Bilayer TMDs for Future FETs: Carrier Dynamics and Device Implications
Abstract
1. Introduction
2. Device Geometry and Monte Carlo Simulation Framework
3. Band Structure and Phonon Spectrum
4. Scattering Mechanisms
4.1. Electron–Phonon Scattering
4.2. Dielectric Screening
4.3. Interface Plasmon–Phonon (IPP) Scattering
4.4. Landau Damping
4.5. Impurity Scattering and Dielectric Impact
5. Electronic Transport in Bilayer Transition Metal Dichalcogenides
6. Velocity-Field Characteristics
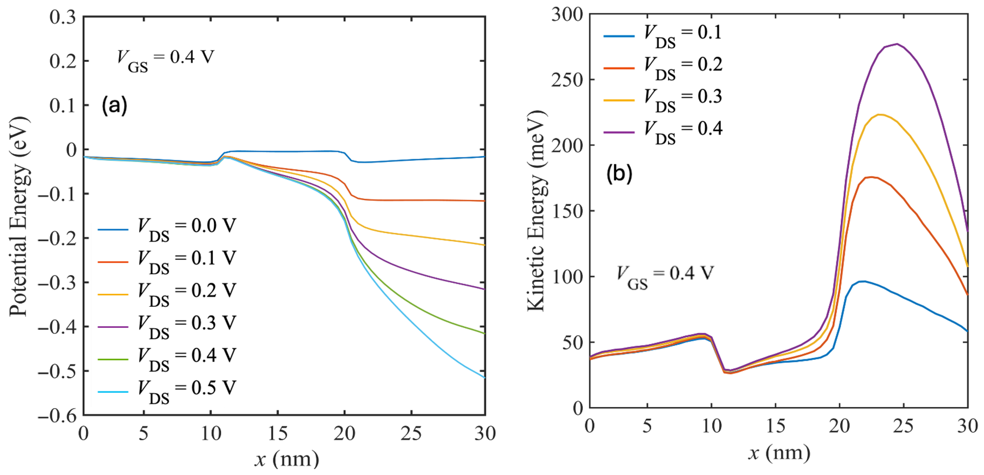
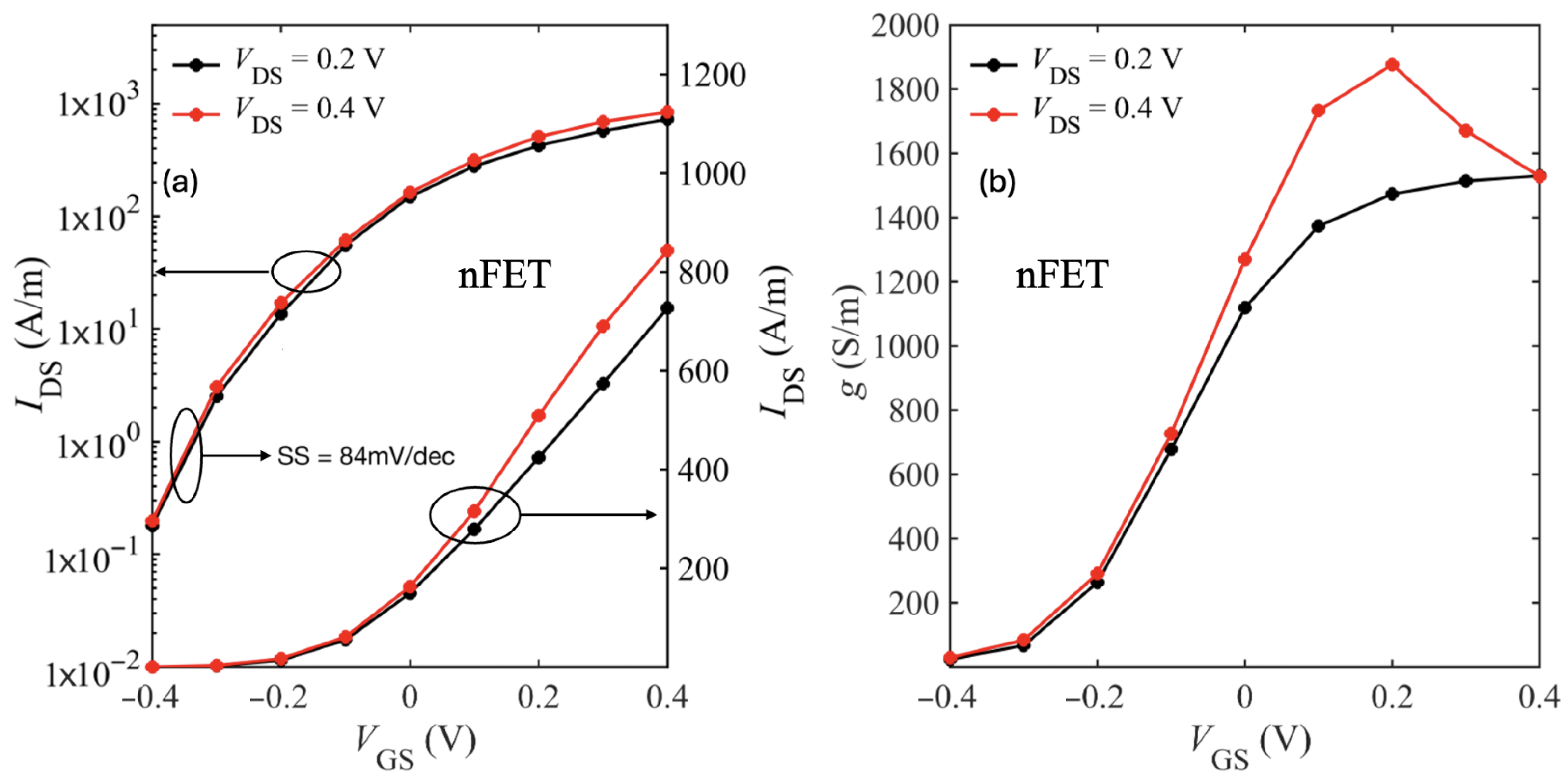
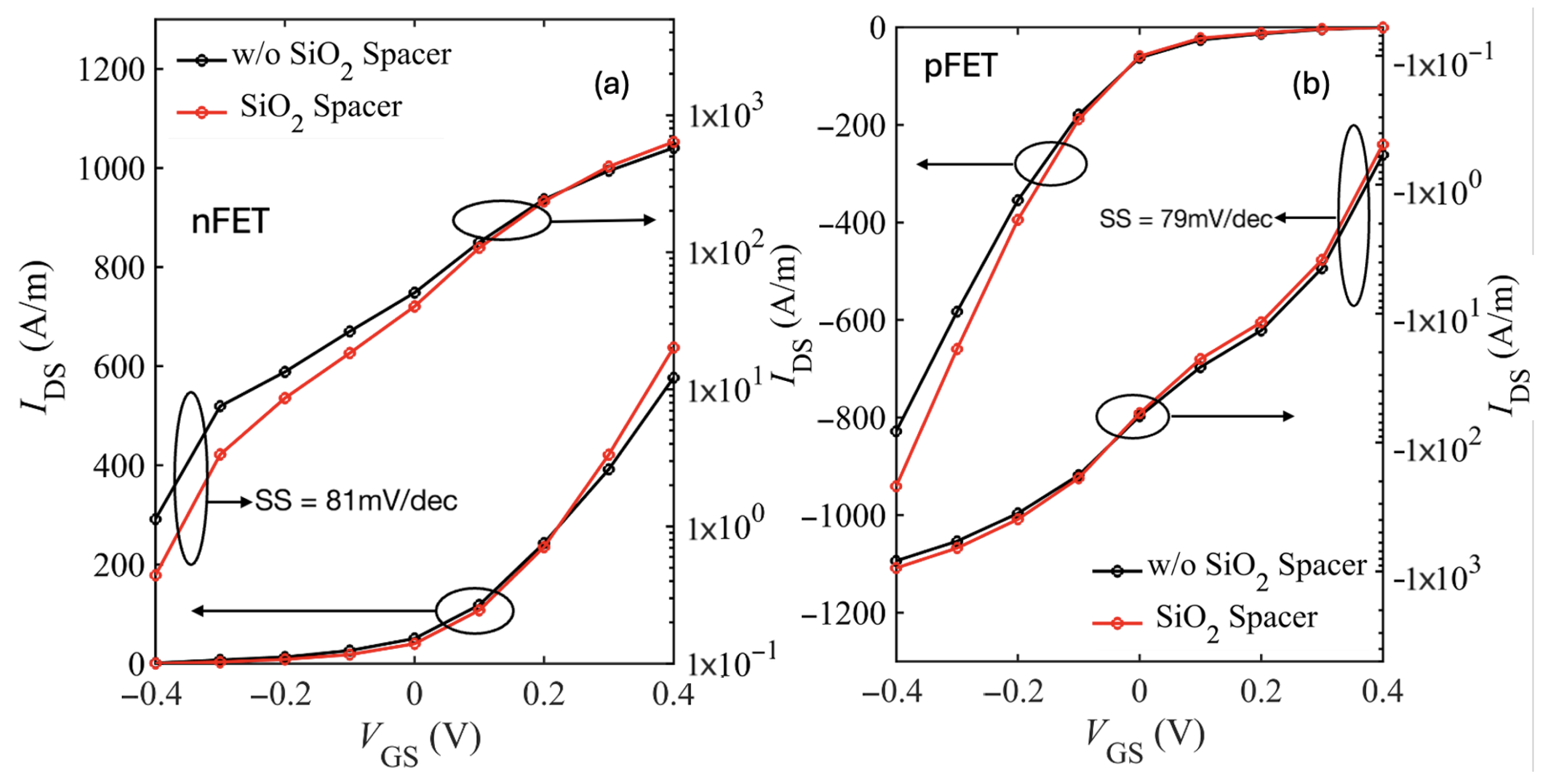
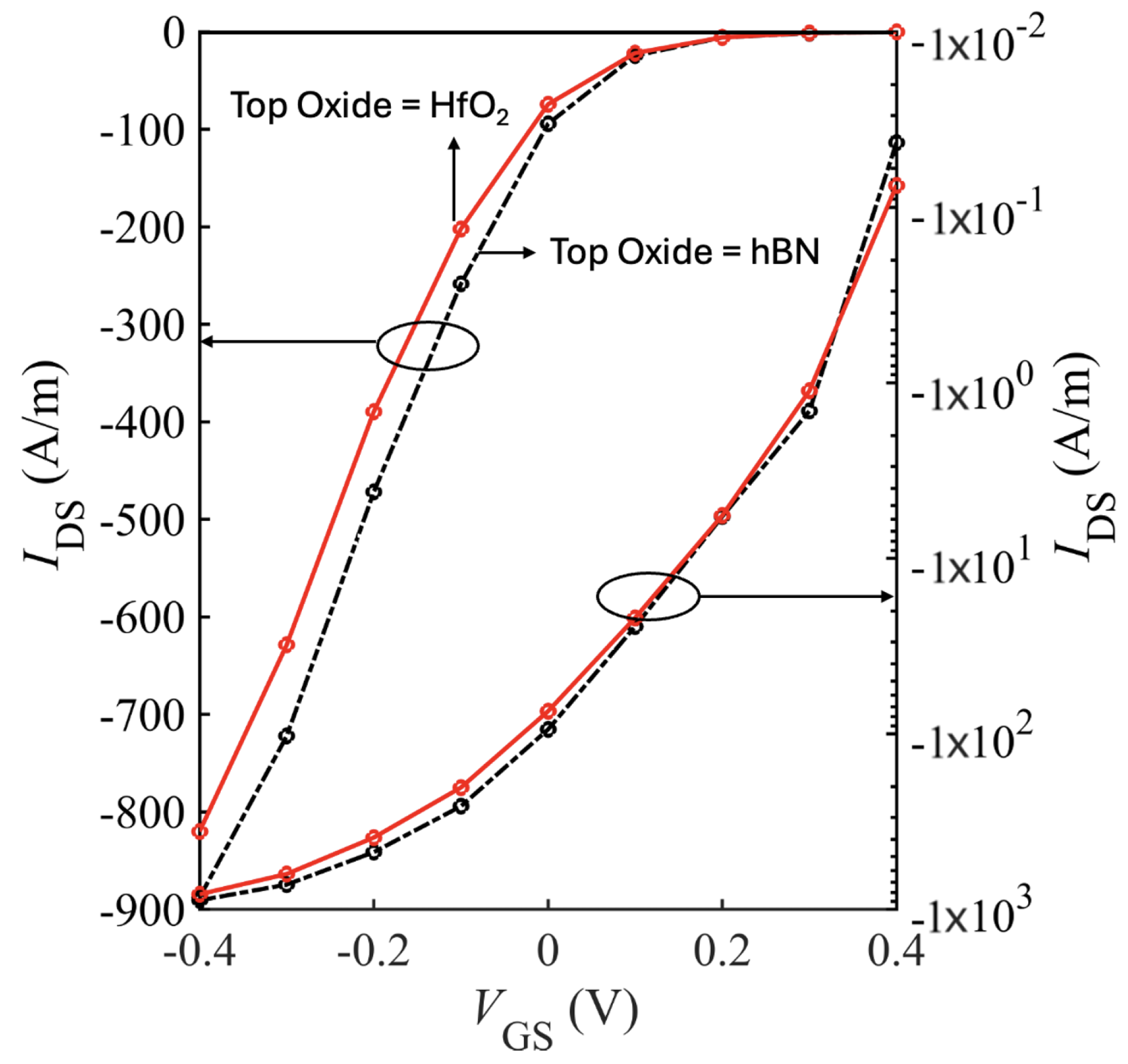
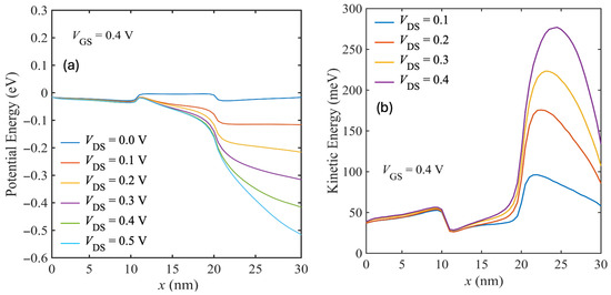
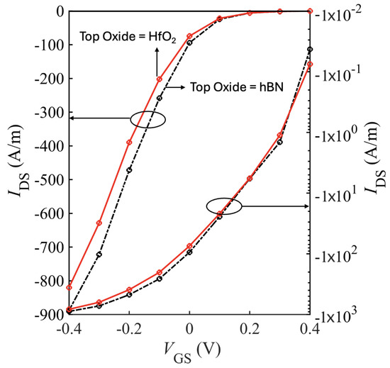
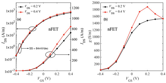
7. Bilayer TMD-Based Double-Gate MOSFETs
8. Conclusions
Author Contributions
Funding
Data Availability Statement
Conflicts of Interest
References
- Moore, G.E. Cramming more components onto integrated circuits. Proc. IEEE 1998, 86, 82–85. [Google Scholar] [CrossRef]
- Frank, D.J.; Dennard, R.H.; Nowak, E.; Solomon, P.M.; Taur, Y.; Wong, H.S.P. Device scaling limits of Si MOSFETs and their application dependencies. Proc. IEEE 2001, 89, 259–288. [Google Scholar] [CrossRef]
- Keyes, R.W. Physical limits of silicon transistors and circuits. Rep. Prog. Phys. 2005, 68, 2701. [Google Scholar] [CrossRef]
- Wong, H.S. Beyond the conventional transistor. IBM J. Res. Dev. 2002, 46, 133–168. [Google Scholar] [CrossRef]
- Jin, S.; Fischetti, M.V.; Tang, T.W. Modeling of surface-roughness scattering in ultrathin-body SOI MOSFETs. IEEE Trans. Electron Devices 2007, 54, 2191–2203. [Google Scholar]
- Geim, A.K.; Novoselov, K.S. The rise of graphene. Nat. Mater. 2007, 6, 183–191. [Google Scholar] [CrossRef]
- Das, S.; Robinson, J.A.; Dubey, M.; Terrones, H.; Terrones, M. Beyond graphene: Progress in novel two-dimensional materials and van der Waals solids. Annu. Rev. Mater. Res. 2015, 45, 1–27. [Google Scholar] [CrossRef]
