Sign in to use this feature.

Years

Between: -

Subjects

remove_circle_outline
remove_circle_outline
remove_circle_outline
remove_circle_outline
remove_circle_outline
remove_circle_outline
remove_circle_outline
remove_circle_outline
remove_circle_outline

Journals

remove_circle_outline
remove_circle_outline
remove_circle_outline
remove_circle_outline
remove_circle_outline
remove_circle_outline
remove_circle_outline
remove_circle_outline
remove_circle_outline
remove_circle_outline
remove_circle_outline
remove_circle_outline
remove_circle_outline
remove_circle_outline
remove_circle_outline
remove_circle_outline

Article Types

Countries / Regions

remove_circle_outline
remove_circle_outline
remove_circle_outline
remove_circle_outline
remove_circle_outline
remove_circle_outline
remove_circle_outline

Search Results (1,150)

Search Parameters:
Keywords = impedance-based technique

Order results
Result details
Results per page
Select all
Export citation of selected articles as:
25 pages, 1872 KB  
Article
Contactless Microwave-Based Estimation of Complex Permittivity of Masonry Materials: A Frequency-Domain Approach
by Zenon Szczepaniak, Paweł Juszczyński, Waldemar Susek, Krzysztof Tabiś and Zbigniew Suchorab
Sensors 2026, 26(9), 2693; https://doi.org/10.3390/s26092693 (registering DOI) - 26 Apr 2026
Abstract
This article concerns the issue of contactless estimation of the complex electrical permittivity of masonry materials by means of a microwave technique in the frequency domain. The main aim of the study was to develop a method enabling the determination of the real [...] Read more.
This article concerns the issue of contactless estimation of the complex electrical permittivity of masonry materials by means of a microwave technique in the frequency domain. The main aim of the study was to develop a method enabling the determination of the real part of relative permittivity and the electrical conductivity of ceramic building materials using microwave reflection measurements, as well as to assess the applicability of the proposed approach for moisture diagnostics in porous media. The research was performed using a reflection-mode measuring setup comprising a vector network analyser and a broadband horn antenna, while measurements were carried out in the frequency range from 1 to 6 GHz on samples of solid ceramic brick with six gravimetric moisture levels. A one-dimensional model of electromagnetic wave propagation in the material was developed, considering complex permittivity, impedance transformation, and a calibration procedure compensating for the influence of the antenna and free-space propagation. Based on the fitting of the magnitude and phase characteristics of the reflection coefficient, the electrical parameters of the tested samples were estimated. The results obtained showed an increase in both permittivity and conductivity with increasing moisture content and revealed very good agreement with the reference values determined using the time-domain method. It can be concluded that the frequency-domain microwave approach may be effectively applied for contactless and non-destructive diagnostics and estimation of the dielectric properties and moisture content in ceramic materials. Full article
(This article belongs to the Section Physical Sensors)
11 pages, 4548 KB  
Article
Preparation and Anodic Bonding Performance of (PEG)10LiClO4/NaAlOSiO Solid Electrolyte for Packaging
by Chao Du and Yali Zhao
Int. J. Mol. Sci. 2026, 27(9), 3837; https://doi.org/10.3390/ijms27093837 (registering DOI) - 26 Apr 2026
Viewed by 69
Abstract
In this study, a polyethylene glycol (PEG)-based solid electrolyte composite (PEG)10LiClO4/NaAlOSiO suitable for anodic bonding packaging was successfully fabricated via a combined ball milling and hot pressing process. The micromorphology, ion transport characteristics, and mechanical packaging properties of the [...] Read more.
In this study, a polyethylene glycol (PEG)-based solid electrolyte composite (PEG)10LiClO4/NaAlOSiO suitable for anodic bonding packaging was successfully fabricated via a combined ball milling and hot pressing process. The micromorphology, ion transport characteristics, and mechanical packaging properties of the composite were systematically investigated using characterization techniques including electrochemical impedance spectroscopy, X-ray diffraction, scanning electron microscopy, and anodic bonding performance tests. The results demonstrate that doping with NaAlOSiO molecular sieve can effectively reduce the crystallinity of the polymer matrix, construct more efficient carrier transport pathways, and simultaneously enhance the ionic conductivity and mechanical properties of the material. When the mass fraction of NaAlOSiO doping is 8 wt.%, the composite exhibits a room temperature ionic conductivity of up to 1.31 × 10−5 S·cm−1. Under room temperature and a bonding voltage of 800 V, the sample with this doping ratio achieves the optimal anodic bonding with metallic Al, and the tensile strength of the bonding interface reaches 5.93 MPa, showing excellent application prospects in micro–nano-packaging. Full article
Show Figures

