Sign in to use this feature.

Years

Between: -

Subjects

remove_circle_outline
remove_circle_outline
remove_circle_outline
remove_circle_outline
remove_circle_outline
remove_circle_outline
remove_circle_outline
remove_circle_outline

Journals

Article Types

Countries / Regions

Search Results (34)

Search Parameters:
Keywords = intermittency exponents

Order results
Result details
Results per page
Select all
Export citation of selected articles as:
14 pages, 1241 KB  
Article
Intermittency Analysis in Heavy-Ion Collisions: A Model Study at RHIC Energies
by Jin Wu, Zhiming Li and Shaowei Lan
Symmetry 2026, 18(1), 138; https://doi.org/10.3390/sym18010138 - 9 Jan 2026
Viewed by 138
Abstract
Large density fluctuations near the QCD critical point can be probed via intermittency analysis, which involves measuring scaled factorial moments (SFMs) of multiplicity distributions in relativistic heavy-ion collisions. Intermittency reflects the emergence of scale invariance and self-similar structures, which are closely related to [...] Read more.
Large density fluctuations near the QCD critical point can be probed via intermittency analysis, which involves measuring scaled factorial moments (SFMs) of multiplicity distributions in relativistic heavy-ion collisions. Intermittency reflects the emergence of scale invariance and self-similar structures, which are closely related to symmetry principles and their breaking near a second-order phase transition. We present a systematic model study of intermittency for charged hadrons in Au+Au collisions at sNN = 7.7, 11.5, 19.6, 27, 39, 62.4, and 200 GeV. Using the cascade UrQMD model, we demonstrate that non-critical background effects can produce sizable SFMs and a large scaling exponent if they are not properly removed using the mixed-event subtraction method. To estimate the possible critical intermittency signal in experimental data, we employ a hybrid UrQMD+CMC model, in which fractal critical fluctuations are embedded into the UrQMD background. A direct comparison of the second-order SFM between the model and STAR experimental data suggests that a critical intermittency signal on the order of approximately 1.8% could be present in the most central Au+Au collisions at RHIC energies. This study provides practical guidance for evaluating background contributions in intermittency measurements and offers a quantitative estimate for the critical signal fraction present in the STAR data. Full article
(This article belongs to the Section Physics)
Show Figures

Figure 1

13 pages, 3564 KB  
Article
Iterative Forecasting of Short Time Series
by Evangelos Bakalis
Appl. Sci. 2025, 15(21), 11580; https://doi.org/10.3390/app152111580 - 29 Oct 2025
Viewed by 670
Abstract
We forecast short time series iteratively using a model based on stochastic differential equations. The recorded process is assumed to be consistent with an α-stable Lévy motion. The generalized moments method provides the values of the scaling exponent and the parameter α [...] Read more.
We forecast short time series iteratively using a model based on stochastic differential equations. The recorded process is assumed to be consistent with an α-stable Lévy motion. The generalized moments method provides the values of the scaling exponent and the parameter α, which determine the form of the stochastic term at each iteration. Seven weekly recorded economic time series—the DAX, CAC, FTSE100, MIB, AEX, IBEX, and STOXX600—were examined for the period from 2020 to 2025. The parameter α is always 2 for the four of them, FTSE100, AEX, IBEX, and STOXX600, indicating quasi-Gaussian processes. For FTSE100, IBEX, and STOXX600, the processes are anti-persistent (H < 0.5).The rest of the examined markets show characteristics of uncorrelated processes whose values are drawn from either a log-normal or a log-Lévy distribution. Further, all processes are multifractal, as the non-zero value of the mean intermittency indicates. The model’s forecasts, with the time horizon always one-step-ahead, are compared to the forecasts of a properly chosen ARIMA model combined with Monte Carlo simulations. The low values of the absolute percentage error indicate that both models function well. The model’s outcomes are further compared to ARIMA forecasts by using the Diebold–Mariano test, which yields a better forecast ability for the proposed model since it has less average loss. The ability and accuracy of the model to forecast even small time series is further supported by the low value of the absolute percentage error; the value of 4 serves as an upper limit for the majority of the forecasts. Full article
(This article belongs to the Special Issue Advanced Methods for Time Series Forecasting)
Show Figures

