Fog Intermittency and Critical Behavior
Abstract
1. Introduction
1.1. Types of Dynamical Intermittency
1.2. Self-Organized Criticality
2. Methods
2.1. Measurements
2.2. Analysis Methods
3. Results
3.1. Overview
3.2. Spectra
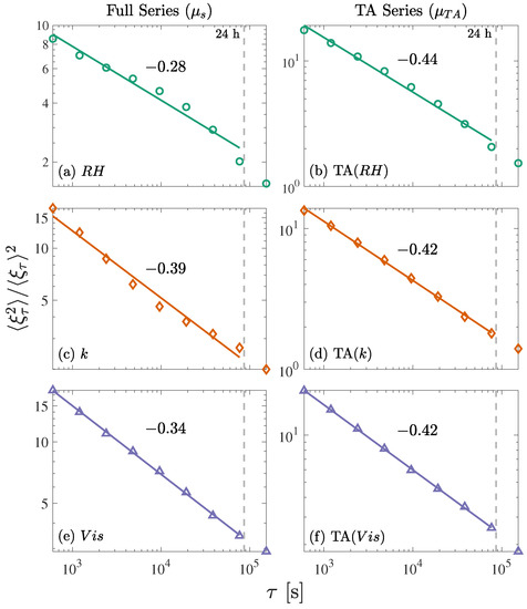
3.3. Cluster Exponents
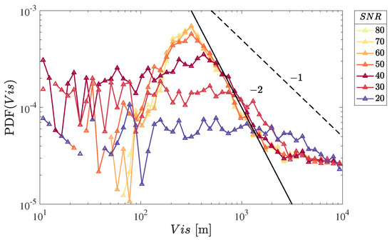
3.4. Laminar Period Duration and Signal Amplitude PDFs
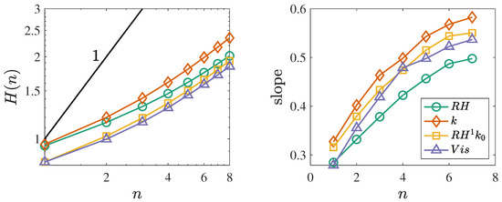
3.5. Block Entropy
4. Study Limitations
5. Discussion and Conclusions
Author Contributions
Funding
Institutional Review Board Statement
Informed Consent Statement
Data Availability Statement
Acknowledgments
Conflicts of Interest
References
- Myers, J.N. Fog. Sci. Am. 1968, 219, 74–83. [Google Scholar] [CrossRef]
- Shrestha, S.; Moore, G.A.; Peel, M.C. Trends in winter fog events in the Terai region of Nepal. Agric. For. Meteorol. 2018, 259, 118–130. [Google Scholar] [CrossRef]
- Baldocchi, D.; Waller, E. Winter fog is decreasing in the fruit growing region of the Central Valley of California. Geophys. Res. Lett. 2014, 41, 3251–3256. [Google Scholar] [CrossRef]
- Klemm, O.; Schemenauer, R.S.; Lummerich, A.; Cereceda, P.; Marzol, V.; Corell, D.; Van Heerden, J.; Reinhard, D.; Gherezghiher, T.; Olivier, J.; et al. Fog as a fresh-water resource: Overview and perspectives. Ambio 2012, 41, 221–234. [Google Scholar] [CrossRef]
- Montecinos, S.; Carvajal, D.; Cereceda, P.; Concha, M. Collection efficiency of fog events. Atmos. Res. 2018, 209, 163–169. [Google Scholar] [CrossRef]
- Salcedo-Sanz, S.; Piles, M.; Cuadra, L.; Casanova-Mateo, C.; Caamaño, A.; Cerro-Prada, E.; Camps-Valls, G. Long-term persistence, invariant time scales and on-off intermittency of fog events. Atmos. Res. 2021, 252, 105456. [Google Scholar] [CrossRef]
- Foufoula-Georgiou, E.; Krajewski, W. Recent advances in rainfall modeling, estimation, and forecasting. Rev. Geophys. 1995, 33, 1125–1137. [Google Scholar] [CrossRef]
- Georgakakos, K.P.; Kavvas, M.L. Precipitation analysis, modeling, and prediction in hydrology. Rev. Geophys. 1987, 25, 163–178. [Google Scholar] [CrossRef]
- Gupta, V.K.; Waymire, E. Multiscaling properties of spatial rainfall and river flow distributions. J. Geophys. Res. Atmos. 1990, 95, 1999–2009. [Google Scholar] [CrossRef]
- Menabde, M.; Harris, D.; Seed, A.; Austin, G.; Stow, D. Multiscaling properties of rainfall and bounded random cascades. Water Resour. Res. 1997, 33, 2823–2830. [Google Scholar] [CrossRef]
- Olsson, J.; Burlando, P. Reproduction of temporal scaling by a rectangular pulses rainfall model. Hydrol. Process. 2002, 16, 611–630. [Google Scholar] [CrossRef]
- Rigby, J.; Porporato, A. Precipitation, dynamical intermittency, and sporadic randomness. Adv. Water Resour. 2010, 33, 923–932. [Google Scholar] [CrossRef]
- Peters, O.; Neelin, J.D. Critical phenomena in atmospheric precipitation. Nat. Phys. 2006, 2, 393–396. [Google Scholar] [CrossRef]
- Bak, P.; Chen, K. Self-organized criticality. Sci. Am. 1991, 264, 46–53. [Google Scholar] [CrossRef]
- Räsänen, M.; Chung, M.; Katurji, M.; Pellikka, P.; Rinne, J.; Katul, G. Similarity in fog and rainfall intermittency. Geophys. Res. Lett. 2018, 45, 10–691. [Google Scholar] [CrossRef]
- Bergé, P.; Pomeau, Y.; Vidal, C. Order Within Chaos; Wiley: Hoboken, NJ, USA, 1987. [Google Scholar]
