Sign in to use this feature.

Years

Between: -

Subjects

remove_circle_outline
remove_circle_outline
remove_circle_outline
remove_circle_outline
remove_circle_outline
remove_circle_outline
remove_circle_outline
remove_circle_outline
remove_circle_outline

Journals

remove_circle_outline
remove_circle_outline
remove_circle_outline
remove_circle_outline
remove_circle_outline
remove_circle_outline
remove_circle_outline
remove_circle_outline
remove_circle_outline
remove_circle_outline
remove_circle_outline
remove_circle_outline
remove_circle_outline
remove_circle_outline

Article Types

Countries / Regions

remove_circle_outline
remove_circle_outline
remove_circle_outline
remove_circle_outline

Search Results (5,397)

Search Parameters:
Keywords = inner Mongolia

Order results
Result details
Results per page
Select all
Export citation of selected articles as:
18 pages, 2460 KB  
Article
Biodegradation and Metabolic Pathways of Thiamethoxam and Atrazine Driven by Microalgae
by Yongchao Wang, Fang Yang, Haiqing Liao, Weiying Feng, Pengcheng Duan, Zhuangzhuang Feng, Ting Pan, Yuxin Li and Qingfeng Miao
Water 2026, 18(3), 304; https://doi.org/10.3390/w18030304 (registering DOI) - 24 Jan 2026
Abstract
Pesticide residues from agriculture pose persistent threats to ecosystems and human health. Precipitation and surface runoff facilitate the transport of pesticide residues, leading to their subsequent accumulation in lakes and rivers. Microalgae-based bioremediation offers a promising and environmentally friendly approach for degrading and [...] Read more.
Pesticide residues from agriculture pose persistent threats to ecosystems and human health. Precipitation and surface runoff facilitate the transport of pesticide residues, leading to their subsequent accumulation in lakes and rivers. Microalgae-based bioremediation offers a promising and environmentally friendly approach for degrading and detoxifying these residues. This study employed liquid chromatography–mass spectrometry (LC-MS) to determine pesticide residues in various microalgal solutions. Using three-dimensional excitation-emission matrix (3D-EEM) spectroscopy and fluorescence regional integration (FRI), we quantified the dynamics of dissolved organic matter (DOM) and its relationship with pesticide degradation in the microalgal system. Over time, Tolypothrix tenuis exhibited the highest degradation rate for THX (95.7%), while Anabaena showed the most effective degradation for ATZ (53.8%). Based on structural analysis of degradation products, three potential degradation pathways for THX and ATZ under microalgae action were proposed. Moreover, the degradation process may also involve reactive oxygen species and intracellular enzymes. Hydroxylation and carboxylation were the primary reactions involved in THX degradation, leading to ring opening and subsequent mineralization. In ATZ, the initially removed groups included methyl and carbonyl groups, with the final products undergoing hydroxylation and subsequent mineralization to water and carbon dioxide. This study, conducted within the context of aquatic environmental protection, investigates the threat of pesticide residues to aquatic ecosystems. It further elucidates the associated environmental impacts and degradation mechanisms from a microalgal perspective. Full article
Show Figures