Figure 1

15 pages, 3668 KB  
Article
Dragon Intermittency at the Transition to Synchronization in Coupled Rulkov Neurons
by Irina A. Bashkirtseva, Lev B. Ryashko and Alexander N. Pisarchik
Mathematics 2025, 13(3), 415; https://doi.org/10.3390/math13030415 - 26 Jan 2025
Cited by 1 | Viewed by 1493
Abstract
We investigate the synchronization dynamics of two non-identical, mutually coupled Rulkov neurons, emphasizing the effects of coupling strength and parameter mismatch on the system’s behavior. At low coupling strengths, the system exhibits multistability, characterized by the coexistence of three distinct 3-cycles. As the [...] Read more.
We investigate the synchronization dynamics of two non-identical, mutually coupled Rulkov neurons, emphasizing the effects of coupling strength and parameter mismatch on the system’s behavior. At low coupling strengths, the system exhibits multistability, characterized by the coexistence of three distinct 3-cycles. As the coupling strength is increased, the system becomes monostable with a single 3-cycle remaining as the sole attractor. A further increase in the coupling strength leads to chaos, which we identify as arising through a novel type of intermittency. This intermittency is characterized by alternating dynamics between two low-dimensional invariant subspaces: one corresponding to synchronization and the other to asynchronous behavior. We show that the system’s phase-space trajectory spends variable durations near one subspace before being repelled into the other, revealing non-trivial statistical properties near the onset of intermittency. Specifically, we find two key power-law scalings: (i) the mean duration of the synchronization interval scales with the coupling parameter, exhibiting a critical exponent of 0.5 near the onset of intermittency, and (ii) the probability distribution of synchronization interval durations follows a power law with an exponent of 1.7 for short synchronization intervals. Intriguingly, for each fixed coupling strength and parameter mismatch, there exists a most probable super-long synchronization interval, which decreases as either parameter is increased. We term this phenomenon “dragon intermittency” due to the distinctive dragon-like shape of the probability distribution of synchronization interval durations. Full article
(This article belongs to the Special Issue Applied Mathematics in Nonlinear Dynamics and Chaos)
Show Figures

Figure 1

19 pages, 6116 KB  
Article
The Intermittency of Turbulence in Magneto-Hydrodynamical Simulations and in the Cosmos
by Pierre Lesaffre, Edith Falgarone and Pierre Hily-Blant
Atmosphere 2024, 15(2), 211; https://doi.org/10.3390/atmos15020211 - 8 Feb 2024
Cited by 1 | Viewed by 2338
Abstract
Turbulent dissipation is a central issue in the star and galaxy formation process. Its fundamental property of space–time intermittency, well characterised in incompressible laboratory experiments, remains elusive in cosmic turbulence. Progress requires the combination of state-of-the-art modelling, numerical simulations and observations. The power [...] Read more.
Turbulent dissipation is a central issue in the star and galaxy formation process. Its fundamental property of space–time intermittency, well characterised in incompressible laboratory experiments, remains elusive in cosmic turbulence. Progress requires the combination of state-of-the-art modelling, numerical simulations and observations. The power of such a combination is illustrated here, where the statistical method intended to locate the extrema of velocity shears in a turbulent field, which are the signposts of intense dissipation extrema, is applied to numerical simulations of compressible magneto-hydrodynamical (MHD) turbulence dedicated to dissipation scales and to observations of a turbulent molecular cloud. We demonstrate that increments of several observables computed at the smallest lags can detect coherent structures of intense dissipation. We apply this statistical method to the observations of a turbulent molecular cloud close to the Sun in our galaxy and disclose a remarkable structure of extremely large velocity shear. At the location of the largest velocity shear, this structure is found to foster 10× more carbon monoxide molecules than standard diffuse molecular gas, an enrichment supported by models of non-equilibrium warm chemistry triggered by turbulent dissipation. In our simulations, we also compute structure functions of various synthetic observables and show that they verify Extended Self-Similarity. This allows us to compute their intermittency exponents, and we show how they constrain some properties of the underlying three-dimensional turbulence. The power of the combination of modelling and observations is also illustrated by the observations of the CH+ cation that provide unique quantitative information on the kinetic energy trail in the massive, multi-phase and turbulent circum-galactic medium of a galaxy group at redshift z=2.8. Full article
Show Figures