- Houssa, M.; Scalise, E.; Sankaran, K.; Pourtois, G.; Afanas’ev, V.; Stesmans, A. Electronic properties of hydrogenated silicene and germanene. Appl. Phys. Lett. 2011, 98, 223107. [Google Scholar] [CrossRef]
- Vogt, P.; De Padova, P.; Quaresima, C.; Avila, J.; Frantzeskakis, E.; Asensio, M.C.; Resta, A.; Ealet, B.; Le Lay, G. Silicene: Compelling experimental evidence for graphenelike two-dimensional silicon. Phys. Rev. Lett. 2012, 108, 155501. [Google Scholar] [CrossRef]
- Castellanos-Gomez, A.; Vicarelli, L.; Prada, E.; Island, J.O.; Narasimha-Acharya, K.; Blanter, S.I.; Groenendijk, D.J.; Buscema, M.; Steele, G.A.; Alvarez, J.; et al. Isolation and characterization of few-layer black phosphorus. 2D Mater. 2014, 1, 025001. [Google Scholar] [CrossRef]
- Novoselov, K.S.; Mishchenko, A.; Carvalho, A.; Castro Neto, A. 2D materials and van der Waals heterostructures. Science 2016, 353, aac9439. [Google Scholar] [CrossRef] [PubMed]
- Zhang, Z.; Liu, X.; Yu, J.; Hang, Y.; Li, Y.; Guo, Y.; Xu, Y.; Sun, X.; Zhou, J.; Guo, W. Tunable electronic and magnetic properties of two-dimensional materials and their one-dimensional derivatives. Wiley Interdiscip. Rev. Comput. Mol. Sci. 2016, 6, 324–350. [Google Scholar] [CrossRef] [PubMed]
- Luo, B.; Liu, G.; Wang, L. Recent advances in 2D materials for photocatalysis. Nanoscale 2016, 8, 6904–6920. [Google Scholar] [CrossRef] [PubMed]
- Mak, K.F.; Lee, C.; Hone, J.; Shan, J.; Heinz, T.F. Atomically thin MoS2: A new direct-gap semiconductor. Phys. Rev. Lett. 2010, 105, 136805. [Google Scholar] [CrossRef]
- Radisavljevic, B.; Radenovic, A.; Brivio, J.; Giacometti, V.; Kis, A. Single-layer MoS2 transistors. Nat. Nanotechnol. 2011, 6, 147–150. [Google Scholar] [CrossRef]
- Larentis, S.; Fallahazad, B.; Tutuc, E. Field-effect transistors and intrinsic mobility in ultra-thin MoSe2 layers. Appl. Phys. Lett. 2012, 101, 223104. [Google Scholar] [CrossRef]
