Empirical Formula for Estimating Collapse Pressure of Dented Sandwich Pipes
Abstract
1. Introduction
2. Numerical Model and Results Verifications
2.1. Finite Element Model
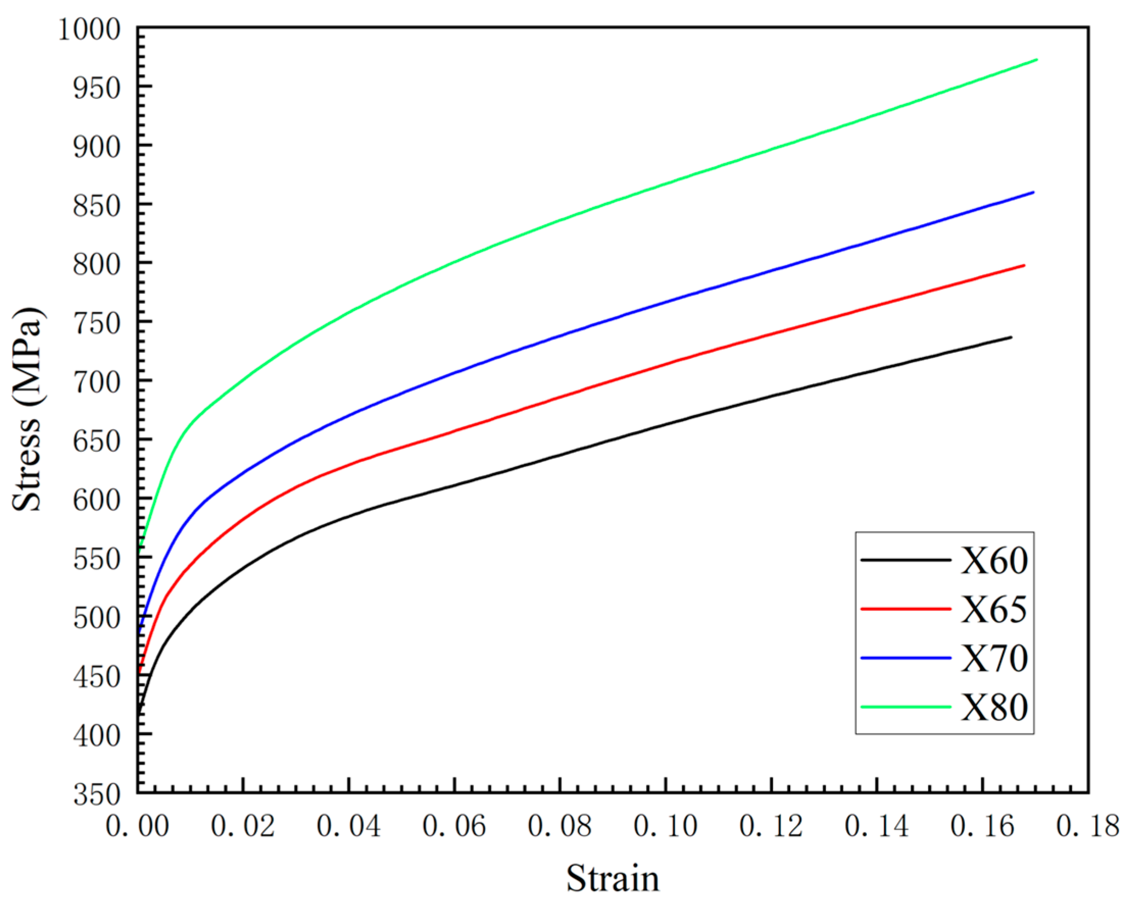
2.2. Material Properties
2.3. Numerical Model Calibration
2.4. Numerical Model Assumptions and Future Research Directions
3. Parametric Studies
3.1. Influences of Dent Parameters on the Collapse of the SP
3.1.1. Influence of the Dent Depth
3.1.2. Influence of the Dent Geometric Configuration
3.2. Influences of Geometric Parameters on the Collapse of SPs
3.2.1. Influence of the Inner Pipe Thickness-to-Diameter Ratio (ti/Di)
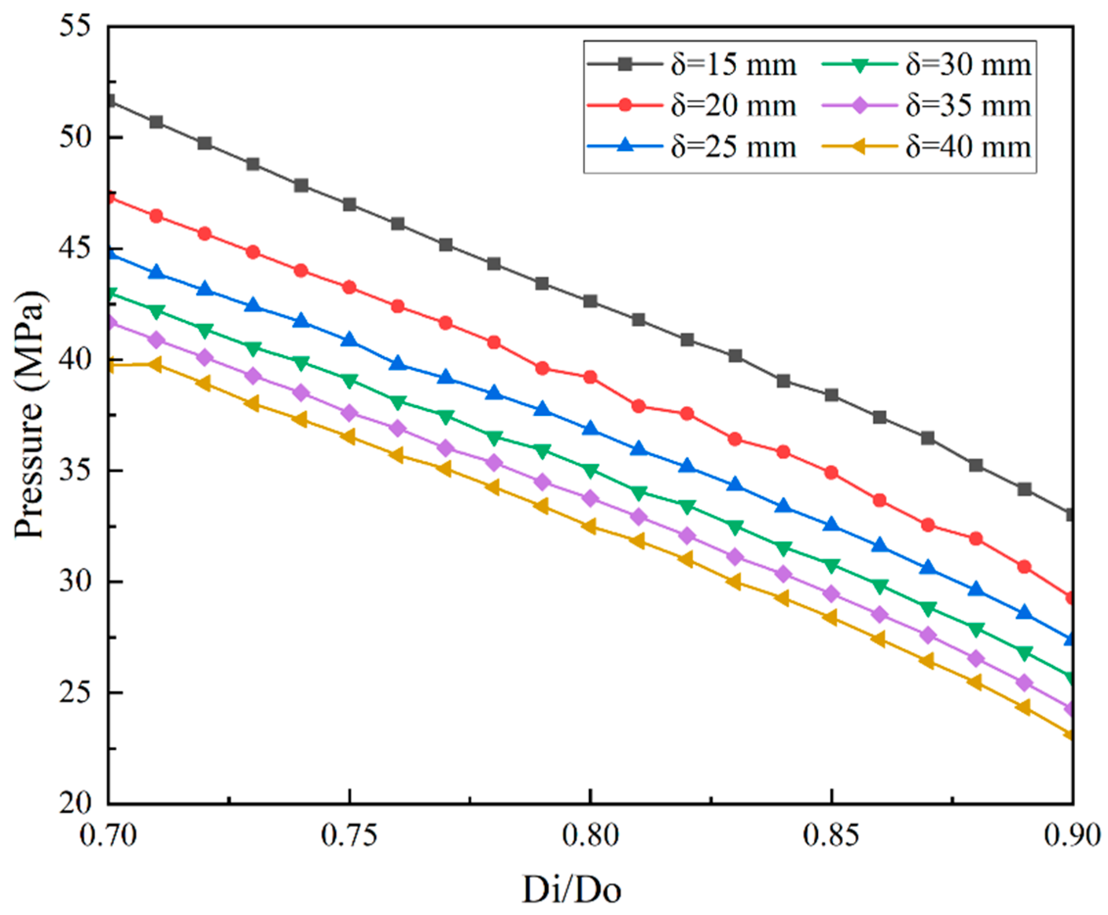
3.2.2. Influence of the Core Thickness (Di/Do)
3.2.3. Influence of the Outer Pipe Thickness-to-Diameter Ratio (to/Do)
3.2.4. Comparison of the Effects of Di/Do
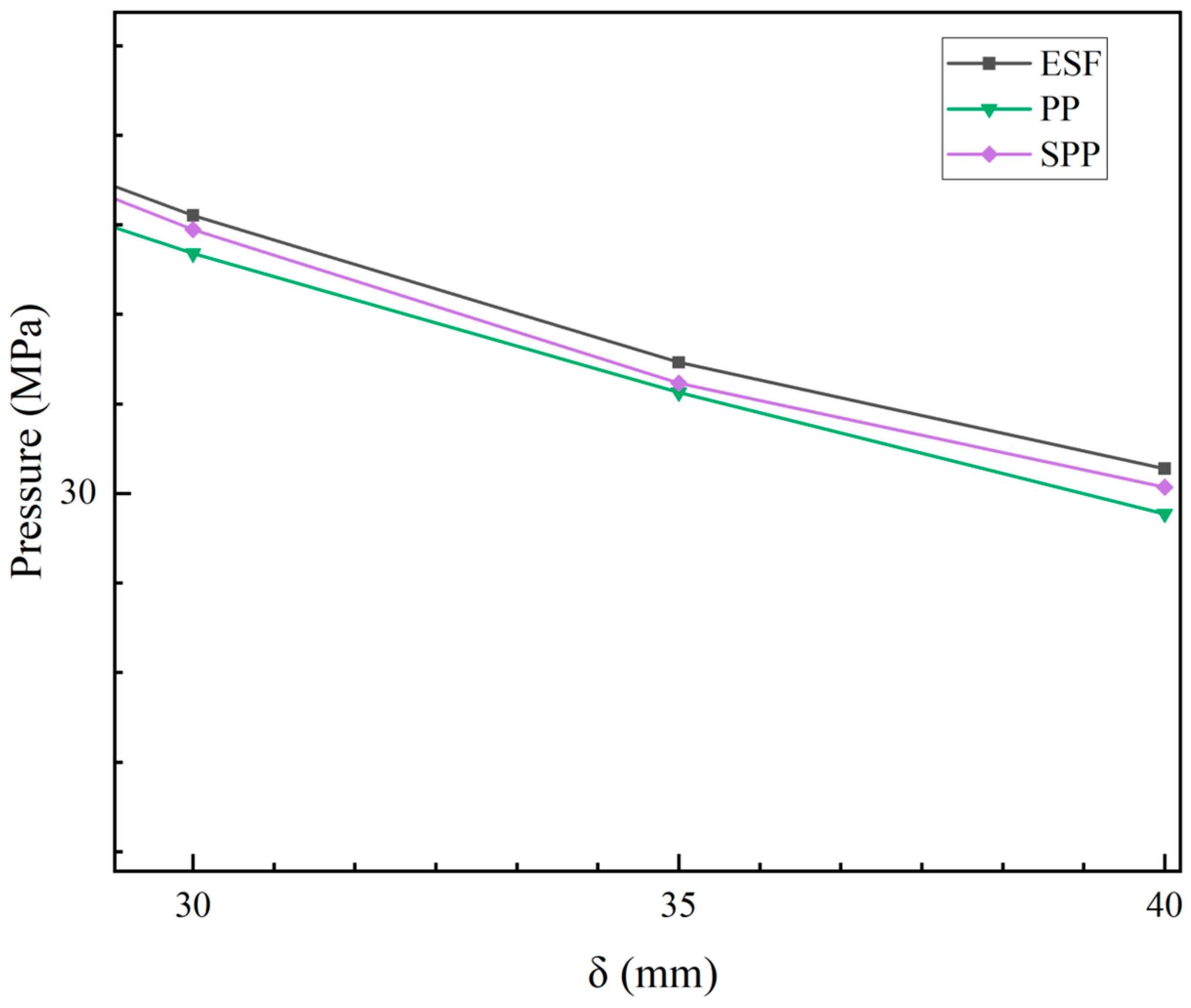
3.3. Influences of Material Parameters on the Collapse of SPs
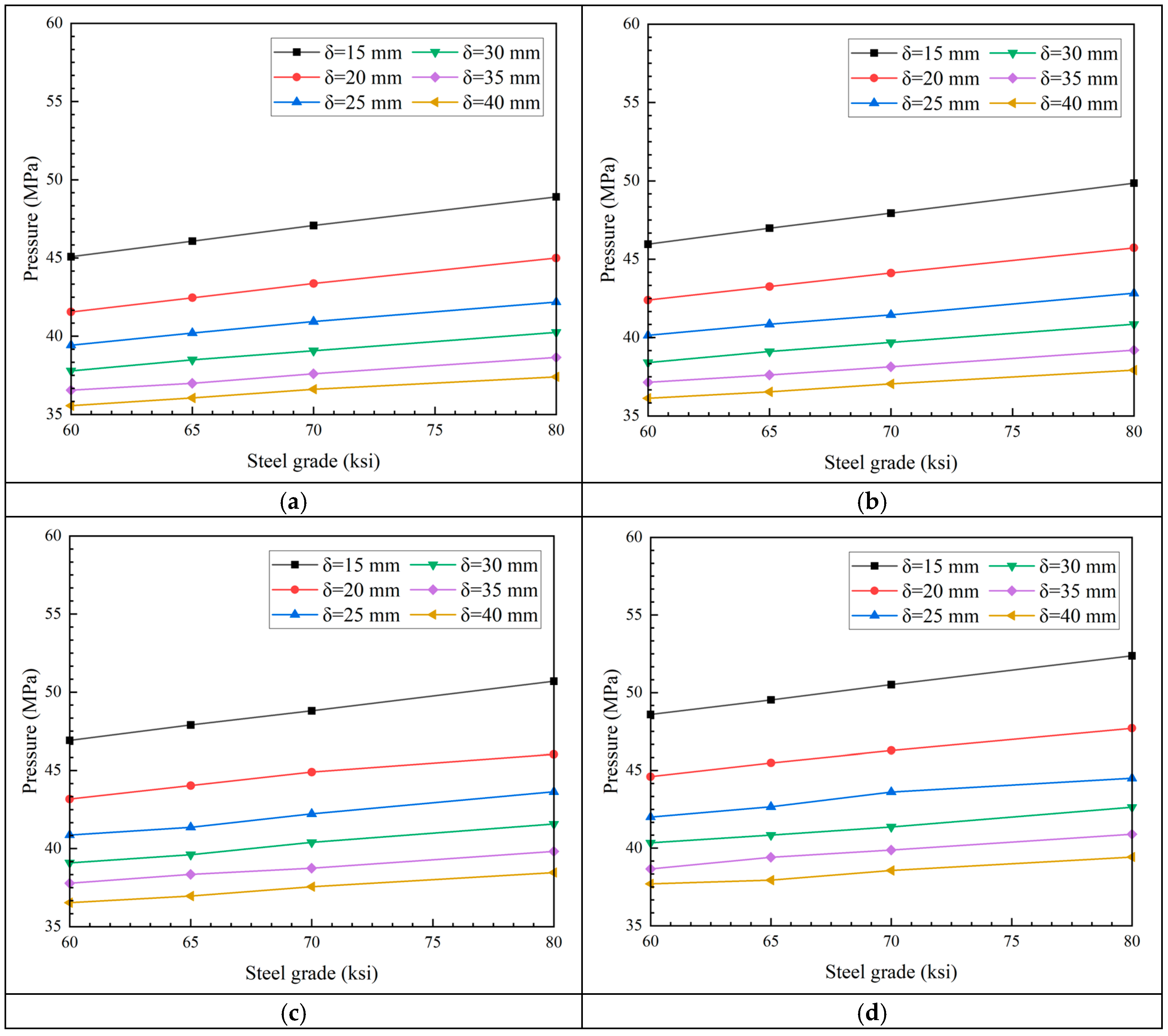
3.3.1. Influence of the Steel Pipe Material
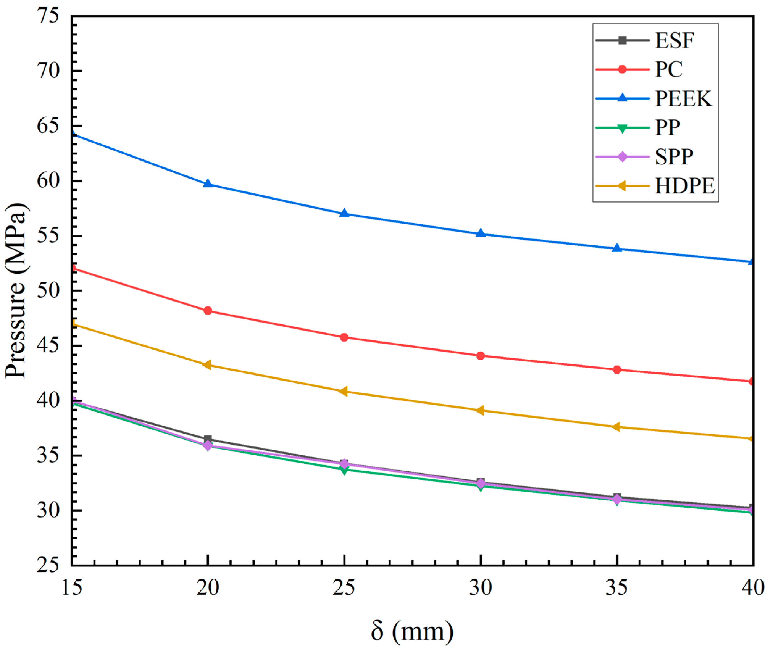
3.3.2. Influence of the Core Material
4. A Simplified and Empirical Equation
5. Conclusions
Author Contributions
Funding
Data Availability Statement
Conflicts of Interest
Abbreviations
| PCO | collapse pressure of intact SP |
| Di | diameter of the inner layer |
| Dc | diameter of the core layer |
| ti | wall thickness of the inner pipe |
| tc | wall thickness of the core layer |
| σx | yield stress |
| Dmax | maximum diameter of a pipe cross-section |
| Pcod | collapse pressure of dented SP |
| Do | diameter of the outer layer |
| δ | indentation depth |
| to | wall thickness of the outer pipe |
| Ex | Young’s modulus |
| Δmax | ellipticity of defective sandwich pipes |
| Dmin | minimum diameter of a pipe cross-section |
| SPP | solid polypropylene |
| PC | polycarbonate |
| HDPF | high-density polyimide foam |
| PP | polypropylene |
| PEEK | polyetheretherketone |
| ESF | epoxy syntactic |
References
- Liu, J.; Ma, J.; Vaz, M.A.; Duan, M. Viscoelastic damping of flexible risers: Theoretical model. Ocean Eng. 2019, 83, 37–47. [Google Scholar] [CrossRef]
