Sign in to use this feature.

Years

Between: -

Subjects

remove_circle_outline
remove_circle_outline
remove_circle_outline
remove_circle_outline
remove_circle_outline
remove_circle_outline
remove_circle_outline
remove_circle_outline
remove_circle_outline

Journals

remove_circle_outline
remove_circle_outline
remove_circle_outline
remove_circle_outline
remove_circle_outline
remove_circle_outline
remove_circle_outline
remove_circle_outline
remove_circle_outline
remove_circle_outline
remove_circle_outline
remove_circle_outline
remove_circle_outline
remove_circle_outline
remove_circle_outline
remove_circle_outline
remove_circle_outline
remove_circle_outline
remove_circle_outline

Article Types

Countries / Regions

remove_circle_outline
remove_circle_outline
remove_circle_outline
remove_circle_outline

Search Results (1,696)

Search Parameters:
Keywords = imaging window

Order results
Result details
Results per page
Select all
Export citation of selected articles as:
18 pages, 12948 KB  
Article
Optimal Phenology Windows for Discriminating Populus euphratica and Tamarix chinensis in the Tarim River Desert Riparian Forests with PlanetScope Data
by Zhen Wang, Xiang Chen and Shuai Zou
Forests 2025, 16(10), 1560; https://doi.org/10.3390/f16101560 (registering DOI) - 10 Oct 2025
Abstract
The desert riparian forest oasis, dominated by Populus euphratica and Tamarix chinensis, is an important barrier to protect the economic production and habitat of the Tarim River Basin. However, there is still a lack of high-precision spatial distribution data of desert ri-parian [...] Read more.
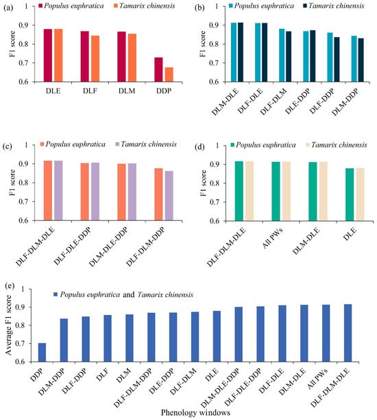
The desert riparian forest oasis, dominated by Populus euphratica and Tamarix chinensis, is an important barrier to protect the economic production and habitat of the Tarim River Basin. However, there is still a lack of high-precision spatial distribution data of desert ri-parian forest species below 10 m. The recently launched PlanetScope CubeSat constella-tion, which provides daily earth observation imagery with a resolution of 3 m, offers a highly favorable dataset for mapping the high-resolution distribution of P. euphratica and T. chinensis and an unprecedented opportunity to explore the optimal phenology window to distinguish between them. In this study, time-series PlanetScope images were first used to extract phenological metrics of P. euphratica, dividing the annual life cycle into four phenology windows: duration of leaf expansion (DLE), duration of leaf maturity (DLM), duration of leaf fall (DLF), and duration of the dormancy period (DDP). The random forest model was used to obtain the classification accuracy of 16 phenological window combinations. Results indicate that after gap filling of vegetation index time series, the identification accuracy for P. euphratica and T. chinensis exceeded 0.90. Among individual phenology windows, the DLE window exhibited the highest classification accuracy (average F1-score 0.87). Among the two phenology window combinations, the DLE-DLF and DLE-DLM windows have the highest classification accuracy (average F1-score 0.90). Among the three phenology window combinations, DLE-DLM-DLF displayed the highest classification accuracy (average F1-score 0.91). Nevertheless, the inclusion of features within the DDP window led to a decrease in accuracy by 1–2% points, which was unfavorable for discriminating tree species. Additionally, features observed during the phenology asynchrony period were found to be more valuable for distinguishing between tree species. Our findings highlight the potential of PlanetScope constellation imagery in tree species classification, offering guidance for selecting optimal image acquisition timing and identifying the most valuable images within time series data for future large-scale tree mapping. Full article
Show Figures

