Scaling of Average Avalanche Shapes for Acoustic Emission during Jerky Motion of Single Twin Boundary in Single-Crystalline Ni2MnGa
Abstract
1. Introduction
2. Materials and Methods
3. Results
3.1. Average Avalanche Shape of AE for Fixed Avalanche Size
3.2. Average Temporal Shapes of AE for Fixed Duration
3.3. Average Temporal Shapes of ME for Fixed Avalanche Size or Duration
4. Discussion
4.1. AE Avalanche Shapes for Fixed Area
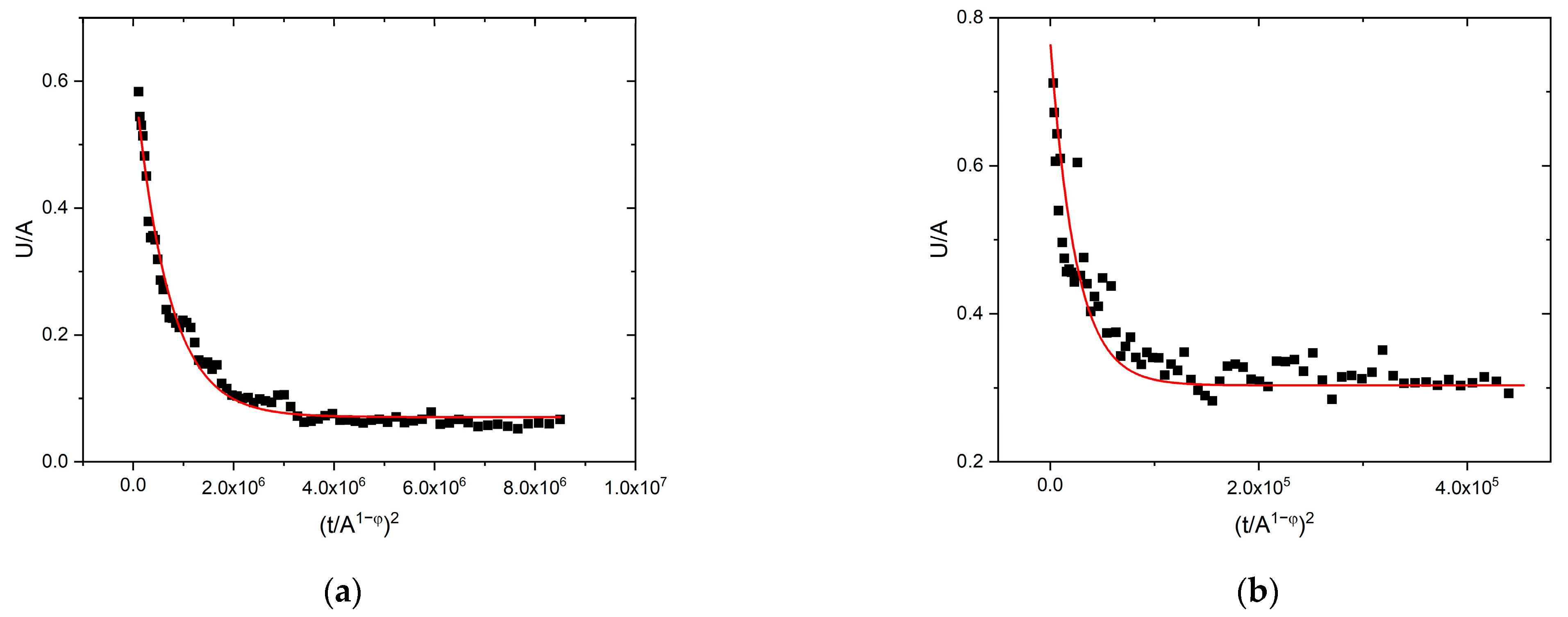
4.2. AE Avalanche Shape for Fixed Duration
4.3. Avalanche Shape of Magnetic Emission for Fixed Area and Duration
4.4. Comparison of Results Obtained from Acoustic and Magnetic Emission Measurements
4.5. On the Compatibility of Scaling Exponent Derived from Expressions for the Average Avalanche Shapes at Fixed Duration and Area
5. Conclusions
- (i)
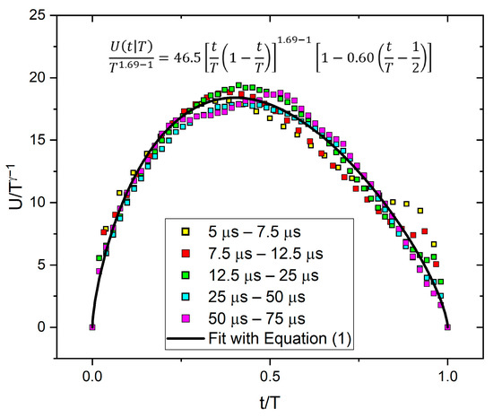
- Using scaling proposed in [23] (i.e., normalizing the time axis of the average avalanche shapes with , and the voltage axis with ) good common universal functions were obtained for both fixed area and fixed duration. For the fixed area, the obtained functions followed well the theoretically predicted shape (Equation (2)), and the φ value determined from scaling relations between the rising time versus peak amplitude, , area versus as well as energy versus , were the same ( and agreed well with values found from AE measurements on martensitic transformations in two different ferromagnetic shape memory alloys. For a fixed duration time, although the functions could also be scaled together, the shape was characteristically different from the shape predicted by Equation (1). This very asymmetric behavior, similar to the results of [18], can be described by a slow power-law decay with an exponent of about two.