- Liu, J.; Ma, J.; Vaz, M.A.; Duan, M. Axisymmetric structural behaviours of composite tensile armoured flexible pipes. Mar. Struct. 2020, 74, 103024. [Google Scholar] [CrossRef]
- Hu, P.; Liu, X.; Gao, H.; Liu, Z.; Li, Y.; Hu, X.; Chang, Y.; Chen, G.; Sun, M.; Guo, X. Three-dimensional VIV characteristics of a flexible riser considering parameters uncertainty. Mar. Struct. 2026, 108, 104037. [Google Scholar] [CrossRef]
- Wang, Y.; Lou, M.; Tong, B.; Wang, S. Effect of temperature on tensile properties of reinforced thermoplastic pipes. Compos. Struct. 2020, 241, 112119. [Google Scholar] [CrossRef]
- Wang, Y.; Lou, M.; Wang, Y. Stochastic analysis of failure pressure in reinforced thermoplastic pipes under axial loading and external pressure. Ocean Eng. 2021, 240, 109963. [Google Scholar] [CrossRef]
- An, C.; Su, J. Lumped models for transient thermal analysis of a multilayered composite pipeline with active heating. Appl. Therm. Eng. 2015, 87, 749–759. [Google Scholar] [CrossRef]
- An, C.; Duan, M.; Estefen, S.F.; Su, J. Structural and Thermal Analyses of Deepwater Pipes; Springer: Cham, Switzerland, 2021. [Google Scholar]
- Kyriakides, S.; Netto, T. On the dynamics of propagating buckles in pipelines. Int. J. Solids Struct. 2000, 37, 6843–6867. [Google Scholar] [CrossRef]
- Kyriakides, S. Buckle propagation in pipe-in-pipe systems. Part I. Experiments. Int. J. Solids Struct. 2002, 39, 351–366. [Google Scholar] [CrossRef]
- Kyriakides, S.; Vogler, T.J. Buckle propagation in pipe-in-pipe systems. Part II. analysis. Int. J. Solids Struct. 2002, 39, 367–392. [Google Scholar] [CrossRef]
- Kyriakides, S.; Netto, T. On the dynamic propagation and arrest of buckles in pipe-in-pipe systems. Int. J. Solids Struct. 2004, 41, 5463–5482. [Google Scholar] [CrossRef]
- Netto, T.; Kyriakides, S. Dynamic performance of integral buckle arrestors for offshore pipelines. Part I: Experiments. Int. J. Mech. Sci. 2000, 42, 1405–1423. [Google Scholar] [CrossRef]
- Netto, T.; Kyriakides, S. Dynamic performance of integral buckle arrestors for offshore pipelines. Part II: Analysis. Int. J. Mech. Sci. 2000, 42, 1425–1452. [Google Scholar] [CrossRef]
