Sign in to use this feature.

Years

Between: -

Subjects

remove_circle_outline
remove_circle_outline
remove_circle_outline
remove_circle_outline
remove_circle_outline
remove_circle_outline
remove_circle_outline
remove_circle_outline
remove_circle_outline

Journals

Article Types

Countries / Regions

remove_circle_outline
remove_circle_outline
remove_circle_outline
remove_circle_outline
remove_circle_outline
remove_circle_outline

Search Results (352)

Search Parameters:
Keywords = institutional entrepreneurship

Order results
Result details
Results per page
Select all
Export citation of selected articles as:
15 pages, 856 KB  
Review
Digital Governance as an Enabler of Economic Recovery and Developmental Transformation: Insights from Greece’s 2010–2018 Financial Adjustment Programmes
by Eleni Tsiaousi, Dimitrios Dimitriou and Dionysios Chionis
Encyclopedia 2026, 6(1), 22; https://doi.org/10.3390/encyclopedia6010022 - 19 Jan 2026
Abstract
Greece’s 2010–2018 adjustment programmes provide an insightful case of how timing of reforms, institutional frictions, and digital transformation jointly condition the outcomes of macroeconomic stabilization efforts. This review builds on programme evaluations, recent academic work, and empirical indicators to analyze the dynamics at [...] Read more.
Greece’s 2010–2018 adjustment programmes provide an insightful case of how timing of reforms, institutional frictions, and digital transformation jointly condition the outcomes of macroeconomic stabilization efforts. This review builds on programme evaluations, recent academic work, and empirical indicators to analyze the dynamics at the intersection of macroeconomic adjustment, institutional quality, and entrepreneurship, placing emphasis on productivity and the evolving role of digital governance. The paper argues that the asymmetric sequencing of fiscal consolidation, internal devaluation, institution-building, and digital modernization is consistent with deeper and more persistent output losses than initially anticipated, as complementary reforms in product markets and public administration were not yet in place. Recovery momentum was observed when administrative simplification, transparency reforms, and digital public services began to reduce transaction costs, uncertainty, and implementation frictions. In this perspective, digital governance—through initiatives such as Diavgeia, and interoperable registries—acted as an enabling complement to the effectiveness of structural reforms, supporting the shift towards a more innovation-oriented entrepreneurial ecosystem. While the evidence is associative rather than causally identified, the synthesis highlights mechanisms and transferable lessons for the design and sequencing of reform programmes in crisis and recovery contexts. Full article
(This article belongs to the Collection Encyclopedia of Entrepreneurship in the Digital Era)
Show Figures

Figure 1

32 pages, 1367 KB  
Article
Towards an AI-Augmented Graduate Model for Entrepreneurship Education: Connecting Knowledge, Innovation, and Venture Ecosystems
by Jiaqi Gong, James Geyer, Dwight W. Lewis, Hee Yun Lee and Karri Holley
Adm. Sci. 2026, 16(1), 33; https://doi.org/10.3390/admsci16010033 - 9 Jan 2026
Viewed by 404
Abstract
Problem: Entrepreneurship education continues to expand, yet it remains fragmented across disciplines and loosely connected to the knowledge, innovation, and venture ecosystems that shape entrepreneurial success. At the same time, AI is transforming research, collaboration, and venture development, but its use in education [...] Read more.
Problem: Entrepreneurship education continues to expand, yet it remains fragmented across disciplines and loosely connected to the knowledge, innovation, and venture ecosystems that shape entrepreneurial success. At the same time, AI is transforming research, collaboration, and venture development, but its use in education is typically limited to narrow, task-specific applications rather than ecosystem-level integration. Objective: This paper seeks to develop a comprehensive conceptual model for integrating AI into entrepreneurship education by positioning AI as a connective infrastructure that links and activates the knowledge, innovation, and venture ecosystems. Methods: The model is derived through an integrative synthesis of literature, programs, and activities on entrepreneurship education, ecosystem-based learning, and AI-enabled research and innovation practices, combined with an analysis of gaps in current educational approaches. Key Findings: The proposed model defines a progressive learning pathway consisting of (1) AI competency training that builds foundational capacities in critical judgment, responsible application, and creative adaptation; (2) AI praxis labs that use AI-curated ecosystem data to support iterative, project-based learning; and (3) venture studios where students scale outputs into innovations and ventures through structured ecosystem engagement. This pathway demonstrates how AI can function as a structural mediator of problem definition, research design, experimentation, analysis, and narrative translation. Contributions: This paper reframes entrepreneurship education as an iterative, inclusive, and ecosystem-connected process enabled by AI infrastructure. It offers a new theoretical lens for understanding AI’s educational role and provides actionable implications for curriculum design, institutional readiness, and policy development while identifying avenues for future research on competency development and ecosystem impacts. Full article
Show Figures

