Sign in to use this feature.

Years

Between: -

Subjects

remove_circle_outline
remove_circle_outline
remove_circle_outline
remove_circle_outline
remove_circle_outline
remove_circle_outline
remove_circle_outline
remove_circle_outline
remove_circle_outline

Journals

remove_circle_outline
remove_circle_outline
remove_circle_outline
remove_circle_outline
remove_circle_outline
remove_circle_outline
remove_circle_outline
remove_circle_outline
remove_circle_outline
remove_circle_outline
remove_circle_outline
remove_circle_outline
remove_circle_outline
remove_circle_outline

Article Types

Countries / Regions

remove_circle_outline
remove_circle_outline
remove_circle_outline
remove_circle_outline
remove_circle_outline

Search Results (626)

Search Parameters:
Keywords = investment science

Order results
Result details
Results per page
Select all
Export citation of selected articles as:
8 pages, 208 KB  
Editorial
Editorial for the Special Issue: Nature-Based Solutions to Extreme Wildfires
by Adrián Regos
Fire 2026, 9(1), 47; https://doi.org/10.3390/fire9010047 - 21 Jan 2026
Viewed by 131
Abstract
Extreme wildfires are becoming increasingly frequent and severe across many regions worldwide, driven by climate change, land-use transitions, and long-standing fire-suppression legacies. In this context, Nature-based Solutions (NbS)—defined as actions that work with ecological processes to address societal challenges while providing biodiversity and [...] Read more.
Extreme wildfires are becoming increasingly frequent and severe across many regions worldwide, driven by climate change, land-use transitions, and long-standing fire-suppression legacies. In this context, Nature-based Solutions (NbS)—defined as actions that work with ecological processes to address societal challenges while providing biodiversity and socio-economic benefits—offer a promising yet underdeveloped pathway for enhancing wildfire resilience. This Special Issue brings together eleven contributions spanning empirical ecology, landscape configuration, simulation modelling, spatial optimisation, ecosystem service analysis, governance assessment, and community-based innovation. Collectively, these studies demonstrate that restoring ecological fire regimes, promoting multifunctional landscapes, and integrating advanced decision support tools can substantially reduce wildfire hazard while sustaining ecosystem functions. They also reveal significant governance barriers, including fragmented policies, limited investment in prevention, and challenges in incorporating social demands into territorial planning. By synthesising these insights, this editorial identifies several strategic priorities for advancing NbS in fire-prone landscapes: mainstreaming prevention within governance frameworks, strengthening the science–practice interface, investing in long-term socio-ecological monitoring, managing trade-offs transparently, and empowering local communities. Together, the findings highlight that effective NbS emerge from the alignment of ecological, technological, institutional, and social dimensions, offering a coherent pathway toward more resilient, biodiverse, and fire-adaptive landscapes. Full article
14 pages, 1372 KB  
Article
The Organizational Transformation of Artificial Intelligence in Smart Cities: An Urban Artificial Intelligence Governance Maturity Model
by Omar Alrasbi and Samuel T. Ariaratnam
Urban Sci. 2026, 10(1), 63; https://doi.org/10.3390/urbansci10010063 - 20 Jan 2026
Viewed by 139
Abstract
The transformative potential of Artificial Intelligence (AI) in urban management is severely constrained by pervasive systemic fragmentation. While AI applications demonstrate high efficacy within isolated domains, they rarely achieve the cross-domain integration necessary for realizing systemic benefits. Our prior research identified this fragmentation [...] Read more.
The transformative potential of Artificial Intelligence (AI) in urban management is severely constrained by pervasive systemic fragmentation. While AI applications demonstrate high efficacy within isolated domains, they rarely achieve the cross-domain integration necessary for realizing systemic benefits. Our prior research identified this fragmentation paradox, revealing that 91.5% of urban AI implementations operate at the lowest levels of integration. While the Urban Systems Artificial Intelligence Framework (UAIF) offers a technical blueprint for integration, realizing this vision is contingent upon organizational readiness. This paper addresses this critical gap by introducing the Urban AI Governance Maturity Model (UAIG), developed using a Design Science Research methodology. Distinguished from generic maturity models, the UAIG operationalizes Socio-Technical Systems theory by establishing a direct Governance-Technology Interlock that specifically links organizational maturity levels to the engineering requirements of cross-domain AI. The model defines five maturity levels across five critical dimensions: Strategy and Investment; Organizational Structure and Culture; Data Governance and Policy; Technical Capacity and Interoperability; and Trust, Ethics, and Security. Through illustrative applications, we demonstrate how the UAIG serves as a diagnostic tool and a strategic roadmap, enabling policymakers to bridge the gap between technical possibility and organizational reality. Full article
Show Figures