- Xue, J.; Fatt, M.S.H. Buckle propagation in pipelines with non-uniform thickness. Ocean Eng. 2001, 28, 1383–1392. [Google Scholar] [CrossRef]
- Xue, J.H. A non-linear finite-element analysis of buckle propagation in subsea corroded pipelines. Finite Elem. Anal. Des. 2006, 42, 1211–1219. [Google Scholar] [CrossRef]
- Gong, S.; Sun, B.; Bao, S.; Bai, Y. Buckle propagation of offshore pipelines under external pressure. Mar. Struct. 2012, 29, 115–130. [Google Scholar] [CrossRef]
- Gong, S.; Li, G. Buckle propagation of pipe-in-pipe systems under external pressure. Eng. Struct. 2015, 84, 207–222. [Google Scholar] [CrossRef]
- Yu, J.-X.; Duan, J.-H.; Sun, Z.-Z.; Yu, Y.; Wu, M.-N. The crossover mechanisms of integral buckle arrestors for offshore pipelines. Appl. Ocean Res. 2017, 67, 236–247. [Google Scholar] [CrossRef]
- Guggenberger, W. Buckling and postbuckling of imperfect cylindrical shells under external pressure. Thin-Walled Struct. 1995, 23, 351–366. [Google Scholar] [CrossRef]
- Park, T.D.; Kyriakides, S. On the collapse of dented cylinders under external pressure. Int. J. Mech. Sci. 1996, 38, 557–578. [Google Scholar] [CrossRef]
- Fan, Z.; Yu, J.; Sun, Z.; Wang, H. Effect of axial length parameters of ovality on the collapse pressure of offshore pipelines. Thin-Walled Struct. 2017, 116, 19–25. [Google Scholar] [CrossRef]
- Yu, C.; Qiu, B.; Hu, J.; Zhang, J. Mechanical behavior and evaluation of dented pipe caused by a cylindrical indenter. J. Fail. Anal. Prev. 2019, 19, 519–535. [Google Scholar] [CrossRef]
- Liu, M.; Zhou, H.G.; Wang, B.; Wang, Y.Y.; Bergman, J.; Ayton, B.; Stephens, M. Strain-Based Design and Assessment in Critical Areas of Pipeline Systems with Realistic Anomalies; Center for Reliable Energy Systems: Dublin, OH, USA, 2017. [Google Scholar]
- Cai, J.; Jiang, X.; Lodewijks, G.; Pei, Z.; Wu, W. Residual ultimate strength of damaged seamless metallic pipelines with metal loss. Mar. Struct. 2018, 58, 242–253. [Google Scholar] [CrossRef]
- Ferraz, C.; Netto, T.A. On the collapse pressure of dented pipelines for deepwater applications. Ocean Eng. 2025, 340, 122083. [Google Scholar] [CrossRef]