- Lakshmanan, M.; Rajaseekar, S. Nonlinear Dynamics: Integrability, Chaos and Patterns; Springer Science & Business Media: Berlin/Heidelberg, Germany, 2012. [Google Scholar]
- Pomeau, Y.; Manneville, P. Intermittent transition to turbulence in dissipative dynamical systems. In Universality in Chaos; Routledge: Abingdon-on-Thames, UK, 2017; pp. 327–335. [Google Scholar]
- Hirsch, J.; Huberman, B.; Scalapino, D. Theory of intermittency. Phys. Rev. A 1982, 25, 519. [Google Scholar] [CrossRef]
- Scholz, H.; Yamada, T.; Brand, H.; Graham, R. Intermittency and chaos in a laser system with modulated inversion. Phys. Lett. A 1981, 82, 321–323. [Google Scholar] [CrossRef]
- Meunier, C.; Bussac, M.N.; Laval, G. Intermittency at the onset of stochasticity in nonlinear resonant coupling processes. Phys. D Nonlinear Phenom. 1982, 4, 236–243. [Google Scholar] [CrossRef]
- Pomeau, Y.; Roux, J.; Rossi, A.; Bachelart, S.; Vidal, C. Intermittent behaviour in the Belousov-Zhabotinsky reaction. J. De Phys. Lettres 1981, 42, 271–273. [Google Scholar] [CrossRef]
- Bergé, P.; Dubois, M.; Mannevillel, P.; Pomeau, Y. Intermittency in Rayleigh-Bénard convection. J. De Phys. Lettres 1980, 41, 341–345. [Google Scholar] [CrossRef]
- Maurer, J.; Libchaber, A. Effect of the Prandtl number on the onset of turbulence in liquid 4He. J. De Phys. Lettres 1980, 41, 515–518. [Google Scholar] [CrossRef]
- Jeffries, C.; Perez, J. Observation of a Pomeau-Manneville intermittent route to chaos in a nonlinear oscillator. Phys. Rev. A 1982, 26, 2117. [Google Scholar] [CrossRef]
- Richetti, P.; Argoul, F.; Arneodo, A. Type-II intermittency in a peroidically driven nonlinear oscillator. Phys. Rev. A 1986, 34, 726. [Google Scholar] [CrossRef] [PubMed]
- Huang, J.Y.; Kim, J.J. Type-II intermittency in a coupled nonlinear oscillator: Experimental observation. Phys. Rev. A 1987, 36, 1495. [Google Scholar] [CrossRef] [PubMed]
- Ringuet, E.; Rozé, C.; Gouesbet, G. Experimental observation of type-II intermittency in a hydrodynamic system. Phys. Rev. E 1993, 47, 1405. [Google Scholar] [CrossRef]
- Velazquez, J.P.; Khosravani, H.; Lozano, A.; Bardakjian, B.L.; Carlen, P.L.; Wennberg, R. Type III intermittency in human partial epilepsy. Eur. J. Neurosci. 1999, 11, 2571–2576. [Google Scholar] [CrossRef]
- Griffith, T.; Parthimos, D.; Crombie, J.; Edwards, D.H. Critical scaling and type-III intermittent chaos in isolated rabbit resistance arteries. Phys. Rev. E 1997, 56, R6287. [Google Scholar] [CrossRef]
- Richter, R.; Peinke, J.; Clauss, W.; Rau, U.; Parisi, J. Evidence of type-III intermittency in the electric breakdown of p-type germanium. EPL (Europhys. Lett.) 1991, 14, 1. [Google Scholar] [CrossRef]
- Kahn, A.; Mar, D.; Westervelt, R. Spatial measurements near the instability threshold in ultrapure Ge. Phys. Rev. B 1992, 45, 8342. [Google Scholar] [CrossRef]
- Ono, Y.; Fukushima, K.; Yazaki, T. Critical behavior for the onset of type-III intermittency observed in an electronic circuit. Phys. Rev. E 1995, 52, 4520. [Google Scholar] [CrossRef]
- Kim, C.M.; Yim, G.S.; Ryu, J.W.; Park, Y.J. Characteristic relations of type-III intermittency in an electronic circuit. Phys. Rev. Lett. 1998, 80, 5317. [Google Scholar] [CrossRef]
- Dubois, M.; Rubio, M.; Berge, P. Experimental evidence of intermittencies associated with a subharmonic bifurcation. Phys. Rev. Lett. 1983, 51, 1446. [Google Scholar] [CrossRef]