Figure 1

27 pages, 4668 KB  
Review
Macaúba (Acrocomia aculeata) as a Sustainable Alternative for the Bioindustry: A Bibliometric Review of Applications as Phytochemicals, Bioactives, and Biodiesel
by Lucas Costa da Silva, Maria Vanderly Nascimento Cavalcante, Mauricio Dorneles Lima, Bruna Araújo de Sousa, Ângella Eduarda da Silva Sousa, Alisson Justino Alves da Silva, Nair Silva Macêdo, Zildene de Sousa Silveira, Francisco Nascimento Pereira Junior, Francisco Assis Bezerra da Cunha, Luciana Medeiros Bertini and Maria Alexsandra de Sousa Rios
Sustainability 2026, 18(2), 1035; https://doi.org/10.3390/su18021035 - 20 Jan 2026
Viewed by 168
Abstract
This research aimed to conduct a bibliometric review on Acrocomia aculeata (Jacq.) Lodd. ex Mart., popularly known as “macaúba”, a palm tree of the Arecaceae family with great potential to promote sustainable practices. The review focused on the applications associated with [...] Read more.
This research aimed to conduct a bibliometric review on Acrocomia aculeata (Jacq.) Lodd. ex Mart., popularly known as “macaúba”, a palm tree of the Arecaceae family with great potential to promote sustainable practices. The review focused on the applications associated with the oil, pulp, and almonds of the fruit, products that can be used in industries such as food, cosmetics, and bioenergy, contributing to the development of more ecological production chains with less environmental impact. Data were collected from the Scopus, Web of Science, and ScienceDirect databases for publications related to phytochemical and bioactive aspects, while only Web of Science was used for data on energy aspects. The documents found were analyzed in the VOSviewer software (version 1.6.20), allowing the creation of bibliometric networks (clusters) and tables on scientific production. The analyses included authors, co-authors, countries, institutions, journal sources, and keywords. For phytochemical and bioactive aspects, the search resulted in 1026 articles, of which 261 were selected after applying the exclusion criteria. For energy aspects, 99 publications were found. Based on the data, it was possible to analyze the existing research on A. aculeata, identifying the state of the research and possible gaps in studies related to this oilseed. The results highlight the importance of macaúba as a sustainable alternative for diversifying agricultural and bioindustrial products, promoting the bioeconomy and contributing to the mitigation of environmental impacts. In addition, the research allowed us to identify the universities and researchers most dedicated to this species, their main results and the areas that still require investment to advance research. Thus, A. aculeata emerges as a relevant option to strengthen sustainable practices in key sectors, integrating economic, social, and environmental benefits. Full article
Show Figures

Figure 1

42 pages, 17863 KB  
Article
Evolution of Urban Spatial Morphology and Its Driving Mechanisms in Fujian Province Based on Multi-Source Nighttime Light Remote Sensing
by Yuanmao Zheng, Kexin Yang, Hui Lin, Wei Zhao and Siyi Lv
Remote Sens. 2026, 18(2), 331; https://doi.org/10.3390/rs18020331 - 19 Jan 2026
Viewed by 167
Abstract
Rapid urbanization complicates the precise, timely quantification of urban spatial morphology. This study examined urban spatial morphology in Fujian Province, integrating DMSP-OLS and NPP-VIIRS nighttime light imagery from 1992 to 2022 to extract the built-up urban footprint via the constructed VMNUI. This method [...] Read more.
Rapid urbanization complicates the precise, timely quantification of urban spatial morphology. This study examined urban spatial morphology in Fujian Province, integrating DMSP-OLS and NPP-VIIRS nighttime light imagery from 1992 to 2022 to extract the built-up urban footprint via the constructed VMNUI. This method achieved an overall accuracy >0.95 and a Kappa coefficient of 0.80 when the results were compared against land use samples. Utilizing Centroid Migration Analysis, clustering, Geographical Detector, and GTWR, we quantitatively analyzed Fujian’s urban spatial form and its driving mechanisms. The results indicate that the calibration and integration of NTL data effectively resolved saturation and overflow issues in the DMSP data, revealing an urban expansion rate of 3.79%, which centered on coastal areas. Geographical Detector analysis identified fixed-asset investment (q = 0.83), population (0.80), precipitation (0.78), and highway density (0.76) as dominant factors; GDP ∩ fixed-asset investment yielded the strongest interaction (0.873). GTWR further identified that slope aspect, GDP, and secondary industry share accelerated expansion in eastern Fujian, whereas population, urbanization rate, and mean temperature were key drivers of expansion in the west. This study analyzed the spatiotemporal evolution patterns and driving mechanisms of urban spatial form development in Fujian Province over a long period, and based on the results, actionable, science-based optimization strategies with practical implications are proposed for sustainable development in the region. Full article
Show Figures