Figure 1

22 pages, 1330 KB  
Article
Configurational Pathways to Technology Venture Creation: How Spousal Endorsement and Informal Support Enable Omani Women’s Entrepreneurship
by Husam N. Yasin, Samir Hammami, Ahmed Samour and Faris Alshubiri
Adm. Sci. 2026, 16(1), 32; https://doi.org/10.3390/admsci16010032 - 8 Jan 2026
Viewed by 221
Abstract
This study investigates the configurational pathways enabling women in Oman to translate entrepreneurial intentions into technology venture creation. By integrating institutional theory and resource-based view, we develop a novel framework examining how formal institutional support (FIS), informal institutional support (IIS), and digital self-efficacy [...] Read more.
This study investigates the configurational pathways enabling women in Oman to translate entrepreneurial intentions into technology venture creation. By integrating institutional theory and resource-based view, we develop a novel framework examining how formal institutional support (FIS), informal institutional support (IIS), and digital self-efficacy (DSE) interact in Oman’s conservative context. We emphasize the significant enabling role of work–life balance resources (WLBR) and the cultural legitimacy of spousal endorsement. Our mixed-methods design utilizes survey data from 418 female IT graduates and 20 semi-structured interviews, analyzed through fuzzy-set Qualitative Comparative Analysis (fsQCA). The findings indicate that FIS predicts entrepreneurial intention (β = 0.34, p < 0.001) but not venture creation (OR = 0.85, p = 0.298), revealing a visibility gap in policy implementation. IIS predicts venture creation (OR = 1.43, p = 0.033), with spousal endorsement acting as a cultural legitimacy signal. DSE alone fails to predict venture creation but is vital when combined with WLBR. FsQCA identifies a sufficient configuration pathway characterized by the combination of spousal endorsement, domestic support, DSE, and WLBR with solution consistency of 0.93 and coverage of 0.78. WLBR is a necessary condition with necessity consistency of 0.96, demonstrating that venture creation is improbable without it. Qualitative evidence shows founders reposition conservative norms as legitimacy signals, while non-founders emphasize funding barriers despite policy awareness. We recommend that policymakers subsidize care infrastructure, leverage women-led community networks for targeted outreach, and formalize state-backed legitimacy programs that reduce kinship dependency while building autonomy-focused alternatives. Full article
(This article belongs to the Section Gender, Race and Diversity in Organizations)
Show Figures

Figure 1

23 pages, 668 KB  
Article
Beyond the Ivory Tower: How Dutch Universities Convert Missions into ESG Performance
by Amir Ghorbani and Marie Louise Blankesteijn
Sustainability 2026, 18(2), 624; https://doi.org/10.3390/su18020624 - 7 Jan 2026
Viewed by 249
Abstract
Higher education institutions are increasingly expected to excel in environmental, social, and governance (ESG) performance, but questions remain about how a university’s core missions contribute to its ESG outcomes. This study investigates the relationships between the missions of universities—education, research, and entrepreneurship—and their [...] Read more.
Higher education institutions are increasingly expected to excel in environmental, social, and governance (ESG) performance, but questions remain about how a university’s core missions contribute to its ESG outcomes. This study investigates the relationships between the missions of universities—education, research, and entrepreneurship—and their ESG performance, focusing on environmental and social dimensions. We utilize data from 12 research-intensive Dutch universities from 2023 to 2025, drawing on QS World University Rankings (WUR) indicators, the QS Sustainability Rankings, and Times Higher Education (THE) metrics. A partial least squares structural equation modeling (PLS-SEM) approach is employed with formative constructs for each mission and outcome. The results reveal that the entrepreneurship mission (knowledge exchange and industry income) has a strong positive influence on both environmental and social performance, while the research mission significantly boosts social performance. The education mission shows no significant direct effect on either outcome in our model. The findings underscore the critical role of the third mission in driving university ESG performance and suggest that research excellence translates to social impact when aligned with societal needs. Full article
Show Figures