Figure 1

11 pages, 1945 KB  
Article
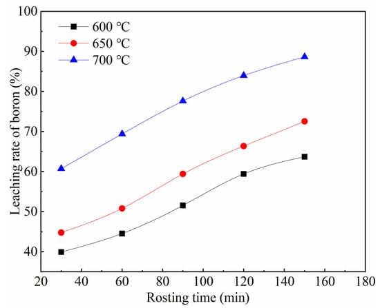
Kinetics of Boron Recovery from Boron-Rich Slag via Low-Temperature Soda Roasting
by Jie Li, Jinbiao Li, Guolu Lv, Yanfen Li, Yan Lu, Zhaoxin Du and Quhan Mu
Materials 2026, 19(3), 469; https://doi.org/10.3390/ma19030469 (registering DOI) - 24 Jan 2026
Abstract
This study proposes an innovative process of low-temperature soda roasting followed by water leaching to extract boron and produce borax from boron-rich slag. To further enhance the leaching rate of boron, pretreatment of the boron-rich slag with the nucleating agent TiO2 was [...] Read more.
This study proposes an innovative process of low-temperature soda roasting followed by water leaching to extract boron and produce borax from boron-rich slag. To further enhance the leaching rate of boron, pretreatment of the boron-rich slag with the nucleating agent TiO2 was conducted. The effects of roasting temperature and Na2CO3 addition on the boron leaching rate, as well as the roasting kinetics of the TiO2-nucleated furnace-cooled slag, were investigated. The results indicate that at a roasting temperature of 700 °C for 150 min, the maximum boron leaching rate can reach 88.65%. The reaction of low-temperature soda roasting for TiO2-nucleated furnace-cooled slag to produce Na2B6O10 is controlled by interfacial chemical reaction, with an apparent activation energy of 88.677 kJ/mol. Full article
(This article belongs to the Special Issue Sustainable Materials for Renewable Energy Application)
Show Figures

Figure 1

18 pages, 14590 KB  
Article
VTC-Net: A Semantic Segmentation Network for Ore Particles Integrating Transformer and Convolutional Block Attention Module (CBAM)
by Yijing Wu, Weinong Liang, Jiandong Fang, Chunxia Zhou and Xiaolu Sun
Sensors 2026, 26(3), 787; https://doi.org/10.3390/s26030787 (registering DOI) - 24 Jan 2026
Abstract
In mineral processing, visual-based online particle size analysis systems depend on high-precision image segmentation to accurately quantify ore particle size distribution, thereby optimizing crushing and sorting operations. However, due to multi-scale variations, severe adhesion, and occlusion within ore particle clusters, existing segmentation models [...] Read more.
In mineral processing, visual-based online particle size analysis systems depend on high-precision image segmentation to accurately quantify ore particle size distribution, thereby optimizing crushing and sorting operations. However, due to multi-scale variations, severe adhesion, and occlusion within ore particle clusters, existing segmentation models often exhibit undersegmentation and misclassification, leading to blurred boundaries and limited generalization. To address these challenges, this paper proposes a novel semantic segmentation model named VTC-Net. The model employs VGG16 as the backbone encoder, integrates Transformer modules in deeper layers to capture global contextual dependencies, and incorporates a Convolutional Block Attention Module (CBAM) at the fourth stage to enhance focus on critical regions such as adhesion edges. BatchNorm layers are used to stabilize training. Experiments on ore image datasets show that VTC-Net outperforms mainstream models such as UNet and DeepLabV3 in key metrics, including MIoU (89.90%) and pixel accuracy (96.80%). Ablation studies confirm the effectiveness and complementary role of each module. Visual analysis further demonstrates that the model identifies ore contours and adhesion areas more accurately, significantly improving segmentation robustness and precision under complex operational conditions. Full article
(This article belongs to the Section Sensing and Imaging)
Show Figures