Figure 1

27 pages, 4407 KB  
Systematic Review
Artificial Intelligence in Agri-Robotics: A Systematic Review of Trends and Emerging Directions Leveraging Bibliometric Tools
by Simona Casini, Pietro Ducange, Francesco Marcelloni and Lorenzo Pollini
Robotics 2026, 15(1), 24; https://doi.org/10.3390/robotics15010024 - 15 Jan 2026
Viewed by 327
Abstract
Agricultural robotics and artificial intelligence (AI) are becoming essential to building more sustainable, efficient, and resilient food systems. As climate change, food security pressures, and labour shortages intensify, the integration of intelligent technologies in agriculture has gained strategic importance. This systematic review provides [...] Read more.
Agricultural robotics and artificial intelligence (AI) are becoming essential to building more sustainable, efficient, and resilient food systems. As climate change, food security pressures, and labour shortages intensify, the integration of intelligent technologies in agriculture has gained strategic importance. This systematic review provides a consolidated assessment of AI and robotics research in agriculture from 2000 to 2025, identifying major trends, methodological trajectories, and underexplored domains. A structured search was conducted in the Scopus database—which was selected for its broad coverage of engineering, computer science, and agricultural technology—and records were screened using predefined inclusion and exclusion criteria across title, abstract, keywords, and eligibility levels. The final dataset was analysed through descriptive statistics and science-mapping techniques (VOSviewer, SciMAT). Out of 4894 retrieved records, 3673 studies met the eligibility criteria and were included. As with all bibliometric reviews, the synthesis reflects the scope of indexed publications and available metadata, and potential selection bias was mitigated through a multi-stage screening workflow. The analysis revealed four dominant research themes: deep-learning-based perception, UAV-enabled remote sensing, data-driven decision systems, and precision agriculture. Several strategically relevant but underdeveloped areas also emerged, including soft manipulation, multimodal sensing, sim-to-real transfer, and adaptive autonomy. Geographical patterns highlight a strong concentration of research in China and India, reflecting agricultural scale and investment dynamics. Overall, the field appears technologically mature in perception and aerial sensing but remains limited in physical interaction, uncertainty-aware control, and long-term autonomous operation. These gaps indicate concrete opportunities for advancing next-generation AI-driven robotic systems in agriculture. Funding sources are reported in the full manuscript. Full article
(This article belongs to the Special Issue Smart Agriculture with AI and Robotics)
Show Figures

Figure 1

20 pages, 733 KB  
Review
Treated Wastewater as an Irrigation Source in South Africa: A Review of Suitability, Environmental Impacts, and Potential Public Health Risks
by Itumeleng Kgobokanang Jacob Kekana, Pholosho Mmateko Kgopa and Kingsley Kwabena Ayisi
Water 2026, 18(2), 194; https://doi.org/10.3390/w18020194 - 12 Jan 2026
Viewed by 197
Abstract
Availability of irrigation water during growing seasons in the Republic of South Africa (RSA) remains a significant concern. Persistent droughts and unpredictable rainfall patterns attributed to climate change, coupled with an increasing population, have exacerbated irrigation water scarcity. Globally, treated wastewater has been [...] Read more.
Availability of irrigation water during growing seasons in the Republic of South Africa (RSA) remains a significant concern. Persistent droughts and unpredictable rainfall patterns attributed to climate change, coupled with an increasing population, have exacerbated irrigation water scarcity. Globally, treated wastewater has been utilised as an irrigation water source; however, despite global advances in the usage of treated wastewater, its suitability for irrigation in RSA remains a contentious issue. Considering this uncertainty, this review article aims to unravel the South African scenario on the suitability of treated wastewater for irrigation purposes and highlights the potential environmental impacts and public health risks. The review synthesised literature in the last two decades (2000–present) using Web of Science, ScienceDirect, ResearchGate, and Google Scholar databases. Findings reveal that treated wastewater can serve as a viable irrigation source in the country, enhancing various soil parameters, including nutritional pool, organic carbon, and fertility status. However, elevated levels of salts, heavy metals, and microplastics in treated wastewater resulting from insufficient treatment of wastewater processes may present significant challenges. These contaminants might induce saline conditions and increase heavy metals and microplastics in soil systems and water bodies, thereby posing a threat to public health and potentially causing ecological risks. Based on the reviewed literature, irrigation with treated wastewater should be implemented on a localised and pilot basis. This review aims to influence policy-making decisions regarding wastewater treatment plant structure and management. Stricter monitoring and compliance policies, revision of irrigation water standards to include emerging contaminants such as microplastics, and intensive investment in wastewater treatment plants in the country are recommended. With improved policies, management, and treatment efficiency, treated wastewater can be a dependable, sustainable, and practical irrigation water source in the country with minimal public health risks. Full article
(This article belongs to the Special Issue Sustainable Agricultural Water Management Under Climate Change)
Show Figures