- (ii)
- Investigating the similar scaling behavior for magnetic emission data, it was obtained that the values were in accordance with theoretical predictions going beyond the MFT (. Similarly, the temporal shapes for fixed area and duration were in accordance with expressions (1) and (2), with a small deviation most probably due to eddy currents distortions. On the other hand, the AE and ME results for were characteristically different from each other. This supports that the well-known enigma for AE (i.e., the power exponents between and as well as between and are given by as well as ) is related to this deviation, and it calls for further investigation.
Author Contributions
Funding
Institutional Review Board Statement
Informed Consent Statement
Data Availability Statement
Conflicts of Interest
References
- Kuntz, M.C.; Sethna, J.P. Noise in disordered systems: The power spectrum and dynamic exponents in avalanche models. Phys. Rev. B 2000, 62, 11699. [Google Scholar] [CrossRef]
- Setna, J.P.; Dahmen, K.A.; Myers, C.R. Crackling noise. Nature 2001, 410, 242–250. [Google Scholar] [CrossRef] [PubMed]
- Papanikolaou, S.; Bohn, F.; Sommer, R.L.; Durin, G.; Zapperi, S.S.; Setna, J.P. Universality beyond power laws and the averageavalanche shape. Nat. Phys. 2011, 7, 316–320. [Google Scholar] [CrossRef]
- Laurson, L.; Illa, X.; Santucci, S.; Tallakstad, K.T.; Maloy, K.J.; Alava, M.J. Evolution of the average avalanche shape with theuniversality class. Nat. Commun. 2013, 4, 2927. [Google Scholar] [CrossRef]
- LeBlanc, M.; Angheluta, L.; Dahmen, K.; Goldenfeld, N. Universal fluctuations and extreme statistics of avalanches near thedepinning transition. Phys. Rev. E 2013, 87, 022126. [Google Scholar] [CrossRef] [PubMed]
- Mehta, A.P.; Dahmen, K.A.; Ben-Zion, Y. Universal mean moment rate profiles of earthquake ruptures. Phys. Rev. E 2006, 73, 056104. [Google Scholar] [CrossRef]
- Laurson, L.; Alava, M.J. 1/f noise and avalanche scaling in plastic deformation. Phys. Rev. E 2006, 74, 066106. [Google Scholar] [CrossRef]
- Chrzan, D.C.; Mills, M.J. Criticality in the plastic deformation of L12 intermetallic compounds. Phys. Rev. B 1994, 50, 30–42. [Google Scholar] [CrossRef]
- Durin, G.; Zapperi, S.C. III in The Science of Hysteresis; Bertotti, G., Mayergoyz, I., Eds.; Academic Press: Cambridge, MA, USA, 2006; Volume II, pp. 181–267. [Google Scholar]
- Mehta, A.P.; Mills, A.C.; Dahmen, K.A.; Sethna, J.P. Universal pulse shape scaling function and exponents: Critical test for avalanche models applied to Barkhausen noise. Phys. Rev. E 2002, 65, 046139. [Google Scholar] [CrossRef]
- Colaiori, F. Exactly solvable model of avalanches dynamics for Barkhausen crackling noise. Adv. Phys. 2008, 57, 287–359. [Google Scholar] [CrossRef]
- Durin, G.; Zapperi, S. On the power spectrum of magnetization noise. J. Magn. Magn. Mater. 2002, 242, 1085–1088. [Google Scholar] [CrossRef]
- Zapperi, S.; Castellano, C.; Colaiori, F.; Durin, G. Signature of effective mass in crackling-noise asymmetry. Nat. Phys. 2005, 1, 46–49. [Google Scholar] [CrossRef]
- Durin, G.; Bohn, F.; Corrêa, M.A.; Sommer, R.L.; Le Doussal, P.; Wiese, K.J. Quantitative scaling of magnetic avalanches. Phys. Rev. Lett. 2016, 117, 087201. [Google Scholar] [CrossRef]
