stable), and the constraints (101) are not applied;
(ii)
If  η < 1  and  c a r d I M P = χ 0 , then the differential impulsive system is globally asymptotically stable.
Proof. 
First note that (80) is modified as A t = A t for all t R 0 + since K A d 0 , and A : R 0 + R n × n is continuous everywhere and differentiable with respect to time. From condition (3), Equation (77) is replaced with:
ξ e ρ t t k = g ¯ t k , t x t 2 / x t k 2 2 g ¯ t k , t = ξ 0 e ρ 0 t t k ; t t k , t k + 1 ; t k   ,   t k + 1 > t k I M P   0 if   c a r d I M P = χ 0
ξ e ρ t t p = g ¯ t p , t x t 2 / x t p 2 2 g ¯ t p , t = ξ 0 e ρ 0 t t p
for t t p if c a r d I M P = p and t p = max t : t I M P .
Also (since K A d t 0 ), Equation (78) is replaced with:
g I t k + 1 , t k + 1 = I n + K A t k + 1 2 2 ;   t t k , t k + 1
g I t , t = 1 for t I M P and g I t , + = 1 ; t t P , + if c a r d I M P = p and t p = max t : t I M P .
Note from (102) and (103) that x t k + 1 2 x t k 2 if t k + 1 I M P is selected as some t > t k , which fulfils for some prescribed real constant η 0 , 1 that:
g ^ t k , t = ξ e ρ t t k 1 min i n ¯   K A t i i 2 η 1
equivalently if
1 > η 0 min i n ¯ K A t i i 1 η ξ 1 e ρ t t k
with t k + T k = t k + 1 t > t k and T k T min > 0 . Note that
e ρ T min > η ξ 1 ,   1 η 0 2 + η ξ 1 e ρ T max η 0 2 + η ξ 1 e ρ t t k η 0 2 + η ξ 1 e ρ T min
which leads to e ρ T max η ξ 1 1 η 0 2 1 , that is, and provided that ρ > 0 , to
0 < T min T max 1 ρ ln 1 ξ 1 η 0 2
provided that η 0 1 ξ 1 , 1 , which guarantees that ξ 1 η 0 2 < 1 so that (106) is well-posed. The above conditions may be rewritten as (101).
Thus, the impulsive time instants and their gains are such that (101) holds guarantee that x t k + 1 2 = d x t k + 1   , 0 d x t k + 1   , 0 = x t k 2 if ρ > 0 . Note that 0 R n is the unique equilibrium point, which is the only fixed point of the mapping and defines the solution trajectory. That is, the mapping on R n that generates the sequence of solution of the differential system x t k k = 0 χ 0 is non-expansive. Since x t is continuous in the disjointed union t k t k + 1 I M P 0 t k   , t k + 1 of finite intervals and x   t k 2 k = 0 χ 0 is bounded if x 0 is finite, then x t is bounded in t k t k + 1 I M P 0 t k   ,   t k + 1 , which equalizes R 0 + in the case of infinitely many impulses, that is, when c a r d   I M P = χ 0 . If c a r d I M P = p < χ 0 , ρ > 0 , and p > 0 , then the solution can be unbounded as time tends to infinity since lim t + g ^ t k , t = lim t g ^ t k , t = + , and then, it is not guaranteed for a finite guaranteed x t p that lim t sup   x t 2 x t p 2 < + . However, the global boundedness of the solution is guaranteed if ρ = 0 (critical stability of A t almost everywhere), and there is a finite number of impulses p < + . Property (i) has been proved. Property (ii) follows since if η < 1 , then x t k + 1 2 < x t k 2 ; t k I M P 0 . The self-mapping on R n , which constructs the solution trajectory sequence x t k t k I M P 0 from any finite initial condition x 0 = x 0 R n at the impulsive time instants, is then a weak contraction, which has a unique fixed point of 0 R n . Then, x t k t k I M P 0 0 since c a r d I M P = χ 0 . Since the sequence of inter-impulsive time instants T k k = 0 χ 0 is bounded from (101), then the solution x : R 0 + R n × n of the differential system is piecewise continuous bounded within each inter-impulsive interval and then in R 0 + and x t 0 as t + since lim sup t k I M P + sup τ 0   ,   T k   x t k + τ ξ e ρ τ x t k 2 0 from (100) and x t k t k I M P 0 0 . □
Note that, since the fixed point is an unstable or critically stable equilibrium point of the differential system since ρ 0 (see Equation (100)), the global asymptotic stabilization addressed in Theorem 6 (ii) based on stabilizing through the use of infinitely many appropriate impulses is not robust in the sense that small perturbations in the parameterization may cause the stability property to become lost. The subsequent result weakens the condition of the impulsive gain matrix to be diagonal in Theorem 6.
Corollary 6.
Assume that the conditions of Theorem 6 hold except that K A t on its support set I M P is extended to be non-diagonal of the form K A t = λ K ^ A t for λ R under the constraints:
j = 1 n K ^ A t i j 0 ;   1 + λ t j = 1 n K ^ A t i j η / n
for some given real constant η 0 , 1 ; i n ¯ . Then, Theorem 6 holds if from some prescribed minimum inter-impulsive time interval T min > 0 , given t k I M P   0 , then the next t k + 1 I M P is selected as follows:
T k = min τ T min : 1 min   i n ¯ j = 1 n K ^ A t k i j > λ t k ξ n η e ρ τ ξ n min   i n ¯ j = 1 n K ^ A t k i j
Proof. 
Note that the second constraint in (107) is equivalent to
λ t Λ t = i n ¯   1 + η / n j = 1 n K ^ A t i j ,   η / n 1 j = 1 n K ^ A t i j
Note by inspection that Λ t for any t I M P A 0 . Using the relation of norms x x 2 n x , Equation (104) is now replaced with
g ^ λ , t k , t = ξ e ρ t t k I n + λ t K ^ A t 2 2 n ξ e ρ t t k max i n ¯   1 + λ t j = 1 n K ^ A t i j 2 η
that is, for λ t selected subject to (109),
max i n ¯ 1 + λ j = 1 n K ^ A t i j = max i n ¯ 1 λ t j = 1 n K ^ A t i j   = 1 λ t min i n ¯ j = 1 n K ^ A t i j η ξ n e ρ 2 t t k ;   t t k , t k + 1 ;   t k , t k + 1 I M P   0
which is guaranteed if for all t k I M P 0 , the next I M P t k + 1 = t k + T k is fixed with an inter-impulsive time interval (108). □