Figure 1

15 pages, 287 KB  
Article
Identities of Female Entrepreneurs from Different Periods
by Lučka Klanšek and Boštjan Antončič
Adm. Sci. 2026, 16(1), 24; https://doi.org/10.3390/admsci16010024 - 4 Jan 2026
Viewed by 295
Abstract
This article explores how female entrepreneurs construct and negotiate entrepreneurial identities across socialist, transition, and post-socialist periods in Slovenia. Drawing on feminist, post-structuralist, and identity-theory perspectives, we ask what determines women’s entrepreneurial identities and how multiple roles and changing institutions shape them. Using [...] Read more.
This article explores how female entrepreneurs construct and negotiate entrepreneurial identities across socialist, transition, and post-socialist periods in Slovenia. Drawing on feminist, post-structuralist, and identity-theory perspectives, we ask what determines women’s entrepreneurial identities and how multiple roles and changing institutions shape them. Using a qualitative multiple-case design, we analyze 15 information-rich cases selected through purposive sampling and based on in-depth semi-structured interviews and supporting documents. Qualitative content analysis and cross-case comparison identified patterns within and across the three periods. Results show that women’s motives combine economic, autonomy, and mission-driven goals; that entrepreneurial identity is closely intertwined with motherhood, partnership, and community roles; and that evolving ecosystems offer increasing but still fragmented support. Identity work intensifies at transitions between employment and entrepreneurship and when growth ambitions confront care responsibilities. We conclude that female entrepreneurial identities in Slovenia are historically and institutionally embedded and that gender-integrative, context-sensitive ecosystem measures are needed to support diverse entrepreneurial pathways and long-term, socially responsible growth. Full article
21 pages, 327 KB  
Article
Strategic Communication in Women-Led Start-Ups: An Exploratory Study in Galicia
by Patricia Comesaña-Comesaña, Mónica López-Golán and Angélica Comesaña-Comesaña
Journal. Media 2026, 7(1), 7; https://doi.org/10.3390/journalmedia7010007 - 1 Jan 2026
Viewed by 308
Abstract
This exploratory study examines strategic communication in Galician start-ups led by women, with the aim of analysing reputation management mechanisms, the channels and tools used, and the challenges associated with building a differentiated identity in the entrepreneurial ecosystem. A qualitative approach was adopted, [...] Read more.
This exploratory study examines strategic communication in Galician start-ups led by women, with the aim of analysing reputation management mechanisms, the channels and tools used, and the challenges associated with building a differentiated identity in the entrepreneurial ecosystem. A qualitative approach was adopted, combining a focus group with nine female entrepreneurs, documentary analysis and case studies. The results show that this ecosystem is structured around three relevant dimensions: institutional support provided by universities, accelerators and pioneering programmes; territorial roots, as a strategic resource for legitimacy and differentiation; and personal narratives that link innovation with everyday experience and strengthen empathy with audiences. There is a notable progressive professionalisation of communication as an instrument for growth, risk governance and identity consolidation, in which digital platforms play a significant role. Horizontal leadership styles, based on transparency and empathy, are configured as reputational attributes where the status of women founders can generate differential advantages in visibility and credibility, but also challenges in masculinised environments. The discussion identifies three key challenges: overcoming reluctance to public exposure, strengthening peer support networks, and promoting inclusive and understandable language. The findings highlight strategic communication as a cross-cutting resource for business and social legitimacy and sustainability in Galician female entrepreneurship. Full article
(This article belongs to the Special Issue Communication in Startups: Competitive Strategies for Differentiation)
24 pages, 1165 KB  
Article
Institutions, Globalization and the Dynamics of Opportunity-Driven Innovative Entrepreneurship
by Nirupa N. K. Wickramasinghe Koralage, Wenkai Li and Seneviratne Cooray
Sustainability 2026, 18(1), 252; https://doi.org/10.3390/su18010252 - 26 Dec 2025
Viewed by 306
Abstract
Institutional quality and globalization are crucial in influencing both the prevalence and quality of sustainable entrepreneurial ecosystems within an economy. This study examines the relationship between Opportunity-Driven Entrepreneurship (ODE); entrepreneurial quality, as measured by the Motivational Index (MI), and institutional quality, assessed through [...] Read more.
Institutional quality and globalization are crucial in influencing both the prevalence and quality of sustainable entrepreneurial ecosystems within an economy. This study examines the relationship between Opportunity-Driven Entrepreneurship (ODE); entrepreneurial quality, as measured by the Motivational Index (MI), and institutional quality, assessed through economic freedom and governance, in high- and middle-income countries. It also examines how globalization impacts both ODE and MI in these country groups. Using data from the Global Entrepreneurship Monitor (GEM) and combined indices of economic freedom, governance, and globalization, the study analyzes an unbalanced panel dataset comprising 64 countries from 2004 to 2018. Estimation is performed using the Robust Least Squares (RLS) method. The findings show that economic freedom has a positive and significant effect on both ODE and MI across high- and middle-income countries. In contrast, governance has a significant impact on ODE and MI only in high-income countries. Globalization exerts a negative influence on ODE across both income groups, with the adverse effect being more pronounced in middle-income countries. Conversely, its effect on MI is positive in middle-income countries but shows no significant influence in high-income economies. The study offers valuable insights for economists, policymakers, and scholars interested in the forces that shape ODE. Full article
Show Figures