- Alessandro, B.; Beatrice, C.; Bertotti, G.; Montorsi, A. Domain-wall dynamics and Barkhausen effect in metallic ferromagnetic materials. I. Theory. J. Appl. Phys. 1990, 68, 2901–2907. [Google Scholar] [CrossRef]
- Antonaglia, J.; Wright, W.J.; Gu, X.; Byer, R.R.; Hufnagel, T.C.; LeBlanc, M.; Uhl, J.T.; Dahmen, K.A. Bulk metallic glasses deform via slip avalanches. Phys. Rev. Lett. 2014, 112, 1555501. [Google Scholar] [CrossRef] [PubMed]
- Makinen, T.; Karppinen, P.; Ovaska, M.; Laurson, L.; Alava, M.J. Propagating bands of plastic deformation in a metal alloy as critical avalanches. Sci. Adv. 2020, 6, eabc7350. [Google Scholar] [CrossRef]
- Chi-Cong, V.; Weiss, J. Asymmetric Damage Avalanche Shape in Quasibrittle Materials and Subavalanche (Aftershock) Clusters. Phys. Rev. Lett. 2020, 125, 105502. [Google Scholar] [CrossRef]
- Spark, G.; Maas, R. Shapes and velocity relaxation of dislocation avalanches in Au and Nb microcrystals. Acta Mater. 2018, 152, 86–95. [Google Scholar] [CrossRef]
- Dobrinevski, A.; Le Doussal, P.; Wiese, K.J. Statistics of avalanches with relaxation and Barkhausen noise: A solvable model. Phys. Rev. E 2013, 88, 032106. [Google Scholar] [CrossRef]
- Dobrinevski, A.; Le Doussal, P.; Weise, K.J. Avalanche shape and exponents beyond mean-field theory. EPL 2015, 108, 66002. [Google Scholar] [CrossRef]
- Casals, B.; Dahmen, K.A.; Gou, B.; Rooke, S.; Salje, E.K.H. The duration-energy-size enigma for acoustic emission. Sci. Rep. 2021, 11, 5590. [Google Scholar] [CrossRef] [PubMed]
- Kamel, S.M.; Samy, N.M.; Tóth, L.Z.; Daróczi, L.; Beke, D.L. Denouement of the Energy-Amplitude and Size-Amplitude Enigma for Acoustic-Emission Investigations of Materials. Materials 2022, 15, 4556. [Google Scholar] [CrossRef] [PubMed]
- Bronstein, E.; Tóth, L.Z.; Daróczi, L.; Beke, D.L.; Talmon, R.; Shilo, D. Tracking Twin Boundary Jerky Motion at Nanometer and Microsecond Scales. Adv. Funct. Mater. 2021, 31, 2106573. [Google Scholar] [CrossRef]
- Pereventov, A.; Sevcik, M.; Heczko, O. Correlation between Acoustic Emission and Stress Evolution during Single Twin Boundary Motion in Ni-Mn-Ga Magnetic Shape Memory Single Crystal. Phys. Stat. Solidi RRI. 2022, 2200245. [Google Scholar] [CrossRef]
- Lebyodkin, M.; Shashkov, I.; Lebedkina, T.; Mathis, K.; Dobron, P.; Chmelik, F. Role of superposition of dislocation avalanches in the statistics of acoustic emission during plastic deformation. Phys. Rev. E 2013, 88, 042402. [Google Scholar] [CrossRef]
- Pomponi, E.; Vinogradov, A. A real-time approach to acoustic emission clustering. Mech. Syst. Signal Proc. 2013, 40, 791–804. [Google Scholar] [CrossRef]
- Zreihan, N.; Faran, E.; Vives, E.; Planes, A.; Shilo, D. Coexistence of a well-determined kinetic law and a scale-invariant power law during the same physical process. Phys. Rev. B 2018, 97, 014103. [Google Scholar] [CrossRef]
- Zreihan, N.; Faran, E.; Vives, E.; Planes, A.; Shilo, D. Relations between stress drops and acoustic emission measured during mechanical loading. Phys. Rev. Mater. 2019, 3, 043603. [Google Scholar] [CrossRef]
- Clauset, A.; Shalizi, C.R.; Newmann, M.E.J. Power-Law of Distribution in Empirical Data. SIAM Rev. 2009, 51, 661. [Google Scholar] [CrossRef]