- Ramasamy, R.; Ya, T.T. Nonlinear finite element analysis of collapse and post-collapse behaviour in dented submarine pipelines. Appl. Ocean Res. 2014, 46, 116–123. [Google Scholar] [CrossRef]
- Ravaliya, N.R.; Gupta, P.K. Evaluating impact response of X65 pipelines under diverse impactor shapes: A numerical investigation. Eng. Fail. Anal. 2025, 182, 109997. [Google Scholar] [CrossRef]
- Phuor, T.; Trapper, P.A.; Ganz, A. An Analytical Expression for the Fundamental Frequency of a Long Free-Spanning Submarine Pipeline. Mathematics 2023, 11, 4481. [Google Scholar] [CrossRef]
- Phuor, T.; Trapper, P.A.; Urlainis, A.; Ganz, A. Computational Investigation of Long Free-Span Submarine Pipelines with Buoyancy Modules Using an Automated Python–Abaqus Framework. Mathematics 2025, 13, 1387. [Google Scholar] [CrossRef]
- Netto, T.A.; Santos, J.M.C.; Estefen, S.F. Sandwich pipes for ultra-deep waters. In Proceedings of the International Pipeline Conference, Calgary, AB, Canada, 29 September–3 October 2002; Volume 36207, pp. 2093–2101. [Google Scholar]
- Estefen, S.F.; Netto, T.A.; Pasqualino, I.P. Strength analyses of sandwich pipes for ultra-deep waters. J. Appl. Mech. Trans. ASME 2005, 72, 599–608. [Google Scholar] [CrossRef]
- Castello, X.; Estefen, S. Limit strength and reeling effects of sandwich pipes with bonded layers. Int. J. Mech. Sci. 2007, 49, 577–588. [Google Scholar] [CrossRef]
- An, C.; Castello, X.; Duan, M.; Toledo Filho, R.D.; Estefen, S.F. Ultimate strength behaviour of sandwich pipes filled with steel fiber reinforced concrete. Ocean Eng. 2012, 55, 125–135. [Google Scholar] [CrossRef]
- An, C.; Duan, M.; Toledo Filho, R.D.; Estefen, S.F. Collapse of sandwich pipes with PVA fiber reinforced cementitious composites core under external pressure. Ocean Eng. 2014, 82, 1–13. [Google Scholar] [CrossRef]
- An, C.; Duan, M.; Estefen, S.F.; Su, J. Sandwich pipe: Reel-lay installation effects. In Structural and Thermal Analyses of Deepwater Pipes; Springer International Publishing: Cham, Switzerland, 2015; p. OMAE2015-41089. [Google Scholar]
- He, T.; Duan, M.; Wang, J.; Lv, S.; An, C. On the external pressure capacity of deepwater sandwich pipes with inter-layer adhesion conditions. Appl. Ocean Res. 2015, 52, 115–124. [Google Scholar] [CrossRef]