Figure 1

38 pages, 1922 KB  
Review
Distance Protection for Power Grids with Inverter-Based Resources: Challenges, Probable Solutions and Future Research Opportunities
by Gajanan Sarode, Mangalkumar Bhatkar and Subhadeep Paladhi
Electricity 2026, 7(2), 37; https://doi.org/10.3390/electricity7020037 - 23 Apr 2026
Viewed by 115
Abstract
The proliferation of renewable energy resources has brought numerous challenges to conventional power systems, as grid integration is predominantly achieved through inverter-interfaced technologies such as photovoltaic (PV) plants and Type-IV wind turbines. Unlike synchronous generators (SGs), inverter-based resources (IBRs) exhibit fundamentally different fault [...] Read more.
The proliferation of renewable energy resources has brought numerous challenges to conventional power systems, as grid integration is predominantly achieved through inverter-interfaced technologies such as photovoltaic (PV) plants and Type-IV wind turbines. Unlike synchronous generators (SGs), inverter-based resources (IBRs) exhibit fundamentally different fault behavior by limiting fault current magnitudes, typically within 1.0–1.2 per unit. Furthermore, the phase angle and sequence composition of the injected fault current are largely dictated by the inverter control strategy rather than by the network impedance. Consequently, distance protection schemes developed under assumptions of system homogeneity, a fixed source-to-impedance ratio (SIR), high fault current contribution, and large inertia may exhibit unreliable performance in inverter-dominated power networks. In this work, the influence of IBRs on key distance protection elements, such as starting elements, fault classification techniques, and impedance calculation with or without inter-feed, is reviewed and evaluated using simulations in PSCAD 5.0 software. Further, reduced grid inertia introduces operational limitations in power swing blocking (PSB) schemes, which are discussed in this paper. This work presents an overview of IBR fault responses and critically summarizes prior work on distance protection in IBR-dominated grids, highlighting key challenges, probable solutions, and the current research status to enhance understanding for further research. Full article
12 pages, 1444 KB  
Article
Task-Oriented Inference Framework for Lightweight and Energy-Efficient Object Localization in Electrical Impedance Tomography
by Takashi Ikuno and Reiji Kaneko
Sensors 2026, 26(8), 2570; https://doi.org/10.3390/s26082570 - 21 Apr 2026
Viewed by 236
Abstract
Electrical Impedance Tomography (EIT) is a promising non-invasive sensing technique, yet its practical application in resource-constrained environments is often limited by the high computational cost of inverse image reconstruction. To address this challenge, we focus on specific sensing objectives rather than full image [...] Read more.
Electrical Impedance Tomography (EIT) is a promising non-invasive sensing technique, yet its practical application in resource-constrained environments is often limited by the high computational cost of inverse image reconstruction. To address this challenge, we focus on specific sensing objectives rather than full image recovery. In this study, we propose a lightweight, task-oriented inference framework for object localization in EIT that bypasses the need to solve computationally expensive inverse reconstruction problems. This approach addresses the high computational demands and hardware complexity of conventional iterative methods, which often hinder real-time monitoring in resource-constrained edge computing environments. Training datasets were generated via finite element method (FEM) simulations for Opposite and Adjacent current injection configurations. A feedforward neural network was developed to independently estimate the radial and angular object positions as probability distributions. Our systematic evaluation revealed that the localization performance depends on the injection configuration and model depth; notably, the Opposite method achieved perfect classification accuracy (1.00) for radial estimation with an optimized architecture of four hidden layers, whereas the Adjacent method exhibited higher ambiguity. Results quantitatively evaluated using the Wasserstein distance show that the Opposite configuration produces more localized, unimodal probability distributions than the Adjacent configuration by utilizing current fields that traverse the entire domain. Compared with existing image-based reconstruction methods, including the conventional electrical impedance tomography and diffuse optical tomography reconstruction software (EIDORS ver.3.12), the proposed framework reduced energy consumption from 3.09 to 0.96 Wh, demonstrating an approximately 70% improvement in energy efficiency while maintaining a high localization accuracy without the need for iterative Jacobian updates. This task-oriented framework enables reliable, high-speed, and energy-efficient localization, making it well-suited for low-power EIT applications in mobile and embedded sensor systems. Full article
(This article belongs to the Section Sensing and Imaging)
Show Figures

