Sign in to use this feature.

Years

Between: -

Subjects

remove_circle_outline
remove_circle_outline
remove_circle_outline
remove_circle_outline
remove_circle_outline
remove_circle_outline
remove_circle_outline
remove_circle_outline
remove_circle_outline

Journals

Article Types

Countries / Regions

Search Results (84)

Search Parameters:
Keywords = imidazolidin-2-one

Order results
Result details
Results per page
Select all
Export citation of selected articles as:
24 pages, 3795 KB  
Article
A Controlled System for Parahydrogen Hyperpolarization Experiments
by Lorenzo Franco, Federico Floreani, Salvatore Mamone, Ahmed Mohammed Faramawy, Marco Ruzzi, Cristina Tubaro and Gabriele Stevanato
Molecules 2025, 30(21), 4299; https://doi.org/10.3390/molecules30214299 - 5 Nov 2025
Viewed by 313
Abstract
Parahydrogen-induced hyperpolarization (PHIP), introduced nearly four decades ago, provides an elegant solution to one of the fundamental limitations of nuclear magnetic resonance (NMR)—its notoriously low sensitivity. By converting the spin order of parahydrogen into nuclear spin polarization, NMR signals can be boosted by [...] Read more.
Parahydrogen-induced hyperpolarization (PHIP), introduced nearly four decades ago, provides an elegant solution to one of the fundamental limitations of nuclear magnetic resonance (NMR)—its notoriously low sensitivity. By converting the spin order of parahydrogen into nuclear spin polarization, NMR signals can be boosted by several orders of magnitude. Here we present a portable, compact, and cost-effective setup that brings PHIP and Signal Amplification by Reversible Exchange (SABRE) experiments within easy reach, operating seamlessly across ultra-low-field (0–10 μT) and high-field (>1 T) conditions at 50% parahydrogen enrichment. The system provides precise control over bubbling pressure, temperature, and gas flow, enabling systematic studies of how these parameters shape hyperpolarization performance. Using the benchmark Chloro(1,5-cyclooctadiene)[1,3-bis(2,4,6-trimethylphenyl)imidazole-2-ylidene]iridium(I) (Ir–IMes) catalyst, we explore the catalyst activation time and response to parahydrogen flow and pressure. Polarization transfer experiments from hydrides to [1-13C]pyruvate leading to the estimation of heteronuclear J-couplings are also presented. We further demonstrate the use of Chloro(1,5-cyclooctadiene)[1,3-bis(2,6-diisopropylphenyl)imidazolidin-2-ylidene]iridium(I) (Ir–SIPr), a recently introduced catalyst that can also be used for pyruvate hyperpolarization. The proposed design is robust, reproducible, and easy to implement in any laboratory, widening the route to explore and expand the capabilities of parahydrogen-based hyperpolarization. Full article
(This article belongs to the Special Issue Emerging Horizons of Hyperpolarization in Chemistry and Biomedicine)
Show Figures