- Das, S.; Chen, H.Y.; Penumatcha, A.V.; Appenzeller, J. High performance multilayer MoS2 transistors with scandium contacts. Nano Lett. 2013, 13, 100–105. [Google Scholar] [CrossRef]
- Kim, S.; Konar, A.; Hwang, W.S.; Lee, J.H.; Lee, J.; Yang, J.; Jung, C.; Kim, H.; Yoo, J.B.; Choi, J.Y.; et al. High-mobility and low-power thin-film transistors based on multilayer MoS2 crystals. Nat. Commun. 2012, 3, 1011. [Google Scholar] [CrossRef]
- Wen, C.; Naylor, C.H.; O’Brien, K.P.; Oni, A.; Kavrik, M.S.; Suh, Y.; Johnson, A. Growth of bilayer transition metal dichalcogenides at controlled locations. APL Mater. 2024, 12. [Google Scholar] [CrossRef]
- Giannozzi, P.; Baroni, S.; Bonini, N.; Calandra, M.; Car, R.; Cavazzoni, C.; Ceresoli, D.; Chiarotti, G.L.; Cococcioni, M.; Dabo, I.; et al. Quantum ESPRESSO: A modular and open-source software project for quantum simulations of materials. J. Phys. Condens. Matter 2009, 21, 395502. [Google Scholar] [CrossRef]
- Giannozzi, P.; Andreussi, O.; Brumme, T.; Bunau, O.; Nardelli, M.B.; Calandra, M.; Car, R.; Cavazzoni, C.; Ceresoli, D.; Cococcioni, M.; et al. Advanced capabilities for materials modelling with Quantum ESPRESSO. J. Phys. Condens. Matter 2017, 29, 465901. [Google Scholar] [CrossRef]
- Giustino, F.; Cohen, M.L.; Louie, S.G. Electron-phonon interaction using Wannier functions. Phys. Rev. B Condens. Matter Mater. Phys. 2007, 76, 165108. [Google Scholar] [CrossRef]
- Noffsinger, J.; Giustino, F.; Malone, B.D.; Park, C.H.; Louie, S.G.; Cohen, M.L. EPW: A program for calculating the electron–phonon coupling using maximally localized Wannier functions. Comput. Phys. Commun. 2010, 181, 2140–2148. [Google Scholar] [CrossRef]
- Giustino, F. Electron-phonon interactions from first principles. Rev. Mod. Phys. 2017, 89, 015003. [Google Scholar] [CrossRef]
- Illarionov, Y.Y.; Knobloch, T.; Jech, M.; Lanza, M.; Akinwande, D.; Vexler, M.I.; Mueller, T.; Lemme, M.C.; Fiori, G.; Schwierz, F.; et al. Insulators for 2D nanoelectronics: The gap to bridge. Nat. Commun. 2020, 11, 3385. [Google Scholar] [CrossRef] [PubMed]
