Telehealth-Based Cardiac Rehabilitation for Heart Failure: A Systematic Review of Effectiveness, Access, and Patient-Centred Outcome
Abstract
1. Introduction
2. Materials and Methods
2.1. Study Design
2.2. Search Strategies
2.3. Selection Criteria (PICOS Framework)
2.4. Data Extraction
2.5. Quality Assessment
2.6. Data Synthesis and Analysis
3. Results
3.1. Study Selection
3.2. Study Characteristics
3.3. Quality Assessment
3.4. Effectiveness Outcomes
3.4.1. Exercise Capacity
3.4.2. Cardiac Function
3.4.3. Clinical Events
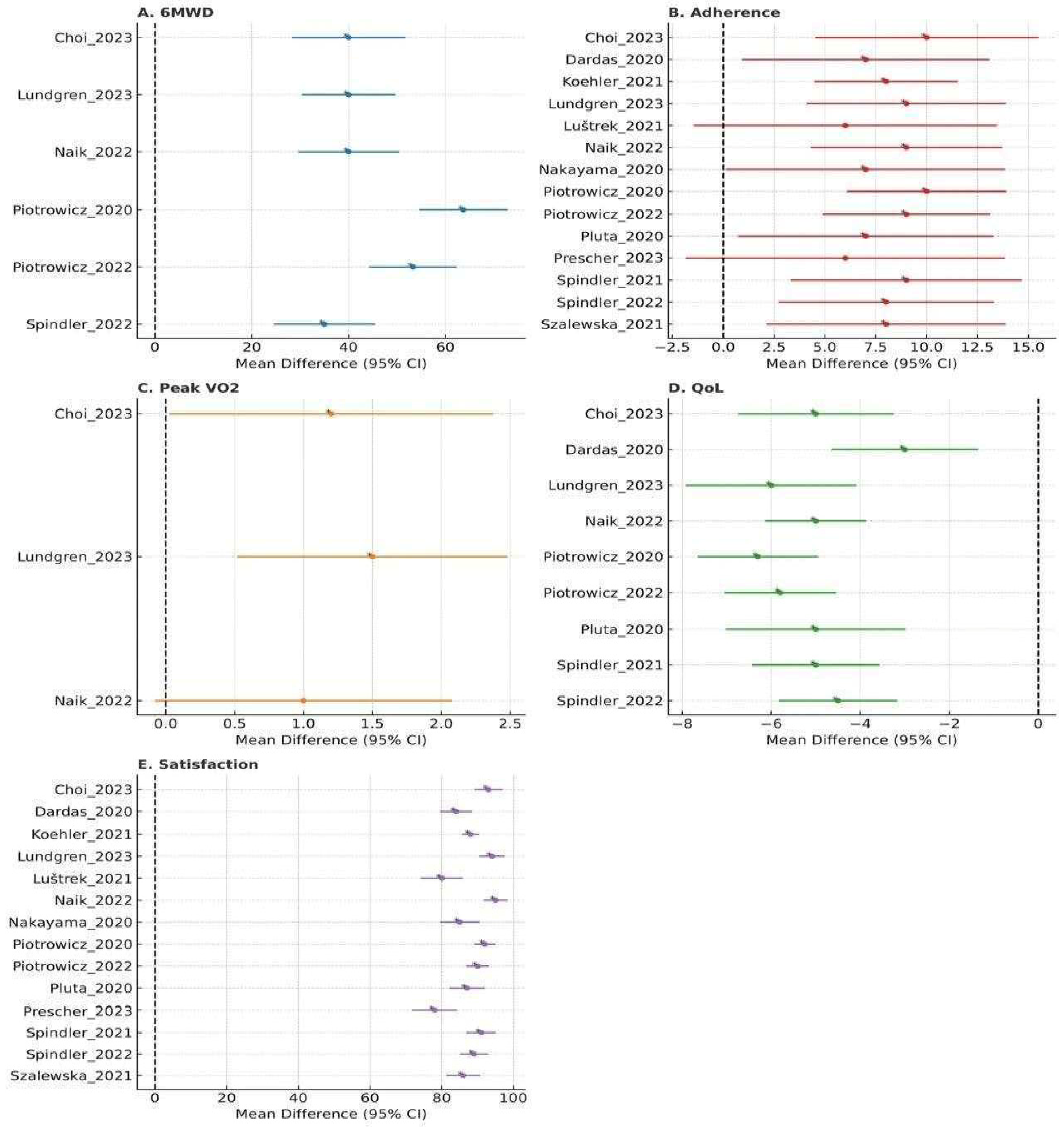
3.5. Patient-Centered Outcomes: The Findings of Patient Centered Outcomes Were Summarized in Table 3 and Figure 4
| Outcome | Studies (n) | Telehealth Effect | Key Findings |
|---|---|---|---|
| 6MWD | 6 | SMD 0.35 (p < 0.001) | Significant improvement (19–25 m) |
| Peak VO2 | 3 | SMD 0.20 (p = 0.12) | Modest improvement in subsets |
| QoL | 8 | SMD 0.28 (p = 0.002) | Improved SF-36, KCCQ scores |
| Adherence | 12 | 70–92% | Higher than controls (e.g., 88.7% vs. 80.2%) |
| Satisfaction | 12 | 75–96% | High usability and safety reported |
3.5.1. Quality of Life
3.5.2. Adherence
3.5.3. Satisfaction
3.6. Subgroup and Sensitivity Analyses
4. Discussion
4.1. Limitations and Future Recommendations
4.2. Implications
5. Conclusions
Supplementary Materials
Funding
Institutional Review Board Statement
Informed Consent Statement
Data Availability Statement
Acknowledgments
Conflicts of Interest
References
- Savarese, G.; Lund, L.H. Global Public Health Burden of Heart Failure. Card. Fail. Rev. 2017, 3, 7. [Google Scholar] [CrossRef]
- Yogeswaran, V.; Hidano, D.; Diaz, A.E.; Van Spall, H.G.C.; Mamas, M.A.; Roth, G.A.; Cheng, R.K. Regional variations in heart failure: A global perspective. Heart 2023, 110, 11–18. [Google Scholar] [CrossRef] [PubMed]
- Morris, J.; Chen, L. Exercise Training and Heart Failure: A Review of the Literature. Card. Fail. Rev. 2019, 5, 57. [Google Scholar] [CrossRef] [PubMed]
- Rovere, M.T.L.; Traversi, E. Role and efficacy of cardiac rehabilitation in patients with heart failure. Monaldi Arch. Chest Dis. 2019, 89, 69–72. [Google Scholar] [CrossRef]
- Passantino, A.; Vecchia, L.A.D.; Corrà, U.; Scalvini, S.; Pistono, M.; Bussotti, M.; Gambarin, F.I.; Scrutinio, D.; Rovere, M.T.L. The Future of Exercise-Based Cardiac Rehabilitation for Patients With Heart Failure. Front. Cardiovasc. Med. 2021, 8, 709898. [Google Scholar] [CrossRef]
- Leung, Y.; Brual, J.; Macpherson, A.; Grace, S.L. Geographic issues in cardiac rehabilitation utilization: A narrative review. Health Place 2010, 16, 1196. [Google Scholar] [CrossRef]