Figure 1

23 pages, 3069 KB  
Article
Fast Discrete Krawtchouk Transform Algorithms for Short-Length Input Sequences
by Marina Polyakova, Aleksandr Cariow and Janusz P. Papliński
Electronics 2025, 14(19), 3958; https://doi.org/10.3390/electronics14193958 - 8 Oct 2025
Abstract
This paper presents new fast discrete Krawtchouk transform (DKT) algorithms for input sequences of length 3 to 8. Small-sized DKT algorithms can be utilized in image processing applications to extract local image features formed by a sliding spatial window, and they can also [...] Read more.
This paper presents new fast discrete Krawtchouk transform (DKT) algorithms for input sequences of length 3 to 8. Small-sized DKT algorithms can be utilized in image processing applications to extract local image features formed by a sliding spatial window, and they can also serve as building blocks for developing larger-sized algorithms. Existing strategies to reduce the computational complexity of DKT mainly focus on modifying the recurrence relations for Krawtchouk polynomials, dividing the input signals into blocks or layers, or using different methods to approximate the coefficient values. Algorithms developed using the first two strategies are computationally intensive, which introduces a significant time delay in the computation process. Algorithms based on the approximation of polynomial coefficient values reduce computation time but at the expense of reduced accuracy. We use a different approach based on reducing the block structure of the matrix to one of the previously developed block-structural patterns, which allows us to factorize the resulting matrix in such a way that it leads to a reduction in the computational complexity of the synthesized algorithm. We describe the algorithmic solutions we have obtained through data flow graphs. The proposed DKT algorithms reduce the number of multiplications, additions, and shifts by an average of 58%, 27%, and 68%, respectively, compared to the direct computation of DKT via matrix-vector product. These characteristics were averaged across the considered input sizes (from 3 to 8). Full article
(This article belongs to the Section Circuit and Signal Processing)
Show Figures

Figure 1

32 pages, 3160 KB  
Article
Multimodal Image Segmentation with Dynamic Adaptive Window and Cross-Scale Fusion for Heterogeneous Data Environments
by Qianping He, Meng Wu, Pengchang Zhang, Lu Wang and Quanbin Shi
Appl. Sci. 2025, 15(19), 10813; https://doi.org/10.3390/app151910813 - 8 Oct 2025
Abstract
Multi-modal image segmentation is a key task in various fields such as urban planning, infrastructure monitoring, and environmental analysis. However, it remains challenging due to complex scenes, varying object scales, and the integration of heterogeneous data sources (such as RGB, depth maps, and [...] Read more.
Multi-modal image segmentation is a key task in various fields such as urban planning, infrastructure monitoring, and environmental analysis. However, it remains challenging due to complex scenes, varying object scales, and the integration of heterogeneous data sources (such as RGB, depth maps, and infrared). To address these challenges, we proposed a novel multi-modal segmentation framework, DyFuseNet, which features dynamic adaptive windows and cross-scale feature fusion capabilities. This framework consists of three key components: (1) Dynamic Window Module (DWM), which uses dynamic partitioning and continuous position bias to adaptively adjust window sizes, thereby improving the representation of irregular and fine-grained objects; (2) Scale Context Attention (SCA), a hierarchical mechanism that associates local details with global semantics in a coarse-to-fine manner, enhancing segmentation accuracy in low-texture or occluded regions; and (3) Hierarchical Adaptive Fusion Architecture (HAFA), which aligns and fuses features from multiple modalities through shallow synchronization and deep channel attention, effectively balancing complementarity and redundancy. Evaluated on benchmark datasets (such as ISPRS Vaihingen and Potsdam), DyFuseNet achieved state-of-the-art performance, with mean Intersection over Union (mIoU) scores of 80.40% and 80.85%, surpassing MFTransNet by 1.91% and 1.77%, respectively. The model also demonstrated strong robustness in challenging scenes (such as building edges and shadowed objects), achieving an average F1 score of 85% while maintaining high efficiency (26.19 GFLOPs, 30.09 FPS), making it suitable for real-time deployment. This work presents a practical, versatile, and computationally efficient solution for multi-modal image analysis, with potential applications beyond remote sensing, including smart monitoring, industrial inspection, and multi-source data fusion tasks. Full article
(This article belongs to the Special Issue Signal and Image Processing: From Theory to Applications: 2nd Edition)
Show Figures