- Nagel, J.; Org, N. Solving the Generalized Poisson Equation Using the Finite-Difference Method (FDM); University of Utah: Salt Lake City, UT, USA, 2011. [Google Scholar]
- Hockney, R.W.; Eastwood, J.W. Computer Simulation Using Particles; CRC Press: Boca Raton, FL, USA, 2021. [Google Scholar]
- Hamann, D. Optimized norm-conserving Vanderbilt pseudopotentials. Phys. Rev. B Condens. Matter Mater. Phys. 2013, 88, 085117. [Google Scholar] [CrossRef]
- Perdew, J.P.; Wang, Y. Accurate and simple analytic representation of the electron-gas correlation energy. Phys. Rev. B 1992, 45, 13244. [Google Scholar] [CrossRef] [PubMed]
- Perdew, J.P.; Burke, K.; Ernzerhof, M. Generalized gradient approximation made simple. Phys. Rev. Lett. 1996, 77, 3865. [Google Scholar] [CrossRef]
- Baroni, S.; De Gironcoli, S.; Dal Corso, A.; Giannozzi, P. Phonons and related crystal properties from density-functional perturbation theory. Rev. Mod. Phys. 2001, 73, 515. [Google Scholar] [CrossRef]
- Fischetti, M.V.; Vandenberghe, W.G. Mermin-Wagner theorem, flexural modes, and degraded carrier mobility in two-dimensional crystals with broken horizontal mirror symmetry. Phys. Rev. B 2016, 93, 155413. [Google Scholar] [CrossRef]
- Rudenko, A.; Lugovskoi, A.; Mauri, A.; Yu, G.; Yuan, S.; Katsnelson, M. Interplay between in-plane and flexural phonons in electronic transport of two-dimensional semiconductors. Phys. Rev. B 2019, 100, 075417. [Google Scholar] [CrossRef]
- Gilat, G.; Raubenheimer, L. Accurate numerical method for calculating frequency-distribution functions in solids. Phys. Rev. 1966, 144, 390. [Google Scholar] [CrossRef]
- Vasileska, D.; Goodnick, S.M. Nano-Electronic Devices: Semiclassical and Quantum Transport Modeling; Springer Science & Business Media: Berlin/Heidelberg, Germany, 2011. [Google Scholar]