- Baťalík, L.; Filáková, K.; Batalikova, K.; Dosbaba, F. Remotely monitored telerehabilitation for cardiac patients: A review of the current situation. World J. Clin. Cases 2020, 8, 1818. [Google Scholar] [CrossRef] [PubMed]
- Piotrowicz, E.; Mierzyńska, A.; Jaworska, I.; Opolski, G.; Banach, M.; Zaręba, W.; Kowalik, I.; Pencina, M.; Orzechowski, P.; Szalewska, D.; et al. Relationship between physical capacity and depression in heart failure patients undergoing hybrid comprehensive telerehabilitation vs. usual care: Subanalysis from the TELEREH-HF Randomized Clinical Trial. Eur. J. Cardiovasc. Nurs. 2022, 21, 568–577. [Google Scholar] [CrossRef]
- Leslie, S.; Tan, J.; McRae, P.; O’Leary, S.; Adsett, J. The Effectiveness of Exercise Interventions Supported by Telerehabilitation For Recently Hospitalized Adult Medical Patients: A Systematic Review. Int. J. Telerehabil. 2021, 13, e6356. [Google Scholar] [CrossRef]
- Lear, S.A.; Singer, J.; Banner, D.; Horvat, D.; Park, J.E.; Bates, J.; Ignaszewski, A. Randomized Trial of a Virtual Cardiac Rehabilitation Program Delivered at a Distance via the Internet. Circ. Cardiovasc. Qual. Outcomes 2014, 7, 952. [Google Scholar] [CrossRef]
- Arian, M.; Valinejadi, A.; Soleimani, M. Quality of Life in Heart Patients Receiving Telerehabilitation: An Overview with Meta-Analyses. Iran. J. Public Health 2022, 51, 2388–2403. [Google Scholar] [CrossRef]
- Cavalheiro, A.; Silva-Cardoso, J.; Rocha, A.; Moreira, E.; Azevedo, L.F. Effectiveness of Tele-rehabilitation Programs in Heart Failure: A Systematic Review and Meta-analysis. Health Serv. Insights 2021, 14, 11786329211021668. [Google Scholar] [CrossRef]
- Panic, N.; Leoncini, E.; Debelvis, G.; Ricciardi, W.; Boccia, S. Evaluation of the endorsement of the preferred reporting items for systematic reviews and meta-analysis (PRISMA) statement on the quality of published systematic review and meta-analyses. PLoS ONE 2013, 8, e83138. [Google Scholar] [CrossRef]
- Denison, H.; Dodds, R.; Ntani, G.; Cooper, R.; Cooper, C.; Sayer, A.A.; Baird, J. How to get started with a systematic review in epidemiology: An introductory guide for early career researchers. Arch. Public Health 2013, 71, 21. [Google Scholar] [CrossRef]
- Maher, C.G.; Sherrington, C.; Herbert, R.; Moseley, A.M.; Elkins, M.R. Reliability of the PEDro Scale for Rating Quality of Randomized Controlled Trials. Phys. Ther. 2003, 83, 713. [Google Scholar] [CrossRef] [PubMed]