Graphical abstract

12 pages, 958 KB  
Review
Drugs and Nutrients in Epilepsy: Vitamin B6 and the Ketogenic Diet
by Shani Bahalul-Yarchi, Feigy Hartman, Karin Ben Zaken, Ibrahim O. Sawaid, Lior Segev, Samuel Mesfin, Pnina Frankel, Rahaf Ezzy and Abraham O. Samson
Nutrients 2025, 17(16), 2676; https://doi.org/10.3390/nu17162676 - 19 Aug 2025
Viewed by 1849
Abstract
Certain foods and specific drugs have been linked to epilepsy in the literature. Here, we query PubMed citations for the co-occurrence of epilepsy with foods and drugs, using a list of 217,776 molecules from the HMDB. Notably, the top associations with epilepsy include [...] Read more.
Certain foods and specific drugs have been linked to epilepsy in the literature. Here, we query PubMed citations for the co-occurrence of epilepsy with foods and drugs, using a list of 217,776 molecules from the HMDB. Notably, the top associations with epilepsy include approved drugs and drug families, diagnostic markers, inducers, and vitamins. Drugs include fosphenytoin (40%), topiramate (37%), valproic acid (34%), hydantoin (20%), phenytoin (31%), carbamazepine (33%), carbamazepine-10,11-epoxide (40%), trimethadione (31%), gabapentin (14%), pregabalin (11%), flunarizine (7%), fenfluramine (4%), bumetanide (4%), KBr (18%), cannabidiol (14%), clonazepam (22%), nitrazepam (10%), diazepam (7%), lorazepam (6%), midazolam (3%), amobarbital (21%), phenobarbital (16%), flumazenil (7%) allopregnanolone (7%), pregnanolone (6%), epipregnanolone (6%), 3-hydroxypregnan-20-one (6%), and vitamin B6 (6%). Drug families and scaffolds include imidazolidine (18%), succinimide (10%), acetamide (7%), 2-pyrrolidinone (7%), pyrrolidine (6%), tetrahydropyridine (6%), and isoxazole (4%). Investigational compounds include cyano-7-nitroquinoxaline-2,3-dione (5%). Diagnostic markers include exametazime (10%) and quinolinic acid (3%). Inducers include flurothyl (37%), pentetrazol (32%), pilocarpine (25%), (+)-Bicuculline (8%), and 1-methyl-4-phenyl-1,2,5,6-tetrahydropyridine (MPTP, 6%). Our analysis highlights frequently cited associations between epilepsy and specific drugs and highlights the importance of supplementing nutrients with vitamin B6 and the ketogenic diet, which increases the gamma-aminobutyric acid (GABA)/glutamate ratio. As such, our study offers dietary approaches in the treatment of this neurodegenerative disease. Full article
(This article belongs to the Section Nutrition and Neuro Sciences)
Show Figures

Figure 1

4 pages, 1182 KB  
Correction
Correction: Hoyos-Orozco et al. Synthesis of Imidazolidin-2-ones from trans-(R,R)-Diaminocyclohexane: A Statistical Analysis-Based Pseudo-Multicomponent Protocol. Molecules 2025, 30, 1415
by Catalina Hoyos-Orozco, Lili Dahiana Becerra and Diego Quiroga
Molecules 2025, 30(14), 2890; https://doi.org/10.3390/molecules30142890 - 8 Jul 2025
Viewed by 341
Abstract
In the original publication [...] Full article
28 pages, 4498 KB  
Article
Synthesis, Antitumor Activities, and Apoptosis-Inducing Activities of Schiff’s Bases Incorporating Imidazolidine-2,4-dione Scaffold: Molecular Docking Studies and Enzymatic Inhibition Activities
by Fhdah S. Alanazi, Hamad M. Alkahtani, Alaa A.-M. Abdel-Aziz, Adel S. El-Azab, Hanadi H. Asiri, Ahmed H. Bakheit and Fatmah A. Al-Omary
Pharmaceuticals 2025, 18(4), 496; https://doi.org/10.3390/ph18040496 - 28 Mar 2025
Cited by 1 | Viewed by 1308
Abstract
Background/Objective: Cancer is the leading cause of death worldwide despite the diversity of antitumor therapies, which highlights the necessity to explore new anticancer agents. Methods: We synthesized 5,5-diphenylhydantoin derivatives including Schiff’s bases 727 and evaluated their cytotoxicity via the MTT assay. [...] Read more.
Background/Objective: Cancer is the leading cause of death worldwide despite the diversity of antitumor therapies, which highlights the necessity to explore new anticancer agents. Methods: We synthesized 5,5-diphenylhydantoin derivatives including Schiff’s bases 727 and evaluated their cytotoxicity via the MTT assay. Enzymatic inhibition assays, cell cycle and apoptosis analyses, and molecular docking studies were also conducted. Results: Derivative 24 demonstrated the highest cytotoxic activity, with IC50 values of 12.83 ± 0.9 μM, 9.07 ± 0.8 μM, and 4.92 ± 0.3 μM against the cell lines HCT-116, HePG-2, and MCF-7, respectively. Compounds 10, 13, and 21 showed potent antitumor activities versus the examined cell lines (average IC50 = 13.2, 14.5, and 13.1 μM), respectively; moreover, these compounds also demonstrated promising EGFR and HER2 inhibitory activities, with IC50 values in the range 0.28–1.61 µM. Derivative 24 displayed the highest EGFR and HER2 inhibitory activity values (IC50 = 0.07 and 0.04 µM), respectively, which were close to those of the reference drugs erlotinib and lapatinib. Therefore, compound 24 was selected for further examinations and exhibited an inducing effect on apoptosis via diminishing the anti-apoptotic protein levels of BCL-2 (8.598 ± 0.29 ng/mL) and MCL-1 (261.20 ± 8.97 pg/mL) and promoting cell cycle arrest at the G2/M phase (33.46%). The binding relationships between compound 24 and the active sites of EGFR and HER2, which are similar to the co-crystallized inhibitors, were investigated using a molecular docking approach. Conclusions: These findings provide insights into the potential anticancer activities of the synthesized derivatives for further optimization to achieve therapeutic use. Full article
(This article belongs to the Section Medicinal Chemistry)
Show Figures