Figure 1

19 pages, 463 KB  
Review
Family Caregiver Burden in Providing Home Healthcare for Migrant Older Adults: A Scoping Review
by Areej Al-Hamad, Yasin M. Yasin, Lujain Yasin and Shrishti Kumar
Fam. Sci. 2026, 2(1), 2; https://doi.org/10.3390/famsci2010002 - 8 Jan 2026
Viewed by 208
Abstract
Background/Objectives: Family members are the principal providers of home-based care for migrant older adults. Linguistic, cultural, and structural barriers within health systems exacerbate the caregiver burden across emotional, physical and financial domains. Although home healthcare services may alleviate this burden, variability in access, [...] Read more.
Background/Objectives: Family members are the principal providers of home-based care for migrant older adults. Linguistic, cultural, and structural barriers within health systems exacerbate the caregiver burden across emotional, physical and financial domains. Although home healthcare services may alleviate this burden, variability in access, cultural safety, and care coordination can also intensify it. This scoping review maps the evidence on the burden experienced by family caregivers who deliver home-based healthcare to migrant older adults and examines how these arrangements affect caregivers’ health and well-being. It synthesizes the literature on facilitators and barriers—including access, cultural-linguistic fit, coordination with formal services, and legal/immigration constraints—and distills implications for policy and practice to strengthen equitable, culturally responsive home care. Method: The Joanna Briggs Institute (JBI) scoping review framework was used to conduct the review. A comprehensive search was performed across six databases (CINAHL, Scopus, Web of Science, PsycINFO, MEDLINE and Sociological Abstracts) for articles published between 2000 and 2025. Studies were selected based on predefined inclusion criteria focusing on the family caregiver burden in providing home healthcare for migrant older adults. Data extraction and thematic analysis were conducted to identify key themes. Results: The review identified 20 studies across various geographical regions, highlighting four key themes: (1) Multidimensional Caregiver Burden, (2) The Influence of Gender, Family Hierarchy, and Migratory Trajectories on Caregiving, (3) Limited Access to Formal and Culturally Appropriate Support, and (4) Health Outcomes, Coping, and the Need for Community-Based Solutions. Conclusions: System-level reforms are required to advance equity in home healthcare for aging migrants. Priorities include establishing accountable cultural-safety training for providers; expanding multilingual access across intake, assessment, and follow-up; and formally recognizing and resourcing family caregivers (e.g., navigation support, respite, training, and financial relief). Investment in community-driven programs, frameworks and targeted outreach—co-designed with migrant communities—can mitigate isolation and improve uptake. While home healthcare is pivotal, structural inequities and cultural barriers continue to constrain equitable access. Addressing these gaps demands coordinated policy action, enhanced provider preparation, and culturally responsive care models. Future research should evaluate innovative frameworks that integrate community partnerships and culturally responsive practices to reduce the caregiver burden and improve outcomes for migrant families. Full article
Show Figures

Figure 1

32 pages, 2574 KB  
Article
Artificial Intelligence’s Role in Predicting Corporate Financial Performance: Evidence from the MENA Region
by Mayar A. Omar, Ismail I. Gomaa, Sara H. Sabry and Hosam Moubarak
J. Risk Financial Manag. 2026, 19(1), 51; https://doi.org/10.3390/jrfm19010051 - 8 Jan 2026
Viewed by 400
Abstract
This study classifies corporate financial performance in countries in the Middle East and North Africa (MENA) region, addressing the critical need for accurate and early identification of high-, moderate-, and low-performance companies. The selection of the MENA region was driven by its significant [...] Read more.
This study classifies corporate financial performance in countries in the Middle East and North Africa (MENA) region, addressing the critical need for accurate and early identification of high-, moderate-, and low-performance companies. The selection of the MENA region was driven by its significant economic growth, diverse market structures, and increasing attractiveness for foreign investment, which makes accurate financial performance assessment important. Despite the growing interest in AI applications for corporate financial performance, a research gap still persists. Existing studies focus primarily on bankruptcy and financial distress prediction in developed countries, with rather limited studies on multi-class financial performance classification in the MENA region. This study addresses a significant gap in the corporate financial performance evaluation literature, which is the lack of a robust, comparative evaluation of advanced DL techniques against conventional ML methods for multi-class corporate financial performance prediction using high-dimensional data. This study employs a design science research (DSR) approach by developing an evaluation analytics artifact that integrates structured preprocessing, dimensionality reduction, and comparative ML and DL modeling, following the relevance, design, and rigor cycles. By employing a design science research (DSR) methodology, the research used a dataset from the Compustat database, comprising 7971 firm-year observations from 2013 to 2024. A rigorous dimensionality reduction process, including pairwise correlation filtering, resulted in a final set of 15 key classification features. The study compared three machine learning techniques—random forests (RFs), support vector machines (SVMs), and eXtreme Gradient Boosting (XGBoost), against one deep learning technique, deep neural networks (DNNs), for classifying the corporate financial performance of MENA-region companies. The models were trained to classify corporations into three performance classes (low, moderate, and high), using the earnings per share (EPS) as the target variable. The empirical findings indicate that all four machine learning algorithms achieved meaningful predictive performance in classifying EPS-based corporate performance. Among the benchmark models, the support vector machine (SVM) and random forest (RF) classifiers produced stable and competitive results, indicating strong generalization capabilities across firms and periods. XGBoost consistently outperformed the traditional machine learning models, delivering the highest overall classification accuracy and superior discriminatory power, highlighting its effectiveness in capturing nonlinear relationships and complex feature interactions. Similarly, the deep neural network further improved classification performance relative to the benchmark models and exhibited comparable results to XGBoost, especially in modeling high-dimensional data. This superior performance can substantially enhance earnings performance classification through early performance deterioration and improvement identification, allowing more proactive strategic and operational decisions. Full article
Show Figures