- Flemyng, E.; Moore, T.H.; Boutron, I.; Higgins, J.P.; Hróbjartsson, A.; Nejstgaard, C.H.; Dwan, K. Using Risk of Bias 2 to assess results from randomised controlled trials: Guidance from Cochrane. BMJ Evid.-Based Med. 2023, 28, 260–266. [Google Scholar] [CrossRef]
- Abraham, N.S.; Daniels, B.; Moayyedi, P.; Veldhuyzen Van Zanten, S.J.O. Systematic review: The methodological quality of trials affects estimates of treatment efficacy in functional (non-ulcer) dyspepsia. Aliment. Pharmacol. Ther. 2004, 19, 631–641. [Google Scholar] [CrossRef]
- Xu, G.-Z.; Li, J.-H.; Cao, D.-Y.; Wang, Z.-Y.; Jin, L.; Jia, J. Low-Level Laser Therapy for Temporomandibular Disorders: A Systematic Review with Meta-Analysis. Pain Res. Manag. 2018, 2018, 4230583. [Google Scholar] [CrossRef] [PubMed]
- Piotrowicz, E.; Mierzyńska, A.; Pluta, S.; Glowczynska, R.; Kalarus, Z.; Opolski, G.; Zaręba, W.; Orzechowski, P.; Piotrowicz, R.; Kowalik, I.; et al. Quality of life in heart failure patients undergoing hybrid comprehensive telerehabilitation versus usual care —Results of the Telerehabilitation in Heart Failure Patients (TELEREH-HF) Randomized Clinical Trial. Arch. Med. Sci. 2020, 17, 1599. [Google Scholar] [CrossRef] [PubMed]
- Nakayama, A.; Takayama, N.; Kobayashi, M.; Hyodo, K.; Maeshima, N.; Takayuki, F.; Morita, H.; Komuro, I. Remote cardiac rehabilitation is a good alternative of outpatient cardiac rehabilitation in the COVID-19 era. Environ. Health Prev. Med. 2020, 25, 48. [Google Scholar] [CrossRef]
- Koehler, J.; Stengel, A.; Hofmann, T.; Wegscheider, K.; Koehler, K.; Sehner, S.; Rose, M.; Deckwart, O.; Anker, S.D.; Koehler, F.; et al. Telemonitoring in patients with chronic heart failure and moderate depressed symptoms: Results of the Telemedical Interventional Monitoring in Heart Failure (TIM-HF) study. Eur. J. Heart Fail. 2021, 23, 186–194. [Google Scholar] [CrossRef] [PubMed]
- Luštrek, M.; Bohanec, M.; Cavero Barca, C.; Ciancarelli, M.C.; Clays, E.; Dawodu, A.A.; Derboven, J.; De Smedt, D.; Dovgan, E.; Lampe, J.; et al. A personal health system for self-management of congestive heart failure (heartman): Development, technical evaluation, and proof-of-concept randomized controlled trial. JMIR Med. Inform. 2021, 9, e24501. [Google Scholar] [CrossRef]
- Lundgren, K.M.; Langlo, K.A.R.; Salvesen, Ø.; Zanaboni, P.; Cittantim, E.; Mo, R.; Ellingsen, Ø.; Dalen, H.; Aksetøy, I.L.A. Feasibility of telerehabilitation for heart failure patients inaccessible for outpatient rehabilitation. ESC Heart Fail. 2023, 10, 2406–2417. [Google Scholar] [CrossRef]