Figure 1

25 pages, 1253 KB  
Review
Bioimpedance-Based Measurements of In Vitro Biological Cell Barrier Integrity: A Review and Framework for the Acquisition and Analysis Strategies
by Shaginth Sivakumar, João Pinheiro Marques and Adrien Roux
Sensors 2026, 26(8), 2477; https://doi.org/10.3390/s26082477 - 17 Apr 2026
Viewed by 210
Abstract
In vitro cell barrier models have been increasingly integrated into pharmaceutical and academic research pipelines to evaluate drug safety and drug delivery due to a shift towards New Approach Methodologies (NAMs) in research and regulatory safety assessment. Such models require reliable and interpretable [...] Read more.
In vitro cell barrier models have been increasingly integrated into pharmaceutical and academic research pipelines to evaluate drug safety and drug delivery due to a shift towards New Approach Methodologies (NAMs) in research and regulatory safety assessment. Such models require reliable and interpretable functional readouts. Bioimpedance-based monitoring, particularly transepithelial/endothelial electrical resistance (TEER), is a widely adopted readout due to its non-invasive and real-time capabilities. However, substantial variability arises from differences in measurement settings, frequency selection, electrode configuration, impedance measuring techniques, and data analysis strategies. In numerous studies, TEER is approximated from single-frequency impedance magnitude measurements, which do not isolate the resistive component associated with tight junction-mediated paracellular transport but instead reflect the combined response of a coupled electrochemical system. This review clarifies impedance measuring techniques and systematically analyzes impedance-based measurement and analysis strategies for in vitro biological cell barrier integrity. We compare mono-frequency and broadband acquisition approaches, examine the influence of electrode–electrolyte interfaces, electrode geometry, and culture configuration, and evaluate equivalent circuit modeling and phase-resolved electrical impedance spectroscopy (EIS). Based on this comparison, we propose a three-level analytical hierarchy adapted to experimental objectives and instrumentation constraints. We conclude that phase-informed impedance analysis and harmonized reporting are essential to improve measurement reproducibility, inter-platform comparability, and integration of impedance-derived cell barrier assessment within NAMs-oriented research workflows. Full article
(This article belongs to the Special Issue Bioimpedance Measurements and Microelectrodes: Second Edition)
Show Figures