Figure 1

17 pages, 1995 KB  
Article
Enhanced Settlement Thickening of Tailings Slurry by Ultrasonic Treatment: Optimization of Application Timing and Power and Insight into the Underlying Mechanism
by Liyi Zhu, Zhao Wei, Peng Yang, Xiaofei Qiao, Penglin Lang, Zhengbin Li, Kun Wang, Wensheng Lyu and Jialu Zeng
Minerals 2026, 16(2), 124; https://doi.org/10.3390/min16020124 - 23 Jan 2026
Abstract
Efficient thickening of unclassified tailings slurry (UTS) is critical for enhancing mine backfill efficiency and reducing operational costs. Ultrasonic technology has emerged as a promising approach to facilitating the solid–liquid separation process in such slurries. In this study, systematic experiments were conducted using [...] Read more.
Efficient thickening of unclassified tailings slurry (UTS) is critical for enhancing mine backfill efficiency and reducing operational costs. Ultrasonic technology has emerged as a promising approach to facilitating the solid–liquid separation process in such slurries. In this study, systematic experiments were conducted using a 20 kHz ultrasonic concentrator. The effects of ultrasonic treatment timing (applied at 0, 5, 10, 15, 20, 25, 30, and 35 min during free settling) and power (50 to 400 W in eight levels) were investigated by monitoring the solid–liquid interface settling velocity and underflow concentration. The key findings are as follows: Ultrasonic application at the 5 min mark yielded the optimal thickening performance, increasing the final mass concentration by 1.3% compared to free settling alone. The average settling velocity generally increased with ultrasonic power (with the exception of 50 W), and the final underflow concentration exhibited a steady rise. Notably, the 400 W treatment induced a significant settlement acceleration, attributed to the formation of drainage channels. Mechanistic analysis revealed that these drainage channels undergo a dynamic process of formation, expansion, contraction, and closure, driven by ultrasonically induced directional water migration, particle compaction, and energy boundary effects. This research not only enriches the theoretical framework of ultrasonic-assisted thickening but also provides practical insights for optimizing mine backfill operations. Full article
(This article belongs to the Special Issue Advances in Mine Backfilling Technology and Materials, 2nd Edition)
23 pages, 1638 KB  
Article
Research on the Propagation Path and Characteristics of Wind Turbine Sound Sources in Three-Dimensional Dynamic Wake
by Peng Wang, Zhiying Gao, Rina Su, Yongyan Chen and Jianwen Wang
Appl. Sci. 2026, 16(3), 1185; https://doi.org/10.3390/app16031185 - 23 Jan 2026
Abstract
The noise generated by wind turbines is a critical issue that impacts both operational efficiency and public health, necessitating a comprehensive investigation into its sources and propagation. This study investigates the near-wake noise of an S-airfoil horizontal-axis wind turbine using statistically optimized near-field [...] Read more.
The noise generated by wind turbines is a critical issue that impacts both operational efficiency and public health, necessitating a comprehensive investigation into its sources and propagation. This study investigates the near-wake noise of an S-airfoil horizontal-axis wind turbine using statistically optimized near-field acoustic holography (SONAH) with a 60-channel rotating microphone array in an open-jet wind tunnel. The results show that the noise in the wake is predominantly caused by the rotation of the rotor. The position of the highest sound pressure level concentration is at 0.78R of the blade under different operating conditions within the rotor’s rotation plane. The sound pressure level radiates outward in a spiral pattern across eleven identified sections, progressively decreasing with distance. The most significant attenuation occurs between 0.04 m and 0.06 m from the rotating surface. This study provides foundational insights into the near-field acoustic characteristics of wind turbines, serving as a valuable reference for noise reduction strategies and environmental impact assessments in wind energy projects. Full article
22 pages, 1162 KB  
Article
Improved Linear Active Disturbance Rejection Control of Energy Storage Converter
by Zicheng He, Guangchen Liu, Guizhen Tian, Hongtao Xia and Yan Wang
Energies 2026, 19(3), 597; https://doi.org/10.3390/en19030597 (registering DOI) - 23 Jan 2026
Abstract
To improve DC-bus voltage regulation of bidirectional DC/DC converters in photovoltaic–energy storage DC microgrids, this paper proposes an improved linear active disturbance rejection control (LADRC) strategy based on observation error reconstruction. In conventional LADRC, the linear extended state observer (LESO) is driven solely [...] Read more.