Graphical abstract

17 pages, 2851 KB  
Article
Synthesis of Imidazolidin-2-ones from trans-(R,R)-Diaminocyclohexane: A Statistical Analysis-Based Pseudo-Multicomponent Protocol
by Catalina Hoyos-Orozco, Lili Dahiana Becerra and Diego Quiroga
Molecules 2025, 30(7), 1415; https://doi.org/10.3390/molecules30071415 - 22 Mar 2025
Cited by 1 | Viewed by 1986 | Correction
Abstract
A pseudo-multicomponent one-pot protocol for the synthesis of 1,3-disubstituted imidazolidin-2-one is described, employing trans-(R,R)-diaminocyclohexane for the in situ formation of the Schiff base, followed by reduction to produce the respective diamine and cyclization with carbonyldiimidazole (CDI). This approach [...] Read more.
A pseudo-multicomponent one-pot protocol for the synthesis of 1,3-disubstituted imidazolidin-2-one is described, employing trans-(R,R)-diaminocyclohexane for the in situ formation of the Schiff base, followed by reduction to produce the respective diamine and cyclization with carbonyldiimidazole (CDI). This approach utilizes statistical analysis to optimize the reaction conditions, allowing a pseudo-multicomponent protocol to be proposed. The developed method demonstrates sustainability, efficiency, and potential applications in green chemistry, achieving yields ranging from 55% to 81%. This represents a significant advance in synthesizing heterocyclic compounds with biological and pharmacological applications. Full article
(This article belongs to the Section Organic Chemistry)
Show Figures

Figure 1

5 pages, 390 KB  
Short Note
5′-Oxospiro-(fluorene-9,4′-imidazolidine)-2′-thione
by Dimitar Stoitsov, Marin Marinov, Plamen Penchev, Petya Marinova and Neyko Stoyanov
Molbank 2024, 2024(3), M1864; https://doi.org/10.3390/M1864 - 8 Aug 2024
Viewed by 1098
Abstract
The structure verification of 5′-oxospiro-(fluorene-9,4′-imidazolidine)-2′-thione by NMR is reported. Toward this aim, 2D NMR techniques including 1H-1H COSY, HMQC, and HMBC experiments were used to assist with the assignment of the 1H and 13C chemical shifts for the [...] Read more.
The structure verification of 5′-oxospiro-(fluorene-9,4′-imidazolidine)-2′-thione by NMR is reported. Toward this aim, 2D NMR techniques including 1H-1H COSY, HMQC, and HMBC experiments were used to assist with the assignment of the 1H and 13C chemical shifts for the corresponding structure. The mutual interpretation of the 1D and 2D NMR spectra ensured a complete and accurate 1H and 13C NMR data assignment for 5′-oxospiro-(fluorene-9,4′-imidazolidine)-2′-thione. Full article
(This article belongs to the Section Structure Determination)
Show Figures