Figure 1

15 pages, 1764 KB  
Article
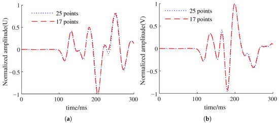
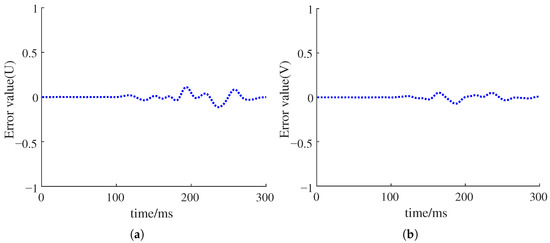
Numerical Simulation of Elastic Waves in VTI Media Using a 17-Point Finite Difference Scheme
by Xiaopeng Yue, Chongwang Yue and Yayun Fu
Processes 2026, 14(8), 1283; https://doi.org/10.3390/pr14081283 - 17 Apr 2026
Viewed by 175
Abstract
To optimize the stiffness matrix structure for frequency-domain elastic wave forward modeling in 2D VTI (transversely isotropic with a vertical symmetry axis) media—thereby reducing memory consumption and improving computational efficiency—we simplify the conventional 25-point finite-difference scheme to derive a 17-point frequency-domain finite-difference scheme. [...] Read more.
To optimize the stiffness matrix structure for frequency-domain elastic wave forward modeling in 2D VTI (transversely isotropic with a vertical symmetry axis) media—thereby reducing memory consumption and improving computational efficiency—we simplify the conventional 25-point finite-difference scheme to derive a 17-point frequency-domain finite-difference scheme. This approach reformulates the finite-difference operators for the partial derivatives and acceleration terms in the elastic wave equations, reducing the number of grid points involved in the computation by 30% compared to the 25-point scheme. The optimized matrix construction leverages sparse matrix storage techniques, decreasing memory usage by approximately 27%. Numerical validation, conducted using a double-layer VTI medium model and the Marmousi model with three major faults and an anticline containing limestone layers at the base of the faults, demonstrates that the 17-point finite-difference scheme maintains comparable accuracy while requiring 14% less computation time and featuring a 25% reduction in nonzero elements within the impedance matrix. Comparisons of wavefield snapshots and receiver components (horizontal component U and vertical component V) support this conclusion. These improvements enable the use of more efficient iterative solvers. Full article
Show Figures

Figure 1

21 pages, 8977 KB  
Article
Four-Port Compact Metamaterial MIMO Antenna with Stub-Based Bandwidth Improvement
by Atziri Amaya Vargas-Balderas, José Alfredo Tirado-Méndez, Roberto Linares-Miranda, Hildeberto Jardón-Aguilar and Ruben Flores-Leal
Materials 2026, 19(8), 1550; https://doi.org/10.3390/ma19081550 - 13 Apr 2026
Viewed by 380
Abstract
This paper presents the design of a compact four-element MIMO antenna based on a metamaterial structure and a reactive load generated by an open-circuit stub. The radiator array, arranged in an axial symmetry configuration, provides high inter-element isolation despite a sub-millimeter separation. The [...] Read more.
This paper presents the design of a compact four-element MIMO antenna based on a metamaterial structure and a reactive load generated by an open-circuit stub. The radiator array, arranged in an axial symmetry configuration, provides high inter-element isolation despite a sub-millimeter separation. The design is optimized for 5G n77/n78 band applications and employs a metamaterial structure composed of embedded octagonal split-ring resonators (SRRs) integrated on a Duroid RT5880 0500 (ϵr=2.2,h=1.27 mm) substrate. This configuration achieves high miniaturization, with individual radiators of 19×9.53 mm2. Furthermore, through a stub-loading technique, the array is enhanced in two significant aspects: (a) it exhibits an increased impedance bandwidth, rising from a 23% fractional bandwidth in the stub-less design to 39% in the final architecture; and (b) a shift of the lower cut-off frequency toward lower values is obtained, resulting in a reduction of the radiator’s electrical length, which translates into physical size diminution. The total array has a size of only 28.8×28.8 mm2 (0.24λ0×0.24λ0, considering the lower cut-off frequency). Despite the proximity between radiators and the absence of electromagnetic decoupling structures, the design ensures inter-element isolation exceeding 15 dB in the lower band and reaching values above 20 dB in the mid and upper bands. Diversity metric analysis confirms high performance, yielding an Envelope Correlation Coefficient (ECC) 0.005, Diversity Gain (DG) close to the ideal value (9.9), Total Active Reflection Coefficient (TARC) below −10 dB (converging in random phase analysis), and a Channel Capacity Loss (CCL) of less than 0.4 bits/s/Hz. Therefore, the proposed antenna stands as an ideal design for compact 5G communication devices. Full article
(This article belongs to the Section Materials Physics)
Show Figures