Note that Theorem 6 is directly extendable to the case of non-diagonal impulsive gain matrix function K A t with non-positive entries, such that there is at least a non-zero entry per row at the impulsive time instants.
The subsequent result, based on Theorem 4 (iii), Theorem 5, and Theorem 2, addresses the stabilization of a time-varying linear system, which switches in-between a finite or infinite set of q possible configurations under the assumption that at least one of such configurations is stable, and the matrix of dynamics can have discontinuities, which translate into impulsive jumps in its time derivative. As a result, the whole impulsive set of time instants might affect the matrix of dynamics and its time derivative. The next additional notation is used in the next result:
I M P = I M P A I M P A ˙ = t k k = 1 c a r d I M P denotes the set of impulsive time instants, while S W I I M P = t k j s : j q ¯ k = 1 c a r d S W I denotes the impulsive subset of switches between configurations. Impulsive time instants not related to switches between the q configurations are denoted by t k I M P ; if they are related to a switch to the configuration i q ¯ , then they are denoted by t k i s S W I I M P ; and if they are denoted by t k . s , then they refer to switching time instants to an unspecified configuration.
Theorem 7.
In general, consider the following linear time-variant differential impulsive system of the n-th order (68) and (69) subject to conditions (1) and (2) of Theorem 5 and, furthermore, to the additional conditions below:
(3) A t = A σ t t , and that σ : R 0 + q ¯ = 1 , 2 , , q , with q = c a r d   q ¯ χ 0 , is a piecewise constant switching law in-between the set of q parameterizations (or configurations) P A t = A i : R 0 + R n × n , i q ¯ of A t , such that:
(a)
σ t = i q ¯  for t t k ( i ) s ,   t k ( i ) + 1 s , where t k ( i ) s , t k ( i ) + 1 s S W I are two consecutive parameterization switching time instants with an inter-impulsive interval of T k ( i ) s = t k ( i ) + 1 s t k i s T min , T max , S W I = t k s k = 1 c a r d   S is the parameterization switching set of time instants, with c a r d   S χ 0 and T m > 0 being a minimum threshold inter-impulsive interval and T M + being the maximum inter-impulsive time interval;
(b)
There is a nonempty (stable) configuration subset:
P s A t = A i : R 0 + R n × n , i q ¯ : Re λ i   A i t σ i < 0 ; λ i t s p A i t , i n ¯ P A t
namely, there is at least a A i t , i q ¯ , which is a stability matrix for all t R 0 + so that there exist real constants ρ i , ξ i 1 R + , such that e A i t τ 2 ξ i e ρ i τ ; t ,   τ R 0 + . It is also assumed that if A σ t t P s for σ t = i q ¯ , then e A i t τ 2 ξ i e ρ i τ ; t ,   τ R 0 + for some real constants ρ i , ξ i 1 R + ;
(c)
Any A i P s : R 0 + R n × n fulfils that any one of the conditions below holds for all t , θ θ i R 0 + and some t R 0 + , θ i T i R 0 + , μ i R 0 + and ν i θ R 0 + , such that sup θ θ i ν i 0 θ ν i < + for some and some T i R 0 + for i q ¯ .
t + t + θ A ˙ i τ 2 d τ μ i T + ν i 0 θ
t + t + θ A ˙ i τ 2 2 d τ μ i 2 T + ν i 0 θ
A ˙ τ 2 L 2
Remark on the theorem statement: Note that the boundedness constraints:
sup θ θ i ν i 0 θ υ i 0 + sup θ θ i t t i I M P A ˙ < t + θ K A d t i 2 ν i < +
imply that there can exist either a countable finite number of discontinuities in A i t on θ i , + or infinitely many ones of vanishing jumps between the right and left limits compatible with such constraints).
Then, the following properties hold:
(i)
There exist non-unique switching rules σ : R 0 + q ¯ between the q configurations with both a finite or infinite number of switches, such that the state trajectory solution of (68) and (69) is bounded for any given finite initial condition, and then (68) and (69) is globally stable;
(ii)
Assume that c a r d q ¯ < χ 0 , c a r d I M P A < χ 0 , and card I M P A ˙ < χ 0 . Then, there exist non-unique switching rules σ : R 0 + q ¯ between each proper or improper subset of the q configurations with both a finite or infinite number of switches, such that the state trajectory solution of (68) and (69) is bounded for any given finite initial condition, and then (68) and (69) is globally asymptotically stable.
Proof. 
Since the set of stable configurations P s is nonempty, it suffices for global stabilization to have, through distributed tested time instants, a residence time interval of a sufficiently large duration at a stable configuration. Given the prescribed constants M R + and ω 0 , 1 R , if x t 2 M for any t R 0 + then choose the next t k ( i ) s S W I I M P at a stable i-th configuration, that is, in P s , so that σ τ = i for τ t k ( i ) s , t k i + 1 s and A σ t t = A i t P s according to:
t k ( i ) s = min τ min t :   t k . 1 s + T m ;   t k + 1 ( i ) s = min τ t k i s + T m :   x τ 2 ω M .
Thus, if x 0 is finite, then it follows from Theorem 5 that   x t 2 M ξ e ρ T m c K ¯ A + K ¯ A d < + ; t R 0 + , where c R + , ξ = sup i q ¯ ξ i 1 , ρ = sup i q ¯ ρ i , K ¯ A = sup t R 0 + K A t 2 , and K ¯ A d = sup t R 0 + K A d t 2 . It is clear that the above property holds for c a r d q ¯ χ 0 and c a r d S W I = χ 0 . Property (i) has been proved. Property (ii) follows directly if the number of configurations is finite by choosing after a finite time to switch to a stable configuration under the assumption that the whole impulsive set of time instants is finite. □

