Pool Boiling Heat Transfer Characteristics of Hydrophobically Modified TiO2@Carbon Nanotube Composite Nanofluids
Abstract
1. Introduction
2. Materials and Methods
2.1. Materials
2.2. Preparation Composite Nanofluids
2.3. Experimental Setup
2.4. Computing Method
2.5. Error Analysis
3. Results and Discussion
3.1. Composite Nanofluidic Structures and Characterization
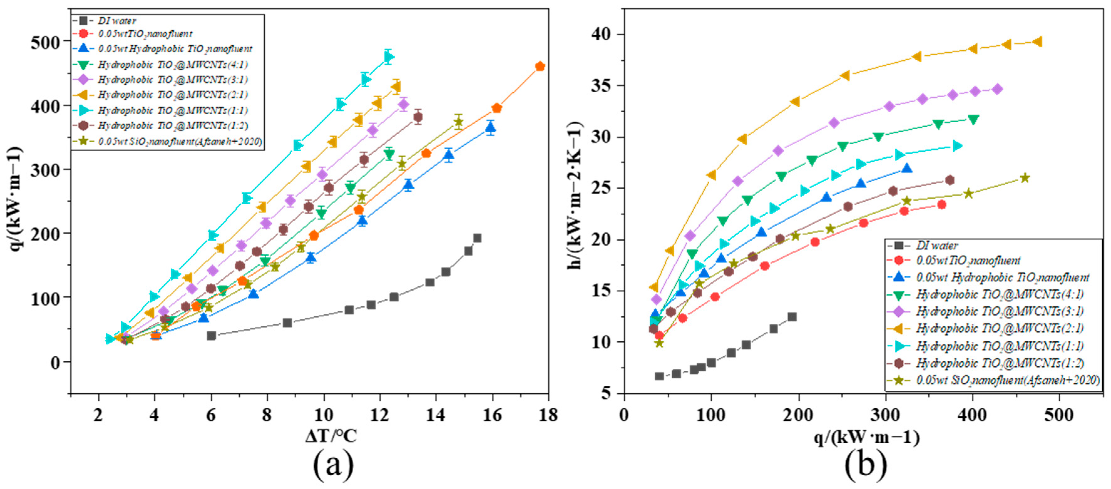
3.2. Pool Boiling Heat Transfer Performance Testing and Analysis
4. Boiling Visualization Analysis
5. Conclusions
Author Contributions
Funding
Data Availability Statement
Conflicts of Interest
References
- Haddad, Z. A comprehensive review of micro/nano-encapsulated phase change material-based fluids: Modeling properties and heat transfer enhancement. Renew. Sustain. Energy Rev. 2025, 216, 11564. [Google Scholar] [CrossRef]
- Prakash, J.C.; Prasanth, R. Enhanced boiling heat transfer by nano structured surfaces and nanofluids. Renew. Sustain. Energy Rev. 2018, 82, 4028–4043. [Google Scholar] [CrossRef]
- Das, K.P. A review based on the effect and mechanism of thermal conductivity of normal nanofluids and hybrid nanofluids. J. Mol. Liq. 2017, 240, 420–446. [Google Scholar] [CrossRef]
- Astanina, S.M.; Gibanov, S.N.; Miroshnichenko, V.I. Mathematical and Physical Description of Transport Phenomena in Heat Pipes Based on Nanofluids: A Review. Nanomaterials 2025, 15, 757. [Google Scholar] [CrossRef]
- Qi, Z.; Jia, L.; Dang, C.; Yang, Z. Heat transfer enhancement for flow boiling of zeotropic mixtures with regulating liquid mass transfer resistance. Int. J. Heat Fluid Flow 2024, 107, 109402. [Google Scholar] [CrossRef]
- Matic, M.; Viktor, V.; Matevž, Z. Hydrophilic and Hydrophobic Nanostructured Copper Surfaces for Efficient Pool Boiling Heat Transfer with Water, Water/Butanol Mixtures and Novec 649. Nanomaterials 2021, 11, 3216. [Google Scholar] [CrossRef]
- Ahmadpour, A.; Abadi, R.N.S.; Meyer, J. Numerical investigation of pool boiling on a staggered tube bundle for different working fluids. Int. J. Multiph. Flow 2018, 104, 89–102. [Google Scholar] [CrossRef]
- Mohebali, M.M.; Baniamerian, Z. Effect of nanofluid sedimentation on heat transfer and critical heat flux in boiling flows. J. Therm. Anal. Calorim. 2024, 149, 8225–8244. [Google Scholar] [CrossRef]
- Zhang, X.; Zhao, J.; Ji, H. Molecular dynamics study of bubble nucleation characteristics of CH4/C2H6 mixtures on nano-slotted surfaces. Int. J. Refrig. 2026, 182, 202–216. [Google Scholar] [CrossRef]
- Zhou, J.; Yin, Z. An Experimental Investigation on the Flow Boiling Heat Transfer Performance of Nanofluid in 3D Printing Minichannel Heat Sinks: A Comparative Study. Nanomaterials 2025, 15, 1054. [Google Scholar] [CrossRef]
- Gupta, K.S. MWCNTs-water nanofluid as a cooling medium for energy and thermal management: An experimental study for pool boiling heat transfer applications. J. Therm. Anal. Calorim. 2024, 150, 821–836. [Google Scholar] [CrossRef]
- Hegde, D.N.; Kupireddi, K.K. Experimental Investigation of Heat Transfer Characteristics of Copper Nanofluid Under Subcooled Flow Boiling Conditions. Iran. J. Sci. Technol. 2024, 49, 689–707. [Google Scholar] [CrossRef]