- Gopalan, S.; Van de Put, M.L.; Gaddemane, G.; Fischetti, M.V. Theoretical study of electronic transport in two-dimensional transition metal dichalcogenides: Effects of the dielectric environment. Phys. Rev. Appl. 2022, 18, 054062. [Google Scholar] [CrossRef]
- Hauber, A.; Fahy, S. Scattering of carriers by coupled plasmon-phonon modes in bulk polar semiconductors and polar semiconductor heterostructures. Phys. Rev. B 2017, 95, 045210. [Google Scholar] [CrossRef]
- Fischetti, M.V.; Neumayer, D.; Cartier, E. Effective electron mobility in Si inversion layers in MOS systems with a high-k insulator: The role of remote phonon scattering. J. Appl. Phys 2001, 90, 4587. [Google Scholar] [CrossRef]
- Ong, Z.Y.; Fischetti, M.V. Theory of remote phonon scattering in top-gated single-layer graphene. Phys. Rev. B Condens. Matter Mater. Phys. 2013, 88, 045405. [Google Scholar] [CrossRef]
- Stern, F. Polarizability of a two-dimensional electron gas. Phys. Rev. Lett. 1967, 18, 546. [Google Scholar] [CrossRef]
- Ong, Z.Y.; Fischetti, M.V. Charged impurity scattering in top-gated graphene nanostructures. Phys. Rev. B Condens. Matter Mater. Phys. 2012, 86, 121409. [Google Scholar] [CrossRef]
- Stern, E.; Ferrell, R. Surface plasma oscillations of a degenerate electron gas. Phys. Rev. 1960, 120, 130. [Google Scholar] [CrossRef]
- Maldague, P.F. Many-body corrections to the polarizability of the two-dimensional electron gas. Surf. Sci. 1978, 73, 296–302. [Google Scholar] [CrossRef]
- Mansoori, S.; Gopalan, S.; Fischetti, M.V. Mobility Limitations in TMD Monolayers: The Influence of Impurities and Remote Phonons. In Proceedings of the 2023 International Conference on Simulation of Semiconductor Processes and Devices (SISPAD), Kobe, Japan, 27–29 September 2023; pp. 33–36. [Google Scholar]
- Ha, V.A.; Giustino, F. High-throughput screening of 2D materials identifies p-type monolayer WS2 as potential ultra-high mobility semiconductor. Npj Comput. Mater. 2024, 10, 229. [Google Scholar] [CrossRef]