Figure 1

34 pages, 2403 KB  
Article
Literary Language Mashup: Curating Fictions with Large Language Models
by Gerardo Aleman Manzanarez, Raul Monroy, Jorge Garcia Flores and Hiram Calvo
Mathematics 2026, 14(2), 210; https://doi.org/10.3390/math14020210 - 6 Jan 2026
Viewed by 179
Abstract
The artificial generation of text by computers has been a field of study in computer science since the beginning of the twentieth century, from Markov chains to Turing tests. This has evolved into automatic summarization and marketing chatbots. The generation of literary texts [...] Read more.
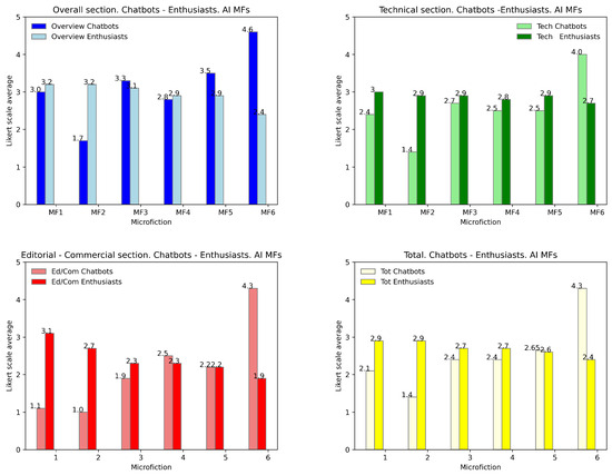
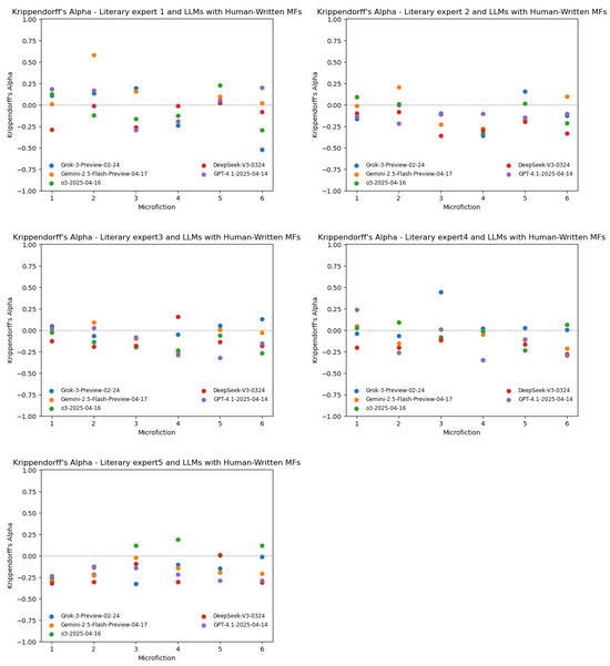
The artificial generation of text by computers has been a field of study in computer science since the beginning of the twentieth century, from Markov chains to Turing tests. This has evolved into automatic summarization and marketing chatbots. The generation of literary texts by Large Language Models (LLMs) has also been an area of scholarly inquiry for over six decades. The literary quality of AI-generated text can be evaluated with GrAImes, an evaluation protocol grounded in literary theory and inspired by the editorial process of book publishers. This evaluation can also be framed as part of broader editorial practices within publishing, emphasizing both theoretical grounding and applied assessment. This protocol necessitates the involvement of human judges to validate the texts generated, a process that is often resource-intensive in terms of both time and financial investment, primarily due to the specialized credentials and expertise required of these evaluators. In this paper, we propose an alternative approach by employing LLMs themselves as evaluators within the GrAImes framework. We apply this methodology to assess human-written and AI-generated microfictions in Spanish, to five PhD professors in literature and sixteen literary enthusiasts, and to short stories in both Spanish and English. By comparing the evaluations performed by LLMs with those of human judges, we examine the degree of alignment and divergence between both perspectives, thereby assessing the feasibility of LLMs as auxiliary literary evaluators. Our analysis focuses on the alignment of responses from LLMs with those of human evaluators, providing insights into the potential of LLMs in literary assessment. The conducted experiments reveal that while LLMs cannot be regarded as substitutes for human judges in the evaluation of literary microfictions and short stories, with a Krippendorff’a alpha reliability coefficient less than 0.66, they can serve as a valuable tool that offers an initial perspective on the editorial quality of the texts in question. Overall, this study contributes to the ongoing discourse on the role of artificial intelligence in literature, underlining both its methodological constraints and its potential as a complementary resource for literary evaluation. Full article
(This article belongs to the Special Issue Advances in Computational Intelligence and Applications)
Show Figures