Figure 1

23 pages, 12354 KB  
Article
Correlating Groundwater Storage Change and Precipitation in Alabama, United States from 2000–2021 by Combining the Water Table Fluctuation Method and Statistical Analyses
by Olaoluwa Oluwaniyi, Yong Zhang, Hossein Gholizadeh, Bailing Li, Xiufen Gu, HongGuang Sun and Chengpeng Lu
Sustainability 2023, 15(21), 15324; https://doi.org/10.3390/su152115324 - 26 Oct 2023
Cited by 7 | Viewed by 2762
Abstract
The complexity of aquifers poses a challenge for fully comprehending the impact of climate change on groundwater. In this study, we employed a suite of hydrological and statistical methods, including the water table fluctuation (WTF) method, wavelet analysis, the Hurst exponent, and temporal [...] Read more.
The complexity of aquifers poses a challenge for fully comprehending the impact of climate change on groundwater. In this study, we employed a suite of hydrological and statistical methods, including the water table fluctuation (WTF) method, wavelet analysis, the Hurst exponent, and temporal trend analysis, to assess groundwater storage (GWS) changes and their correlation with precipitation in Alabama, located in the southeastern United States. These approaches were used to evaluate the temporal variability of GWS as derived from well data and large-scale model estimates that incorporated satellite observations. The results unveiled a nuanced and regionally variable relationship between GWS changes and precipitation over the past two decades. While the Mann–Kendall test did not reveal any statistically significant overarching trends in GWS changes, Sen’s slope analysis indicated subtle regional variations, including a minor decline of −0.2 mm/year for GWS in southern Alabama and modest increases of 0.5 mm/year and 0.38 mm/year in the western and northern regions, respectively, from 2000–2021. Wavelet coherence analysis showed significant co-variation between GWS and precipitation in cycles ranging from 8 to 32 months, suggesting potential cyclic or intermittent influences. Furthermore, we detected strong persistence within the groundwater system using the Hurst exponent, indicating the substantial temporal memory impact. These findings are useful for developing effective groundwater management strategies in a changing climate. Full article
(This article belongs to the Special Issue The Impact of Climate Change on Future Water Storage)
Show Figures

Figure 1

19 pages, 3090 KB  
Review
Air Temperature Intermittency and Photofragment Excitation
by Adrian F. Tuck
Meteorology 2023, 2(4), 445-463; https://doi.org/10.3390/meteorology2040026 - 14 Oct 2023
Cited by 5 | Viewed by 2212
Abstract
Four observational results: the intermittency of air temperature; its correlation with ozone photodissociation rate; the diurnal variation of ozone in the upper stratosphere; and the cold bias of meteorological analyses compared to observations, are reviewed. The excitation of photofragments and their persistence of [...] Read more.
Four observational results: the intermittency of air temperature; its correlation with ozone photodissociation rate; the diurnal variation of ozone in the upper stratosphere; and the cold bias of meteorological analyses compared to observations, are reviewed. The excitation of photofragments and their persistence of velocity after collision is appealed to as a possible explanation. Consequences are discussed, including the interpretation of the Langevin equation and fluctuation–dissipation in the atmosphere, the role of scale invariance and statistical multifractality, and what the results might mean for the distribution of isotopes among atmospheric molecules. An adjunct of the analysis is an exponent characterizing jet streams. Observational tests are suggested. Full article
Show Figures

