Intermittency Analysis in Heavy-Ion Collisions: A Model Study at RHIC Energies
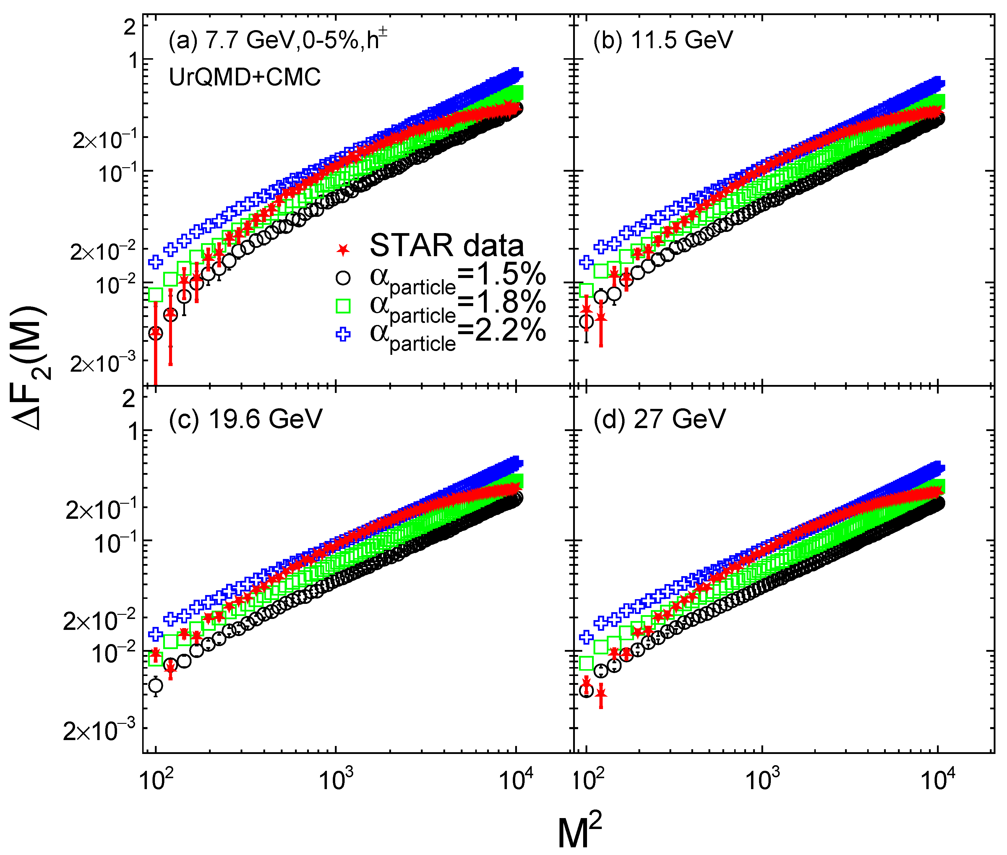
Abstract
Share and Cite
Wu, J.; Li, Z.; Lan, S. Intermittency Analysis in Heavy-Ion Collisions: A Model Study at RHIC Energies. Symmetry 2026, 18, 138. https://doi.org/10.3390/sym18010138
Wu J, Li Z, Lan S. Intermittency Analysis in Heavy-Ion Collisions: A Model Study at RHIC Energies. Symmetry. 2026; 18(1):138. https://doi.org/10.3390/sym18010138
Chicago/Turabian StyleWu, Jin, Zhiming Li, and Shaowei Lan. 2026. "Intermittency Analysis in Heavy-Ion Collisions: A Model Study at RHIC Energies" Symmetry 18, no. 1: 138. https://doi.org/10.3390/sym18010138
APA StyleWu, J., Li, Z., & Lan, S. (2026). Intermittency Analysis in Heavy-Ion Collisions: A Model Study at RHIC Energies. Symmetry, 18(1), 138. https://doi.org/10.3390/sym18010138