- Kumar, S.G.; Dev, R.M. Experimental pool boiling heat transfer analysis through novel ZnO-coated Cu (Cu@ZnO nanoparticle) hybrid nanofluid boiling on the fin tops of different microchannels. J. Therm. Anal. Calorim. 2023, 148, 12247–12267. [Google Scholar] [CrossRef]
- Prabhu, A.; Karthikeyan, M.; Ratchagaraja, D. Exploring the effects of nanofluids on nucleate boiling: A theoretical and experimental investigation. J. Therm. Anal. Calorim. 2023, 148, 7881–7898. [Google Scholar] [CrossRef]
- Berce, J.; Hadžić, A.; Može, M. Effect of Surface Wettability on Nanoparticle Deposition during Pool Boiling on Laser-Textured Copper Surfaces. Nanomaterials 2024, 14, 311. [Google Scholar] [CrossRef]
- Baek, S.; Park, C.; Lee, S. Enhancing thermal performance of two-phase closed thermosyphons by inhibiting geyser boiling: Synergistic effects of carbon nanotube nanofluids. Case Stud. Therm. Eng. 2025, 66, 105764. [Google Scholar] [CrossRef]
- Hou, Y.; Huang, J.; Cai, R. Numerical simulation study of boiling Critical Heat Flux characteristics of graphene nanofluids. Prog. Nucl. Energy 2024, 172, 105228. [Google Scholar] [CrossRef]
- Xia, G.; Du, M.; Cheng, L. Experimental study on the nucleate boiling heat transfer characteristics of a water-based multi-walled carbon nanotubes nanofluid in a confined space. Int. J. Heat Mass Transf. 2017, 113, 59–69. [Google Scholar] [CrossRef]
- Jamialahmadi, A.A.; Nazari, A.; Kayhani, H.M. An experimental study of pool boiling of low concentrated CuO nanofluid on the copper flat surface. Exp. Comput. Multiph. Flow 2025, 7, 297–307. [Google Scholar] [CrossRef]
- Shaafi, A.; Zaboli, S.; Alimoradi, H. Numerical investigation of surface wettability effects on pool boiling properties of different nanofluids. Case Stud. Therm. Eng. 2025, 71, 106142. [Google Scholar] [CrossRef]
- Hai, T.P.; Caney, N.; Marty, P. Surface wettability control by nanocoating: The effects on pool boiling heat transfer and nucleation mechanism. Int. J. Heat Mass Transf. 2009, 52, 5459–5471. [Google Scholar] [CrossRef]
- Gupta, K.S.; Rahman, A.M.; Misra, D.R. Advanced hybrid GNP–Pt–Al2O3 nanocomposite coatings for enhanced thermal management and corrosion resistance via nanofluid flow boiling. J. Therm. Anal. Calorim. 2025, 150, 9647–9667. [Google Scholar] [CrossRef]
- Zaboli, S.; Alimoradi, H.; Shams, M. Numerical investigation on improvement in pool boiling heat transfer characteristics using different nanofluid concentrations. J. Therm. Anal. Calorim. 2022, 147, 10659–10676. [Google Scholar] [CrossRef]
- Manish, D.; Shankar, O.P.; Vikas, S. A systematic review on the heat transfer investigation of the flow boiling process. Chem. Eng. Process. Process Intensif. 2021, 165, 108425. [Google Scholar] [CrossRef]
- Golkar, H.S.; Khayat, M.; Zareh, M. Nucleate and Film Boiling Performance of Ethanol-Based Nanofluids on Horizontal Flat Plate: An Experimental Investigation. Int. J. Thermophys. 2021, 42, 1–28. [Google Scholar] [CrossRef]