Figure 1

22 pages, 4621 KB  
Article
Determination of the Mechanical Tensile Characteristics of Some 3D-Printed Specimens from NYLON 12 CARBON Fiber Material
by Claudiu Babiș, Andrei Dimitrescu, Sorin Alexandru Fica, Ovidiu Antonescu, Daniel Vlăsceanu and Constantin Stochioiu
Technologies 2025, 13(10), 456; https://doi.org/10.3390/technologies13100456 - 8 Oct 2025
Viewed by 27
Abstract
This study investigates the mechanical behavior of Nylon 12 Carbon Fiber specimens manufactured through fused filament fabrication (FFF) for potential integration into light water well drilling rigs. Fifteen tensile test samples were 3D-printed on a MakerBot Method X printer in three orientations: horizontal, [...] Read more.
This study investigates the mechanical behavior of Nylon 12 Carbon Fiber specimens manufactured through fused filament fabrication (FFF) for potential integration into light water well drilling rigs. Fifteen tensile test samples were 3D-printed on a MakerBot Method X printer in three orientations: horizontal, vertical, and lateral. Each specimen was printed with a soluble SR-30 support material, which was subsequently dissolved in an SCA 1200-HT wash station using heated alkaline solution. Following support removal, all samples underwent thermal annealing at 80 °C for 5 h in the printer’s controlled chamber to eliminate residual moisture and improve structural integrity. The annealed specimens were subjected to uniaxial tensile testing using an Instron 8875 electrohydraulic machine, with strain measured by digital image correlation (DIC) on a speckle-patterned gauge section. Key mechanical properties, including Young’s modulus, Poisson’s ratio, yield strength, and ultimate tensile strength, were determined. Finally, a finite element analysis (FEA) was performed using MSC Visual Nastran for Windows to simulate the tensile loading conditions and assess internal stress distributions for each print orientation. The combined experimental and numerical results confirm the feasibility of using additively manufactured parts in demanding engineering applications. Full article
Show Figures

Figure 1

31 pages, 19756 KB  
Article
Impact of Climate Change and Other Disasters on Coastal Cultural Heritage: An Example from Greece
by Chryssy Potsiou, Sofia Basiouka, Styliani Verykokou, Denis Istrati, Sofia Soile, Marcos Julien Alexopoulos and Charalabos Ioannidis
Land 2025, 14(10), 2007; https://doi.org/10.3390/land14102007 - 7 Oct 2025
Viewed by 256
Abstract
Protection of coastal cultural heritage is among the most urgent global priorities, as these sites face increasing threats from climate change, sea level rise, and human activity. This study emphasises the value of innovative geospatial tools and data ecosystems for timely risk assessment. [...] Read more.
Protection of coastal cultural heritage is among the most urgent global priorities, as these sites face increasing threats from climate change, sea level rise, and human activity. This study emphasises the value of innovative geospatial tools and data ecosystems for timely risk assessment. The role of land administration systems, geospatial documentation of coastal cultural heritage sites, and the adoption of innovative techniques that combine various methodologies is crucial for timely action. The coastal management infrastructure in Greece is presented, outlining the key public authorities and national legislation, as well as the land administration and geospatial ecosystems and the various available geospatial ecosystems. We profile the Hellenic Cadastre and the Hellenic Archaeological Cadastre along with open geospatial resources, and introduce TRIQUETRA Decision Support System (DSS), produced through the EU’s Horizon project, and a Digital Twin methodology for hazard identification, quantification, and mitigation. Particular emphasis is given to the role of Digital Twin technology, which acts as a continuously updated virtual replica of coastal cultural heritage sites, integrating heterogeneous geospatial datasets such as cadastral information, photogrammetric 3D models, climate projections, and hazard simulations, allowing for stakeholders to test future scenarios of sea level rise, flooding, and erosion, offering an advanced tool for resilience planning. The approach is validated at the coastal archaeological site of Aegina Kolona, where a UAV-based SfM-MVS survey produced using high-resolution photogrammetric outputs, including a dense point cloud exceeding 60 million points, a 5 cm resolution Digital Surface Model, high-resolution orthomosaics with a ground sampling distance of 1 cm and 2.5 cm, and a textured 3D model using more than 6000 nadir and oblique images. These products provided a geospatial infrastructure for flood risk assessment under extreme rainfall events, following a multi-scale hydrologic–hydraulic modelling framework. Island-scale simulations using a 5 m Digital Elevation Model (DEM) were coupled with site-scale modelling based on the high-resolution UAV-derived DEM, allowing for the nested evaluation of water flow, inundation extents, and velocity patterns. This approach revealed spatially variable flood impacts on individual structures, highlighted the sensitivity of the results to watershed delineation and model resolution, and identified critical intervention windows for temporary protection measures. We conclude that integrating land administration systems, open geospatial data, and Digital Twin technology provides a practical pathway to proactive and efficient management, increasing resilience for coastal heritage against climate change threats. Full article
(This article belongs to the Special Issue Land Modifications and Impacts on Coastal Areas, Second Edition)
Show Figures