- Hashemian, R.; Mohareb, M. Buckling finite element formulation for sandwich pipes under external pressure. Int. J. Press. Vessel. Pip. 2016, 147, 41–54. [Google Scholar] [CrossRef]
- Hashemina, R.; Mohareb, M. Finite difference model for the buckling analysis of sandwich pipes under external pressure. Ocean Eng. 2016, 122, 172–185. [Google Scholar] [CrossRef]
- Xue, J.; Wang, Y.; Yuan, D. A shear deformation theory for bending and buckling of undersea sandwich pipes. Compos. Struct. 2015, 132, 633–643. [Google Scholar] [CrossRef]
- Jin, Z.; Shen, X.; Yan, S.; Ye, H.; Gao, Z.; Chen, Z. A three-dimensional analytical solution for sandwich pipe systems under linearly varying external pressures. Ocean Eng. 2016, 124, 298–305. [Google Scholar] [CrossRef]
- Yang, J.; Paz, C.M.; Estefen, S.F.; Fu, G.; Lourenço, M.I. Collapse pressure of sandwich pipes with strain-hardening cementitious composite—Part 1: Experiments and parametric study. Thin-Walled Struct. 2020, 148, 106605. [Google Scholar] [CrossRef]
- Yang, J.; Estefen, S.F.; Fu, G.; Paz, C.M.; Lourenco, M.I. Collapse pressure of sandwich pipes with strain-hardening cementitious composite—Part 2: A suitable prediction equation. Thin-Walled Struct. 2020, 148, 106606. [Google Scholar] [CrossRef]
- Fu, G.; Paz, C.M.; Chujutalli, J.A.H.; Lourenço, M.I.; de Lima, D.B.; Li, Y.; Filho, R.T.; Estefen, S.F. Sandwich pipes with strain hardening cementitious composites (SHCC): Numerical analyses. In International Conference on Offshore Mechanics and Arctic Engineering; American Society of Mechanical Engineers: New York, NY, USA, 2014; p. OMAE2014-23507. [Google Scholar]
- Fu, G.; Estefen, S.F.; Lourenço, M.; Yang, J.; Paz, C.M.; Duan, M. Buckle propagation of damaged SHCC sandwich pipes: Experimental tests and numerical simulation. Mar. Struct. 2021, 77, 102976. [Google Scholar] [CrossRef]
- Li, R.; Chen, B.; Soares, C.G. Design equation for the effect of ovality on the collapse strength of sandwich pipes. Ocean Eng. 2021, 235, 109637. [Google Scholar] [CrossRef]