Figure 1

20 pages, 2593 KB  
Article
Electrochemical Detection of Neuronal Injury in Cell Culture Samples: A Cost-Effective Biosensor for Neurofilament Light Sensing
by Anna Panteleeva, Sujey Palma-Florez, Ashlyne M. Smith, Sara Palma-Tortosa, Zaal Kokaia, Josep Samitier and Mònica Mir
Biosensors 2026, 16(4), 212; https://doi.org/10.3390/bios16040212 - 9 Apr 2026
Viewed by 521
Abstract
Neurofilament light chain (NfL) is a promising biomarker of axonal injury across acute and chronic neurodegeneration, which can improve drug discovery and disease monitoring models. Traditional in vivo animal models cannot fully mimic human pathophysiology of neurodegenerative diseases (NDDs), but in vitro models [...] Read more.
Neurofilament light chain (NfL) is a promising biomarker of axonal injury across acute and chronic neurodegeneration, which can improve drug discovery and disease monitoring models. Traditional in vivo animal models cannot fully mimic human pathophysiology of neurodegenerative diseases (NDDs), but in vitro models based on human cells solve this problem, reducing the time and cost of drug testing. We developed an electrochemical immunosensor for NfL detection in cell culture media to monitor acute neuronal injury in in vitro models. The biosensor was designed in two configurations: the label-free system, which directly detects NfL in the sample via the antibody–antigen interaction, and the sandwich configuration, which incorporates two additional antibodies. Detection was examined using electrochemical techniques, including cyclic voltammetry (CV), electrochemical impedance spectroscopy (EIS), and chronoamperometry (CA). The sensor demonstrated a detection limit of 3–9 pg mL−1, and a dynamic working range spanning from 10 up to 107 pg mL−1. Importantly, NfL was successfully detected in physiological media collected from cultured neurons that were differentiated from the long-term human neuroepithelial-like stem cells. This discovery highlights the platform’s applicability for in vitro neurodegenerative models. The immunosensor offers a sensitive, scalable, and cost-effective alternative for neurodegeneration detection in drug testing applications. Full article
Show Figures

Figure 1

22 pages, 3075 KB  
Article
Accurate and Efficient Harmonic Estimation for LCC-HVDC Systems
by Dan Wang, Sijia Hu, Jinjie Lin, Yong Li, Yi Zhang and Jian Song
Energies 2026, 19(7), 1758; https://doi.org/10.3390/en19071758 - 3 Apr 2026
Viewed by 303
Abstract
Modern grids’ dual-high characteristics elevate the role of wideband impedance measurement in operational risk assessment. In thyristor-based line-commutated converter-based high-voltage direct-current (LCC-HVDC) systems, where severe waveform distortion and high harmonic content prevail, nonintrusive wideband techniques rely on precise spectral estimation. Accurate identification of [...] Read more.
Modern grids’ dual-high characteristics elevate the role of wideband impedance measurement in operational risk assessment. In thyristor-based line-commutated converter-based high-voltage direct-current (LCC-HVDC) systems, where severe waveform distortion and high harmonic content prevail, nonintrusive wideband techniques rely on precise spectral estimation. Accurate identification of harmonic parameters (frequency, amplitude, and phase) is therefore essential. This work presents a Hann-window-based three-point interpolated discrete Fourier transform (I3pDFT) for precise harmonic parameter estimation. The method suppresses long-range spectral leakage, enhances frequency resolution, and employs robust amplitude and phase estimators that are resilient to noise and negative-frequency interference. Extensive simulations across frequency deviations, noise levels, sampling rates, and record lengths show that the proposed approach outperforms two classical I3pDFT variants in accuracy while maintaining low computational loads suitable for embedded implementation. These results confirm the effectiveness and practicality of the proposed I3pDFT-Hann method for real-world harmonic measurements in LCC-HVDC systems. Full article
(This article belongs to the Special Issue Advanced in Modeling, Analysis and Control of Microgrids)
Show Figures