Figure 1

23 pages, 5736 KB  
Article
Novel Imaging Devices: Coding Masks and Varifocal Systems
by Cristina M. Gómez-Sarabia and Jorge Ojeda-Castañeda
Appl. Sci. 2025, 15(19), 10743; https://doi.org/10.3390/app151910743 - 6 Oct 2025
Viewed by 193
Abstract
To design novel imaging devices, we use masks coded with numerical sequences. These masks work in conjunction with varifocal systems that implement zero-throw tunable magnification. Some masks control field depth, even when the size of the pupil aperture remains fixed. Pairs of vortex [...] Read more.
To design novel imaging devices, we use masks coded with numerical sequences. These masks work in conjunction with varifocal systems that implement zero-throw tunable magnification. Some masks control field depth, even when the size of the pupil aperture remains fixed. Pairs of vortex masks are used to implement tunable phase radial profiles, like axicons and lenses. The autocorrelation properties of the Barker sequences are applied to the generation of narrow passband windows on the OTF. For this application, we apply Barker matrices in rectangular coordinates. A similar procedure, but now in polar coordinates, is useful for sensing in-plane rotations. We implement geometrical transformations by using zero-throw, tunable, anamorphic magnifications. Full article
Show Figures

Figure 1

24 pages, 73520 KB  
Article
2C-Net: A Novel Spatiotemporal Dual-Channel Network for Soil Organic Matter Prediction Using Multi-Temporal Remote Sensing and Environmental Covariates
by Jiale Geng, Chong Luo, Jun Lu, Depiao Kong, Xue Li and Huanjun Liu
Remote Sens. 2025, 17(19), 3358; https://doi.org/10.3390/rs17193358 - 3 Oct 2025
Viewed by 245
Abstract
Soil organic matter (SOM) is essential for ecosystem health and agricultural productivity. Accurate prediction of SOM content is critical for modern agricultural management and sustainable soil use. Existing digital soil mapping (DSM) models, when processing temporal data, primarily focus on modeling the changes [...] Read more.
Soil organic matter (SOM) is essential for ecosystem health and agricultural productivity. Accurate prediction of SOM content is critical for modern agricultural management and sustainable soil use. Existing digital soil mapping (DSM) models, when processing temporal data, primarily focus on modeling the changes in input data across successive time steps. However, they do not adequately model the relationships among different input variables, which hinders the capture of complex data patterns and limits the accuracy of predictions. To address this problem, this paper proposes a novel deep learning model, 2-Channel Network (2C-Net), leveraging sequential multi-temporal remote sensing images to improve SOM prediction. The network separates input data into temporal and spatial data, processing them through independent temporal and spatial channels. Temporal data includes multi-temporal Sentinel-2 spectral reflectance, while spatial data consists of environmental covariates including climate and topography. The Multi-sequence Feature Fusion Module (MFFM) is proposed to globally model spectral data across multiple bands and time steps, and the Diverse Convolutional Architecture (DCA) extracts spatial features from environmental data. Experimental results show that 2C-Net outperforms the baseline model (CNN-LSTM) and mainstream machine learning model for DSM, with R2 = 0.524, RMSE = 0.884 (%), MAE = 0.581 (%), and MSE = 0.781 (%)2. Furthermore, this study demonstrates the significant importance of sequential spectral data for the inversion of SOM content and concludes the following: for the SOM inversion task, the bare soil period after tilling is a more important time window than other bare soil periods. 2C-Net model effectively captures spatiotemporal features, offering high-accuracy SOM predictions and supporting future DSM and soil management. Full article
(This article belongs to the Special Issue Remote Sensing in Soil Organic Carbon Dynamics)
Show Figures