Figure 1

6 pages, 915 KB  
Short Note
3a-(4-Chlorophenyl)-1-thioxo-2,3,3a,4-tetrahydroimidazo[1,5-a]quinazolin-5(1H)-one
by Andrea Defant, Nicole Innocenti and Ines Mancini
Molbank 2024, 2024(3), M1859; https://doi.org/10.3390/M1859 - 28 Jul 2024
Viewed by 1437
Abstract
With the aim of producing new heterocycle molecules, the previously reported 2-(aminomethyl)-2-(4-chlorophenyl)-2,3-dihydroquinazolin-4(1H)-one was converted efficiently by reacting with N,N′-dithiocarbonyldiimidazole (DTCI) to produce the substituted imidazolidine-2-thione moiety inserted in a three-fused-ring scaffold of the title compound. The molecular composition was confirmed [...] Read more.
With the aim of producing new heterocycle molecules, the previously reported 2-(aminomethyl)-2-(4-chlorophenyl)-2,3-dihydroquinazolin-4(1H)-one was converted efficiently by reacting with N,N′-dithiocarbonyldiimidazole (DTCI) to produce the substituted imidazolidine-2-thione moiety inserted in a three-fused-ring scaffold of the title compound. The molecular composition was confirmed by a high-resolution MS experiment, and its structure was elucidated by 1H, 13CNMR, and IR analyses. The thioacetamide form of the product was supported by density functional theory (DFT)–NMR analysis where 13C chemical shifts of the thioacetamide form and of its iminothiol tautomer were calculated in chloroform at the BP86/Jgauss-TZP2 level of theory. The very strong linear correlation between 13C chemical shifts from experimental findings and by calculation for the NHC=S form confirmed the structure. Full article
Show Figures

Figure 1

5 pages, 1428 KB  
Short Note
(Z)-N-Carbamoyl-4-hydroxy-4-(4-methoxyphenyl)-2-oxobut-3-enamide
by Alexandra O. Derevnina, Anastasia A. Andreeva and Andrey N. Maslivets
Molbank 2024, 2024(3), M1844; https://doi.org/10.3390/M1844 - 29 Jun 2024
Cited by 1 | Viewed by 1738
Abstract
The reaction of 5-(4-methoxyphenyl)furan-2,3-dione with urea in a 1:1 ratio when refluxed in a mixture of 1,2-dichloroethane-DMSO gives (Z)-N-carbamoyl-4-hydroxy-4-(4-methoxyphenyl)-2-oxobut-3-enamide in a good yield. This compound was fully characterized. Full article
(This article belongs to the Collection Heterocycle Reactions)
Show Figures