- Pluta, S.; Piotrowicz, E.; Piotrowicz, R.; Lewicka, E.; Zaręba, W.; Kozieł, M.; Kowalik, I.; Pencina, M.J.; Oręziak, A.; Cacko, A.; et al. Remote Monitoring of Cardiac Implantable Electronic Devices in Patients Undergoing Hybrid Comprehensive Telerehabilitation in Comparison to the Usual Care. Subanalysis from Telerehabilitation in Heart Failure Patients (TELEREH-HF) Randomised Clinical Trial. J. Clin. Med. 2020, 9, 3729. [Google Scholar] [CrossRef]
- Szalewska, D.; Główczyńska, R.; Piotrowicz, R.; Kowalik, I.; Pencina, M.J.; Opolski, G.; Zaręba, W.; Banach, M.; Orzechowski, P.; Pluta, S.; et al. An aetiology-based subanalysis of the Telerehabilitation in Heart Failure Patients (TELEREH-HF) trial. ESC Heart Fail. 2021, 8, 1263–1273. [Google Scholar] [CrossRef]
- Choi, E.Y.; Park, J.S.; Min, D.; Ahn, S.; Ahn, J.A. Heart Failure-Smart Life: A randomized controlled trial of a mobile app for self-management in patients with heart failure. BMC Cardiovasc. Disord. 2023, 23, 7. [Google Scholar] [CrossRef] [PubMed]
- Spindler, H.; Hollingdal, M.; Refsgaard, J.; Dinesen, B. Motivating patients in cardiac rehabilitation programs: A multicenter randomized controlled trial. Int. J. Telerehabil. 2021, 13, e6365. [Google Scholar] [CrossRef]
- Prescher, S.; Winkler, S.; Riehle, L.; Hiddemann, M.; Moeller, V.; Collins, C.; Deckwart, O.; Spethmann, S. Patient reported experience and adherence to remote patient management in chronic heart failure patients: A posthoc analysis of the TIM-HF2 trial. Eur. J. Cardiovasc. Nurs. 2023, 22, 245–253. [Google Scholar] [CrossRef]
- Spindler, H.; Dyrvig, A.K.; Schacksen, C.S.; Anthonimuthu, D.; Frost, L.; Gade, J.D.; Kronborg, S.H.; Mahboubi, K.; Refsgaard, J.; Dinesen, B.; et al. Increased motivation for and use of digital services in heart failure patients participating in a telerehabilitation program: A randomized controlled trial. mHealth 2022, 8, 25. [Google Scholar] [CrossRef]
- Dardas, T.; Dorsch, M.P. Remote management of heart failure: Herculean or Sisyphean task? Heart 2020, 106, 1543–1544. [Google Scholar] [CrossRef] [PubMed]
- Naik, M.G.; Budde, K.; Koehler, K.; Vettorazzi, E.; Pigorsch, M.; Arkossy, O.; Stuard, S.; Duettmann, W.; Koehler, F.; Winkler, S. Remote patient management may reduce all-cause mortality in patients with heart-failure and renal impairment. Front. Med. 2022, 8, 917466. [Google Scholar] [CrossRef] [PubMed]