- Platt, N.; Spiegel, E.; Tresser, C. On-off intermittency: A mechanism for bursting. Phys. Rev. Lett. 1993, 70, 279. [Google Scholar] [CrossRef] [PubMed]
- Pikovsky, A. On the interaction of strange attractors. Z. Für Phys. B Condens. Matter 1984, 55, 149–154. [Google Scholar] [CrossRef]
- Fujisaka, H.; Yamada, T. A new intermittency in coupled dynamical systems. Prog. Theor. Phys. 1985, 74, 918–921. [Google Scholar] [CrossRef]
- Heagy, J.; Platt, N.; Hammel, S. Characterization of on-off intermittency. Phys. Rev. E 1994, 49, 1140. [Google Scholar] [CrossRef]
- Yu, Y.H.; Kwak, K.; Lim, T.K. On-off intermittency in an experimental synchronization process. Phys. Lett. A 1995, 198, 34–38. [Google Scholar] [CrossRef]
- Hammer, P.W.; Platt, N.; Hammel, S.M.; Heagy, J.F.; Lee, B.D. Experimental observation of on-off intermittency. Phys. Rev. Lett. 1994, 73, 1095. [Google Scholar] [CrossRef]
- Rödelsperger, F.; Čenys, A.; Benner, H. On-off intermittency in spin-wave instabilities. Phys. Rev. Lett. 1995, 75, 2594. [Google Scholar] [CrossRef]
- Feng, D.; Yu, C.; Xie, J.; Ding, W. On-off intermittencies in gas discharge plasma. Phys. Rev. E 1998, 58, 3678. [Google Scholar] [CrossRef]
- John, T.; Stannarius, R.; Behn, U. On-off intermittency in stochastically driven electrohydrodynamic convection in nematics. Phys. Rev. Lett. 1999, 83, 749. [Google Scholar] [CrossRef]
- Bauer, M.; Habip, S.; He, D.R.; Martienssen, W. New type of intermittency in discontinuous maps. Phys. Rev. Lett. 1992, 68, 1625. [Google Scholar] [CrossRef] [PubMed]
- He, D.R.; Wang, D.K.; Shi, K.J.; Yang, C.h.; Chao, L.y.; Zhang, J.Y. Critical behavior of dynamical systems described by the inverse circle map. Phys. Lett. A 1989, 136, 363–368. [Google Scholar] [CrossRef]
- Price, T.; Mullin, T. An experimental observation of a new type of intermittency. Phys. D Nonlinear Phenom. 1991, 48, 29–52. [Google Scholar] [CrossRef]
- San-Martin, J.; Antoranz, J. Type-II intermittency with a double reinjection channel: Multintermittency. Phys. Lett. A 1996, 219, 69–73. [Google Scholar] [CrossRef]
- Grebogi, C.; Ott, E.; Yorke, J.A. Crises, sudden changes in chaotic attractors, and transient chaos. Phys. D Nonlinear Phenom. 1983, 7, 181–200. [Google Scholar] [CrossRef]
- Schuster, H.G.; Just, W. Deterministic Chaos: An Introduction; John Wiley & Sons: Hoboken, NJ, USA, 2006. [Google Scholar]
- Procaccia, I.; Schuster, H. Functional renormalization-group theory of universal 1/f noise in dynamical systems. Phys. Rev. A 1983, 28, 1210. [Google Scholar] [CrossRef]
- Venkataramani, S.C.; Antonsen, T.M., Jr.; Ott, E.; Sommerer, J.C. On-off intermittency: Power spectrum and fractal properties of time series. Phys. D Nonlinear Phenom. 1996, 96, 66–99. [Google Scholar] [CrossRef]
- Toniolo, C.; Provenzale, A.; Spiegel, E.A. Signature of on-off intermittency in measured signals. Phys. Rev. E 2002, 66, 066209. [Google Scholar] [CrossRef]
- Gaspard, P.; Wang, X.J. Sporadicity: Between periodic and chaotic dynamical behaviors. Proc. Natl. Acad. Sci. USA 1988, 85, 4591–4595. [Google Scholar] [CrossRef]
- Legenstein, R.; Maass, W. Edge of chaos and prediction of computational performance for neural circuit models. Neural Netw. 2007, 20, 323–334. [Google Scholar] [CrossRef] [PubMed]
- Grieger, B. Quaternary climatic fluctuations as a consequence of self-organized criticality. Phys. A Stat. Mech. Its Appl. 1992, 191, 51–56. [Google Scholar] [CrossRef]