4. Numerical Examples

This section contains some numerical examples in order to illustrate the theoretical results stated in Section 3, concerning the stability of time-varying dynamical systems with impulsive behavior. In particular, three examples are presented, related to Theorems 5, 6 and 7, respectively.

4.1. Example 1: Time-Varying Systems with Stable Dynamic Matrix and Non-Impulsive and Impulsive Behavior

First, we show how the conditions of Theorem 5 allow the stability of the time-varying system in the absence of impulses to be guaranteed, and then, the existence of impulsive behavior is considered. Let us consider the time-varying system given by (68) and (69) of order 2, with a dynamic matrix given by:
A t = e t 100 t 10 + 1 5 2 t + 1 3 100 3 100 t 10 + 1 5 2 t + 1 e t 100 3 100 t 10 + 1 5 2 t + 1 e t 100 e t 100 t 10 + 1 5 2 t + 1 3 100
This matrix can be written as:
A t = Q D Q 1 = Q t + 2 10 1 + t 0 0 e t 3   50 Q 1
where Q is the orthogonal matrix given by the 45° counterclockwise rotation in the plane:
Q =   2 2           2 2 2 2 2 2
In this way, both the eigenvalues and the singular values of the matrix A(t) can be read from the diagonal matrix D(t), and consequently, the calculation of its 2-norm is simplified in order to clearly illustrate the conditions of the theorem. For this system, we were able to apply Theorem 5 (i) since all the conditions were verified. First, A(t) is a matrix with continuous and bounded entries and stable for each value of t 0 since its eigenvalues are λ 1 = t + 2 10 1 + t [ 0.2 , 0.1 ) and λ 2 = e t 3   50 [ 3 50 , 2 50 ) . Furthermore, A 2 = D 2 = sup t + 2 10 1 + t , t + 2 10 1 + t < since both functions are bounded. In fact, Figure 1 shows the singular values of the matrix A(t) (which are the same as those of the matrix D(t) since Q is orthogonal) as a function of time. It can be observed that the first singular value is always higher than the second and that the highest value is reached when t = 0. Therefore, A 2 = D 2 = 0.2 . Furthermore, the 2-norm of A ˙ ( t ) , A ˙ ( t ) 2 = D ˙ ( t ) 2 is square integrable since the singular values of D ˙ t are given by σ 1 = t + 2 10 t + 1 2 1 10 ( t + 1 ) and, σ 2 = e t 50 and its squared integral takes the value:
0 σ 1 2 τ d   τ = 1 300
0 σ 2 2 τ d   τ = 1 5000
Therefore, we are in a position to apply Theorem 5 (i), and there exists a symmetric, positive definite 2 × 2 square matrix, P(t), such that A(t) T P(t) + P(t)A(t) = −I.
We can explicitly calculate the matrix P(t) as:
DQ T P(t)Q + Q T P(t)QD = −Q T Q = −I
So, the solution for Q T P(t)Q is given by:
Q T P t Q = 5 ( t + 1 ) ( t + 2 ) 0 0 25   3 e t
Since Q is an orthogonal matrix, both the eigenvalues and the singular values of P(t) can be read from the diagonal matrix. It is observed that P(t) is a bounded matrix t 0 with positive eigenvalues and, therefore, positive definite. Figure 2 shows the singular values of the matrix P(t), and it was verified that they are bounded. The second singular value is always greater than the first, and consequently, the 2-norm is given by 25/2, which is the value of c in Theorem 5 (i).
Then, we were able to apply Theorem 5 (i) and conclude that the system is globally uniformly exponentially stable, and the states of the system converge to zero independently of the initial conditions, as shown in Figure 3.
The case corresponding to the presence of impulses in the dynamic matrix is presented below. To achieve this, the previous matrix (118) is considered as a starting point:
A t = Q D Q 1 = Q 2 + f 1 ( t ) 10 1 + t 0 0 f 2 ( t ) Q 1
where the functions have been defined as:
f 1 t = t m o d t , 10 5 k t m o d t , 10 > 5 f 2 t = e 0.2 t 3 50 m o d t , 10 5 e 0.1 t 1.2 50 m o d t , 10 > 5
That is, the function f1 (t) is a function that changes its value between two values of the linear function at intervals of 5 s, while f2 (t) alternates its value between two expressions of the exponential function. It is important to note that not only are these functions discontinuous, but their first derivative is also discontinuous. The value of k in (119) indicates the magnitude of the jump in the function f1 (t), and in this example, it takes the value of k = 10. This gives rise to an impulsive behavior in the derivative of the matrix A(t). Furthermore, the state experiences a jump at the same instants of discontinuity of the derivative of A(t), parameterized by K A I x ( t ) ; that is, both states change by the same amount. In order for the system to be asymptotically stable according to the conditions of Theorem 5 (ii), it is necessary that the possible increase in the state norm generated by the interaction between the distance between impulses and the value of the jump (impulse) be compensated by the speed of convergence to the fixed point of the solution trajectories in the time interval between impulses. Figure 4 shows this effect for different values of the jump ( K A ) between the states given a fixed time between impulses (5 s, the value of the state increases in each impulse). As the jump is greater, the possibility of instability increases and the speed of convergence to the fixed point decreases. Figure 5 shows the opposite case that occurs when the value of the jump is kept fixed, and the distance between impulses is modified. In this case, the closer the impulses are to each other, the greater the possibility of instability and slow convergence exhibited by the system. Finally, Figure 6 shows the convergence to the fixed point for different initial conditions, showing how with the conditions of Theorem 5 (ii), it can be guaranteed that the system is asymptotically stable.
As seen in Figure 6, all the trajectories converge to the fixed point, and the system is asymptotically stable, as stated in Theorem 5 (ii). At this point, it is interesting to note that the process of proving Theorem 5 gives the necessary clues to know how the separation between impulses and the value of the them affect the stability of the system. In this sense, it is not necessary to exhaustively calculate all the constants that appear in the theorem, but rather from an initial test value, one can proceed to carry out a procedure, such as the one shown in Figure 4 and Figure 5, to study the impulse and jump instants necessary to obtain a desired convergence to the fixed point or the maximum value of the impulse to be applied, setting a certain time between impulses.

4.2. Example 2: Unstable Dynamic Matrix

In this section, Example 1 will be extended to the situation where the dynamics matrix is unstable. In this case, the incorporation of impulsive behavior can keep the system bounded (although it does not necessarily converge asymptotically to the fixed point). In order to illustrate the results of Theorem 6, we considered the system (68) and (69) parameterized by the matrix:
A t = Q D Q 1 = Q t + 2 10 1 + t 0 0 e t 3   50 Q 1
where it is observed that it always has a positive eigenvalue for all of t 0 . The system is not bounded, as shown in Figure 7.
The objective of introducing impulsive behavior is to achieve the bounding of the system’s trajectories. To achieve this, it is necessary that the relationship between the distance between impulses and their value be such that the jump allows the possible increase in the value of the state to be compensated. To achieve bounding, one can proceed by simulation, avoiding the potentially complicated calculation of the theoretical expressions of the norms in a real generic case. For this purpose, one can maintain a fixed value of the distance between impulses and test different values of the jump that allow the bounding of the trajectories to be achieved. The behavior of the system in this situation is represented in Figure 8. From an initial situation in which the impulse does not achieve the bounding of the state (Figure 8a), an impulse with a lower K A value is generated, achieving a slower divergence (Figure 8b). If the value of K A is further decreased, the trajectories of the state are finally bounded (Figure 8c). On the other hand, Figure 9 shows the complementary case, where the state jump is kept fixed, and the separation between impulses is modified. For a given jump, a separation that is too high fails to compensate for the increase in the value of the state norm, and the system remains unbounded. By decreasing the distance between impulses, a bounded trajectory is achieved for the system (Figure 9c). In any case, as stated in Theorem 6, the appropriate combination of impulses and the separation between them allows the bounding of the system trajectories.
Furthermore, it is interesting to note that the stabilization of the system through impulses does not guarantee its robustness. To illustrate this fact, a small variation in the dynamic matrix (120) was considered to obtain the perturbed system given by:
A t = Q D Q 1 = Q 1.1 t + 2 10 1 + t 0 0 e t 3   50 Q 1
The original system (120) and the perturbed system (121) were simulated in Figure 10 for a separation between impulses of 10 s and a value of K A = 0.35. In Figure 10a, it can be observed that the impulsive nominal system is able to maintain the bounded trajectories. However, when the dynamics matrix experiences a small variation, leading to a perturbed system, stability is lost, and the solution trajectories are unbounded, as shown in Figure 10b.