To improve DC-bus voltage regulation of bidirectional DC/DC converters in photovoltaic–energy storage DC microgrids, this paper proposes an improved linear active disturbance rejection control (LADRC) strategy based on observation error reconstruction. In conventional LADRC, the linear extended state observer (LESO) is driven solely by the output tracking error, which may lead to weakened disturbance excitation after rapid error convergence and thus degraded disturbance estimation performance. To address this limitation, an observation error reconstruction mechanism is introduced, in which a reconstructed error variable incorporating higher-order estimation deviation information is used to redesign the LESO update law. This modification fundamentally enhances the disturbance-driving mechanism without excessively increasing observer bandwidth, resulting in improved mid- and high-frequency disturbance estimation capability. The proposed method is analyzed in terms of disturbance estimation characteristics, frequency-domain behavior, and closed-loop stability. Comparative simulations and hardware-in-the-loop experiments under typical load and photovoltaic power step variations within the safe operating range demonstrate that the proposed LADRC–PI significantly outperforms conventional PI and LADRC–PI control. Experimental results show that the maximum DC-bus voltage fluctuation is reduced by over 60%, and the voltage recovery time is shortened by approximately 40–50% under the tested operating conditions. Full article
19 pages, 1859 KB  
Article
Exploring Dynamic Behavior in the Fractional-Order Reaction–Diffusion Model
by Wei Zhang and Haolu Zhang
Fractal Fract. 2026, 10(2), 77; https://doi.org/10.3390/fractalfract10020077 (registering DOI) - 23 Jan 2026
Abstract
This paper presents a novel high-order numerical method. The proposed scheme utilizes polynomial generating functions to achieve p order accuracy in time for the Grünwald–Letnikov fractional derivatives, while maintaining second-order spatial accuracy. By incorporating a short-memory principle, the method remains computationally efficient for [...] Read more.
This paper presents a novel high-order numerical method. The proposed scheme utilizes polynomial generating functions to achieve p order accuracy in time for the Grünwald–Letnikov fractional derivatives, while maintaining second-order spatial accuracy. By incorporating a short-memory principle, the method remains computationally efficient for long-time simulations. The authors rigorously analyze the stability of equilibrium points for the fractional vegetation–water model and perform a weakly nonlinear analysis to derive amplitude equations. Convergence analysis confirms the scheme’s consistency, stability, and convergence. Numerical simulations demonstrate the method’s effectiveness in exploring how different fractional derivative orders influence system dynamics and pattern formation, providing a robust tool for studying complex fractional systems in theoretical ecology. Full article
23 pages, 2136 KB  
Article
Comparative Effects of Amendment Practices on Soil Quality, Crop Productivity, and Ecosystem Services in Arid Saline–Alkali Farmland: A Three-Year Field Study
by Min Hu, Yue Li, Yao Zhang and Zhongyi Qu
Agronomy 2026, 16(3), 283; https://doi.org/10.3390/agronomy16030283 - 23 Jan 2026
Abstract
Soil salinization severely constrains crop productivity and ecosystem services in arid regions. While the application of soil amendments represents a promising mitigation strategy, it remains uncertain whether this practice can effectively enhance soil quality index (SQI), crop productivity, and ecosystem service value (ESV) [...] Read more.
Soil salinization severely constrains crop productivity and ecosystem services in arid regions. While the application of soil amendments represents a promising mitigation strategy, it remains uncertain whether this practice can effectively enhance soil quality index (SQI), crop productivity, and ecosystem service value (ESV) in saline–alkali farmlands. To address this, a three-year field experiment was conducted to analyze the effects of different amendments (rotary-tilled straw return (RT), plowed straw return (PL), biochar (BC), desulfurized gypsum (DG), DG combined with organic fertilizer (DGO), and an unamended control (CK)) on SQI, sunflower productivity, and ESV in a saline–alkali farmland of arid Northwest China. Results indicated that the BC treatment significantly reduced bulk density by 5.1–7.6% and increased porosity by 6.3–8.3% compared to CK. Both BC and DGO significantly increased soil organic matter and available nutrients while reducing saline ions (HCO3, Cl, Na+), which reduced soil salinity by 21.2–33.6% and 19.9–26.5%, respectively. These synergistic improvements enhanced the SQI by 76.8% and 74.1% for BC and DGO, respectively, relative to CK. Correlation analysis revealed strong positive relationships between SQI and crop nitrogen uptake and yield. Accordingly, BC and DGO increased nitrogen uptake by 74.9–129.0% and yield by 12.2–45.2%, with BC offering more stable benefits over time. Furthermore, BC increased the values of agricultural product supply, nutrient accumulation and climate regulation, thereby increasing the total ESV by 13.7–53.9% relative to CK. In summary, BC and DGO are effective strategies to synergistically enhance soil quality, crop productivity, and ecosystem services in saline–alkali farmlands of arid regions. Full article
(This article belongs to the Section Farming Sustainability)
Show Figures

