Hydrodynamic Analysis of Scale-Down Model Tests of Membrane-Type Floating Photovoltaic Under Different Sea States
Abstract
1. Introduction
2. Experimental Methodology
2.1. Experimental Site
2.2. Prototype and Scaling
2.3. Mooring Configuration
2.4. Measurement Sensors
2.5. Testing Conditions
2.6. Weibull Probability Distribution
2.7. Uncertainty Analysis
3. Results and Discussion
3.1. Hydrostatic Tests
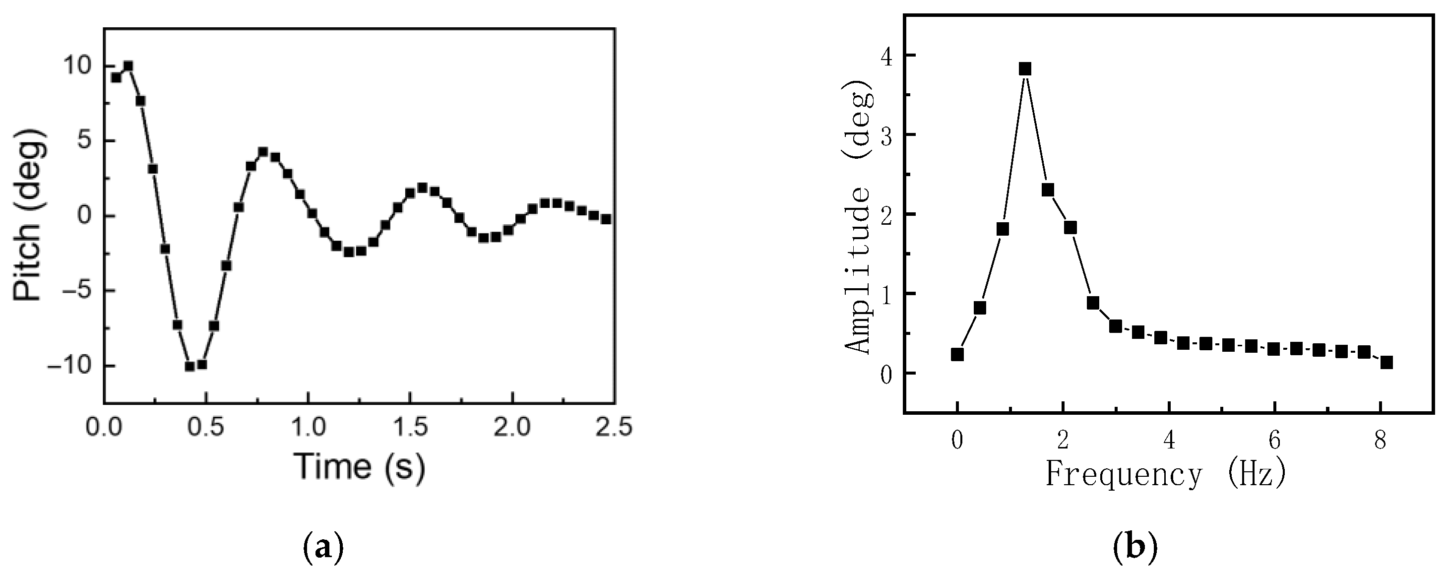
3.2. Hydrodynamic Tests
4. Conclusions
Author Contributions
Funding
Institutional Review Board Statement
Informed Consent Statement
Data Availability Statement
Conflicts of Interest
References
- Kougias, I.; Taylor, N.; Kakoulaki, G.; Jäger-Waldau, A. The role of photovoltaics for the European Green Deal and the recovery plan. Renew. Sustain. Energy Rev. 2021, 144, 111017. [Google Scholar] [CrossRef]
- Wang, J.; Ren, Y.; Shi, W.; Collu, M.; Vengatesan, V.; Li, X. Multi-objective optimization design for a 15 MW semisubmersible floating offshore wind turbine using evolutionary algorithm. Appl. Energy 2025, 377, 124533. [Google Scholar] [CrossRef]
- Ali, A.; Shi, W.; Wang, S.; Zhai, H.; Haider, R.; Leng, S.; Li, X.; Han, X. Dynamic analysis of a TetraSpar floating offshore wind turbine with different tendons failure scenario. Ocean Eng. 2025, 323, 120607. [Google Scholar] [CrossRef]
- Bian, Y.; Yunfang, L. Review on the development of photovoltaic power generation system of new energy. IOP Conf. Ser. Earth Environ. Sci. 2018, 186, 012078. [Google Scholar] [CrossRef]
- Guney, M.S. Solar power and application methods. Renew. Sustain. Energy Rev. 2016, 57, 776–785. [Google Scholar] [CrossRef]
- Gul, M.; Kotak, Y.; Muneer, T. Review on recent trend of solar photovoltaic technology. Energy Explor. Exploit. 2016, 34, 485–526. [Google Scholar] [CrossRef]
- Xiong, L.; Le, C.; Zhang, P.; Ding, H. Hydrodynamic characteristics of floating photovoltaic systems based on membrane structures in maritime environment. Ocean Eng. 2025, 315, 119827. [Google Scholar] [CrossRef]
- Pérez-Collazo, C.; Greaves, D.; Iglesias, G. A review of combined wave and offshore wind energy. Renew. Sustain. Energy Rev. 2015, 42, 141–153. [Google Scholar] [CrossRef]
- Wang, J.; Lund, P.D. Review of recent offshore photovoltaics development. Energies 2022, 15, 7462. [Google Scholar] [CrossRef]