Figure 1

35 pages, 14557 KB  
Article
Research on Synergistic Co-Promotion Mechanism and Influencing Factors of Science and Technology Finance Efficiency and Carbon Emission Efficiency from the Perspective of Multi-Layer Efficiency Networks
by Rui Ding and Juan Liang
Systems 2026, 14(1), 52; https://doi.org/10.3390/systems14010052 - 5 Jan 2026
Viewed by 281
Abstract
Accurately grasping the relationship between science and technology finance efficiency (STFE) and carbon emission efficiency (CEE), and further exploring their interaction and synergistic development within the network structure are of great significance for promoting regional coordinated development, economic growth, and environmental issues. This [...] Read more.
Accurately grasping the relationship between science and technology finance efficiency (STFE) and carbon emission efficiency (CEE), and further exploring their interaction and synergistic development within the network structure are of great significance for promoting regional coordinated development, economic growth, and environmental issues. This article uses the super-efficient SBM model to measure the STFE and CEE in 30 provinces of China from 2011 to 2020, and innovatively introduces the Multi-Layer Network (MN) method to explore the characteristics of their network structure, synergistic evolution, and influencing factors. The results show that (1) the evolution of the MN structure is the result of synergistic development, which mainly forms the network pattern of the Beijing–Tianjin–Hebei, the Yangtze River Delta, and the Qinghai–Gansu region with “triple-core, multi-zone”. (2) The STFE network plays a leading role in the MN structure by influencing the CEE network structure. (3) The layers of MN are connected in a disassortative way, while the network similarity is gradually increasing. (4) The number of communities of the MN is decreasing, and the agglomeration of the community structure is gradually increasing. (5) The performance of the MN structure has better robustness than the single-layer network under different strategies and different node retention levels of destruction. (6) The economic development level, government support rate, and industrial structure upgrading are the core factors affecting the value of weighted degree and closeness centrality, while betweenness centrality is mainly affected by the urbanization level and foreign direct investment level. Full article
(This article belongs to the Special Issue Systems Thinking and Modelling in Socio-Economic Systems)
Show Figures

Figure 1

36 pages, 1982 KB  
Review
West Nile Virus: Epidemiology, Surveillance, and Prophylaxis with a Comparative Insight from Italy and Iran
by Soroosh Najafi, Maryam Jojani, Kianoosh Najafi, Vincenzo Costanzo, Caterina Vicidomini and Giovanni N. Roviello
Vaccines 2026, 14(1), 57; https://doi.org/10.3390/vaccines14010057 - 3 Jan 2026
Viewed by 577
Abstract
Background: West Nile Virus (WNV) is a mosquito-borne flavivirus responsible for seasonal outbreaks in temperate and tropical regions, including Europe, the Mediterranean, and the Middle East. Its transmission via mosquitoes, particularly Culex species, poses persistent challenges to public health. Despite ongoing efforts, [...] Read more.
Background: West Nile Virus (WNV) is a mosquito-borne flavivirus responsible for seasonal outbreaks in temperate and tropical regions, including Europe, the Mediterranean, and the Middle East. Its transmission via mosquitoes, particularly Culex species, poses persistent challenges to public health. Despite ongoing efforts, comprehensive prevention and treatment strategies remain limited. Methods: A comprehensive search of peer-reviewed literature, clinical trials, and government surveillance data from Italy and Iran was conducted using PubMed, Scopus, Web of Science, and supplementary web-based resources. Inclusion criteria focused on molecular studies of WNV, vaccine and antiviral drug development, and regional outbreak reports. Results: WNV transmission is influenced by climatic conditions, as well as vector distribution and ecological patterns. While human vaccines are currently under development, only veterinary vaccines yielded promising but still limited evidence of effectiveness. Notably, therapeutic measures are currently limited to supportive care, whereas investigational antiviral drugs are in early-stage trials. Interestingly, Italy demonstrates robust surveillance with regular reporting of outbreaks, whereas data from Iran indicate that despite a widespread serological footprint, especially in southern and southwestern provinces, the reported clinical impact on humans and animals appears comparatively less severe. Conclusions: Bridging gaps in vaccine availability, therapeutic innovation, and disease monitoring is essential for effective WNV management to prepare for potential severe future outbreaks in Europe and the Middle East. On the other hand, regional differences between Italy and Iran reveal the need not only for tailored public health interventions and enhanced surveillance, but also for sustained investment in research. In our view, collaborative frameworks across Mediterranean and Middle Eastern countries in a “One Health” approach may improve preparedness and response to future WNV outbreaks. Full article
(This article belongs to the Section Vaccines Against Tropical and Other Infectious Diseases)
Show Figures