Figure 1

5 pages, 1166 KB  
Short Note
(S)-1-Methyl-2-oxoimidazolidine-4-carboxylic Acid
by Ashley L. Dey, Majid Motevalli, Isaac Abrahams and Peter B. Wyatt
Molbank 2024, 2024(2), M1835; https://doi.org/10.3390/M1835 - 12 Jun 2024
Viewed by 1733
Abstract
(S)-1-Methyl-2-oxoimidazolidine-4-carboxylic acid 1 is an analog of (S)-pyroglutamic acid, a key component of naturally occurring peptide hormones and synthetic pharmaceutical candidates. The reaction of (S)-2-amino-3-(methylamino)propionic acid with COCl2 and aqueous NaHCO3 followed by ion exchange [...] Read more.
(S)-1-Methyl-2-oxoimidazolidine-4-carboxylic acid 1 is an analog of (S)-pyroglutamic acid, a key component of naturally occurring peptide hormones and synthetic pharmaceutical candidates. The reaction of (S)-2-amino-3-(methylamino)propionic acid with COCl2 and aqueous NaHCO3 followed by ion exchange afforded 1, which was recrystallized from acetonitrile and then characterized by IR, 1H NMR, 13C NMR, polarimetry, elemental microanalysis, high-resolution mass spectrometry and single-crystal X-ray diffraction. The acid 1 crystallized in the orthorhombic chiral space group P212121 with cell constants a = 6.2275(4) Å, b = 8.3963(5) Å, c = 24.9490(14) Å. The X-ray crystal structure revealed that two distinct conformers of 1 occur at alternating positions within helices which are supported by hydrogen bonds. Each molecule of 1 is linked to its two neighbors in the helix by a total of three hydrogen bonds, and four molecules of 1 are contained within each turn of the helix. The pattern of hydrogen bonds illustrates a preference for the carboxylic acid group to act as a hydrogen bond donor and for the urea unit to be a hydrogen bond acceptor. Full article
Show Figures

Graphical abstract

18 pages, 9693 KB  
Article
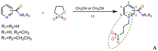
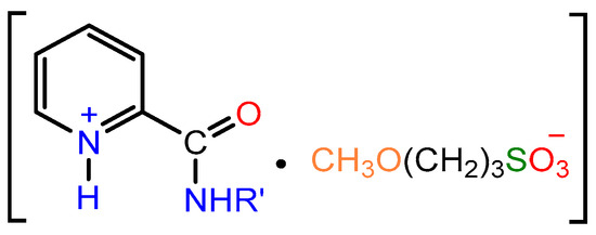
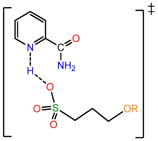
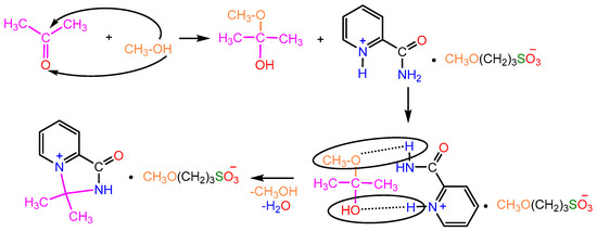
Reaction of Picolinamides with Ketones Producing a New Type of Heterocyclic Salts with an Imidazolidin-4-One Ring
by Eugenia P. Kramarova, Dmitry N. Lyakhmun, Dmitry V. Tarasenko, Sophia S. Borisevich, Edward M. Khamitov, Alfia R. Yusupova, Alexander A. Korlyukov, Alexander R. Romanenko, Tatiana A. Shmigol, Sergey Yu. Bylikin, Yuri I. Baukov and Vadim V. Negrebetsky
Molecules 2024, 29(1), 206; https://doi.org/10.3390/molecules29010206 - 29 Dec 2023
Cited by 1 | Viewed by 2036
Abstract
Reactions of picolinamides with 1,3-propanesultone in methanol followed by the treatment with ketones led to a series of previously unknown chemical transformations, yielding first pyridinium salts (2af), with a protonated endocyclic nitrogen atom, and then heterocyclic salts (3a [...] Read more.
Reactions of picolinamides with 1,3-propanesultone in methanol followed by the treatment with ketones led to a series of previously unknown chemical transformations, yielding first pyridinium salts (2af), with a protonated endocyclic nitrogen atom, and then heterocyclic salts (3aj) containing an imidazolidin-4-one ring. The structures of intermediate and final products were determined by IR and 1H, 13C NMR spectroscopy, and X-ray study. The effects of the ketone and alcohol structures on the product yield were studied by quantum-chemical calculations. The stability of salts 3aj towards hydrolysis and alcoholysis makes them excellent candidates for the search for new types of biologically active compounds. Full article
(This article belongs to the Section Organic Chemistry)
Show Figures