- Essak, L.; Ghosh, A. Floating photovoltaics: A review. Clean Technol. 2022, 4, 752–769. [Google Scholar] [CrossRef]
- Floating PV: On the Rise in Europe. Available online: https://www.intersolar.de/market-trends/floating-pv-europe (accessed on 20 October 2025).
- Floating Solar: Emerging Technology Doubling Installed Power per Year. Available online: https://ratedpower.com/blog/floating-solar/ (accessed on 20 October 2025).
- Annual Floating Solar Additions to Top 6 GW by 2031, Says WoodMac. Available online: https://www.pv-magazine-india.com/2023/05/29/annual-floating-solar-additions-to-top-6-gw-by-2031-says-woodmac/ (accessed on 20 October 2025).
- 10 GW of Floating Solar by 2022: Current Status and Steps Needed to Achieve the Target. Available online: https://solarquarter.com/2021/05/24/10-gw-of-floating-solar-by-2022-current-status-and-steps-needed-to-achieve-the-target/ (accessed on 20 October 2025).
- Cuce, E.; Cuce, P.M.; Saboor, S.; Ghosh, A.; Sheikhnejad, Y. Floating PVs in terms of power generation, environmental aspects, market potential, and challenges. Sustainability 2022, 14, 2626. [Google Scholar] [CrossRef]
- Ghosh, A. A comprehensive review of water based PV: Flotavoltaics, under water, offshore & canal top. Ocean Eng. 2023, 281, 115044. [Google Scholar] [CrossRef]
- El Hammoumi, A.; Chtita, S.; Motahhir, S.; El Ghzizal, A. Solar PV energy: From material to use, and the most commonly used techniques to maximize the power output of PV systems: A focus on solar trackers and floating solar panels. Energy Rep. 2022, 8, 11992–12010. [Google Scholar] [CrossRef]
- Oliveira-Pinto, S.; Stokkermans, J. Marine floating solar plants: An overview of potential, challenges and feasibility. Proc. Inst. Civ. Eng. Marit. Eng. 2020, 173, 120–135. [Google Scholar] [CrossRef]
- Floating Photovoltaic System Cost Benchmark: Q1 2021 Installations on Artificial Water Bodies. Available online: https://research-hub.nrel.gov/en/publications/floating-photovoltaic-system-cost-benchmark-q1-2021-installations/ (accessed on 20 October 2025).
- Sahu, A.; Yadav, N.; Sudhakar, K. Floating photovoltaic power plant: A review. Renew. Sustain. Energy Rev. 2016, 66, 815–824. [Google Scholar] [CrossRef]
- Where Sun Meets Water: Floating Solar Market Report. Available online: https://www.worldbank.org/en/topic/energy/publication/where-sun-meets-water/ (accessed on 20 October 2025).