- Wang, M.; Gao, W.; Wang, F.; Zhao, X.; Zhang, J. Theoretical, numerical, and experimental analyses of the buckling of thin-walled sandwich cylindrical shells subjected to external pressure. Ocean Eng. 2025, 327, 120950. [Google Scholar] [CrossRef]
- Cheng, H.; Pinheiro, B.C.; Estefen, S.F.; Xu, L.; Paz, C.M.; Duan, M. Ultimate bending strength of sandwich pipes with actual interlayer behavior. Thin-Walled Struct. 2021, 161, 107476. [Google Scholar] [CrossRef]
- Cheng, H.; Paz, C.M.; Pinheiro, B.C.; Estefen, S.F. Experimentally based parameters applied to the concrete damage plasticity model for strain hardening cementitious composite in sandwich pipes. Mater. Struct. 2020, 53, 78. [Google Scholar] [CrossRef]
- Xu, Q.; Gong, S.; Hu, Q. Collapse analyses of sandwich pipes under external pressure considering inter-layer adhesion behaviour. Mar. Struct. 2016, 50, 72–94. [Google Scholar] [CrossRef]
- Fernández-Valdés, D.; Vázquez-Hernández, A.; Ortega-Herrera, J.; Ocampo-Ramírez, A.; Hernández, D. FEM-based evaluation of friction and initial imperfections effects on sandwich pipes local buckling. Mar. Struct. 2020, 72, 102769. [Google Scholar] [CrossRef]
- Arjomandi, K.; Taheri, F. A new look at the external pressure capacity of sandwich pipes. Mar. Struct. 2011, 24, 23–42. [Google Scholar] [CrossRef]
- Arjomandi, K.; Taheri, F. The influence of intra-layer adhesion configuration on the pressure capacity and optimized configuration of sandwich pipes. Ocean Eng. 2011, 38, 1869–1882. [Google Scholar] [CrossRef]
- Arjomandi, K.; Taheri, F. Stability and post-buckling response of sandwich pipes under hydrostatic external pressure. Int. J. Press. Vessel. Pip. 2011, 88, 138–148. [Google Scholar] [CrossRef]
- Wan, F.; Guan, F.; Zhou, C.; Liu, S.; Yang, T. Pressure capacity of sandwich pipe with cement-based core configuration under deep-water external pressure. J. Sandw. Struct. Mater. 2020, 22, 1292–1326. [Google Scholar] [CrossRef]
- Wan, F.; Guan, F.; Deng, Y.; Liu, S.; Liu, Y.; Huang, P. Indentation response of pressurized sandwich pipes filled with cement composite under lateral loading. Ocean Eng. 2021, 224, 108736. [Google Scholar] [CrossRef]