Figure 1

20 pages, 21662 KB  
Article
Polar Cap Patches Scaling Properties: Insights from Swarm Data
by Roberta Tozzi, Paola De Michelis, Giulia Lovati, Giuseppe Consolini, Alessio Pignalberi, Michael Pezzopane, Igino Coco, Fabio Giannattasio and Maria Federica Marcucci
Remote Sens. 2023, 15(17), 4320; https://doi.org/10.3390/rs15174320 - 1 Sep 2023
Cited by 2 | Viewed by 1499
Abstract
Among the effects of space weather, the degradation of air traffic communications and satellite-based navigation systems are the most notable. For this reason, it is of uttermost importance to understand the nature and origin of ionospheric irregularities that are at the base of [...] Read more.
Among the effects of space weather, the degradation of air traffic communications and satellite-based navigation systems are the most notable. For this reason, it is of uttermost importance to understand the nature and origin of ionospheric irregularities that are at the base of the observed communication outages. Here we focus on polar cap patches (PCPs) that constitute a special class of ionospheric irregularities observed at very high latitudes in the F region. To this purpose we use the so-called PCP flag, a Swarm Level 2 product, that allows for identifying PCPs. We relate the presence of PCPs to the values of the first- and second-order scaling exponents and intermittency estimated from Swarm A electron density fluctuations and to the values of the Rate Of change of electron Density Index (RODI) for two different levels of geomagnetic activity, over a time span of approximately 3.5 years starting on 16 July 2014. Our findings show that values of RODI, first- and second-order scaling exponents and intermittency corresponding to measurements taken inside PCPs differ from those corresponding to measurements taken outside PCPs. Additionally, the values of the first- and second-order scaling exponents and of intermittency indicate that PCPs are in a turbulent state. Investigation of the coincidence of loss of lock (LoL) events with PCPs displayed that approximately 57.4% of LoLs in the Northern hemisphere and 45.7% in the Southern hemisphere occur in coincidence of PCPs when disturbed geomagnetic activity is considered. During quiet geomagnetic conditions these percentages decrease to 51.4% in the Northern hemisphere and to 20.1% in the Southern hemisphere. Full article
Show Figures

Graphical abstract

17 pages, 3560 KB  
Article
Spontaneous Symmetry Breaking in Systems Obeying the Dynamics of On–Off Intermittency and Presenting Bimodal Amplitude Distributions
by Stelios M. Potirakis, Pericles Papadopoulos, Niki-Lina Matiadou, Michael P. Hanias, Stavros G. Stavrinides, Georgios Balasis and Yiannis Contoyiannis
Symmetry 2023, 15(7), 1448; https://doi.org/10.3390/sym15071448 - 20 Jul 2023
Cited by 4 | Viewed by 3713
Abstract
In this work, first, it is confirmed that a recently introduced symbolic time-series-analysis method based on the prime-numbers-based algorithm (PNA), referred to as the “PNA-based symbolic time-series analysis method” (PNA-STSM), can accurately determine the exponent of the distribution of waiting times in the [...] Read more.
In this work, first, it is confirmed that a recently introduced symbolic time-series-analysis method based on the prime-numbers-based algorithm (PNA), referred to as the “PNA-based symbolic time-series analysis method” (PNA-STSM), can accurately determine the exponent of the distribution of waiting times in the symbolic dynamics of two symbols produced by the 3D Ising model in its critical state. After this numerical verification of the reliability of PNA-STSM, three examples of how PNA-STSM can be applied to the category of systems that obey the dynamics of the on–off intermittency are presented. Usually, such time series, with on–off intermittency, present bimodal amplitude distributions (i.e., with two lobes). As has recently been found, the phenomenon of on–off intermittency is associated with the spontaneous symmetry breaking (SSB) of the second-order phase transition. Thus, the revelation that a system is close to SSB supports a deeper understanding of its dynamics in terms of criticality, which is quite useful in applications such as the analysis of pre-earthquake fracture-induced electromagnetic emission (also known as fracture-induced electromagnetic radiation) (FEME/FEMR) signals. Beyond the case of on–off intermittency, PNA-STSM can provide credible results for the dynamics of any two-symbol symbolic dynamics, even in cases in which there is an imbalance in the probability of the appearance of the two respective symbols since the two symbols are not considered separately but, instead, simultaneously, considering the information from both branches of the symbolic dynamics. Full article
(This article belongs to the Special Issue Symmetry in Nonlinear Dynamics and Chaos II)
Show Figures