- Xiong, L.; Le, C.; Zhang, P.; Ding, H.; Li, J. Harnessing the power of floating photovoltaic: A global review. J. Renew. Sustain. Energy 2023, 15, 052701. [Google Scholar] [CrossRef]
- Kim, S.; Yoon, S.; Choi, W.; Choi, K. Application of floating photovoltaic energy generation systems in South Korea. Sustainability 2016, 8, 1333. [Google Scholar] [CrossRef]
- Crago, C.L.; Koegler, E. Drivers of growth in commercial-scale solar PV capacity. Energy Policy 2018, 120, 481–491. [Google Scholar] [CrossRef]
- Lee, G.; Choi, J.; Seo, J.; Ha, H. Comparative study of the effect of wind and wave load on floating PV: Computational simulation and design method. J. Korean Soc. Manuf. Process Eng. 2019, 18, 9–17. [Google Scholar] [CrossRef]
- Song, J.; Kim, J.; Lee, J.; Kim, S.; Chung, W. Dynamic response of multiconnected floating solar panel systems with vertical cylinders. J. Mar. Sci. Eng. 2022, 10, 189. [Google Scholar] [CrossRef]
- Choi, Y.K.; Lee, J.H. Structural safety assessment of ocean-floating photovoltaic structure model. Isr. J. Chem. 2015, 55, 1081–1090. [Google Scholar] [CrossRef]
- Haiyang (Offshore)|Ocean Sun. Available online: https://oceansun.no/project/haiyang-offshore/ (accessed on 20 October 2025).
- SPIC, Ocean Sun Switch on Offshore Floating Solar-Wind Pilot. Available online: https://www.pv-magazine.com/2022/11/02/spic-ocean-sun-build-worlds-first-offshore-floating-solar-wind-park/ (accessed on 20 October 2025).
- Xu, P.; Wellens, P.R. Theoretical analysis of nonlinear fluid–structure interaction between large-scale polymer offshore floating photovoltaics and waves. Ocean Eng. 2022, 249, 110829. [Google Scholar] [CrossRef]
- Campana, P.E.; Wästhage, L.; Nookuea, W.; Tan, Y.; Yan, J. Optimization and assessment of floating and floating-tracking PV systems integrated in on- and off-grid hybrid energy systems. Sol. Energy 2019, 177, 782–795. [Google Scholar] [CrossRef]
- Dai, J.; Zhang, C.; Lim, H.V.; Ang, K.K.; Qian, X.; Wong, J.L.H.; Tan, S.T.; Wang, C.L. Design and construction of floating modular photovoltaic system for water reservoirs. Energy 2020, 191, 116549. [Google Scholar] [CrossRef]
- WO2017209625—Solar Power Plant. Available online: https://patentscope.wipo.int/search/en/detail.jsf?docId=WO2017209625/ (accessed on 20 October 2025).
- WO2020040643—A Solar Power Plant and Method of Installing a Solar Power Plant. Available online: https://patentscope.wipo.int/search/en/detail.jsf?docId=WO2020040643/ (accessed on 20 October 2025).