- Leenen, J.P.L.; Scherrenberg, M.; Bruins, W.; Boyne, J.; Vranken, J.; Brunner la Rocca, H.P.; Dendale, P.; van der Velde, A.E. Usability of a digital health platform to support home hospitalization in heart failure patients: A multicentre feasibility study among healthcare professionals. Eur. J. Cardiovasc. Nurs. 2024, 23, 188–196. [Google Scholar] [CrossRef] [PubMed]
- Taylor, R.S.; Dalal, H.M.; McDonagh, S.T.J. The role of cardiac rehabilitation in improving cardiovascular outcomes. Nat. Rev. Cardiol. 2022, 19, 180–194. [Google Scholar] [CrossRef]
- Thomas, E.E.; Taylor, M.L.; Banbury, A.; Snoswell, C.L.; Haydon, H.M.; Gallegos Rejas, V.M.; Smith, A.C.; Caffery, L.J. Factors influencing the effectiveness of remote patient monitoring interventions: A realist review. BMJ Open 2021, 11, e051844. [Google Scholar] [CrossRef]
- Alqahtani, A.S. A review of the scope, future, and effectiveness of using artificial intelligence in cardiac rehabilitation: A call to action for the Kingdom of Saudi Arabia. Appl. Artif. Intell. 2023, 37, 2175111. [Google Scholar] [CrossRef]




| Authors (Year) | Country | Sample Size | Patient Characteristics | Telehealth Intervention | Control | Duration |
|---|---|---|---|---|---|---|
| Piotrowicz et al. (2020) [19] | Poland | 850 | NYHA I–III, LVEF ≤40%, age 62.4, 88.6% male | 9-week HCTR | Usual care | 9 weeks |
| Nakayama et al. (2020) [20] | Japan | 236 | LVEF < 50%, post-hospitalization | Remote CR with telephone support | Outpatient CR/no CR | 30 days |
| Koehler et al. (2021) [21] | Germany | 710 | PHQ-9 ≥ 10, CHF | Telemonitoring (ECG, BP, weight) | Usual care | 12 months |
| Luštrek et al. (2021) [22] | International | 56 | CHF | HeartMan app + wristband | Usual care | Not specified |
| Lundgren et al. (2023) [23] | Norway | 61 | NYHA II–III, age 67.6, 18% female | 3-month high-intensity telerehabilitation | Usual care | 3 months |
| Pluta et al. (2020) [24] | Poland | 850 | NYHA I–III, LVEF ≤ 40%, age 62.4, 88.6% male | HCTR with CIED monitoring | Usual care | 9 weeks |
| Szalewska et al. (2021) [25] | Poland | 850 | NYHA I–III, LVEF ≤ 40%, age 62.4, 88.6% male | 9-week HCTR | Usual care | 9 weeks |
| Choi et al. (2023) [26] | South Korea | 74 | HF | Heart Failure-Smart Life app | Usual care | 3 months |
| Spindler et al. (2021) [27] | Denmark | 140 | HF | Heart Portal telerehabilitation | Center-based CR | 12 months |
| Prescher (2023) [28] | Germany | 1538 | Age 70.3, 70% male | RPM (weight, BP, ECG) | Usual care | 12 months |
| Spindler et al. (2022) [29] | Denmark | 137 | HF | Future Patient Program | Center-based CR | 12 months |
| Piotrowicz et al. (2022) [8] | Poland | 850 | NYHA I–III, LVEF ≤ 40%, age 62.4, 88.6% male | 9-week HCTR | Usual care | 9 weeks |