4.3. Example 3: Impulsive Switched Systems

Finally, this last example illustrates the results of Theorem 7 associated with the impulsive behavior of the switched system. The key idea behind Theorem 7 is that the system can be asymptotically stable (i.e., all state components converge asymptotically to the fixed point) if the system remains parameterized long enough in a configuration that satisfies the requirements of Theorem 5 on asymptotic stability. In this way, any possible divergent behavior of the trajectories can be reversed by the asymptotically stable system. Therefore, from a global point of view, the operator whose stability is being discussed is not globally contractive but switches between different behaviors. To achieve this, we considered the two dynamic matrices of Examples 1 and 2, converted into matrices of the set of potential parameterizations of the switched system, together with two constant matrices:
A 1 t = Q D Q 1 = Q t + 2 10 1 + t 0 0 e t 3   50 Q 1 ,
A 2 t = Q D Q 1 = Q t + 2 10 1 + t 0 0 e t 3   50 Q 1 ,
A 3 t = 1 0 0 2 ,
A 4 t = 1 0 0 2
The matrix A1 satisfies all the conditions of Theorem 5, as we have verified above, while the matrix A3 is stable, and the matrices A2 and A4 are unstable. We are, therefore, in a position to apply Theorem 7 and conclude that the system is asymptotically stable if the switching is not too fast (there is a minimum time between successive switching between parameterizations) and the system is parameterized for a sufficiently long time by a parameterization that satisfies the conditions of Theorem 5. Every 10 s, the state experiences a jump of 20% of its value ( K A  = 1.2). Figure 11 shows the trajectories of the system (Figure 11a), together with the implemented switching law (Figure 11b). As mentioned in Theorem 7, the switching law that enables the asymptotic stability of the trajectories (fixed point convergence) is not unique. Figure 12 shows the trajectories (Figure 12a), as well as a different switching law (Figure 12b) that also enables the asymptotic stability of the trajectories to be guaranteed.

5. Conclusions

This paper addresses the properties of boundedness and convergence, as well as the related existence characterizations of existence and uniqueness, of the fixed points of strict and weak contractions in metric spaces in the event that finite jumps can take place from the left to the right limits of the successive values of the generated relevant sequences. The involved self-mappings in the performed study are named jumping self-mappings for obvious reasons. The conditions are made explicit for such mappings to become either contractions, weak contractions, or sub-contractions or to exhibit just boundedness properties through the appropriate distribution and the sizes of the jumps.
An application is given concerning the stabilization and asymptotic stabilization of impulsive linear time-varying dynamic systems of the n-th order whose zero equilibrium point is the unique equilibrium point and a fixed point of the self-mapping, which generates the solution trajectory. The injected control impulses are characterized based on the theory of Dirac distributions and can cause finite jumps either in the trajectory solution or in its first derivative with respect to time. Both impulsive actions are assumed to take place either jointly or separately at isolated time instants, and, in the first case, they can appear simultaneously or not at the same time instants. It is pointed out that stabilization may be achieved even when the non-impulsive dynamics are not stable. Finally, some numerical examples illustrate the theoretical results stated in this work.
It is foreseen to extend these results in future research to other kinds of weaker contractivity results, like, for instance, quasi-contractions and pseudo-contractions, as well as to explore their potential relevance in application to the stability of switched dynamic systems.

Author Contributions

Conceptualization, M.D.l.S.; Methodology, M.D.l.S. and A.I.; Software, A.I.; Validation, A.I.; Formal analysis, M.D.l.S. and A.I.; Investigation, M.D.l.S. and A.I.; Data curation, A.J.G. and I.G.; Writing—original draft, M.D.l.S.; Project administration, A.J.G. and I.G.; Funding acquisition, A.J.G. and I.G. All authors have read and agreed to the published version of the manuscript.

Funding

This research was funded by Basque Government, grant number [IT1555-22].

Data Availability Statement

The original contributions presented in this study are included in the article. Further inquiries can be directed to the corresponding author.

Acknowledgments

The authors would like to thank the Basque Government for supporting this research work through Grant IT1555-22. They also thank MICIU/AEI/10.13039/501100011033 and FEDER/UE for partially funding their research work through Grants PID2021-123543OB-C21 and PID2021-123543OB-C22.

Conflicts of Interest

The authors declare that they have no competing interests.