- Hesse, J.; Gross, T. Self-organized criticality as a fundamental property of neural systems. Front. Syst. Neurosci. 2014, 8, 166. [Google Scholar] [CrossRef] [PubMed]
- Roberts, D.C.; Turcotte, D.L. Fractality and self-organized criticality of wars. Fractals 1998, 6, 351–357. [Google Scholar] [CrossRef]
- Turcotte, D.L. Self-organized criticality. Rep. Prog. Phys. 1999, 62, 1377. [Google Scholar] [CrossRef]
- Jensen, H.J. Self-Organized Criticality: Emergent Complex Behavior in Physical and Biological Systems; Cambridge University Press: Cambridge, UK, 1998; Volume 10. [Google Scholar]
- Pruessner, G. Self-Organised Criticality: Theory, Models and Characterisation; Cambridge University Press: Cambridge, UK, 2012. [Google Scholar]
- Dorman, C.E.; Mejia, J.; Koračin, D.; McEvoy, D. Worldwide marine fog occurrence and climatology. In Marine Fog: Challenges and Advancements in Observations, Modeling, and Forecasting; Springer: Berlin/Heidelberg, Germany, 2017; pp. 7–152. [Google Scholar]
- Horst, T.; Oncley, S. Corrections to inertial-range power spectra measured by CSAT3 and Solent sonic anemometers, 1. Path-averaging errors. Bound. Layer Meteorol. 2006, 119, 375–395. [Google Scholar] [CrossRef]
- Horst, T.; Semmer, S.; Maclean, G. Correction of a non-orthogonal, three-component sonic anemometer for flow distortion by transducer shadowing. Bound. Layer Meteorol. 2015, 155, 371–395. [Google Scholar] [CrossRef]
- Gultepe, I.; Milbrandt, J.A.; Zhou, B. Marine fog: A review on microphysics and visibility prediction. In Marine Fog: Challenges and Advancements in Observations, Modeling, and Forecasting; Springer: Berlin/Heidelberg, Germany, 2017; pp. 345–394. [Google Scholar]
- Bershadskii, A.; Niemela, J.; Praskovsky, A.; Sreenivasan, K. “Clusterization” and intermittency of temperature fluctuations in turbulent convection. Phys. Rev. E 2004, 69, 056314. [Google Scholar] [CrossRef]
- Sreenivasan, K.; Bershadskii, A. Clustering properties in turbulent signals. J. Stat. Phys. 2006, 125, 1141–1153. [Google Scholar] [CrossRef]
- Poggi, D.; Katul, G. Flume experiments on intermittency and zero-crossing properties of canopy turbulence. Phys. Fluids 2009, 21, 065103. [Google Scholar] [CrossRef]
- Cava, D.; Katul, G. The effects of thermal stratification on clustering properties of canopy turbulence. Bound. Layer Meteorol. 2009, 130, 307–325. [Google Scholar] [CrossRef]
- Cava, D.; Katul, G.G.; Molini, A.; Elefante, C. The role of surface characteristics on intermittency and zero-crossing properties of atmospheric turbulence. J. Geophys. Res. Atmos. 2012, 117, 1–17. [Google Scholar] [CrossRef]
- Cava, D.; Mortarini, L.; Giostra, U.; Acevedo, O.; Katul, G. Submeso motions and intermittent turbulence across a nocturnal low-level jet: A self-organized criticality analogy. Bound. Layer Meteorol. 2019, 172, 17–43. [Google Scholar] [CrossRef]
- Heisel, M.; Katul, G.G.; Chamecki, M.; Guala, M. Velocity asymmetry and turbulent transport closure in smooth-and rough-wall boundary layers. Phys. Rev. Fluids 2020, 5, 104605. [Google Scholar] [CrossRef]
- Chowdhuri, S.; Kalmár-Nagy, T.; Banerjee, T. Persistence analysis of velocity and temperature fluctuations in convective surface layer turbulence. Phys. Fluids 2020, 32, 076601. [Google Scholar] [CrossRef]