Figure 1

20 pages, 1917 KB  
Article
Fog Intermittency and Critical Behavior
by Kelly Y. Huang, Gabriel G. Katul, Thomas J. Hintz, Jesus Ruiz-Plancarte, Qing Wang and Harindra J. S. Fernando
Atmosphere 2023, 14(5), 875; https://doi.org/10.3390/atmos14050875 - 17 May 2023
Cited by 1 | Viewed by 2314
Abstract
The intermittency of fog occurrence (the switching between fog and no-fog) is a key stochastic feature that plays a role in its duration and the amount of moisture available. Here, fog intermittency is studied by using the visibility time series collected during the [...] Read more.
The intermittency of fog occurrence (the switching between fog and no-fog) is a key stochastic feature that plays a role in its duration and the amount of moisture available. Here, fog intermittency is studied by using the visibility time series collected during the month of July 2022 on Sable Island, Canada. In addition to the visibility, time series of air relative humidity and turbulent kinetic energy, putative variables akin to the formation and breakup conditions of fog, respectively, are also analyzed in the same framework to establish links between fog intermittency and the underlying atmospheric variables. Intermittency in the time series is quantified with their binary telegraph approximations to isolate clustering behavior from amplitude variations. It is shown that relative humidity and turbulent kinetic energy bound many stochastic features of visibility, including its spectral exponent, clustering exponent, and the growth of its block entropy slope. Although not diagnostic, the visibility time series displays features consistent with Pomeau–Manneville Type-III intermittency in its quiescent phase duration PDF scaling (3/2), power spectrum scaling (1/2), and signal amplitude PDF scaling (2). The binary fog time series exhibits properties of self-organized criticality in the relation between its power spectrum scaling and quiescent phase duration distribution. Full article
Show Figures