Figure 1

15 pages, 1628 KB  
Article
CT Brain Perfusion Imaging Utilization Following Widening of the Intracranial Mechanical Thrombectomy Treatment Window in a Cosmos Multi-Institutional Population
by Yusuf Rasheed, Colin Berkheimer, Zarar Ajam and Xuan V. Nguyen
Appl. Sci. 2025, 15(19), 10680; https://doi.org/10.3390/app151910680 - 2 Oct 2025
Viewed by 317
Abstract
The goal of this study is to analyze trends in clinical utilization of CT brain perfusion (CTP) across the past 10 years, during which there have been substantial changes in neuro-interventional and neuroimaging guidelines related to emergent stroke therapy, particularly intra-arterial mechanical thrombectomy. [...] Read more.
The goal of this study is to analyze trends in clinical utilization of CT brain perfusion (CTP) across the past 10 years, during which there have been substantial changes in neuro-interventional and neuroimaging guidelines related to emergent stroke therapy, particularly intra-arterial mechanical thrombectomy. The Cosmos platform, a multi-institutional data aggregation tool containing health record data from billions of encounters, was used to retrospectively identify millions of patients with active clinical encounters during the study period (2015–2024). For each calendar quarter, numbers and proportions of active patients undergoing mechanical thrombectomy or brain CTP were obtained using billing code queries. CTP utilization per 100,000 active patients grew slowly from Q1-2015 to Q3-2017, ranging from 4.32 to 9.45, but beginning in Q4-2017, coinciding with the publication of landmark stroke trials, CTP utilization began to increase more rapidly, almost 4-fold higher as determined through segmented linear regression, reaching 61.24 per 100,000 in Q4-2024. Although causation cannot be proven in this study, the observed increases in CTP utilization likely reflect rapid adoption of evidence-based adjustments to stroke triage guidelines after eligibility for mechanical neurointervention had been widened to 24 h from symptom onset. Full article
(This article belongs to the Special Issue Advances in Diagnostic Radiology)
Show Figures

Figure 1

28 pages, 17257 KB  
Article
A Box-Based Method for Regularizing the Prediction of Semantic Segmentation of Building Facades
by Shuyu Liu, Zhihui Wang, Yuexia Hu, Xiaoyu Zhao and Si Zhang
Buildings 2025, 15(19), 3562; https://doi.org/10.3390/buildings15193562 - 2 Oct 2025
Viewed by 227
Abstract
Semantic segmentation of building facade images has enabled a lot of intelligent support for architectural research and practice in the last decade. However, the classifiers for semantic segmentation usually predict facade elements (e.g., windows) as graphics in irregular shapes. The non-smooth edges and [...] Read more.
Semantic segmentation of building facade images has enabled a lot of intelligent support for architectural research and practice in the last decade. However, the classifiers for semantic segmentation usually predict facade elements (e.g., windows) as graphics in irregular shapes. The non-smooth edges and hard-to-define shapes impede the further use of the predicted graphics. This study proposes a method to regularize the predicted graphics following the prior knowledge of composition principles of building facades. Specifically, we define four types of boxes for each predicted graphic, namely minimum circumscribed box (MCB), maximum inscribed box (MIB), candidate box (CB), and best overlapping box (BOB). Based on these boxes, a three-stage process, consisting of denoising, BOB finding, and BOB stacking, was established to regularize the predicted graphics of facade elements into basic rectilinear polygons. To compare the proposed and existing methods of graphic regularization, an experiment was conducted based on the predicted graphics of facade elements obtained from four pixel-wise annotated building facade datasets, Irregular Facades (IRFs), CMP Facade Database, ECP Paris, and ICG Graz50. The results demonstrate that the graphics regularized by our method align more closely with real facade elements in shape and edge. Moreover, our method avoids the prevalent issue of correctness degradation observed in existing methods. Compared with the predicted graphics, the average IoU and F1-score of our method-regularized graphics respectively increase by 0.001–0.017 and 0.000–0.012 across the datasets, while those of previous method-regularized graphics decrease by 0.002–0.021 and 0.002–0.015. The regularized graphics contribute to improving the precision and depth of semantic segmentation-based applications of building facades. They are also expected to be useful for the exploration of data mining on urban images in the future. Full article
(This article belongs to the Section Architectural Design, Urban Science, and Real Estate)
Show Figures