Figure 1

25 pages, 4695 KB  
Article
[3+2]-Cycloaddition of Nitrile Imines to Parabanic Acid Derivatives—An Approach to Novel Spiroimidazolidinediones
by Juliana V. Kuznetsova, Varvara T. Tkachenko, Lada M. Petrovskaya, Maria E. Filkina, Dmitry E. Shybanov, Yuri K. Grishin, Vitaly A. Roznyatovsky, Viktor A. Tafeenko, Anna S. Pestretsova, Vera A. Yakovleva, Vadim S. Pokrovsky, Maxim E. Kukushkin and Elena K. Beloglazkina
Int. J. Mol. Sci. 2024, 25(1), 18; https://doi.org/10.3390/ijms25010018 - 19 Dec 2023
Cited by 10 | Viewed by 3079
Abstract
Approximately 1,3-Dipolar cycloaddition of imidazolidine derivatives containing exocyclic double bonds is a convenient method of creating spiro-conjugated molecules with promising anticancer activity. In this work, the derivatives of parabanic acid (2-thioxoimidazolidine-4,5-diones and 5-aryliminoimidazolidine-2,4-diones) were first investigated as dipolarophiles in the reactions with nitrile [...] Read more.
Approximately 1,3-Dipolar cycloaddition of imidazolidine derivatives containing exocyclic double bonds is a convenient method of creating spiro-conjugated molecules with promising anticancer activity. In this work, the derivatives of parabanic acid (2-thioxoimidazolidine-4,5-diones and 5-aryliminoimidazolidine-2,4-diones) were first investigated as dipolarophiles in the reactions with nitrile imines. The generation of nitrile imines was carried out either by the addition of tertiary amine to hydrazonoyl chlorides «drop by drop» or using the recently proposed diffusion mixing technique, which led to ~5–15% increases in target compound yields. It was found that the addition of nitrile imines to C=S or C=N exocyclic double bonds led to 1,2,4-thiazolines or triazolines and occurred regioselectively in accordance with the ratio of FMO coefficients of reactants. The yield of the resulting spiro-compound depended on the presence of alkyl substituents in the nitrile imine structure and was significantly decreased in reactions with imines with strong electron donor or electron-withdrawing groups. Some of the obtained compounds showed reasonable in vitro cytotoxicity. IC50 values were calculated for HCT116 (colon cancer) cells using the MTT (3-(4,5-dimethylthiazol-2-yl)-2,5-diphenyltetrazolium bromide) test. Full article
Show Figures

Figure 1

8 pages, 693 KB  
Communication
Synthesis of Norabietyl and Nordehydroabietyl Imidazolidine-2,4,5-Triones and Their Activity against Tyrosyl-DNA Phosphodiesterase 1
by Kseniya S. Kovaleva, Olga I. Yarovaya, Irina A. Chernyshova, Alexandra L. Zakharenko, Sergey V. Cheresiz, Amirhossein Azimirad, Andrey G. Pokrovsky, Olga I. Lavrik and Nariman F. Salakhutdinov
Molbank 2023, 2023(4), M1743; https://doi.org/10.3390/M1743 - 9 Nov 2023
Cited by 3 | Viewed by 2159
Abstract
New imidazolidine-2,4,5-triones with norabietic, nordehydroabietic, and adamantane substituents were synthesized by reacting oxalyl chloride and the corresponding ureas, providing good yields. Bioisosteric replacement of the ureide group with a parabanic acid fragment made it possible to increase the solubility of compounds and conduct [...] Read more.
New imidazolidine-2,4,5-triones with norabietic, nordehydroabietic, and adamantane substituents were synthesized by reacting oxalyl chloride and the corresponding ureas, providing good yields. Bioisosteric replacement of the ureide group with a parabanic acid fragment made it possible to increase the solubility of compounds and conduct biological studies. The compounds inhibit the DNA repair enzyme tyrosyl-DNA phosphodiesterase 1 in submicromolar concentrations. Cytotoxic concentrations were also studied on the glioblastoma cell line SNB19. Full article
(This article belongs to the Section Natural Product Chemistry)
Show Figures