Figure 1

31 pages, 649 KB  
Review
Education: Transforming Challenges into Opportunities for Inclusion, Innovation, and Social Impact
by Solange Rodrigues dos Santos Corrêa and Jacinto Jardim
Adm. Sci. 2026, 16(1), 6; https://doi.org/10.3390/admsci16010006 - 24 Dec 2025
Viewed by 375
Abstract
This study analyzes how Entrepreneurship Education Programs (EEPs) are discussed in the scientific literature, focusing on their relationship with social entrepreneurship, socioeconomic inclusion, sustainable development, and economic growth. The study adopts a narrative literature review with an analytical approach, drawing from nationally and [...] Read more.
This study analyzes how Entrepreneurship Education Programs (EEPs) are discussed in the scientific literature, focusing on their relationship with social entrepreneurship, socioeconomic inclusion, sustainable development, and economic growth. The study adopts a narrative literature review with an analytical approach, drawing from nationally and internationally recognized databases. Additionally, this study distinguishes entrepreneurship education from social entrepreneurship, recognizing that while both share core values, they require distinct educational strategies and institutional support. The results were categorized into seven analytical dimensions, allowing a comprehensive evaluation of the relevance, challenges, best practices, and future perspectives of EEPs in higher education. Good practices were identified, as well as the importance of strengthening community networks and adopting active methodologies and emerging technologies as strategies to expand the programs’ impact. Practical recommendations were organized by target audiences—including educators, policymakers, institutional managers, and researchers—to support more inclusive and context-sensitive, and growth-oriented implementation of EEPs. This study reinforces the relevance of EEPs as instruments of social transformation and sustainable development, and recommends further investigation into the impacts of EEP on vulnerable communities, and developing more effective inclusion strategies. Full article
(This article belongs to the Special Issue Entrepreneurship for Economic Growth)
Show Figures