References

  1. Yang, Z.; Xu, D. Stability analysis and design of impulsive control systems with time delay. IEEE Trans. Autom. Control 2007, 52, 1448–1454. [Google Scholar]
  2. Li, X.; Li, P. Stability of time-delay systems with impulsive control involving stabilizing delays. Automatica 2021, 124, 109336. [Google Scholar]
  3. Li, X.; Song, S. Stabilization of delay systems: Delay-dependent impulsive control. IEEE Trans. Autom. Control 2016, 62, 406–411. [Google Scholar]
  4. Zhang, Y.; Sun, J.; Feng, G. Impulsive control of discrete systems with time delay. IEEE Trans. Autom. Control 2009, 54, 830–834. [Google Scholar]
  5. Sau, N.H.; Thuan, M.V.; Phuong, N.T. Exponential stability for discrete-time impulsive positive singular system with time delays. Int. J. Syst. Sci. 2024, 55, 1510–1527. [Google Scholar]
  6. Goldstein, A.A. Constructive Real Analysis; Harper’s Series in Modern Mathematics; New York-Evanston-London Harper and Row: New York, NY, USA, 1967; p. 17. Available online: https://zbmath.org/?format=complete&q=an:0189.49703 (accessed on 1 October 2024).
  7. Rhoades, B.E. Some theorems of weakly contractive maps. Nonlinear Anal. Theory Methods Appl. 2001, 47, 2683–2693. [Google Scholar]
  8. Berinde, V.; Takens, F. Iterative Approximation of Fixed Points; Lecture Notes in Mathematics; Springer: Berlin, Germany, 1912. [Google Scholar]
  9. Bhaumik, S.; Tiwari, S.K. General weak contraction of continuous and discontinuous functions. Int. J. Pure Appl. Math. 2018, 119, 167–177. [Google Scholar]
  10. Zamfirescu, T. Fixed point theorems in metric spaces. Arch Math. 1974, 23, 292–298. [Google Scholar]
  11. George, S.; Shaini, P. Convergence theorems for a class of Zamfirescu operators. Int. Math. Forum 2012, 7, 1785–1792. [Google Scholar]
  12. De la Sen, M. Linking contractive self-mappings and cyclic Meir-Keeler contractions with Kannan self-mappings. Fixed Point Theory Appl. 2010, 2010, 572057. [Google Scholar] [CrossRef]
  13. Chang, S.S.; Cho, Y.J.; Zhou, H. Demi-closed principle and weak convergence problems for asymptotically nonexpansive mappings. J. Korean Math. Soc. 2001, 38, 1245–1260. [Google Scholar]
  14. Amini-Harandi, A. Fixed point theory for quasi-contraction maps in b-metric spaces. Fixed Point Theory 2014, 15, 351–358. [Google Scholar]
  15. Aslantas, M.; Sahin, H.; Altun, I.; Saadoon, T.H.S. A new type of R-contraction and its best proximity points. AIMS Math. 2024, 9, 9692–9704. [Google Scholar]
  16. Azmi, F.M. Wardowski contraction on controlled S-metric spaces with fixed point results. Int. J. Anal. Appl. 2024, 22, 151. [Google Scholar]
  17. Salisu, S.; Berinde, V.; Sriwongsa, S.; Kumam, P. On approximating fixed points of strictly pseudocontractive mappings in metric spaces. Carpathian J. Math. 2024, 40, 419–430. [Google Scholar]
  18. Navascues, M.A.; Mohapatra, R.N. Fixed point dynamics in new type of contraction in b-metric spaces. Symmetry 2024, 16, 506. [Google Scholar] [CrossRef]
  19. Mesmouli, M.B.; Akin, E.; Lambor, L.F.; Tunç, O.; Hassan, T.S. On the fixed point theorem for large contraction mappings with applications to delay fractional differential equations. Fractal Fract. 2024, 8, 703. [Google Scholar] [CrossRef]
  20. Burton, T.A.; Zhang, B. Fixed points and fractional differential equations: Examples. Fixed Point Theory 2013, 14, 313–326. [Google Scholar]
  21. Nazam, M.; Park, C.; Arshad, N. Fixed point problems for generalized contractions with applications. Adv. Differ. Equ. 2021, 2021, 247. [Google Scholar]
  22. Burton, T.A.; Purnaras, I.K. Necessary and sufficient conditions for large contractions in fixed point theory. Electron. J. Qual. Theory Differ. Equ. 2019, 219, 94. [Google Scholar]
  23. Moga, M.; Petruşel, A. Large contractions and surjectivity in Banach spaces. In Springer Proceedings in Mathematics & Statistics, Proceedings of the Applied Analysis, Optimization and Soft Computing ICNAAO 2021; Som, T., Ghosh, D., Castillo, O., Petruşel, A., Sahu, D., Eds.; Springer: Singapore, 2023; Volume 419, pp. 3–12. [Google Scholar]
  24. Karapınar, E.; Fulga, A.; Rashid, M.; Shahid, L.; Aydi, H. Large contractions on quasi-metric spaces with an application to nonlinear fractional differential equations. Mathematics 2019, 7, 444. [Google Scholar] [CrossRef]