Figure 1

22 pages, 4077 KB  
Article
Electrochemical Impedance Spectroscopy Study of the KI:EG Molar Ratio Effect on the Electrochemical and Interfacial Properties of KI:EG:I2 Deep Eutectic Electrolytes for Dye-Sensitized Solar Cells
by Akotchayé Amenou, Komi Apélété Amou, Essowè Mouzou, Komlan Segbéya Gadedjisso-Tossou, Mazabalo Baneto and Ayayi Claude Ahyi
Molecules 2026, 31(7), 1159; https://doi.org/10.3390/molecules31071159 - 31 Mar 2026
Viewed by 449
Abstract
Using electrochemical impedance spectroscopy (EIS), a technique that analyzes the electrical response of a system subjected to a sinusoidal disturbance in order to probe its physicochemical properties, this study determined an optimal molar ratio of 1:7 between ethylene glycol (EG) and potassium iodide [...] Read more.
Using electrochemical impedance spectroscopy (EIS), a technique that analyzes the electrical response of a system subjected to a sinusoidal disturbance in order to probe its physicochemical properties, this study determined an optimal molar ratio of 1:7 between ethylene glycol (EG) and potassium iodide (KI). This composition significantly improves the electrochemical performance of the KI, EG, and I2 electrolyte for photovoltaic applications. Four formulations with KI:EG molar ratios of 1:5, 1:7, 1:9, and 1:11 were synthesized. The amount of diiodine (I2) was fixed at 0.1 mol% relative to the amount of KI. These electrolytes were then characterized by EIS. The series resistance (Rs), charge transfer resistance (Rct), diffusion resistance (Rw), CPE (constant phase element) parameter, and exponent (n) were extracted and compared. The results show that the formulation with KI:EG = 1:7 has the lowest Rct (3.054 Ω) and Rw (7.296 Ω) values, indicating optimal redox kinetics and improved ion transport within the electrolyte. This molar ratio corresponds to a minimum Rs value (5.612 Ω), indicating reduced series resistance. The mechanisms of solvation, viscosity, and ion diffusion are examined. This work, based exclusively on screening by electrochemical impedance spectroscopy (EIS), highlights the decisive role of solvent composition in electrolyte performance. It identifies an optimal molar ratio window that strikes a balance between redox efficiency and ion mobility, with a view to improving DSSC performance. Full article
(This article belongs to the Section Electrochemistry)
Show Figures

Figure 1

17 pages, 6541 KB  
Article
Active-Assistive Control Based on Dynamic Moving Window for Trajectory Tracking of an Upper Limb Exoskeleton in Assisted Rehabilitation
by Yuseop Sim, Jaehwan Kong, Seong-Sig Choi and Hak Yi
Sensors 2026, 26(7), 2160; https://doi.org/10.3390/s26072160 - 31 Mar 2026
Viewed by 414
Abstract
Rehabilitation robotics faces the challenges of aligning engineering design with patient-specific needs. Most existing controllers in rehabilitation robots often constrain motion to fixed paths or provide only passive guidance, limiting user engagement and adaptability. This study proposes a novel active-assistive mode controller that [...] Read more.
Rehabilitation robotics faces the challenges of aligning engineering design with patient-specific needs. Most existing controllers in rehabilitation robots often constrain motion to fixed paths or provide only passive guidance, limiting user engagement and adaptability. This study proposes a novel active-assistive mode controller that integrates a virtual tunnel-based force generation mechanism with a dynamic moving-window technique for tracking activities of daily living (ADL) trajectories. Unlike conventional impedance controllers, the proposed method dynamically adjusts the virtual tunnel in real time, permitting voluntary upper-limb movement within a safe operational range while preventing excessive deviation. The system was implemented on a wearable two-degree-of-freedom (DOF) upper-limb exoskeleton equipped with drive and integrated sensor units. Experimental results demonstrated that decreasing the guidance force (Fgf) increased tracking errors, from 1° at 100% Fgf to 5° at 30% Fgf, indicating greater voluntary participant motion. Peak actuator torques correspondingly decreased from 14.75 to 13.43 Nm (elbow) and from 4.14 to 2.48 Nm (wrist), confirming the controller’s capability to modulate robotic assistance according to user effort. Tests with 30 healthy participants demonstrated the effectiveness of guidance along predefined ADL trajectories, validating the controller’s potential for patient-centered rehabilitation. Full article
(This article belongs to the Special Issue Dynamics and Control System Design for Robotics)
Show Figures