Figure 1

21 pages, 1138 KB  
Article
Gaps and Challenges in Attaining SDG 8 in the Alto Amazonas Jurisdiction of Peru: A Mixed Methodological Analysis
by Walker Díaz-Panduro, Angélica Sánchez-Castro, Richard Zegarra-Estrada, Claudia Elizabeth Ruiz-Camus and Magno Rosendo Reyes-Bedriñana
Sustainability 2026, 18(1), 126; https://doi.org/10.3390/su18010126 - 22 Dec 2025
Viewed by 445
Abstract
This study analyses the progress and persistent challenges in achieving Sustainable Development Goal 8—Decent Work and Economic Growth (SDG 8)—in the province of Alto Amazonas, Loreto, Peru, a territory characterized by structural informality exceeding 80%. A mixed-methods design was employed, integrating a survey [...] Read more.
This study analyses the progress and persistent challenges in achieving Sustainable Development Goal 8—Decent Work and Economic Growth (SDG 8)—in the province of Alto Amazonas, Loreto, Peru, a territory characterized by structural informality exceeding 80%. A mixed-methods design was employed, integrating a survey of 500 economically active residents, semi-structured interviews with local authorities and business representatives, and a documentary review of official data from the National Institute of Statistics and Informatics (INEI) and the Ministry of Economy and Finance (MEF). Quantitative results reveal uneven economic growth driven mainly by low-value primary sectors, with 41.2% of workers lacking social protection and 51.4% reporting discriminatory practices. Although 70% expressed interest in entrepreneurship, only 37.8% achieved business formalization. Qualitative findings highlight a strong dependence on public investment, limited private-sector diversification, and an entrepreneurial ecosystem with high motivation but insufficient institutional support. The study concludes that structural constraints—informality, credit restrictions, territorial inequality, and weak institutional coordination—continue to hinder SDG 8 achievement. It recommends integrated policies that promote labor formalization, financial inclusion, productive diversification, and sustainable micro-enterprise development to align economic dynamism with social protection and territorial cohesion. Full article
(This article belongs to the Section Sustainable Education and Approaches)
Show Figures

Figure 1

22 pages, 2216 KB  
Systematic Review
Sustainable Agricultural Interventions to Climate Change in South African Smallholder Systems: A Systematic Review and Bibliometric Analysis
by Chenaimoyo Lufutuko Faith Katiyatiya and Thobeka Ncanywa
Sustainability 2026, 18(1), 114; https://doi.org/10.3390/su18010114 - 22 Dec 2025
Viewed by 343
Abstract
Agriculture provides food and nutrition security essential for improving livelihoods. However, the region has been experiencing extreme weather events, which cause challenges ranging from reduced agricultural production to threatening food insecurity and lower income. The study aims to evaluate the susceptibility of smallholder [...] Read more.
Agriculture provides food and nutrition security essential for improving livelihoods. However, the region has been experiencing extreme weather events, which cause challenges ranging from reduced agricultural production to threatening food insecurity and lower income. The study aims to evaluate the susceptibility of smallholder farmers to climate change and identify key sustainable agricultural interventions through a systematic review and bibliometric analysis. The Scopus database retrieved the literature on sustainable agriculture following the Preferred Reporting Items for Systematic Reviews and Meta-Analysis guidelines. Publication trends, co-occurrence of citations, and thematic evolution were analysed. The findings show that conservation agriculture and climate-smart agriculture and their role in improving climate resilience among smallholder farmers were the commonly studied interventions. The adoption of these interventions by farmers can positively aid in attaining the Sustainable Development Goals and the Agenda 2063 Goals. This will help mitigate climate change effects while improving agricultural production, fostering entrepreneurship, and enhancing nutrition and livelihoods in South Africa. The findings from the study can inform policymakers in designing localised, scalable, and evidence-based solutions to improve smallholder farmers’ level of resilience. Institutional and governmental support for smallholder farmers in implementing sustainable interventions is important. Full article
(This article belongs to the Section Sustainable Agriculture)
Show Figures