Figure 1

15 pages, 14803 KB  
Article
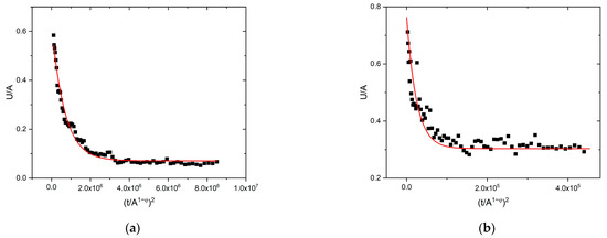
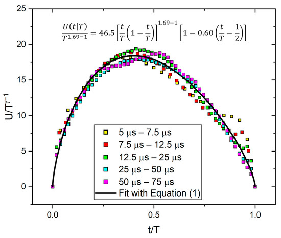
Scaling of Average Avalanche Shapes for Acoustic Emission during Jerky Motion of Single Twin Boundary in Single-Crystalline Ni2MnGa
by László Z. Tóth, Emil Bronstein, Lajos Daróczi, Doron Shilo and Dezső L. Beke
Materials 2023, 16(5), 2089; https://doi.org/10.3390/ma16052089 - 3 Mar 2023
Cited by 6 | Viewed by 2158
Abstract
Temporal average shapes of crackling noise avalanches, U(t) (U is the detected parameter proportional to the interface velocity), have self-similar behavior, and it is expected that by appropriate normalization, they can be scaled together according to a universal scaling [...] Read more.
Temporal average shapes of crackling noise avalanches, U(t) (U is the detected parameter proportional to the interface velocity), have self-similar behavior, and it is expected that by appropriate normalization, they can be scaled together according to a universal scaling function. There are also universal scaling relations between the avalanche parameters (amplitude, A, energy, E, size (area), S, and duration, T), which in the mean field theory (MFT) have the form EA3, SA2, ST2. Recently, it turned out that normalizing the theoretically predicted average U(t) function at a fixed size, U(t)=atexpbt2 (a and b are non-universal, material-dependent constants) by A and the rising time, R, a universal function can be obtained for acoustic emission (AE) avalanches emitted during interface motions in martensitic transformations, using the relation R~A1φ too, where φ is a mechanism-dependent constant. It was shown that φ also appears in the scaling relations E~A3φ and S~A2φ, in accordance with the enigma for AE, that the above exponents are close to 2 and 1, respectively (in the MFT limit, i.e., with φ= 0, they are 3 and 2, respectively). In this paper, we analyze these properties for acoustic emission measurements carried out during the jerky motion of a single twin boundary in a Ni50Mn28.5Ga21.5 single crystal during slow compression. We show that calculating from the above-mentioned relations and normalizing the time axis of the average avalanche shapes with A1φ, and the voltage axis with A, the averaged avalanche shapes for the fixed area are well scaled together for different size ranges. These have similar universal shapes as those obtained for the intermittent motion of austenite/martensite interfaces in two different shape memory alloys. The averaged shapes for a fixed duration, although they could be acceptably scaled together, showed a strong positive asymmetry (the avalanches decelerate much slower than they accelerate) and thus did not show a shape reminiscent of an inverted parabola, predicted by the MFT. For comparison, the above scaling exponents were also calculated from simultaneously measured magnetic emission data. It was obtained that the φ values are in accordance with theoretical predictions going beyond the MFT, but the AE results for φ are characteristically different from these, supporting that the well-known enigma for AE is related to this deviation. Full article
Show Figures

Figure 1

9 pages, 2587 KB  
Article
Intermittency of Rock Fractured Surfaces: A Power Law
by Saeed Aligholi and Manoj Khandelwal
Water 2022, 14(22), 3662; https://doi.org/10.3390/w14223662 - 13 Nov 2022
Cited by 2 | Viewed by 2275
Abstract
Roughness of rock fractured surfaces is one of the most important factors controlling fluid flow in rock masses. Roughness quantification is of prime importance for modelling the flow of ground waters as well as reservoir fluid mechanics. In this study, with the aid [...] Read more.
Roughness of rock fractured surfaces is one of the most important factors controlling fluid flow in rock masses. Roughness quantification is of prime importance for modelling the flow of ground waters as well as reservoir fluid mechanics. In this study, with the aid of high-resolution 3D X-ray CT scanning and image processing techniques, the roughness of four different rock types is reconstructed with a resolution of 16.5 microns. Moreover, the correlation and structure functions are used to analyse height fluctuations as well as statistical intermittency of the studied rock fractured surfaces. It is observed that at length scales smaller than a critical length scale, fractures surfaces are correlated and show multifractality. Monofractals are neither intermittent nor correlated; hence, a meaningful link between statistical intermittency and the correlation function of multifractals is expected. However, a model that considers this relationship and predicts multifractal spectra of disordered systems is still missing. A simple power law that can exactly forecast the multiscaling spectrum of rock fracture process zone is being introduced. It is explained how the exponent of this power function λi is related to the crossover length of correlation function ξ, and how this critical length scale can be objectively identified. Full article
(This article belongs to the Section Hydrogeology)
Show Figures