Figure 1

21 pages, 15960 KB  
Article
Effect of Submerged Entry Nozzle Shape on Slag Entrainment Behavior in a Wide-Slab Continuous Casting Mold
by Guangzhen Zheng, Lei Ren and Jichun Yang
Materials 2026, 19(3), 460; https://doi.org/10.3390/ma19030460 - 23 Jan 2026
Abstract
Slag entrainment within the mold is a significant cause of surface defects in continuously cast slabs. As a key component for controlling molten steel flow, the structure of the submerged entry nozzle directly influences the flow field characteristics and slag entrainment behavior within [...] Read more.
Slag entrainment within the mold is a significant cause of surface defects in continuously cast slabs. As a key component for controlling molten steel flow, the structure of the submerged entry nozzle directly influences the flow field characteristics and slag entrainment behavior within the mold. This paper employs a 1:4-scale water–oil physical model combined with numerical simulation to investigate the effects of elliptical and circular submerged entry nozzles on slag entrainment behavior in a wide slab mold under different casting speeds and immersion depths. High-speed cameras were used to visualize meniscus fluctuations and oil droplet entrainment processes. An alternating control variable method was employed to quantitatively delineate a slag-free “safe zone” and a “slag entrainment zone” where oil droplets fall, determining the critical casting speed and critical immersion depth under different operating conditions. The results show that, given the nozzle immersion depth and slag viscosity, the maximum permissible casting speed range without slag entrainment can be obtained, providing a reference for industrial production parameter control. The root mean square (RMS) of surface fluctuations was introduced to characterize the activity of the meniscus flow. It was found that the RMS value decreases with increasing nozzle immersion depth and increases with increasing casting speed, showing a good correlation with the frequency of slag entrainment. Numerical simulation results show that compared with elliptical nozzles, circular nozzles form a more symmetrical flow field structure in the upper recirculation zone, with a left–right vortex center deviation of less than 5%, resulting in higher flow stability near the meniscus and thus reducing the risk of slag entrainment. Full article
(This article belongs to the Section Manufacturing Processes and Systems)
Show Figures

Figure 1

22 pages, 9269 KB  
Article
Efficient Layer-Wise Cross-View Calibration and Aggregation for Multispectral Object Detection
by Xiao He, Tong Yang, Tingzhou Yan, Hongtao Li, Yang Ge, Zhijun Ren, Zhe Liu, Jiahe Jiang and Chang Tang
Electronics 2026, 15(3), 498; https://doi.org/10.3390/electronics15030498 - 23 Jan 2026
Abstract
Multispectral object detection is a fundamental task with an extensive range of practical implications. In particular, combining visible (RGB) and infrared (IR) images can offer complementary information that enhances detection performance in different weather scenarios. However, the existing methods generally involve aligning features [...] Read more.
Multispectral object detection is a fundamental task with an extensive range of practical implications. In particular, combining visible (RGB) and infrared (IR) images can offer complementary information that enhances detection performance in different weather scenarios. However, the existing methods generally involve aligning features across modalities and require proposals for the two-stage detectors, which are often slow and unsuitable for large-scale applications. To overcome this challenge, we introduce a novel one-stage oriented detector for RGB-infrared object detection called the Layer-wise Cross-Modality calibration and Aggregation (LCMA) detector. LCMA employs a layer-wise strategy to achieve cross-modality alignment by using the proposed inter-modality spatial-reduction attention. Moreover, we design Gated Coupled Filter in each layer to capture semantically meaningful features while ensuring that well-aligned and foreground object information is obtained before forwarding them to the detection head. This relieves the need for a region proposal step for the alignment, enabling direct category and bounding box predictions in a unified one-stage oriented detector. Extensive experiments on two challenging datasets demonstrate that the proposed LCMA outperforms state-of-the-art methods in terms of both accuracy and computational efficiency, which implies the efficacy of our approach in exploiting multi-modality information for robust and efficient multispectral object detection. Full article
(This article belongs to the Special Issue Multi-View Learning and Applications)
Show Figures