Figure 1

14 pages, 291 KB  
Article
A Transformative Human-Centered Interdisciplinary Design of Entrepreneurship Education for a Technological Future
by Sharon Alicia Simmons
Educ. Sci. 2025, 15(12), 1703; https://doi.org/10.3390/educsci15121703 - 17 Dec 2025
Viewed by 482
Abstract
This paper explores interdisciplinary, human-centered entrepreneurship education that builds entrepreneurial self-efficacy and transformative learning among students. Grounded in Bandura’s social cognitive theory and Mezirow’s transformative learning theory, our study examines a co-curricular entrepreneurship pedagogy embedded within a National Science Foundation project. Using qualitative [...] Read more.
This paper explores interdisciplinary, human-centered entrepreneurship education that builds entrepreneurial self-efficacy and transformative learning among students. Grounded in Bandura’s social cognitive theory and Mezirow’s transformative learning theory, our study examines a co-curricular entrepreneurship pedagogy embedded within a National Science Foundation project. Using qualitative data from reflections, interviews, and observations, the study identifies stakeholder engagement, community-based design, and self-reflection as activities that support sustainable perspective shifts. The findings show that interdisciplinary, real-world challenges function as disorienting dilemmas that promote empathy and critical thinking. The study offers a replicable instructional model that integrates coursework, applied projects, practice-based engagement, and institutional support. This model demonstrates that entrepreneurship education can be designed to support both “can do” and “will become” student habits of the mind. Full article
20 pages, 484 KB  
Article
Material Deprivation, Institutional Trust, and Mental Well-Being: Evidence from Self-Employed Europeans
by Inna Majoor-Kozlinska
Adm. Sci. 2025, 15(12), 489; https://doi.org/10.3390/admsci15120489 - 15 Dec 2025
Viewed by 480
Abstract
Material deprivation, defined as the inability to afford essential goods and services, is a key determinant of psychological well-being across Europe. While prior research links deprivation to lower well-being and diminished institutional trust, few or no studies to date have examined how trust [...] Read more.
Material deprivation, defined as the inability to afford essential goods and services, is a key determinant of psychological well-being across Europe. While prior research links deprivation to lower well-being and diminished institutional trust, few or no studies to date have examined how trust itself might operate as a mechanism connecting these phenomena in an entrepreneurial context. The current study investigates whether institutional trust mediates the relationship between material deprivation and mental well-being among self-employed individuals across Europe. Drawing on data from the 2016 European Quality of Life Survey (N = 2373), the analysis focuses on the self-employed, a group particularly vulnerable to material insecurity due to limited access to welfare protections. Mental well-being is measured through positive emotions, energy levels, restfulness, and a sense of fulfilment, while institutional trust refers to confidence in government, parliament, the legal system, and local authorities. The results of structural equation modelling show that material deprivation is negatively associated with both institutional trust and mental well-being and that trust partially mediates this link. The findings suggest that when self-employed individuals face material deprivation, reduced trust in public institutions partly explains their lower well-being. This study contributes to entrepreneurial well-being research by highlighting the role of institutional trust as a cognitive belief-based mechanism through which economic insecurity affects mental well-being. Full article
Show Figures

Figure 1

23 pages, 735 KB  
Article
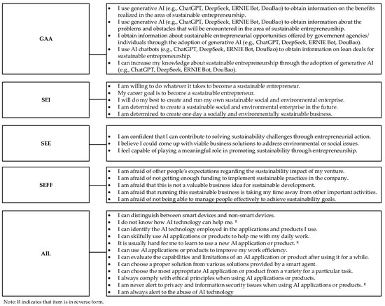
The Double-Edged Sword Effect of Generative AI Adoption on Students’ Sustainable Entrepreneurship Intentions
by Weiwei Kong, Haiqing Hu, Zhaoqun Wang, Jianqi Qiao and Jianjun Liu
Behav. Sci. 2025, 15(12), 1705; https://doi.org/10.3390/bs15121705 - 9 Dec 2025
Viewed by 590
Abstract
Grounded in regulatory focus theory, this study investigates the double-edged sword effect of generative AI adoption on sustainable entrepreneurial intentions and its underlying mechanisms. A questionnaire-based survey was conducted among 357 business students from public universities in China. The results reveal that generative [...] Read more.
Grounded in regulatory focus theory, this study investigates the double-edged sword effect of generative AI adoption on sustainable entrepreneurial intentions and its underlying mechanisms. A questionnaire-based survey was conducted among 357 business students from public universities in China. The results reveal that generative AI adoption exerts a double-edged effect: it enhances sustainable entrepreneurial intentions by strengthening sustainable entrepreneurial self-efficacy through a promotion-focused pathway, while simultaneously undermining such intentions by heightening sustainable entrepreneurial fear of failure via a prevention-focused pathway. Moreover, artificial intelligence literacy moderates these relationships, amplifying the positive influence of generative AI adoption on entrepreneurial self-efficacy and attenuating its negative effect on fear of failure. This study enhances understanding of sustainable entrepreneurship amid the rise in generative AI, extends regulatory focus theory, and informs the development of AI-integrated sustainability education in academic institutions. Full article
(This article belongs to the Section Educational Psychology)
Show Figures