- Xiong, L. Research on the Hydrodynamic Characteristics of Offshore Floating Photovoltaic Systems Based on Membrane Structures. Master’s Thesis, Tianjin University, Tianjin, China, 2024. [Google Scholar]

















| Country | Policies |
|---|---|
| Singapore | The government has emphasized the need for innovation and sustainable solutions in FPV to meet its energy goals. |
| China | The government has introduced various policies to support the development of FPV, including financial subsidies, feed-in tariffs, and tax incentives. The government also encourages the exploration of combined development of offshore wind power, solar power, and marine farming, integrating renewable energy sources for sustainable development. |
| Japan | The government has established a feed-in tariff scheme for FPV to promote its deployment. They have also implemented a certification system for FPV technology and provided subsidies for research and development. |
| South Korea | The government has provided additional bonuses for renewable energy certificates and has opened tender processes for water-lease contracts by the relevant water management entities. |
| US | Some states have implemented net metering policies, which allow FPV system owners to sell excess electricity back to the grid. There may be an extra “adder” value for floating solar generation under the compensation rates of the state incentives program. |
| Norway | The government has encouraged research, demonstration projects, and pilot programs for FPV, with a focus on utilizing its vast water resources for renewable energy production. |
| UK | The UK’s Crown Estate, which manages the country’s seabed, has identified areas suitable for floating solar and wind projects. |
| Netherlands | The government has established the North Sea Energy Program, which aims to facilitate the development of offshore renewable energy projects, including floating solar and wind projects. |
| Density (g/cm3) | Thickness (mm) | Young’s Modulus (GPa) | Shear Modulus (GPa) | Poisson’s Ratio | |
|---|---|---|---|---|---|
| Floating ring | 1.1 | 2 | 0.36 | 0.24 | 0.25 |
| Fastener | 2.3 | 10 | 1.07 | 0.37 | 0.41 |
| Ring-shaped film | 0.7 | 1.5 | 0.13 | 0.05 | 0.38 |
| Horizontal film | 0.5 | 2 | - | - | - |
| Cross-Sectional Diameter | Cross-Sectional Thickness | Height | Diameter | Length | |
|---|---|---|---|---|---|
| Inner ring | 20 mm | 2 mm | 0 | 1.2 m | 3.77 m |
| Outer ring | 16 mm | 2 mm | 0 | 1.3 m | 4.1 m |
| Top ring | 10 mm | 2 mm | 5 cm | 1.2 m | 3.77 m |
| Test Group | Sea State | Prototype Wave Height | Prototype Wave Period | Model Wave Height | Model Wave Period |
|---|---|---|---|---|---|
| 1 | 1 | 0.5 m | 3.2 s | 0.0125 m | 0.51 s |
| 2 | 2 | 1 m | 4.1 s | 0.025 m | 0.65 s |
| 3 | 3 | 2 m | 7.1 s | 0.05 m | 1.12 s |
| 4 | 4 | 3 m | 8.2 s | 0.075 m | 1.30 s |
| 5 | 6 | 4 m | 9.2 s | 0.1 m | 1.45 s |
| 6 | 7 | 5 m | 11.1 s | 0.125 m | 1.76 s |
| 7 | 8 | 7 m | 12.4 s | 0.175 m | 1.96 s |
Disclaimer/Publisher’s Note: The statements, opinions and data contained in all publications are solely those of the individual author(s) and contributor(s) and not of MDPI and/or the editor(s). MDPI and/or the editor(s) disclaim responsibility for any injury to people or property resulting from any ideas, methods, instructions or products referred to in the content. |
© 2025 by the authors. Licensee MDPI, Basel, Switzerland. This article is an open access article distributed under the terms and conditions of the Creative Commons Attribution (CC BY) license.
Share and Cite
Qi, X.; Xiong, L.; Zhang, L.; Zhang, P. Hydrodynamic Analysis of Scale-Down Model Tests of Membrane-Type Floating Photovoltaic Under Different Sea States. Appl. Sci. 2026, 16, 331. https://doi.org/10.3390/app16010331
Qi X, Xiong L, Zhang L, Zhang P. Hydrodynamic Analysis of Scale-Down Model Tests of Membrane-Type Floating Photovoltaic Under Different Sea States. Applied Sciences. 2026; 16(1):331. https://doi.org/10.3390/app16010331
Chicago/Turabian StyleQi, Xin, Lichao Xiong, Linyang Zhang, and Puyang Zhang. 2026. "Hydrodynamic Analysis of Scale-Down Model Tests of Membrane-Type Floating Photovoltaic Under Different Sea States" Applied Sciences 16, no. 1: 331. https://doi.org/10.3390/app16010331
APA StyleQi, X., Xiong, L., Zhang, L., & Zhang, P. (2026). Hydrodynamic Analysis of Scale-Down Model Tests of Membrane-Type Floating Photovoltaic Under Different Sea States. Applied Sciences, 16(1), 331. https://doi.org/10.3390/app16010331