Figure 1

33 pages, 3211 KB  
Review
The Multifaceted Importance of Amphibians: Ecological, Biomedical, and Socio-Economic Perspectives
by Buddhika Wickramasingha, Josh West, Bellanthudawage Kushan Aravinda Bellanthudawa, Michael P. Graziano and Thilina D. Surasinghe
Biology 2026, 15(1), 98; https://doi.org/10.3390/biology15010098 - 2 Jan 2026
Viewed by 1072
Abstract
Amphibians are among the most threatened vertebrate groups globally, with over 40% of species at risk of extinction. However, a gap remains in understanding how to effectively develop and implement amphibian conservation strategies at local and global scales to minimize extinction risk. This [...] Read more.
Amphibians are among the most threatened vertebrate groups globally, with over 40% of species at risk of extinction. However, a gap remains in understanding how to effectively develop and implement amphibian conservation strategies at local and global scales to minimize extinction risk. This review synthesizes multidisciplinary evidence to frame amphibian conservation as a priority not only for species preservation but for safeguarding ecosystem functioning and human well-being. Drawing on ecological, physiological, biomedical, and technological literature, we highlight the foundational roles amphibians play in various biomes: regulating invertebrate populations, mediating nutrient and energy flows, modifying physical habitats, and supporting biodiversity through trophic interactions. Their dual aquatic–terrestrial life cycles and highly permeable skin make them highly sensitive to environmental change, positioning them as bioindicators for ecosystem health. We further explore emerging tools and concepts such as environmental metabolomics, remote sensing, and citizen science for monitoring population trends and environmental stressors. Additionally, we discuss conservation challenges in relation to land-use change, climate disruption, invasive species, emerging diseases, and institutional underinvestment. We argue for the recognition of amphibians as ecological allies and the increased integration of amphibian conservation into broader frameworks such as ecosystem service valuation, climate resilience planning, and public health policy improvement. Finally, we identify key research gaps and suggest future directions to remedy these oversights, including the incorporation of traditional knowledge, socio-cultural engagement, and technological innovations for sustainable amphibian conservation. Realizing this vision will require globally coordinated, locally grounded strategies that fuse scientific insight, inclusive governance, and long-term investment—ensuring that amphibian conservation advances ecosystem stability and benefits both nature and society. Full article
Show Figures

Figure 1

27 pages, 860 KB  
Review
State Regulation and Strategic Management of Water Resources and Wastewater Treatment at the Regional Level: Institutional and Technological Solutions
by Rabiga M. Kudaibergenova, Asparukh B. Bolatbek, Magbat U. Spanov, Elvira A. Baibazarova, Seitzhan A. Orynbayev, Nazgul S. Murzakasymova and Arman A. Kabdushev
Water 2026, 18(1), 63; https://doi.org/10.3390/w18010063 - 24 Dec 2025
Viewed by 593
Abstract
Regional water systems face growing pressure from climate variability, water scarcity, and increasingly complex wastewater pollution. These challenges require governance models that integrate institutional coordination with effective technological solutions. This review is based on a structured analysis of peer-reviewed literature indexed in Scopus, [...] Read more.
Regional water systems face growing pressure from climate variability, water scarcity, and increasingly complex wastewater pollution. These challenges require governance models that integrate institutional coordination with effective technological solutions. This review is based on a structured analysis of peer-reviewed literature indexed in Scopus, Web of Science, and ScienceDirect, covering publications from approximately 2014 to 2025. The findings show that clearly defined institutional roles, basin-level coordination, stable financing mechanisms, and active stakeholder participation significantly improve governance outcomes. Technological advances such as membrane filtration, advanced oxidation processes, nature-based treatment systems, and digital monitoring platforms enhance treatment efficiency, resilience, and opportunities for resource recovery. Regions differ widely in their ability to adopt these solutions, mainly due to variations in governance coherence, investment capacity, and climate-adaptation readiness. The review highlights the need for policy frameworks that align institutional reforms with technological modernization, including the adoption of basin-based planning, digital decision-support systems, and circular water-economy principles. These measures provide actionable guidance for policymakers and regional authorities seeking to strengthen long-term water security and wastewater management performance. Full article
(This article belongs to the Section Water Resources Management, Policy and Governance)
Show Figures