  25. Raffoul, Y.N. The case for large contraction in functional difference equations. In Springer Proceedings in Mathematics & Statistics, Proceedings of the Advances in Difference Equations and Discrete Dynamical Systems ICDEA 2016; Elaydi, S., Hamaya, Y., Matsunaga, H., Pötzsche, C., Eds.; Springer: Singapore, 2017; Volume 212, pp. 207–218. [Google Scholar]
  26. Özyurt, S.G. A fixed point theorem for extended large contraction mappings. Results Nonlinear Anal. 2018, 2018, 46–48. [Google Scholar]
  27. Eloe, P. The large contraction principle and the existence of periodic solutions for infinite delay Volterra difference equations. Turk. J. Math. 2019, 43, 14. [Google Scholar] [CrossRef]
  28. Algehyne, E.A.; Aldhabani, M.S.; Khan, F.A. Relational contractions involving (c)-comparison functions with applications to boundary value problems. Mathematics 2023, 11, 1277. [Google Scholar] [CrossRef]
  29. Delasen, M. Adaptive sampling for improving the adaptation transients in hybrid adaptive-control. Int. J. Control 1985, 41, 1189–1205. [Google Scholar] [CrossRef]
  30. Delasen, M. Application of the non-periodic sampling to the identifiability and model-matching problems in dynamic-systems. Int. J. Syst. Sci. 1983, 14, 367–383. [Google Scholar]
  31. Delasen, M. A method for improving the adaptation transient using adaptive sampling. Int. J. Control. 1984, 40, 639–665. [Google Scholar]
  32. Loria, A.; Panteley, E. Uniform exponential stability of linear time-varying systems: Revisited. Syst. Control. Lett. 2002, 47, 13–24. [Google Scholar]
  33. Hill, A.T.; Ilchmann, A. Exponential stability of time-varying linear systems. IMA J. Numer. Anal. 2011, 31, 865–885. [Google Scholar] [CrossRef][Green Version]
  34. Ioannou, P.; Datta, A. Robust adaptive control design, analysis and robustness bounds. In Foundations of Adaptive Control; Lecture Notes in Control and Information Sciences; Kokotovic, P.V., Thoma, M., Wyner, A., Eds.; Springer: Berlin, Germany, 1991; pp. 72–152. [Google Scholar]
  35. Stamova, I.; Stamov, G. Applied Impulsive Mathematical Models; CMS Books in Mathematics; Springer: Cham, Switzerland, 2016. [Google Scholar]
  36. Bainov, D.; Simeonov, P. Impulsive Differential Equations: Periodic Solutions and Applications; Pitman Monographs and Surveys in Pure and Applied Mathematics No. 66; Longman Scientific and Technical: Essex, UK, 1993. [Google Scholar]
  37. Green, S. Impulsive Control for the Short Time Convergence of the Second Order System. Master’s Thesis, University of Alabama, Huntsville, AL, USA, 2015. [Google Scholar]
  38. Bouaouid, M.; Kajouni, A.; Hilal, K.; Melliani, S. A class of nonlocal impulsive differential equations with conformable fractional derivative. Cubo. A Math. J. 2022, 24, 439–455. [Google Scholar] [CrossRef]
  39. Xie, S.L.; Xie, Y.M. Existence results of damped second-order impulsive functional equations. Acta Math. Appl. Sin. Engl. Ser. 2019, 35, 564–579. [Google Scholar]
  40. Ortega, J.M. Numerical Analysis; Academic Press: Cambridge, MA, USA, 1972. [Google Scholar]
  41. Antón-Sancho, A. Fixed points of principal E 6-bundles over a compact algebraic curve. Quaest. Math. 2024, 47, 501–513. [Google Scholar]
  42. Mamayusupov, K.; Çilingir, F.; Ruziboev, M.; Ibragimov, G.; Pansera, B.A. Special Curves for Cubic Polynomials. Mathematics 2025, 13, 401. [Google Scholar] [CrossRef]
  43. Crasmareanu, M.; Pripoae, C.L.; Pripoae, G.T. CR-Selfdual Cubic Curves. Mathematics 2025, 13, 317. [Google Scholar] [CrossRef]
  44. Sancho, A.A. Higgs pairs with structure group E6 over a smooth projective connected curve. Results Math. 2025, 80, 42. [Google Scholar]
Figure 1. Singular values of the matrix A(t) of Example 1.
Figure 1. Singular values of the matrix A(t) of Example 1.
Mathematics 13 01157 g001
Figure 2. Singular values of P(t) in Example 1.
Figure 2. Singular values of P(t) in Example 1.
Mathematics 13 01157 g002
Figure 3. Trajectories of the system for different initial conditions. All of them converge to the equilibrium point (fixed point) given by (0,0).
Figure 3. Trajectories of the system for different initial conditions. All of them converge to the equilibrium point (fixed point) given by (0,0).
Mathematics 13 01157 g003