Figure 1

27 pages, 5513 KB  
Article
Synthesis of Tetracyclic Spirooxindolepyrrolidine-Engrafted Hydantoin Scaffolds: Crystallographic Analysis, Molecular Docking Studies and Evaluation of Their Antimicrobial, Anti-Inflammatory and Analgesic Activities
by Amani Toumi, Faiza I.A. Abdella, Sarra Boudriga, Tahani Y. A. Alanazi, Asma K. Alshamari, Ahlam Abdulrahman Alrashdi, Amal Dbeibia, Khaled Hamden, Ismail Daoud, Michael Knorr, Jan-Lukas Kirchhoff and Carsten Strohmann
Molecules 2023, 28(21), 7443; https://doi.org/10.3390/molecules28217443 - 6 Nov 2023
Cited by 12 | Viewed by 3179
Abstract
In a sustained search for novel potential drug candidates with multispectrum therapeutic application, a series of novel spirooxindoles was designed and synthesized via regioselective three-component reaction between isatin derivatives, 2-phenylglycine and diverse arylidene-imidazolidine-2,4-diones (Hydantoins). The suggested stereochemistry was ascertained by an X-ray diffraction [...] Read more.
In a sustained search for novel potential drug candidates with multispectrum therapeutic application, a series of novel spirooxindoles was designed and synthesized via regioselective three-component reaction between isatin derivatives, 2-phenylglycine and diverse arylidene-imidazolidine-2,4-diones (Hydantoins). The suggested stereochemistry was ascertained by an X-ray diffraction study and NMR spectroscopy. The resulting tetracyclic heterocycles were screened for their in vitro and in vivo anti-inflammatory and analgesic activity and for their in vitro antimicrobial potency. In vitro antibacterial screening revealed that several derivatives exhibited remarkable growth inhibition against different targeted microorganisms. All tested compounds showed excellent activity against the Micrococccus luteus strain (93.75 µg/mL ≤ MIC ≤ 375 µg/mL) as compared to the reference drug tetracycline (MIC = 500 µg/mL). Compound 4e bearing a p-chlorophenyl group on the pyrrolidine ring exhibited the greatest antifungal potential toward Candida albicans and Candida krusei (MIC values of 23.43 µg/mL and 46.87 µg/mL, respectively) as compared to Amphotericin B (MIC = 31.25 and 62.50 µg/mL, respectively). The target compounds were also tested in vitro against the lipoxygenase-5 (LOX-5) enzyme. Compounds 4i and 4l showed significant inhibitory activity with IC50 = 1.09 mg/mL and IC50 = 1.01 mg/mL, respectively, more potent than the parent drug, diclofenac sodium (IC50 = 1.19 mg/mL). In addition, in vivo evaluation of anti-inflammatory and analgesic activity of these spirooxindoles were assessed through carrageenan-induced paw edema and acetic acid-induced writhing assays, respectively, revealing promising results. In silico molecular docking and predictive ADMET studies for the more active spirocompounds were also carried out. Full article
(This article belongs to the Special Issue Novel Insights toward the Development of New Drugs)
Show Figures