- Zafar, S.; Adil, M.; Azhar, M.; Siddiqui, A. Experimental and numerical study of Pool boiling and critical heat flux enhancement using water based silica Nanofluids. Heat Mass Transf. 2021, 57, 1593–1607. [Google Scholar] [CrossRef]
- Tadej, B.; Matevž, V.; Tim, P.; Matevž, Z.; Iztok, G. Pool-Boiling Performance on Thin Metal Foils with Graphene-Oxide-Nanoflake Deposit. Nanomaterials 2022, 12, 2772. [Google Scholar] [CrossRef]
- Armin, H.; Matic, M.; Klara, A. Effect of Nanoparticle Size and Concentration on Pool Boiling Heat Transfer with TiO2 Nanofluids on Laser-Textured Copper Surfaces. Nanomaterials 2022, 12, 2611. [Google Scholar] [CrossRef]
- Kumar, V.K.; Silambarasan, R.; Dominic, J.S. Nanofluid nucleate boiling assessment on heating surfaces: A comprehensive study. J. Therm. Anal. Calorim. 2023, 148, 7687–7705. [Google Scholar] [CrossRef]
- Abubakr, M.; Osman, T.A.; Kishawy, H.A.; Elharouni, F.; Hegab, H.; Esawi, A.M.K. Preparation, characterization, and analysis of multi-walled carbon nanotube-based nanofluid: An aggregate based interpretation. RSC Adv. 2021, 11, 25561–25574. [Google Scholar] [CrossRef]
- Li, Y.; Zhu, C.; Lu, Z. Thermo-Hydrodynamic Characteristics of Hybrid Nanofluids for Chip-Level Liquid Cooling in Data Centers: A Review of Numerical Investigations. Energy Eng. 2025, 122, 3525–3553. [Google Scholar] [CrossRef]
- Wei, B.; Zou, C.; Yuan, X.; Li, X. Thermo-physical property evaluation of diathermic oil based hybrid nanofluids for heat transfer applications. Int. J. Heat Mass Transf. 2017, 107, 281–287. [Google Scholar] [CrossRef]
- Nabil, M.; Azmi, W.; Hamid, A.K. An experimental study on the thermal conductivity and dynamic viscosity of TiO2-SiO2 nanofluids in water: Ethylene glycol mixture. Int. Commun. Heat Mass Transf. 2017, 86, 181–189. [Google Scholar] [CrossRef]
- Askin, E.E.; Oguz, T.; Fatih. Experimental investigation on heat transfer and flow characteristics of TiO2-water nanofluid in a heavy vehicle radiator. J. Therm. Anal. Calorim. 2022, 148, 977–994. [Google Scholar] [CrossRef]
- Boudraa, B.; Bessaih, R. Heat transfer and entropy generation of water/TiO2 nanofluid flow in a wavy channel using two-phase mixture approach. Thermophys. Aeromechanics 2022, 29, 587–604. [Google Scholar] [CrossRef]
- Venkatesaperumal, R.; Syed, J.K. Performance of TiO2 nanofluids on the efficiency of a parabolic trough collector using a corrugated tube absorber with conical strip inserts. Int. J. Ambient. Energy 2023, 44, 1851–1863. [Google Scholar] [CrossRef]
- Ahmed, S.; Badak, K.; Sharma, P.R. Exploring multiphysics analysis of nonlinear stretching surfaces: Carbon nanotube behavior influenced by second-order velocity in nanofluid dynamics. Numer. Heat Transf. Part B Fundam. 2025, 86, 3229–3248. [Google Scholar] [CrossRef]
- Zareei, J.; Guerrero, G.W.J.; Formanova, S.; Prasad, K.; Widatalla, S.T.H. Effects of carbon nanotube concentration on heat transfer characteristics in turbulent mixtures. Int. J. Thermofluids 2025, 28, 101326. [Google Scholar] [CrossRef]