Figure 1

29 pages, 4973 KB  
Article
Fuzzy Logic–Based Decentralized Voltage–Frequency Control and Inertia Control of a VSG-Based Isolated Microgrid System
by Baheej Alghamdi
Energies 2022, 15(22), 8401; https://doi.org/10.3390/en15228401 - 10 Nov 2022
Cited by 10 | Viewed by 2519
Abstract
This work proposes the use of fuzzy-logic-based voltage frequency control (VFC) and adaptive inertia to improve the frequency response of a virtual synchronous generator (VSG)-based isolated microgrid system. The joint VFC and inertial control scheme is proposed to limit frequency deviations in these [...] Read more.
This work proposes the use of fuzzy-logic-based voltage frequency control (VFC) and adaptive inertia to improve the frequency response of a virtual synchronous generator (VSG)-based isolated microgrid system. The joint VFC and inertial control scheme is proposed to limit frequency deviations in these isolated microgrid systems, mainly caused by the increasing penetration of intermittent distributed energy resources, which lack rotational inertia. The proposed controller uses artificial neural networks (ANN) to estimate the exponent of voltage-dependent loads and modulate the system frequency by adjusting the output voltage of the VSGs, which increases the system’s active power reserves while providing inertial control by adjusting the inertia of VSGs to minimize frequency and VSG DC-link voltage excursions. A genetic algorithm (GA)-based optimization strategy is developed to optimally adjust the parameters of the fuzzy logic controller to diminish the impact of disturbances on the system. In addition, the proposed technique is illustrated through simulations within the framework of a test system based on the CIGRE medium-voltage benchmark under various circumstances. The results of these simulations demonstrate that the proposed control strategy outperforms existing methods. Full article
(This article belongs to the Special Issue Smart Grid Control and Optimization)
Show Figures

Figure 1

28 pages, 8686 KB  
Article
Evaluation and Comparison of Spatial Clustering for Solar Irradiance Time Series
by Luis Garcia-Gutierrez, Cyril Voyant, Gilles Notton and Javier Almorox
Appl. Sci. 2022, 12(17), 8529; https://doi.org/10.3390/app12178529 - 26 Aug 2022
Cited by 20 | Viewed by 3815
Abstract
This work exposes an innovative clustering method of solar radiation stations, using static and dynamic parameters, based on multi-criteria analysis for future objectives to make the forecasting of the solar resource easier. The innovation relies on a characterization of solar irradiation from both [...] Read more.
This work exposes an innovative clustering method of solar radiation stations, using static and dynamic parameters, based on multi-criteria analysis for future objectives to make the forecasting of the solar resource easier. The innovation relies on a characterization of solar irradiation from both a quantitative point of view and a qualitative one (variability of the intermittent sources). Each of the 76 Spanish stations studied is firstly characterized by static parameters of solar radiation distributions (mean, standard deviation, skewness, and kurtosis) and then by dynamic ones (Hurst exponent and forecastability coefficient, which is a new concept to characterize the “difficulty” to predict the solar radiation intermittence) that are rarely used, or even never used previously, in such a study. A redundancy analysis shows that, among all the explanatory variables used, three are essential and sufficient to characterize the solar irradiation behavior of each site; thus, in accordance with the principle of parsimony, only the mean and the two dynamic parameters are used. Four clustering methods were applied to identify geographical areas with similar solar irradiation characteristics at a half-an-hour time step: hierarchical, k-means, k-medoids, and spectral cluster. The achieved clusters are compared with each other and with an updated Köppen–Geiger climate classification. The relationship between clusters is analyzed according to the Rand and Jaccard Indexes. For both cases (five and three classes), the hierarchical clustering algorithm is the closest to the Köppen classification. An evaluation of the clustering algorithms’ performance shows no interest in implementing k-means and spectral clustering simultaneously since the results are similar by more than 90% for three and five classes. The recommendations for operating a solar radiation clustering are to use k-means or hierarchical clustering based on mean, Hurst exponent, and forecastability parameters. Full article
(This article belongs to the Special Issue New Developments and Prospects in Clean and Renewable Energies)
Show Figures