- Hess, K.; Vogl, P. Remote polar phonon scattering in silicon inversion layers. Solid State Commun. 1979, 30, 797–799. [Google Scholar] [CrossRef]
- Bennett, R.K.; Yin, D.; Yoon, Y. Assessing the role of a semiconductor’s anisotropic permittivity in hafnium disulfide monolayer field-effect transistors. IEEE Trans. Electron Devices 2020, 67, 2607–2613. [Google Scholar] [CrossRef]
- Bennett, R.K.; Yoon, Y. Exploiting fringing fields created by high-κ gate insulators to enhance the performance of ultrascaled 2-D-material-based transistors. IEEE Trans. Electron Devices 2021, 68, 4618–4624. [Google Scholar] [CrossRef]
- Cheng, K.; Koswatta, S.V.; Chau, J. Device and circuit considerations for future nanotransistor technologies. IEEE J. Electron Devices Soc. 2019, 7, 1080–1091. [Google Scholar]
- Nikonov, D.E.; Young, I.A. Benchmarking of beyond-CMOS exploratory devices for logic integrated circuits. IEEE J. Explor. Solid-State Comput. Devices Circuits 2019, 5, 1–14. [Google Scholar] [CrossRef]
- Tyaginov, S.; Bury, E.; Grill, A.; Yu, Z.; Makarov, A.; De Keersgieter, A.; Vexler, M.; Vandemaele, M.; Wang, R.; Spessot, A.; et al. Compact Physics Hot-Carrier Degradation Model Valid over a Wide Bias Range. Micromachines 2023, 14, 2018. [Google Scholar] [CrossRef]
- Zhou, H. An Overview of Hot Carrier Degradation on Gate-All-Around Nanosheet Transistors. Micromachines 2025, 16, 311. [Google Scholar] [CrossRef]
- Gopalan, S.; Mansoori, S.; Van de Put, M.; Gaddemane, G.; Fischetti, M. Monte Carlo study of carrier transport in two-dimensional transition metal dichalcogenides: High-field characteristics and MOSFET simulation. J. Comput. Electron. 2023, 22, 1240–1256. [Google Scholar] [CrossRef]
- Chou, S.A.; Chang, C.; Wu, B.H.; Chuu, C.P.; Kuo, P.C.; Pan, L.H.; Huang, K.C.; Lai, M.H.; Chen, Y.F.; Lee, C.L.; et al. Large-scale alkali-assisted growth of monolayer and bilayer WSe2 with a low defect density. Nat. Commun. 2025, 16, 2777. [Google Scholar] [CrossRef]