Figure 1

25 pages, 12510 KB  
Article
Computer Vision-Based Optical Odometry Sensors: A Comparative Study of Classical Tracking Methods for Non-Contact Surface Measurement
by Ignas Andrijauskas, Marius Šumanas, Andrius Dzedzickis, Wojciech Tanaś and Vytautas Bučinskas
Sensors 2025, 25(19), 6051; https://doi.org/10.3390/s25196051 - 1 Oct 2025
Viewed by 443
Abstract
This article presents a principled framework for selecting and tuning classical computer vision algorithms in the context of optical displacement sensing. By isolating key factors that affect algorithm behavior—such as feed window size and motion step size—the study seeks to move beyond intuition-based [...] Read more.
This article presents a principled framework for selecting and tuning classical computer vision algorithms in the context of optical displacement sensing. By isolating key factors that affect algorithm behavior—such as feed window size and motion step size—the study seeks to move beyond intuition-based practices and provide rigorous, repeatable performance evaluations. Computer vision-based optical odometry sensors offer non-contact, high-precision measurement capabilities essential for modern metrology and robotics applications. This paper presents a systematic comparative analysis of three classical tracking algorithms—phase correlation, template matching, and optical flow—for 2D surface displacement measurement using synthetic image sequences with subpixel-accurate ground truth. A virtual camera system generates controlled test conditions using a multi-circle trajectory pattern, enabling systematic evaluation of tracking performance using 400 × 400 and 200 × 200 pixel feed windows. The systematic characterization enables informed algorithm selection based on specific application requirements rather than empirical trial-and-error approaches. Full article
(This article belongs to the Section Optical Sensors)
Show Figures

Figure 1

24 pages, 18326 KB  
Article
A Human Intention and Motion Prediction Framework for Applications in Human-Centric Digital Twins
by Usman Asad, Azfar Khalid, Waqas Akbar Lughmani, Shummaila Rasheed and Muhammad Mahabat Khan
Biomimetics 2025, 10(10), 656; https://doi.org/10.3390/biomimetics10100656 - 1 Oct 2025
Viewed by 425
Abstract
In manufacturing settings where humans and machines collaborate, understanding and predicting human intention is crucial for enabling the seamless execution of tasks. This knowledge is the basis for creating an intelligent, symbiotic, and collaborative environment. However, current foundation models often fall short in [...] Read more.
In manufacturing settings where humans and machines collaborate, understanding and predicting human intention is crucial for enabling the seamless execution of tasks. This knowledge is the basis for creating an intelligent, symbiotic, and collaborative environment. However, current foundation models often fall short in directly anticipating complex tasks and producing contextually appropriate motion. This paper proposes a modular framework that investigates strategies for structuring task knowledge and engineering context-rich prompts to guide Vision–Language Models in understanding and predicting human intention in semi-structured environments. Our evaluation, conducted across three use cases of varying complexity, reveals a critical tradeoff between prediction accuracy and latency. We demonstrate that a Rolling Context Window strategy, which uses a history of frames and the previously predicted state, achieves a strong balance of performance and efficiency. This approach significantly outperforms single-image inputs and computationally expensive in-context learning methods. Furthermore, incorporating egocentric video views yields a substantial 10.7% performance increase in complex tasks. For short-term motion forecasting, we show that the accuracy of joint position estimates is enhanced by using historical pose, gaze data, and in-context examples. Full article
Show Figures