Figure 1

8 pages, 1159 KB  
Proceeding Paper
Integration of Deep Learning Methods into the Design of Microwave Transceiver Components for a 5G Mid-Band System
by Pedro Escudero-Villa, Santiago Huebla-Huilca and Jenny Paredes-Fierro
Eng. Proc. 2026, 124(1), 95; https://doi.org/10.3390/engproc2026124095 - 30 Mar 2026
Viewed by 318
Abstract
This study evaluates the application of deep learning techniques to the design of a microwave transmitter–receiver system operating in the 5G mid-band. The proposed architecture consists of four stages—signal generation, amplification, mixing, and filtering—each initially designed using conventional microwave methods and subsequently integrated [...] Read more.
This study evaluates the application of deep learning techniques to the design of a microwave transmitter–receiver system operating in the 5G mid-band. The proposed architecture consists of four stages—signal generation, amplification, mixing, and filtering—each initially designed using conventional microwave methods and subsequently integrated into a complete transceiver. Simulation data were generated and component-specific convolutional neural networks (CNNs) were implemented in Python using TensorFlow/Keras. Across all models, an average error reduction exceeding 90% was achieved, with most networks converging after the third training cycle. System-level integration shows that the baseline design achieved a transmitted power of −32.637 dBm and a gain of 1.116 dB, while the deep learning-based design yielded −33.912 dBm and 0.738 dB. Additional analysis of S-parameters confirms acceptable impedance matching and a frequency response of around 3.5 GHz. These results illustrate that deep learning provides an effective complementary methodology for multi-component microwave system modeling and optimization in 5G applications. Full article
(This article belongs to the Proceedings of The 6th International Electronic Conference on Applied Sciences)
Show Figures

Figure 1

23 pages, 1777 KB  
Review
Body Water During Pregnancy: Physiology, Clinical Significance and Assessment Methods: A Narrative Review
by María Eugenia Flores-Quijano, Reyna Sámano, Edgar Barrientos-Galeana and Hector Borboa-Olivares
Nutrients 2026, 18(7), 1031; https://doi.org/10.3390/nu18071031 - 24 Mar 2026
Viewed by 582
Abstract
Total body water (TBW) undergoes substantial physiological expansion during pregnancy, reflecting coordinated cardiovascular, renal, and endocrine adaptations required to support maternal metabolism, uteroplacental perfusion, and fetal growth. These changes involve not only an overall increase in body water but also shifts in the [...] Read more.
Total body water (TBW) undergoes substantial physiological expansion during pregnancy, reflecting coordinated cardiovascular, renal, and endocrine adaptations required to support maternal metabolism, uteroplacental perfusion, and fetal growth. These changes involve not only an overall increase in body water but also shifts in the distribution of extracellular water (ECW) and intracellular water (ICW), which influence maternal body composition, the interpretation of biochemical biomarkers affected by hemodilution, and pregnancy-related clinical outcomes. Despite its physiological and clinical relevance, the regulation and assessment of body-water compartments during pregnancy remain insufficiently integrated within nutritional and clinical research. This narrative review synthesizes current knowledge on the physiological regulation of TBW and its compartments across gestation and provides a critical analysis of the methodological approaches used to assess body-water distribution in pregnant populations. We review the mechanisms underlying plasma volume expansion, interstitial fluid accumulation, and tissue hydration, and discuss their implications for fetal growth, hypertensive disorders of pregnancy, and gestational diabetes mellitus. We also examine the principles, strengths, and limitations of the main techniques used to assess TBW and body-water compartments during pregnancy. Isotope dilution using stable isotopes (2H2O and H218O) remains the reference method for TBW assessment, whereas bioelectrical impedance-based approaches, including bioelectrical impedance analysis (BIA), bioelectrical impedance spectroscopy (BIS), and bioelectrical impedance vector analysis (BIVA), offer practical alternatives for longitudinal monitoring of fluid redistribution during gestation. By integrating physiological and methodological perspectives, this review provides a framework for understanding body-water dynamics during pregnancy and for selecting appropriate approaches to assess maternal body composition and hydration. Full article
Show Figures