- Shi, X.; Wang, X.; Liu, S.; Guo, Q.; Sun, L.; Li, X.; Huang, R.; Wu, Y. High-Performance Bilayer WSe 2 pFET with Record I ds = 425 μ A/μ m and G m= 100 at μ S/μ m V ds = -1 V By Direct Growth and Fabrication on SiO2 Substrate. In Proceedings of the 2022 International Electron Devices Meeting (IEDM), San Francisco, CA, USA, 3–7 December 2022; pp. 7.1.1–7.1.4. [Google Scholar]
- Huang, L.Y.; Li, M.Y.; Liew, S.L.; Lin, S.C.; Chou, A.S.; Hsu, M.C.; Hsu, C.H.; Lin, Y.T.; Mao, P.S.; Hou, D.H.; et al. Area-selective growth of two-dimensional mono-and bilayer WS2 for field effect transistors. ACS Mater. Lett. 2023, 5, 1760–1766. [Google Scholar] [CrossRef]
- Brahma, M.; Van de Put, M.L.; Chen, E.; Fischetti, M.V.; Vandenberghe, W.G. Role of electrostatic doping on the resistance of metal and two-dimensional materials edge contacts. Phys. Rev. Res. 2024, 6, 033278. [Google Scholar] [CrossRef]
- Deylgat, E.; Chen, E.; Fischetti, M.V.; Sorée, B.; Vandenberghe, W.G. Image-force barrier lowering in top-and side-contacted two-dimensional materials. Solid-State Electron. 2022, 198, 108458. [Google Scholar] [CrossRef]



















| Parameter | Value |
|---|---|
| Kinetic energy cutoff | 60 Ry |
| Ionic minimization threshold | Ry |
| Self-consistent field threshold | Ry |
| Charge density cutoff | 240 Ry |
| k-point mesh | |
| q-point mesh |
| Material | Freestanding | hBN/TMD/SiO2 | HfO2/TMD/SiO2 |
|---|---|---|---|
| Bilayer WS2 | 2300 | 1530 | 100 |
| Bilayer WSe2 | 1300 | 1500 | 13 |
| Bilayer MoS2 | 50 | 35 | 7 |
| Monolayer WS2 | 750 | 1500 | 70 |
| Material | Freestanding | hBN/TMD/SiO2 | HfO2/TMD/SiO2 |
|---|---|---|---|
| Bilayer WS2 | 161 | 172 | 30 |
| Bilayer WSe2 | 201 | 163 | 36 |
| Bilayer MoS2 | 400 | 340 | 63 |
| Monolayer WS2 | 170 | 152 | 20 |
| Bias Condition | Bulk Phonons (30 nm Drain) | Bulk Phonons + IPP (30 nm Drain) | Bulk Phonons + IPP + Impurity (30 nm Drain) | Bulk Phonons + IPP + Impurity (5 nm Drain) |