Graphical abstract

21 pages, 4285 KB  
Article
Spatiotemporal Modeling and Intelligent Recognition of Sow Estrus Behavior for Precision Livestock Farming
by Kaidong Lei, Bugao Li, Hua Yang, Hao Wang, Di Wang and Benhai Xiong
Animals 2025, 15(19), 2868; https://doi.org/10.3390/ani15192868 - 30 Sep 2025
Viewed by 185
Abstract
Accurate recognition of estrus behavior in sows is of great importance for achieving scientific breeding management, improving reproductive efficiency, and reducing labor costs in modern pig farms. However, due to the evident spatiotemporal continuity, stage-specific changes, and ambiguous category boundaries of estrus behaviors, [...] Read more.
Accurate recognition of estrus behavior in sows is of great importance for achieving scientific breeding management, improving reproductive efficiency, and reducing labor costs in modern pig farms. However, due to the evident spatiotemporal continuity, stage-specific changes, and ambiguous category boundaries of estrus behaviors, traditional methods based on static images or manual observation suffer from low efficiency and high misjudgment rates in practical applications. To address these issues, this study follows a video-based behavior recognition approach and designs three deep learning model structures: (Convolutional Neural Network combined with Long Short-Term Memory) CNN + LSTM, (Three-Dimensional Convolutional Neural Network) 3D-CNN, and (Convolutional Neural Network combined with Temporal Convolutional Network) CNN + TCN, aiming to achieve high-precision recognition and classification of four key behaviors (SOB, SOC, SOS, SOW) during the estrus process in sows. In terms of data processing, a sliding window strategy was adopted to slice the annotated video sequences, constructing image sequence samples with uniform length. The training, validation, and test sets were divided in a 6:2:2 ratio, ensuring balanced distribution of behavior categories. During model training and evaluation, a systematic comparative analysis was conducted from multiple aspects, including loss function variation (Loss), accuracy, precision, recall, F1-score, confusion matrix, and ROC-AUC curves. Experimental results show that the CNN + TCN model performed best overall, with validation accuracy exceeding 0.98, F1-score approaching 1.0, and an average AUC value of 0.9988, demonstrating excellent recognition accuracy and generalization ability. The 3D-CNN model performed well in recognizing short-term dynamic behaviors (such as SOC), achieving a validation F1-score of 0.91 and an AUC of 0.770, making it suitable for high-frequency, short-duration behavior recognition. The CNN + LSTM model exhibited good robustness in handling long-duration static behaviors (such as SOB and SOS), with a validation accuracy of 0.99 and an AUC of 0.9965. In addition, this study further developed an intelligent recognition system with front-end visualization, result feedback, and user interaction functions, enabling local deployment and real-time application of the model in farming environments, thus providing practical technical support for the digitalization and intelligentization of reproductive management in large-scale pig farms. Full article
Show Figures

Figure 1

32 pages, 9638 KB  
Article
MSSA: A Multi-Scale Semantic-Aware Method for Remote Sensing Image–Text Retrieval
by Yun Liao, Zongxiao Hu, Fangwei Jin, Junhui Liu, Nan Chen, Jiayi Lv and Qing Duan
Remote Sens. 2025, 17(19), 3341; https://doi.org/10.3390/rs17193341 - 30 Sep 2025
Viewed by 326
Abstract
In recent years, the convenience and potential for information extraction offered by Remote Sensing Image–Text Retrieval (RSITR) have made it a significant focus of research in remote sensing (RS) knowledge services. Current mainstream methods for RSITR generally align fused image features at multiple [...] Read more.
In recent years, the convenience and potential for information extraction offered by Remote Sensing Image–Text Retrieval (RSITR) have made it a significant focus of research in remote sensing (RS) knowledge services. Current mainstream methods for RSITR generally align fused image features at multiple scales with textual features, primarily focusing on the local information of RS images while neglecting potential semantic information. This results in insufficient alignment in the cross-modal semantic space. To overcome this limitation, we propose a Multi-Scale Semantic-Aware Remote Sensing Image–Text Retrieval method (MSSA). This method introduces Progressive Spatial Channel Joint Attention (PSCJA), which enhances the expressive capability of multi-scale image features through Window-Region-Global Progressive Attention (WRGPA) and Segmented Channel Attention (SCA). Additionally, the Image-Guided Text Attention (IGTA) mechanism dynamically adjust textual attention weights based on visual context. Furthermore, the Cross-Modal Semantic Extraction Module (CMSE) incorporated learnable semantic tokens at each scale, enabling attention interaction between multi-scale features of different modalities and the capturing of hierarchical semantic associations. This multi-scale semantic-guided retrieval method ensures cross-modal semantic consistency, significantly improving the accuracy of cross-modal retrieval in RS. MSSA demonstrates superior retrieval accuracy in experiments across three baseline datasets, achieving a new state-of-the-art performance. Full article
(This article belongs to the Section Remote Sensing Image Processing)
Show Figures