- Salje, E.K.H.; Xue, D.; Ding, X.; Dahmen, K.A.; Scott, J.F. Ferroelectric switching and scale invariant avalanches in BaTiO3. Phys. Rev. Mater. 2019, 3, 014415. [Google Scholar] [CrossRef]
- Xu, Y.; Shao, G.; Pang, J.; Zhou, Y.; Ding, X.; Sun, J.; Lookman, T.; Salje, E.K.H.; Xue, D. Avalanches during ferroelectic and ferroelastic switching in barium titanate ceramics. Phys. Rev. Mater. 2022, 6, 124413. [Google Scholar] [CrossRef]
- Shao, G.; Xu, Y.; Zhou, Y.; Ding, X.; Sun, J.; Salje, E.K.H.; Lookman, T.; Xue, D. Acoustic emission study on avalanche dynamics of ferroelectric switching in led zirconate titanate ceramics. J. Appl. Phys. 2022, 132, 224102. [Google Scholar] [CrossRef]
- Chen, Y.; Tang, K.; Gou, B.; Jiang, F.; Ding, X.; Salje, E.K.H. Acoustic emission spectra and statistics of dislocation movement in Fe40Mn40Co10Cr10 high entropy alloys. J. Appl. Phys. 2022, 132, 080901. [Google Scholar] [CrossRef]
- Chen, Y.; Gou, B.; Fu, W.; Chen, C.; Ding, X.; Sun, J.; Salje, E.K.H. Fine structure of acoustic emission spectra: How to separate dislocation motion and entanglements in 316L steel. App. Phys. Lett. 2022, 117, 26290. [Google Scholar] [CrossRef]
- Chen, Y.; Ding, X.; Fang, D.; Sun, J.; Salke, E.K.H. Acoustic emission from porous collapse and moving dislocations in granular Mg-Ho alloys under comprssion and tension. Sci. Rep. 2019, 9, 1330. [Google Scholar] [CrossRef]
- Weise, K.J. Theory and Experiments for Disordered Elastic Manifolds, Depinning, Avalanches, and Sandpiles. Rep. Prog. Phys. 2022, 85, 086502. [Google Scholar] [CrossRef] [PubMed]











Disclaimer/Publisher’s Note: The statements, opinions and data contained in all publications are solely those of the individual author(s) and contributor(s) and not of MDPI and/or the editor(s). MDPI and/or the editor(s) disclaim responsibility for any injury to people or property resulting from any ideas, methods, instructions or products referred to in the content. |
© 2023 by the authors. Licensee MDPI, Basel, Switzerland. This article is an open access article distributed under the terms and conditions of the Creative Commons Attribution (CC BY) license (https://creativecommons.org/licenses/by/4.0/).
Share and Cite
Tóth, L.Z.; Bronstein, E.; Daróczi, L.; Shilo, D.; Beke, D.L. Scaling of Average Avalanche Shapes for Acoustic Emission during Jerky Motion of Single Twin Boundary in Single-Crystalline Ni2MnGa. Materials 2023, 16, 2089. https://doi.org/10.3390/ma16052089
Tóth LZ, Bronstein E, Daróczi L, Shilo D, Beke DL. Scaling of Average Avalanche Shapes for Acoustic Emission during Jerky Motion of Single Twin Boundary in Single-Crystalline Ni2MnGa. Materials. 2023; 16(5):2089. https://doi.org/10.3390/ma16052089
Chicago/Turabian StyleTóth, László Z., Emil Bronstein, Lajos Daróczi, Doron Shilo, and Dezső L. Beke. 2023. "Scaling of Average Avalanche Shapes for Acoustic Emission during Jerky Motion of Single Twin Boundary in Single-Crystalline Ni2MnGa" Materials 16, no. 5: 2089. https://doi.org/10.3390/ma16052089
APA StyleTóth, L. Z., Bronstein, E., Daróczi, L., Shilo, D., & Beke, D. L. (2023). Scaling of Average Avalanche Shapes for Acoustic Emission during Jerky Motion of Single Twin Boundary in Single-Crystalline Ni2MnGa. Materials, 16(5), 2089. https://doi.org/10.3390/ma16052089