- Huang, K.Y.; Katul, G.G.; Hultmark, M. Velocity and temperature dissimilarity in the surface layer uncovered by the telegraph approximation. Bound. Layer Meteorol. 2021, 180, 385–405. [Google Scholar] [CrossRef]
- Molini, A.; Katul, G.G.; Porporato, A. Revisiting rainfall clustering and intermittency across different climatic regimes. Water Resour. Res. 2009, 45. [Google Scholar] [CrossRef]
- Shannon, C.E. A mathematical theory of communication. Bell Syst. Tech. J. 1948, 27, 379–423. [Google Scholar] [CrossRef]
- Jensen, H.J.; Christensen, K.; Fogedby, H.C. 1/f noise, distribution of lifetimes, and a pile of sand. Phys. Rev. B 1989, 40, 7425. [Google Scholar] [CrossRef]
- Herring, J.R.; Cermak, J.E.; Neu, W.L.; Richardson, E.V.; Diplas, P.; Rand, R.H.; Yates, G.T.; Spedding, G.R.; de Laurier, J.D.; Hoult, D.P.; et al. Fluid Dynamics in Nature. Handb. Fluid Dyn. Fluid Mach. Appl. Fluid Dyn. 1996, 3, 1847–1989. [Google Scholar]
- Herring, J. A Brief History of the Geophysical Turbulence Program at NCAR. In Proceedings of the IUTAM Symposium on Developments in Geophysical Turbulence; Springer: Berlin/Heidelberg, Germany, 2000; pp. 1–4. [Google Scholar]
- Herring, J.R. Chapter 4: An Introduction and Overview of Various Theoretical Approaches to Turbulence. In Applied Mathematical Sciences; Springer: Berlin/Heidelberg, Germany, 1985; Volume 58, p. 73. [Google Scholar]
- Herring, J. The role of statistical models in turbulence. Stoch. Model. Geosystems 2012, 85, 129. [Google Scholar]




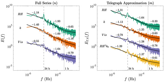
) and 1 h (
) delineate the scaling regimes.
) and 1 h (
) delineate the scaling regimes.










| PM Type-I | PM Type-II | PM Type-III | On–off | |
|---|---|---|---|---|
| Sable Island | 0.25 | 1.52 | ∼2 |
| Inland | 0.25 | 1.41 | 1.83 |
| Coastal | 0.26 | 1.33 | 1.86 |
| k | |||
|---|---|---|---|
| Full | 7.6 | 10.3 | 8.0 |
| TA | 7.6 | 7.1 | 6.9 |
Disclaimer/Publisher’s Note: The statements, opinions and data contained in all publications are solely those of the individual author(s) and contributor(s) and not of MDPI and/or the editor(s). MDPI and/or the editor(s) disclaim responsibility for any injury to people or property resulting from any ideas, methods, instructions or products referred to in the content. |
© 2023 by the authors. Licensee MDPI, Basel, Switzerland. This article is an open access article distributed under the terms and conditions of the Creative Commons Attribution (CC BY) license (https://creativecommons.org/licenses/by/4.0/).
Share and Cite
Huang, K.Y.; Katul, G.G.; Hintz, T.J.; Ruiz-Plancarte, J.; Wang, Q.; Fernando, H.J.S. Fog Intermittency and Critical Behavior. Atmosphere 2023, 14, 875. https://doi.org/10.3390/atmos14050875
Huang KY, Katul GG, Hintz TJ, Ruiz-Plancarte J, Wang Q, Fernando HJS. Fog Intermittency and Critical Behavior. Atmosphere. 2023; 14(5):875. https://doi.org/10.3390/atmos14050875
Chicago/Turabian StyleHuang, Kelly Y., Gabriel G. Katul, Thomas J. Hintz, Jesus Ruiz-Plancarte, Qing Wang, and Harindra J. S. Fernando. 2023. "Fog Intermittency and Critical Behavior" Atmosphere 14, no. 5: 875. https://doi.org/10.3390/atmos14050875
APA StyleHuang, K. Y., Katul, G. G., Hintz, T. J., Ruiz-Plancarte, J., Wang, Q., & Fernando, H. J. S. (2023). Fog Intermittency and Critical Behavior. Atmosphere, 14(5), 875. https://doi.org/10.3390/atmos14050875