Figure 1

15 pages, 4540 KB  
Article
Synthesis and Structural Analysis of Chiral Bis-dihydro[1,3]-naphthoxazines and Imidazolidine Derivatives Prepared by Three-Component Mannich-Type Condensation
by Maya Tavlinova-Kirilova, Krasimira Dikova, Maya K. Marinova, Mariana Kamenova-Nacheva, Rusi Rusew, Hristina Sbirkova-Dimitrova, Boris Shivachev, Kalina Kostova and Vladimir Dimitrov
Crystals 2023, 13(10), 1495; https://doi.org/10.3390/cryst13101495 - 14 Oct 2023
Cited by 1 | Viewed by 1786
Abstract
Enantiomerically pure (S)-1-phenylethan-1-amine has been applied in Mannich-type condensation between formaldehyde and naphthalenediols leading to the synthesis of chiral bis-dihydro[1,3]naphthoxazines in excellent yields. Salen-type structures have been synthesized, applying R,R- or S,S-cyclohexane-1,2-diamines in condensation with [...] Read more.
Enantiomerically pure (S)-1-phenylethan-1-amine has been applied in Mannich-type condensation between formaldehyde and naphthalenediols leading to the synthesis of chiral bis-dihydro[1,3]naphthoxazines in excellent yields. Salen-type structures have been synthesized, applying R,R- or S,S-cyclohexane-1,2-diamines in condensation with formaldehyde and naphthalene-2-ol. The obtained chiral imidazolidine derivatives of the type 1,1′-(((3a,7a)-hexahydro-1H-benzo[d]imidazole-1,3(2H)diyl)bis(methylene))bis(naphthalen-2-ol) were evaluated as pre-catalysts for the addition of diethyl zinc to aldehydes. The structures of the newly synthesized compounds were elucidated using 1D and 2D NMR experiments (COSY, HMBC, HSQS), elemental analysis, mass spectrometry (HRMS spectra) and single-crystal X-ray diffraction (SCXRD). The products were further characterized with powder X-ray diffraction (PXRD) and thermal analysis (DSC). Full article
(This article belongs to the Special Issue Coordination Complexes with Bio-Based Ligands)
Show Figures

Figure 1

16 pages, 2366 KB  
Article
Structural and Dynamic Behaviour of Heterocycles Derived from Ethylenediamines with Formaldehyde: 1,3,5-Triazinanes and Bis(imidazolidinyl)methanes
by Raúl Colorado-Peralta, Sonia Araceli Sánchez-Ruiz and Angelina Flores-Parra
Organics 2023, 4(2), 297-312; https://doi.org/10.3390/org4020024 - 15 Jun 2023
Cited by 3 | Viewed by 2451
Abstract
Formaldehyde is a simple chemical compound that is used as a building block in obtaining a wide range of products. The versatility of formaldehyde in chemical synthesis becomes evident when it is reacted with N-alkylethylenediamines. Therefore, this paper reports the structure and [...] Read more.
Formaldehyde is a simple chemical compound that is used as a building block in obtaining a wide range of products. The versatility of formaldehyde in chemical synthesis becomes evident when it is reacted with N-alkylethylenediamines. Therefore, this paper reports the structure and reactivity of a series of compounds derived from easily accessible molecules, such as formaldehyde, sodium hydrosulphide, and N-alkylethylenediamines. The 1,3,5-triazines (1a-1d) and bis(3-alkyl-imidazolidin-1-yl)methanes (2a-2d) were obtained by simple reaction conditions. Additionally, different proportions of sodium hydrosulphide and formaldehyde were used with N-benzylamine to obtain N-benzyltriazinane (3), N-benzylthiadiazinane (4) and N-benzyldithiazinane (5). All these compounds were characterized by analytical, spectroscopic, and spectrometric techniques, such as melting point, solubility, one-dimensional and two-dimensional nuclear magnetic resonance (13C, 1H, 15N, COSY, HETCOR, NOESY, COLOC), elemental analysis, high- and low-resolution mass spectrometry, among others. The structures of compounds 4 and 5 were obtained by single-crystal X-ray diffraction. The results show that small variations in the stoichiometry and the reaction conditions significantly influence the products obtained. Full article
(This article belongs to the Collection Advanced Research Papers in Organics)
Show Figures

Graphical abstract

Back to TopTop