- Kumar, M.; Chandel, S.S.; Mondal, S. Slip-Flow Enhanced Heat Transfer in Microchannel Heat Sink via Carbon Nanotube-Based Nanofluid. Therm. Eng. 2025, 72, 483–498. [Google Scholar] [CrossRef]
- Ghadimi, A.; Metselaar, I.H. The influence of surfactant and ultrasonic processing on improvement of stability, thermal conductivity and viscosity of titania nanofluid. Exp. Therm. Fluid Sci. 2013, 51, 1–9. [Google Scholar] [CrossRef]
- Rauter, M.T.; Schnell, S.K.; Kjelstrup, S. Cassie-Baxter and Wenzel States and the Effect of Interfaces on Transport Properties across Membranes. J. Phys. Chem. B 2021, 125, 12730–12740. [Google Scholar] [CrossRef]
- Afsaneh, M.; Reza, S.S.; Gholamreza, B. Experimental and modeling study of heat transfer enhancement of TiO2/SiO2 hybrid nanofluids on modified surfaces in pool boiling process. Eur. Phys. J. Plus 2020, 135, 1–29. [Google Scholar] [CrossRef]
- Li, Z.Q.; Ma, B.H.; Li, Y.; Li, X. Simplified multiphase Lattice Boltzmann framework with generalized conservative phase-field modeling for N-phase immiscible flows. Int. J. Multiph. Flow 2026, 195, 105502. [Google Scholar] [CrossRef]
- Battaglia, O.R.; Termini, G.; Gallitto, A.A.; Fazio, C. A new educational approach to surface tension and Young-Laplace law by using computer-based simulations. J. Phys. Conf. Ser. 2024, 2727, 012006. [Google Scholar] [CrossRef]
- Carey, V.P. Molecular dynamics simulations and liquid-vapor phase-change phenomena. Microscale Thermophys. Eng. 2002, 6, 1–2. [Google Scholar]









Disclaimer/Publisher’s Note: The statements, opinions and data contained in all publications are solely those of the individual author(s) and contributor(s) and not of MDPI and/or the editor(s). MDPI and/or the editor(s) disclaim responsibility for any injury to people or property resulting from any ideas, methods, instructions or products referred to in the content. |
© 2026 by the authors. Licensee MDPI, Basel, Switzerland. This article is an open access article distributed under the terms and conditions of the Creative Commons Attribution (CC BY) license.
Share and Cite
Wu, Y.; Lang, Z.; Wu, G.; Yu, Y.; Yan, P.; Yang, Y.; Zhang, Z. Pool Boiling Heat Transfer Characteristics of Hydrophobically Modified TiO2@Carbon Nanotube Composite Nanofluids. Nanomaterials 2026, 16, 152. https://doi.org/10.3390/nano16030152
Wu Y, Lang Z, Wu G, Yu Y, Yan P, Yang Y, Zhang Z. Pool Boiling Heat Transfer Characteristics of Hydrophobically Modified TiO2@Carbon Nanotube Composite Nanofluids. Nanomaterials. 2026; 16(3):152. https://doi.org/10.3390/nano16030152
Chicago/Turabian StyleWu, Yongli, Zhongmin Lang, Gangqiang Wu, Ying Yu, Panpan Yan, Yufei Yang, and Zeyu Zhang. 2026. "Pool Boiling Heat Transfer Characteristics of Hydrophobically Modified TiO2@Carbon Nanotube Composite Nanofluids" Nanomaterials 16, no. 3: 152. https://doi.org/10.3390/nano16030152
APA StyleWu, Y., Lang, Z., Wu, G., Yu, Y., Yan, P., Yang, Y., & Zhang, Z. (2026). Pool Boiling Heat Transfer Characteristics of Hydrophobically Modified TiO2@Carbon Nanotube Composite Nanofluids. Nanomaterials, 16(3), 152. https://doi.org/10.3390/nano16030152