Figure 1

16 pages, 4812 KB  
Article
Pool Boiling Heat Transfer Characteristics of Hydrophobically Modified TiO2@Carbon Nanotube Composite Nanofluids
by Yongli Wu, Zhongmin Lang, Gangqiang Wu, Ying Yu, Panpan Yan, Yufei Yang and Zeyu Zhang
Nanomaterials 2026, 16(3), 152; https://doi.org/10.3390/nano16030152 - 23 Jan 2026
Abstract
To tackle challenges including excessive initial boiling superheat and low heat transfer coefficients inherent in conventional working fluids, hydrophobic-modified TiO2@carbon nanotube (MWCNT) composite nanofluids were fabricated. Subsequently, the boiling heat transfer mechanisms were systematically investigated and visually verified. Hydrophobic TiO2 [...] Read more.
To tackle challenges including excessive initial boiling superheat and low heat transfer coefficients inherent in conventional working fluids, hydrophobic-modified TiO2@carbon nanotube (MWCNT) composite nanofluids were fabricated. Subsequently, the boiling heat transfer mechanisms were systematically investigated and visually verified. Hydrophobic TiO2 nanofluids exhibit enhanced stability, whereas hydrophobic TiO2@MWCNTs composite nanofluids demonstrate improved thermal conductivity. At a mass ratio of hydrophobic-modified TiO2 to MWCNTs of 2:1, the optimal heat transfer performance was attained, with a 31.6% increase in heat transfer coefficient (HTC) and a 46.5% increase in critical heat flux (CHF) density relative to hydrophobic-modified TiO2 nanofluids. Composite nanofluids exert effective regulation over bubble kinetic parameters: hydrophobic nanoparticles increase vaporization core density, reduce bubble nucleation energy barriers, and mitigate initial boiling superheat. Benefiting from the superior thermal conductivity and mechanical properties, MWCNTs remarkably promote heat transfer efficiency. The synergistic effect between the two components enables the concurrent enhancement of HTC and CHF, thus highlighting the promising application potential of hydrophobic-modified TiO2@MWCNTs composite nanofluids in intensifying pool boiling heat transfer. Full article
(This article belongs to the Section Nanocomposite Materials)
Show Figures

Graphical abstract

15 pages, 1676 KB  
Article
Non-Destructive Geographical Traceability and Quality Control of Glycyrrhiza uralensis Using Near-Infrared Spectroscopy Combined with Support Vector Machine Model
by Anqi Liu, Zibo Meng, Jiayi Ma, Jinfeng Liu, Haonan Wang, Yingbo Li, Yu Yang, Na Liu, Ming Hui, Dandan Zhai and Peng Li
Foods 2026, 15(3), 411; https://doi.org/10.3390/foods15030411 - 23 Jan 2026
Abstract
Licorice (Glycyrrhiza uralensis Fisch.) is a widely used natural sweetener and functional food ingredient. Its sensory profile, nutritional value, and bioactive composition are strongly affected by geographical origin and cultivation mode, particularly the distinction between wild and cultivated resources. Consequently, developing a [...] Read more.
Licorice (Glycyrrhiza uralensis Fisch.) is a widely used natural sweetener and functional food ingredient. Its sensory profile, nutritional value, and bioactive composition are strongly affected by geographical origin and cultivation mode, particularly the distinction between wild and cultivated resources. Consequently, developing a rapid and robust method for origin traceability is imperative for rigorous quality control and product standardization. This study proposes a non-destructive traceability framework integrating near-infrared (NIR) spectroscopy with a Support Vector Machine (SVM). The method’s validity was rigorously evaluated using a comprehensive dataset collected from China’s three primary production regions—Gansu Province, the Inner Mongolia Autonomous Region, and the Xinjiang Uygur Autonomous Region, encompassing both wild and cultivated resources. Experimental results demonstrated that the proposed framework achieved an overall classification accuracy exceeding 99%. The results show that the proposed method offers a rapid, efficient, and environmentally friendly analytical tool for the quality assessment of licorice, providing a scientific basis for rigorous quality control and standardization in the functional food industry. Full article
(This article belongs to the Section Food Analytical Methods)
Show Figures