- Yu, J.; Xu, W.; Chen, N.Z.; Jiang, S.; Xu, S.; Li, H.; Han, M. Effect of dent defects on the collapse pressure of sandwich pipes. Thin-Walled Struct. 2022, 170, 108608. [Google Scholar] [CrossRef]
- Wan, F.; Tian, H.; Guan, F.; Qi, C.; Liao, J. On the spring-back and re-rounding mechanism of a plain dent on the sandwich pipe. Ocean Eng. 2024, 313, 119491. [Google Scholar] [CrossRef]
- Tian, H.; Guan, F.; Wan, F.; Lv, C. A dimensionless prediction model for the dent depth of the inner pipe in a sandwich pipe. Ocean Eng. 2025, 340, 122380. [Google Scholar] [CrossRef]
- Fu, G.; Li, S.; Lian, P.; Yang, J.; Estefen, S.F. Empirical formula of buckle propagation pressure for sandwich pipes with polymer core material. Mar. Struct. 2024, 94, 103564. [Google Scholar] [CrossRef]
- Liu, X.; Zhou, C.; Wan, F.; Tian, H.; Chen, W.; Guan, F. The difference in dent characteristics between the inner and outer tubes of sandwich pipes under lateral loading. Ocean Eng. 2023, 271, 113726. [Google Scholar] [CrossRef]
- Chen, W.; Wan, F.; Guan, F.; Liu, X.; Yang, Y.; Zhou, C. The effect of seabed flexibility on the impact damage behavior of submarine sandwich pipes. Appl. Ocean Res. 2024, 142, 103838. [Google Scholar] [CrossRef]
- Yuan, L.; Li, Z.; Luo, Q.; Wang, C. Experimental and theoretical studies on the lateral collapse of mechanically lined pipes. Mar. Struct. 2023, 90, 103404. [Google Scholar] [CrossRef]
- Yu, J.; Xu, W.; Chen, N.; Jiang, S.; Xu, S.; Han, M. Local Buckling Characteristics of Stainless-Steel Polypropylene Deep-Sea Sandwich Pipe under Axial Tension and External Pressure. Energies 2021, 14, 4886. [Google Scholar] [CrossRef]


















| Material | Density (Kg/m3) | Yield Strength (MPa) | Elastic Modulus (MPa) | Poisson’s Ratio |
|---|---|---|---|---|
| HDPE | 500 | 35 | 1100 | 0.43 |
| SPP | 900 | 23 | 1000 | 0.2 |
| PEEK | 646 | 68 | 2331 | 0.18 |
| PC | 679 | 44 | 1599 | 0.22 |
| ESF | 720 | 22 | 1580 | 0.12 |
| PP | 900 | 21.8 | 1330 | 0.2 |
| Case | Do/mm | to/mm | Di/mm | ti/mm | Dc/mm | tc | Max Ovality/% |
|---|---|---|---|---|---|---|---|
| SP2-1 | 73.26 | 3.98 | 51.11 | 3.02 | 62.92 | 5.12 | 0.55 |
| SP2-2 | 73.18 | 3.98 | 51.02 | 3.06 | 62.96 | 5.08 | 6.24 |