Figure 4. Trajectories of the system for different values of the jump (impulse) in the states, with the time between impulses fixed (5 s). In (a), it can be observed that if the value of the jump is too high ( K A  = 2), the system is unstable, and the trajectory diverges. In (b), the value of the jump has been decreased to K A  = 1.5, and the trajectory is stable, although its convergence speed is slow. In (c), the jump value is K A  = 1.05, and the stability of the system can be observed, with both trajectories converging to the fixed point (0,0).
Figure 4. Trajectories of the system for different values of the jump (impulse) in the states, with the time between impulses fixed (5 s). In (a), it can be observed that if the value of the jump is too high ( K A  = 2), the system is unstable, and the trajectory diverges. In (b), the value of the jump has been decreased to K A  = 1.5, and the trajectory is stable, although its convergence speed is slow. In (c), the jump value is K A  = 1.05, and the stability of the system can be observed, with both trajectories converging to the fixed point (0,0).
Mathematics 13 01157 g004
Figure 5. Effect of varying the distance between impulses on the convergence of the trajectories to the equilibrium point given a value of the jump in the states set to K A  = 1.1. In (a), the separation between pulses is only 2 s; in (b), it is 4 s; and in (c), the separation is 8 s.
Figure 5. Effect of varying the distance between impulses on the convergence of the trajectories to the equilibrium point given a value of the jump in the states set to K A  = 1.1. In (a), the separation between pulses is only 2 s; in (b), it is 4 s; and in (c), the separation is 8 s.
Mathematics 13 01157 g005
Figure 6. Asymptotic stability of the system for different initial conditions, when impulse value K A  = 1.1 and impulse separation of 5 s.
Figure 6. Asymptotic stability of the system for different initial conditions, when impulse value K A  = 1.1 and impulse separation of 5 s.
Mathematics 13 01157 g006
Figure 7. State divergence associated with an unstable dynamics matrix.
Figure 7. State divergence associated with an unstable dynamics matrix.
Mathematics 13 01157 g007
Figure 8. Trajectories of the system for a fixed distance between impulses of 10 s and different step values. In (a), K A = 0.85; in (b), K A = 0.5; and in (c), K A = 0.35.
Figure 8. Trajectories of the system for a fixed distance between impulses of 10 s and different step values. In (a), K A = 0.85; in (b), K A = 0.5; and in (c), K A = 0.35.
Mathematics 13 01157 g008
Figure 9. Trajectories for an impulsive jump in the state of K A  = 0.35 and different distances between impulses. In (a), the separation between impulses is 15 s; in (b), it is 10 s; and in (c), it is 6 s.
Figure 9. Trajectories for an impulsive jump in the state of K A  = 0.35 and different distances between impulses. In (a), the separation between impulses is 15 s; in (b), it is 10 s; and in (c), it is 6 s.
Mathematics 13 01157 g009
Figure 10. Trajectories in the presence of small variations in the dynamics matrix and impulsive stabilization. In (a), the bounded trajectories for the original system are observed, and in (b), the trajectories for the perturbed system are shown. A small variation in the coefficients of the system generates a lack of boundedness in the trajectories.
Figure 10. Trajectories in the presence of small variations in the dynamics matrix and impulsive stabilization. In (a), the bounded trajectories for the original system are observed, and in (b), the trajectories for the perturbed system are shown. A small variation in the coefficients of the system generates a lack of boundedness in the trajectories.
Mathematics 13 01157 g010
Figure 11. System trajectories (a) and switching law (b) that guarantees asymptotic stability.
Figure 11. System trajectories (a) and switching law (b) that guarantees asymptotic stability.
Mathematics 13 01157 g011
Figure 12. System trajectories (a) and alternative switching law (b) that guarantees asymptotic stability.
Figure 12. System trajectories (a) and alternative switching law (b) that guarantees asymptotic stability.
Mathematics 13 01157 g012
Disclaimer/Publisher’s Note: The statements, opinions and data contained in all publications are solely those of the individual author(s) and contributor(s) and not of MDPI and/or the editor(s). MDPI and/or the editor(s) disclaim responsibility for any injury to people or property resulting from any ideas, methods, instructions or products referred to in the content.