Figure 1

15 pages, 1695 KB  
Systematic Review
Telehealth-Based Cardiac Rehabilitation for Heart Failure: A Systematic Review of Effectiveness, Access, and Patient-Centred Outcome
by Abdulfattah S. Alqahtani
Medicina 2026, 62(1), 25; https://doi.org/10.3390/medicina62010025 - 23 Dec 2025
Viewed by 479
Abstract
Background and Objectives: Heart failure (HF) affects millions globally, with traditional cardiac rehabilitation (CR) improving outcomes but facing access barriers. Telehealth-based CR offers a promising alternative, yet its effectiveness and patient-centred outcomes require updated evaluation. This systematic review aimed to assess the [...] Read more.
Background and Objectives: Heart failure (HF) affects millions globally, with traditional cardiac rehabilitation (CR) improving outcomes but facing access barriers. Telehealth-based CR offers a promising alternative, yet its effectiveness and patient-centred outcomes require updated evaluation. This systematic review aimed to assess the effectiveness, accessibility, and patient-centred outcomes of telehealth-based CR compared with usual care or centre-based CR in adults with HF. Materials and Methods: This systematic review followed PRISMA 2020 guidelines. Eligible studies were randomized controlled trials involving adults with HF receiving telehealth CR (e.g., telephone, apps, remote monitoring) compared with usual care or centre-based CR; non-RCTs and studies lacking relevant outcomes were excluded. Searches of PubMed, Medline, CINAHL, EMBASE, and Web of Science identified studies published between 2020–2025. Primary outcomes were exercise capacity (six-minute walk distance [6MWD], peak VO2) and quality of life (QoL); secondary outcomes included adherence, satisfaction, and clinical events. Meta-analyses used standardized mean differences (SMD) for 6MWD and QoL. Risk of bias was assessed using PEDro, Jadad, and RoB2 tools. Results: Fourteen randomized controlled trials (total n = 7371 participants) met the inclusion criteria. Telehealth CR significantly improved 6MWD (SMD 0.35, 95% CI 0.15–0.55, p < 0.001; 6 studies) and QoL (SMD 0.28, 95% CI 0.10–0.46, p = 0.002; 8 studies) compared to usual care, showing equivalence to center-based CR. Adherence ranged from 70–92% and satisfaction 75–96%, and hospitalizations declined in some studies, though mortality benefits were not observed. Conclusions: Telehealth CR is effective, accessible, and patient-centred for individuals with HF, performing comparably to centre-based CR and better than usual care. It should be integrated into standard HF management, supported by policy and technology investment. Evidence is limited by short follow-up durations and moderate heterogeneity among trials. Full article
Show Figures

Figure 1

32 pages, 5023 KB  
Article
A Deep Learning-Based Assessment of the Synergy Between New Energy Policies and New Quality Productive Forces: An Integrated Goal-Instrument-Value Framework for Sustainable Development
by Jing Cao and Ruixuan Pan
Sustainability 2025, 17(24), 11222; https://doi.org/10.3390/su172411222 - 15 Dec 2025
Viewed by 448
Abstract
China has shifted from a stage of rapid growth to a stage of high-quality development. This highlights the critical need for policy frameworks that synergistically align technological innovation with sustainable development. To address the research gap in systematically assessing the collaboration between New [...] Read more.
China has shifted from a stage of rapid growth to a stage of high-quality development. This highlights the critical need for policy frameworks that synergistically align technological innovation with sustainable development. To address the research gap in systematically assessing the collaboration between New Energy Industry (NEI) policies and New Quality Productive Forces (NQPF), this study proposes a three-dimensional “Goal-Instrument-Value” framework. Methodologically, we employ a combination of deep learning models (including LDA topic modeling, LSTM networks, and the Soft EDA algorithm) and policy quantification methods, analyzing 135 NQPF policies and nearly 800 NEI policies. The findings reveal a significant and strengthening synergy between the two policy domains. Notably, a misalignment exists in the goal dimension, where the weight of science and technology in NEI policies remains modest at 20%, indicating substantial potential for enhancement. In the instrument dimension, there is a predominant reliance on economically driven instruments, along with a notable underutilization of environmental instruments. Nevertheless, the overall synergy in policy value, as measured by a specialized New-Force Dictionary and the BM25 model, exhibits a consistent upward trend. Based on these findings, we recommend strengthening investment in NEI technology R&D, increasing the deployment of environment-oriented policy instruments, and establishing a cross-departmental policy synergy mechanism. These measures are crucial to fully harness the synergistic potential of NEI and NQPF policies for accelerating China’s green industrial transformation and achieving its sustainable development goals. Full article
Show Figures

Figure 1

Back to TopTop