| SP2-3 | 73.27 | 3.95 | 51.05 | 3.06 | 62.96 | 5.08 | 17.27 |
| Di/mm | Do/mm | ti/Di | Di/Do | to/Do | δ/mm | Dent Maker Radius/mm | Steel Grade | Core Layer Material |
|---|---|---|---|---|---|---|---|---|
| 213.36–386.08 | 304.8–406.4 | 0.005–0.05 | 0.7–0.96 | 0.01–0.08 | 5–40 mm | 35–55 mm | X60 X65 X70 X80 | HDPE ESF SPP PP PEEK PC |
| Case | Δ/% | Results Presented by Ref. [56] (MPa) | Predicted Results (MPa) | Error/% |
|---|---|---|---|---|
| 1 | 0.55 | 49.95 | 48.19 | 3.53 |
| 2 | 6.24 | 43.22 | 43.04 | 0.41 |
| 3 | 17.27 | 31.59 | 30.26 | 4.20 |
| 4 | 6.24 | 43.27 | 42.50 | 1.78 |
| 5 | 17.27 | 32.26 | 29.88 | 7.37 |
Disclaimer/Publisher’s Note: The statements, opinions and data contained in all publications are solely those of the individual author(s) and contributor(s) and not of MDPI and/or the editor(s). MDPI and/or the editor(s) disclaim responsibility for any injury to people or property resulting from any ideas, methods, instructions or products referred to in the content. |
© 2026 by the authors. Licensee MDPI, Basel, Switzerland. This article is an open access article distributed under the terms and conditions of the Creative Commons Attribution (CC BY) license.
Share and Cite
Zheng, Z.; Hu, Y.; Fu, G.; Song, M.; Estefen, S.F. Empirical Formula for Estimating Collapse Pressure of Dented Sandwich Pipes. J. Mar. Sci. Eng. 2026, 14, 631. https://doi.org/10.3390/jmse14070631
Zheng Z, Hu Y, Fu G, Song M, Estefen SF. Empirical Formula for Estimating Collapse Pressure of Dented Sandwich Pipes. Journal of Marine Science and Engineering. 2026; 14(7):631. https://doi.org/10.3390/jmse14070631
Chicago/Turabian StyleZheng, Zijian, Yihao Hu, Guangming Fu, Ming Song, and Segen F. Estefen. 2026. "Empirical Formula for Estimating Collapse Pressure of Dented Sandwich Pipes" Journal of Marine Science and Engineering 14, no. 7: 631. https://doi.org/10.3390/jmse14070631
APA StyleZheng, Z., Hu, Y., Fu, G., Song, M., & Estefen, S. F. (2026). Empirical Formula for Estimating Collapse Pressure of Dented Sandwich Pipes. Journal of Marine Science and Engineering, 14(7), 631. https://doi.org/10.3390/jmse14070631