Graphical abstract

21 pages, 2042 KB  
Article
Leveraging Fst and Genetic Distance to Optimize Reference Sets for Enhanced Cross-Population Genomic Prediction
by Le Zhou, Lin Zhu, Fengying Ma, Mingjuan Gu, Risu Na and Wenguang Zhang
Animals 2026, 16(3), 359; https://doi.org/10.3390/ani16030359 - 23 Jan 2026
Abstract
Genomic selection often faces challenges of insufficient prediction accuracy in cross-population applications, primarily due to differences in linkage disequilibrium patterns between populations. This study proposes an Fst-based strategy to enhance prediction performance by constructing a cross-population reference set with high genetic similarity to [...] Read more.
Genomic selection often faces challenges of insufficient prediction accuracy in cross-population applications, primarily due to differences in linkage disequilibrium patterns between populations. This study proposes an Fst-based strategy to enhance prediction performance by constructing a cross-population reference set with high genetic similarity to the target population (PopA). By integrating Fst-mediated SNP screening and Euclidean genetic distance analysis, the top 10%, 15% and 20% of individuals genetically most similar to PopA were screened from PopB and PopC, respectively, leading to the generation of six reference sets characterized by different mixing proportions. The results demonstrate that incorporating the top 10–20% of the most similar individuals significantly improves the accuracy and robustness of genomic estimated breeding value predictions. Among the methods evaluated, ssGBLUP and wGBLUP performed best, with prediction accuracy increasing as the mixing proportion rose up to 20%. This approach effectively mitigates structural bias caused by inter-population genetic differences and significantly enhances prediction efficiency. The multi-level mixing experiment not only validates the practical value of Fst and Euclidean distance but also provides theoretical support and a feasible solution for the efficient integration of cross-population germplasm resources. Full article
(This article belongs to the Collection Advances in Cattle Breeding, Genetics and Genomics)
Show Figures

Figure 1

28 pages, 6584 KB  
Article
Short-Term Wind Power Prediction with Improved Spatio-Temporal Modeling Accuracy: A Dynamic Graph Convolutional Network Based on Spatio-Temporal Information and KAN Enhancement
by Bo Wang, Zhao Wang, Xu Cao, Jiajun Niu, Zheng Wang and Miao Guo
Electronics 2026, 15(2), 487; https://doi.org/10.3390/electronics15020487 - 22 Jan 2026
Abstract
Aiming at the challenges of complex spatial-temporal correlation and strong nonlinearity in the power prediction of large-scale wind farm clusters, this study proposes a short-term wind power prediction method that combines a dynamic graph structure and a Kolmogorov–Arnold Network (KAN) enhanced neural network. [...] Read more.
Aiming at the challenges of complex spatial-temporal correlation and strong nonlinearity in the power prediction of large-scale wind farm clusters, this study proposes a short-term wind power prediction method that combines a dynamic graph structure and a Kolmogorov–Arnold Network (KAN) enhanced neural network. Firstly, a spectral embedding fuzzy C-means (FCM) cluster partition method combining geographic location and numerical weather prediction (NWP) is proposed to solve the problem of insufficient spatio-temporal representation ability of traditional methods. Secondly, a dynamic directed graph construction mechanism based on a stacked wind direction matrix and wind speed mutual information is designed to describe the directional correlation between stations with the evolution of meteorological conditions. Finally, a prediction model of dynamic graph convolution and Transformer based on KAN enhancement (DGTK-Net) is constructed to improve the fitting ability of complex nonlinear relationships. Based on the cluster data of 31 wind farms in Gansu Province of China and the cluster data of 70 wind farms in Inner Mongolia, a case study is carried out. The results show that the proposed model is significantly better than the comparison methods in terms of key evaluation indicators, and the root mean square error is reduced by about 1.16% on average. This method provides a prediction tool that can adapt to time and space changes for engineering practice, which is helpful to improve the wind power consumption capacity and operation economy of the power grid. Full article
Show Figures