|---|---|---|---|---|
| V; V | 740 A/m | 660 A/m | 216 A/m | 630 A/m |
| V; V | 950 A/m | 870 A/m | 283 A/m | 820 A/m |
| Device | (A/m) | (S/m) | SS (mV/dec) |
|---|---|---|---|
| nFET, HfO2 | 590 | 1850 | 83 |
| nFET, hBN | 640 | 1750 | 67 |
| pFET, HfO2 | 820 | 2200 | 85 |
| pFET, hBN | 890 | 2400 | 65 |
| Device | (A/m) | (S/m) | SS (mV/dec) |
|---|---|---|---|
| nFET, HfO2 | 330 | 980 | 90 |
| nFET, hBN | 390 | 1050 | 73 |
| pFET, HfO2 | 800 | 2500 | 89 |
| pFET, hBN | 870 | 2400 | 70 |
Disclaimer/Publisher’s Note: The statements, opinions and data contained in all publications are solely those of the individual author(s) and contributor(s) and not of MDPI and/or the editor(s). MDPI and/or the editor(s) disclaim responsibility for any injury to people or property resulting from any ideas, methods, instructions or products referred to in the content. |
© 2025 by the authors. Licensee MDPI, Basel, Switzerland. This article is an open access article distributed under the terms and conditions of the Creative Commons Attribution (CC BY) license (https://creativecommons.org/licenses/by/4.0/).
Share and Cite
Mansoori, S.; Chen, E.; Fischetti, M. Bilayer TMDs for Future FETs: Carrier Dynamics and Device Implications. Nanomaterials 2025, 15, 1526. https://doi.org/10.3390/nano15191526
Mansoori S, Chen E, Fischetti M. Bilayer TMDs for Future FETs: Carrier Dynamics and Device Implications. Nanomaterials. 2025; 15(19):1526. https://doi.org/10.3390/nano15191526
Chicago/Turabian StyleMansoori, Shoaib, Edward Chen, and Massimo Fischetti. 2025. "Bilayer TMDs for Future FETs: Carrier Dynamics and Device Implications" Nanomaterials 15, no. 19: 1526. https://doi.org/10.3390/nano15191526
APA StyleMansoori, S., Chen, E., & Fischetti, M. (2025). Bilayer TMDs for Future FETs: Carrier Dynamics and Device Implications. Nanomaterials, 15(19), 1526. https://doi.org/10.3390/nano15191526