Figure 1

17 pages, 3854 KB  
Article
Denoising and Mosaicking Methods for Radar Images of Road Interiors
by Changrong Li, Zhiyong Huang, Bo Zang and Huayang Yu
Appl. Sci. 2025, 15(19), 10485; https://doi.org/10.3390/app151910485 - 28 Sep 2025
Viewed by 235
Abstract
Three-dimensional ground-penetrating radar can quickly visualize the internal condition of the road; however, it faces challenges such as data splicing difficulties and image noise interference. Scanning antenna and lane size differences, as well as equipment and environmental interference, make the radar image difficult [...] Read more.
Three-dimensional ground-penetrating radar can quickly visualize the internal condition of the road; however, it faces challenges such as data splicing difficulties and image noise interference. Scanning antenna and lane size differences, as well as equipment and environmental interference, make the radar image difficult to interpret, which affects disease identification accuracy. For this reason, this paper focuses on road radar image splicing and noise reduction. The primary research includes the following: (1) We make use of backward projection imaging algorithms to visualize the internal information of the road, combined with a high-precision positioning system, splicing of multi-lane data, and the use of bilinear interpolation algorithms to make the three-dimensional radar data uniformly distributed. (2) Aiming at the defects of the low computational efficiency of the traditional adaptive median filter sliding window, a Deep Q-learning algorithm is introduced to construct a reward and punishment mechanism, and the feedback reward function quickly determines the filter window size. The results show that the method is outstanding in improving the peak signal-to-noise ratio, compared with the traditional algorithm, improving the denoising performance by 2–7 times. It effectively suppresses multiple noise types while precisely preserving fine details such as 0.1–0.5 mm microcrack edges, significantly enhancing image clarity. After processing, images were automatically recognized using YOLOv8x. The detection rate for transverse cracks in images improved significantly from being undetectable in mixed noise and original images to exceeding 90% in damage detection. This effectively validates the critical role of denoising in enhancing the automatic interpretation capability of internal road cracks. Full article
Show Figures

Figure 1

19 pages, 3619 KB  
Article
Surface Urban Heat Island Risk Index Computation Using Remote-Sensed Data and Meta Population Dataset on Naples Urban Area (Italy)
by Massimo Musacchio, Alessia Scalabrini, Malvina Silvestri, Federico Rabuffi and Antonio Costanzo
Remote Sens. 2025, 17(19), 3306; https://doi.org/10.3390/rs17193306 - 26 Sep 2025
Viewed by 389
Abstract
Extreme climate events such as heatwaves are becoming more frequent and pose serious challenges in cities. Urban areas are particularly vulnerable because built surfaces absorb and release heat, while human activities generate additional greenhouse gases. This increases health risks, making it crucial to [...] Read more.
Extreme climate events such as heatwaves are becoming more frequent and pose serious challenges in cities. Urban areas are particularly vulnerable because built surfaces absorb and release heat, while human activities generate additional greenhouse gases. This increases health risks, making it crucial to study population exposure to heat stress. This research focuses on Naples, Italy’s most densely populated city, where intense human activity and unique geomorphological conditions influence local temperatures. The presence of a Surface Urban Heat Island (SUHI) is assessed by deriving high-resolution Land Surface Temperature (LST) in a time series ranging from 2013 to 2023, processed with the Statistical Mono Window (SMW) algorithm in the Google Earth Engine (GEE) environment. SMW needs brightness temperature (Tb) extracted from a Landsat 8 (L8) Thermal InfraRed Sensor (TIRS), emissivity from Advanced Spaceborne and Thermal Emission Radiometer Global Emissivity Database (ASTERGED), and atmospheric correction coefficients from the National Center for Environmental Prediction and Atmospheric Research (NCEP/NCAR). A total of 64 nighttime images were processed and analyzed to assess long-term trends and identify the main heat islands in Naples. The hottest image was compared with population data, including demographic categories such as children, elderly people, and pregnant women. A risk index was calculated by combining temperature values, exposure levels, and the vulnerability of each group. Results identified three major heat islands, showing that risk is strongly linked to both population density and heat island distribution. Incorporating Local Climate Zone (LCZ) classification further highlighted the urban areas most prone to extreme heat based on morphology. Full article
Show Figures

Graphical abstract

Back to TopTop