Figure 1

15 pages, 817 KB  
Article
Contrasting Scaling Properties of Near-Sun Sub-Alfvénic and Super-Alfvénic Regions
by Tommaso Alberti, Simone Benella, Vincenzo Carbone, Giuseppe Consolini, Virgilio Quattrociocchi and Mirko Stumpo
Universe 2022, 8(7), 338; https://doi.org/10.3390/universe8070338 - 21 Jun 2022
Cited by 4 | Viewed by 1976
Abstract
Scale-invariance has rapidly established itself as one of the most used concepts in space plasmas to uncover underlying physical mechanisms via the scaling-law behavior of the statistical properties of field fluctuations. In this work, we characterize the scaling properties of the magnetic field [...] Read more.
Scale-invariance has rapidly established itself as one of the most used concepts in space plasmas to uncover underlying physical mechanisms via the scaling-law behavior of the statistical properties of field fluctuations. In this work, we characterize the scaling properties of the magnetic field fluctuations in a sub-alfvénic region in contrast with those of the nearby super-alfvénic zone during the ninth Parker Solar Probe perihelion. With our observations, (i) evidence of an extended self-similarity (ESS) for both the inertial and the sub-ion/kinetic regimes during both solar wind intervals is provided, (ii) a multifractal nature of field fluctuations is observed across inertial scales for both solar wind intervals, and (iii) a mono-fractal structure of the small-scale dynamics is reported. The main novelty is that a universal character is found at the sub-ion/kinetic scale, where a unique rescaling exponent describes the high-order statistics of fluctuations during both wind intervals. Conversely, a multitude of scaling symmetries is observed at the inertial scale with a similar fractal topology and geometrical structures between the magnetic field components in the ecliptic plane and perpendicular to it, in contrast with a different level of intermittency, more pronounced during the super-alfvénic interval rather than the sub-alfvénic one, along the perpendicular direction to the ecliptic plane. The above features are interpreted in terms of the possible underlying heating and/or acceleration mechanisms in the solar corona resulting from turbulence and current sheet formation. Full article
(This article belongs to the Special Issue Advances in Solar Wind Origin and Evolution)
Show Figures

Figure 1

12 pages, 3920 KB  
Article
Analysis of the Dynamic Stiffness, Hysteresis Resonances and Complex Responses for Nonlinear Spring Systems in Power-Form Order
by Qingtao Wang, Zhiyong Zhang, Yongheng Ying and Zhaojun Pang
Appl. Sci. 2021, 11(16), 7722; https://doi.org/10.3390/app11167722 - 22 Aug 2021
Cited by 4 | Viewed by 3267
Abstract
Power-form nonlinear contact force models are widely adopted in relatively moving parts of macro (e.g., rolling bearings considering Hertzian contact restoring force between rolling elements and bearing raceways) or micro (e.g., the micro cantilever probe system of atomic force microscopy) scale mechanical systems, [...] Read more.
Power-form nonlinear contact force models are widely adopted in relatively moving parts of macro (e.g., rolling bearings considering Hertzian contact restoring force between rolling elements and bearing raceways) or micro (e.g., the micro cantilever probe system of atomic force microscopy) scale mechanical systems, and contact resonance could cause serious problems of wear, contact fatigue, vibration, and noise, which has attracted widespread attention. In the present paper, the softening/hardening stiffness characteristics of continuous and one-sided contact power-form nonlinear spring models are addressed, respectively, by the analysis of the monotone features of resonant frequency-response skeleton lines. Herein, the period-n solution branch and its stability characteristics are obtained by the harmonic balance and alternating frequency/time domain (HB–AFT) method and Floquet theory. Compared with previous studies, this paper will furtherly clarify the influences of externally normal load, the power form exponent term, and excitation amplitude on the softening/hardening stiffness characteristics of general power-form spring systems. In addition, for a power-form system with a one-sided contact, the phenomena of primary and super/sub-harmonic hysteretic resonances inducing period-doubling, folding bifurcation, the coexistence of multiple solutions are demonstrated. Besides, it gives the evolution mechanism of two types of intermittency chaos in a one-sided contact system. The overall results may have certain basic theoretical significance and engineering values for the control of vibration and noise in contact mechanical systems. Full article
(This article belongs to the Special Issue Application of Non-linear Dynamics)
Show Figures

Figure 1

Back to TopTop