| Dardas et al. (2020) [30] | USA | Not specified | HF | Centralized decision support | Monitoring | Not specified |
| Naik et al. (2022) [31] | Germany | 1538 | LVEF ≤ 45%, age 70.3, 70% male | RPM (vital signs) | Usual care | 12 months |
| Authors (Year) | PEDro Score | Jadad Score | RoB2 Overall Risk |
|---|---|---|---|
| Piotrowicz et al. (2020) [19] | 8 | 4 | Low |
| Nakayama et al. (2020) [20] | 6 | 3 | Low |
| Koehler et al. (2021) [21] | 7 | 3 | Low |
| Luštrek et al. (2021) [22] | 6 | 2 | Some concerns |
| Lundgren et al. (2023) [23] | 7 | 3 | Low |
| Pluta et al. (2020) [24] | 7 | 4 | Low |
| Szalewska et al. (2021) [25] | 7 | 4 | Low |
| Choi et al. (2023) [26] | 6 | 3 | Some concerns |
| Spindler et al. (2021) [27] | 7 | 3 | Low |
| Prescher (2023) [28] | 7 | 4 | Low |
| Spindler et al. (2022) [29] | 7 | 3 | Low |
| Piotrowicz et al. (2022) [8] | 8 | 4 | Low |
| Dardas et al. (2020) [30] | 7 | 2 | Some concerns |
| Naik et al. (2022) [31] | 7 | 4 | Low |
Disclaimer/Publisher’s Note: The statements, opinions and data contained in all publications are solely those of the individual author(s) and contributor(s) and not of MDPI and/or the editor(s). MDPI and/or the editor(s) disclaim responsibility for any injury to people or property resulting from any ideas, methods, instructions or products referred to in the content. |
© 2025 by the author. Published by MDPI on behalf of the Lithuanian University of Health Sciences. Licensee MDPI, Basel, Switzerland. This article is an open access article distributed under the terms and conditions of the Creative Commons Attribution (CC BY) license.
Share and Cite
Alqahtani, A.S. Telehealth-Based Cardiac Rehabilitation for Heart Failure: A Systematic Review of Effectiveness, Access, and Patient-Centred Outcome. Medicina 2026, 62, 25. https://doi.org/10.3390/medicina62010025
Alqahtani AS. Telehealth-Based Cardiac Rehabilitation for Heart Failure: A Systematic Review of Effectiveness, Access, and Patient-Centred Outcome. Medicina. 2026; 62(1):25. https://doi.org/10.3390/medicina62010025
Chicago/Turabian StyleAlqahtani, Abdulfattah S. 2026. "Telehealth-Based Cardiac Rehabilitation for Heart Failure: A Systematic Review of Effectiveness, Access, and Patient-Centred Outcome" Medicina 62, no. 1: 25. https://doi.org/10.3390/medicina62010025
APA StyleAlqahtani, A. S. (2026). Telehealth-Based Cardiac Rehabilitation for Heart Failure: A Systematic Review of Effectiveness, Access, and Patient-Centred Outcome. Medicina, 62(1), 25. https://doi.org/10.3390/medicina62010025