Figure 1

23 pages, 744 KB  
Article
Driving Sustainable Entrepreneurship Through AI and Knowledge Management: Evidence from SMEs in Emerging Economies
by Qasem Mohammed Alshammakhi and Riyaz Abdullah Sheikh
Sustainability 2025, 17(24), 10928; https://doi.org/10.3390/su172410928 - 6 Dec 2025
Viewed by 961
Abstract
This study investigates how artificial intelligence (AI) capabilities shape sustainable entrepreneurship (SE) among small and medium-sized enterprises (SMEs) in emerging economies. Focusing on knowledge management (KM) as a mediator, entrepreneurial orientation (EO) as a moderator, and government policy support (GPS) as an enabler, [...] Read more.
This study investigates how artificial intelligence (AI) capabilities shape sustainable entrepreneurship (SE) among small and medium-sized enterprises (SMEs) in emerging economies. Focusing on knowledge management (KM) as a mediator, entrepreneurial orientation (EO) as a moderator, and government policy support (GPS) as an enabler, the research draws upon the Knowledge-Based View, Dynamic Capabilities Theory, and Institutional Theory. Using data from Saudi Arabian SMEs operating within the Vision 2030 agenda, the structural model demonstrates that AI primarily influences sustainability when firms possess robust KM systems capable of translating digital insights into actionable practices. Both EO and GPS strengthen the conversion of knowledge into sustainable outcomes, where EO fosters innovation and proactivity, and GPS provides essential resources and legitimacy. Nevertheless, excessive reliance on policy incentives may divert firms toward compliance rather than substantive transformation. Conceptually, this paper situates KM at the core of sustainability transformation, with policy support shaping the institutional context. The findings offer actionable guidance for SME managers and policymakers seeking to advance the United Nations Sustainable Development Goals (SDGs) through strategic engagement with AI and KM. Full article
(This article belongs to the Special Issue AI-Driven Entrepreneurship and Sustainable Business Innovation)
Show Figures

Figure 1

21 pages, 433 KB  
Review
University-Led Entrepreneurial Resilience Networks: An Integrated Developmental Entrepreneurship Resiliency Framework
by Wesley R. Stewart and Bruce E. Winston
Sustainability 2025, 17(24), 10888; https://doi.org/10.3390/su172410888 - 5 Dec 2025
Viewed by 435
Abstract
In this study, we propose the Integrated Developmental Entrepreneurship Resiliency Framework (IDERF), a conceptual model positioning universities as orchestrators of stakeholder networks for entrepreneurial resilience and sustainability. Review and analysis of historical and contemporary research revealed gaps in existing approaches to sustainable entrepreneurship. [...] Read more.
In this study, we propose the Integrated Developmental Entrepreneurship Resiliency Framework (IDERF), a conceptual model positioning universities as orchestrators of stakeholder networks for entrepreneurial resilience and sustainability. Review and analysis of historical and contemporary research revealed gaps in existing approaches to sustainable entrepreneurship. Entrepreneurship education has evolved from isolated curricula to formal programs that incorporate experiential learning and multilateral institutional access, which appreciably enhance entrepreneurial resilience and venture longevity. The integration of resilience theory with entrepreneurship research has identified multi-level sustainment factors across the disciplines of psychology, organizational theory, and structural economic development. The IDERF addresses this limitation by adapting the triple helix model to a quadruple helix framework that encompasses academia, government, industry, and community stakeholders. Our proposed conceptual framework was developed through conceptual synthesis based on a structured literature review of 212 publications on university-led entrepreneurship programs and entrepreneur sustainability and resilience since 1940. Our findings revealed the need for more resiliency-focused entrepreneurship program designs, synthesis between resilience and sustainability education, analysis of educational program impacts on business development sustainability, and practical entrepreneur training in real-world economic contexts. The resulting IDERF encompasses five dimensions of adaptive entrepreneurial capacity, stakeholder governance, economic transformation, social–environmental integration, and institutional reform as novel components of entrepreneurial resilience and sustainability. We propose an integrated mixed-methods research agenda that includes proposed research questions to instigate the development of measurement frameworks and cross-cultural validation to empirically test the IDERF’s effectiveness in fostering entrepreneurial resilience across diverse contexts and economic regions. Full article
Show Figures

Figure 1

Back to TopTop