Figure 1

24 pages, 3820 KB  
Review
Advances in Magnetic and Electrochemical Techniques for Monitoring Corrosion and Microstructural Degradation in Steels
by Polyxeni Vourna, Pinelopi P. Falara, Aphrodite Ktena, Evangelos V. Hristoforou and Nikolaos D. Papadopoulos
Metals 2026, 16(3), 352; https://doi.org/10.3390/met16030352 - 21 Mar 2026
Viewed by 404
Abstract
Steels remain among the most widely used structural and engineering materials in modern infrastructure, energy systems, and industrial facilities. Their long-term reliability depends critically on the early detection of corrosion damage and microstructural degradation. This review surveys recent advances in two complementary families [...] Read more.
Steels remain among the most widely used structural and engineering materials in modern infrastructure, energy systems, and industrial facilities. Their long-term reliability depends critically on the early detection of corrosion damage and microstructural degradation. This review surveys recent advances in two complementary families of non-destructive evaluation (NDE) methods: magnetic techniques, including magnetic Barkhausen noise (MBN), magnetic flux leakage (MFL), eddy current testing (ECT), and magnetic hysteresis analysis; and electrochemical methods including electrochemical impedance spectroscopy (EIS), linear polarization resistance (LPR), scanning vibrating electrode technique (SVET), and electrochemical noise (EN). Recent progress in sensor miniaturization, signal processing algorithms, and multi-technique integration is reviewed. Particular attention is given to the sensitivity of these methods to microstructural changes reported in the literature, including carbide dissolution, phase transformations, temper embrittlement, and sensitization in stainless steels, as well as to the conditions under which such sensitivity has been demonstrated. The potential synergy between magnetic and electrochemical monitoring is discussed as a possible pathway toward more robust, condition-based maintenance frameworks. Challenges related to field deployment, environmental interference, calibration, and data interpretation are identified, and future directions—including machine learning-assisted analysis and multi-physics sensor arrays—are outlined. Full article
Show Figures

Figure 1

12 pages, 2082 KB  
Article
Design and Experimental Validation of a Dynamic Frequency Sweeping Algorithm for Optimized Impedance Matching in Semiconductor RF Power Systems Under Pulse-Mode Operation
by Zhaolong Fan, Zhifeng Wang, Long Xu, Lili Hou, Long Yao, Siao Zeng and Mingqing Liu
Micromachines 2026, 17(3), 376; https://doi.org/10.3390/mi17030376 - 20 Mar 2026
Viewed by 469
Abstract
The design and implementation of a dynamic frequency sweeping algorithm for a 3 kW RF power source are underpinned by theoretical principles aimed at optimizing impedance matching under pulse-mode operation. The algorithm dynamically adjusts the output frequency within a predefined range to align [...] Read more.
The design and implementation of a dynamic frequency sweeping algorithm for a 3 kW RF power source are underpinned by theoretical principles aimed at optimizing impedance matching under pulse-mode operation. The algorithm dynamically adjusts the output frequency within a predefined range to align the source impedance Zsource with the conjugate of the load impedance Z*load, maximizing the power transfer efficiency and minimizing the reflection coefficient Γ. This is achieved by leveraging the maximum power transfer theorem and adapting to dynamic load variations, such as those induced by the plasma state transitions. The algorithm incorporates adaptive step size adjustments based on the rate of change of Γ, predictive frequency initialization using historical data, and real-time impedance monitoring to ensure efficient convergence within the constrained pulse “ON” time (TON). Integration with pulse mode requires synchronization with the pulse signal, fast convergence, and optimized search strategies. Experimental validation on a 13.56 MHz, 3 kW Automatic Sweep Generator testbed operating at 20 kHz pulse modulation with a 50% duty cycle demonstrates a linear and stable sweep, achieving impedance matching and low reflected power within 5.0172 ms. These findings highlight the algorithm’s potential for high-precision applications, such as RF plasma excitation, and underscore the importance of adaptive techniques in dynamic RF systems. Full article
(This article belongs to the Special Issue Emerging Technologies and Applications for Semiconductor Industry)
Show Figures

Figure 1

Back to TopTop