Share and Cite

MDPI and ACS Style

De la Sen, M.; Ibeas, A.; Garrido, A.J.; Garrido, I. Fixed Points of Self-Mappings with Jumping Effects: Application to Stability of a Class of Impulsive Dynamic Systems. Mathematics 2025, 13, 1157. https://doi.org/10.3390/math13071157

AMA Style

De la Sen M, Ibeas A, Garrido AJ, Garrido I. Fixed Points of Self-Mappings with Jumping Effects: Application to Stability of a Class of Impulsive Dynamic Systems. Mathematics. 2025; 13(7):1157. https://doi.org/10.3390/math13071157

Chicago/Turabian Style

De la Sen, Manuel, Asier Ibeas, Aitor J. Garrido, and Izaskun Garrido. 2025. "Fixed Points of Self-Mappings with Jumping Effects: Application to Stability of a Class of Impulsive Dynamic Systems" Mathematics 13, no. 7: 1157. https://doi.org/10.3390/math13071157

APA Style

De la Sen, M., Ibeas, A., Garrido, A. J., & Garrido, I. (2025). Fixed Points of Self-Mappings with Jumping Effects: Application to Stability of a Class of Impulsive Dynamic Systems. Mathematics, 13(7), 1157. https://doi.org/10.3390/math13071157

Note that from the first issue of 2016, this journal uses article numbers instead of page numbers. See further details here.

Article Metrics

Back to TopTop