Figure 1

17 pages, 1991 KB  
Article
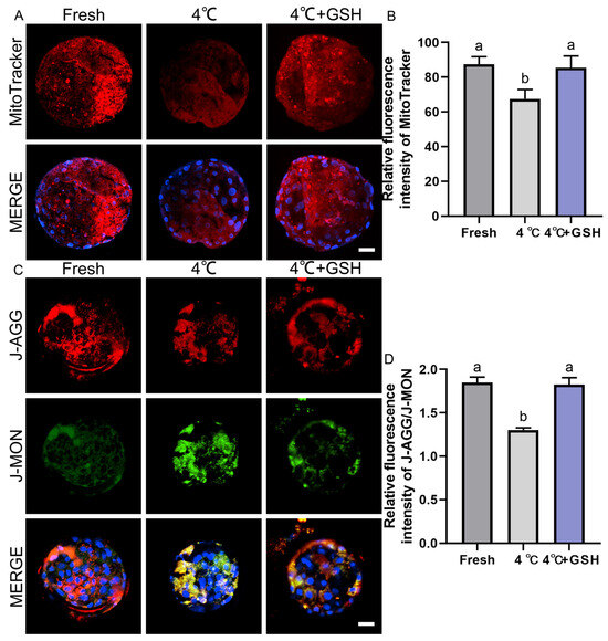
Role of Glutathione in Alleviating Chilling Injury in Bovine Blastocysts: Mitochondrial Restoration and Apoptosis Inhibition
by Jingyu Ren, Fuhan Liu, Gang Liu, Biao Wang, Jie Zhu, Yongbin Liu and Yanfeng Dai
Antioxidants 2026, 15(1), 148; https://doi.org/10.3390/antiox15010148 - 22 Jan 2026
Abstract
Short-term hypothermic storage at 4 °C represents a promising non-freezing alternative for transporting bovine embryos and synchronizing assisted reproductive procedures. However, chilling induces oxidative stress, mitochondrial dysfunction, and apoptosis, which markedly impair post-preservation embryonic viability. Glutathione (GSH), a key intracellular antioxidant, may mitigate [...] Read more.
Short-term hypothermic storage at 4 °C represents a promising non-freezing alternative for transporting bovine embryos and synchronizing assisted reproductive procedures. However, chilling induces oxidative stress, mitochondrial dysfunction, and apoptosis, which markedly impair post-preservation embryonic viability. Glutathione (GSH), a key intracellular antioxidant, may mitigate these damaging effects, yet its protective mechanisms during bovine blastocyst hypothermic preservation remain unclear. Here, we investigated the impact of exogenous GSH supplementation on the survival, hatching ability, cellular integrity, mitochondrial function, and developmental potential of bovine blastocysts preserved at 4 °C for seven days. Optimization experiments revealed that 4 mM GSH provided the highest post-chilling survival and hatching rates. Using DCFH-DA, TUNEL, and γ-H2AX staining, we demonstrated that 4 °C preservation significantly increased intracellular reactive oxygen species (ROS), DNA fragmentation, and apoptosis. GSH supplementation markedly alleviated oxidative injury, reduced apoptotic cell ratio, and decreased DNA double-strand breaks. MitoTracker and JC-1 staining indicated severe chilling-induced mitochondrial suppression, including decreased mitochondrial activity and membrane potential (ΔΨm), which were largely restored by GSH. Gene expression analyses further revealed that chilling downregulated antioxidant genes (SOD2, GPX1, TFAM, NRF2), pluripotency markers (POU5F1, NANOG), and IFNT, while upregulating apoptotic genes (BAX, CASP3). GSH effectively reversed these alterations and normalized the BAX/BCL2 ratio. Moreover, SOX2/CDX2 immunostaining, total cell number, and ICM/TE ratio confirmed improved embryonic structural integrity and developmental competence. Collectively, our findings demonstrate that exogenous GSH protects bovine blastocysts from chilling injury by suppressing ROS accumulation, stabilizing mitochondrial function, reducing apoptosis, and restoring developmental potential. This study provides a mechanistic foundation for improving 4 °C embryo storage strategies in bovine reproductive biotechnology. Full article
Show Figures

Figure 1

Back to TopTop