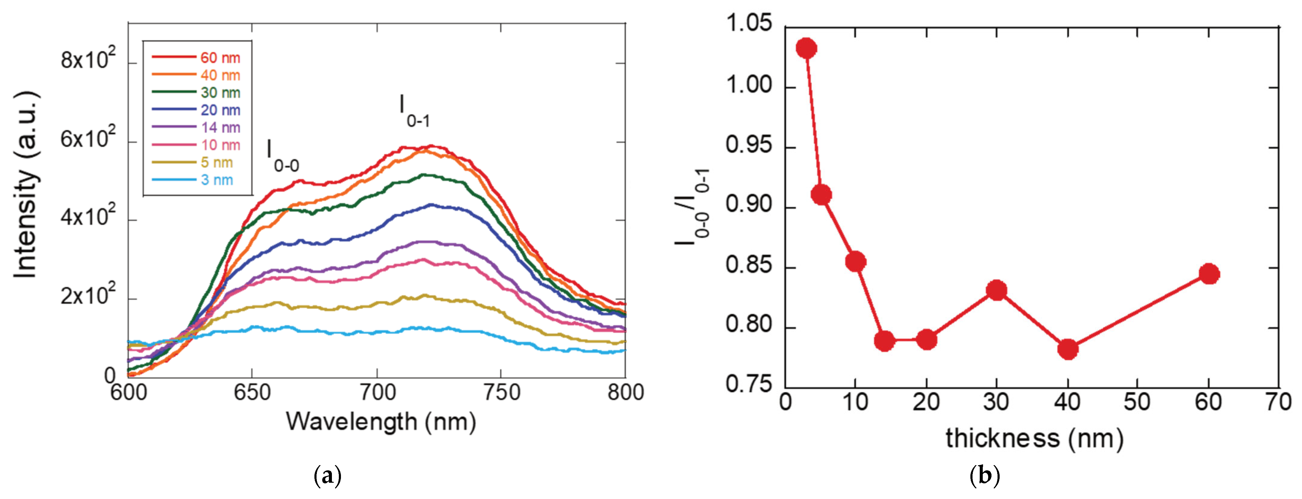
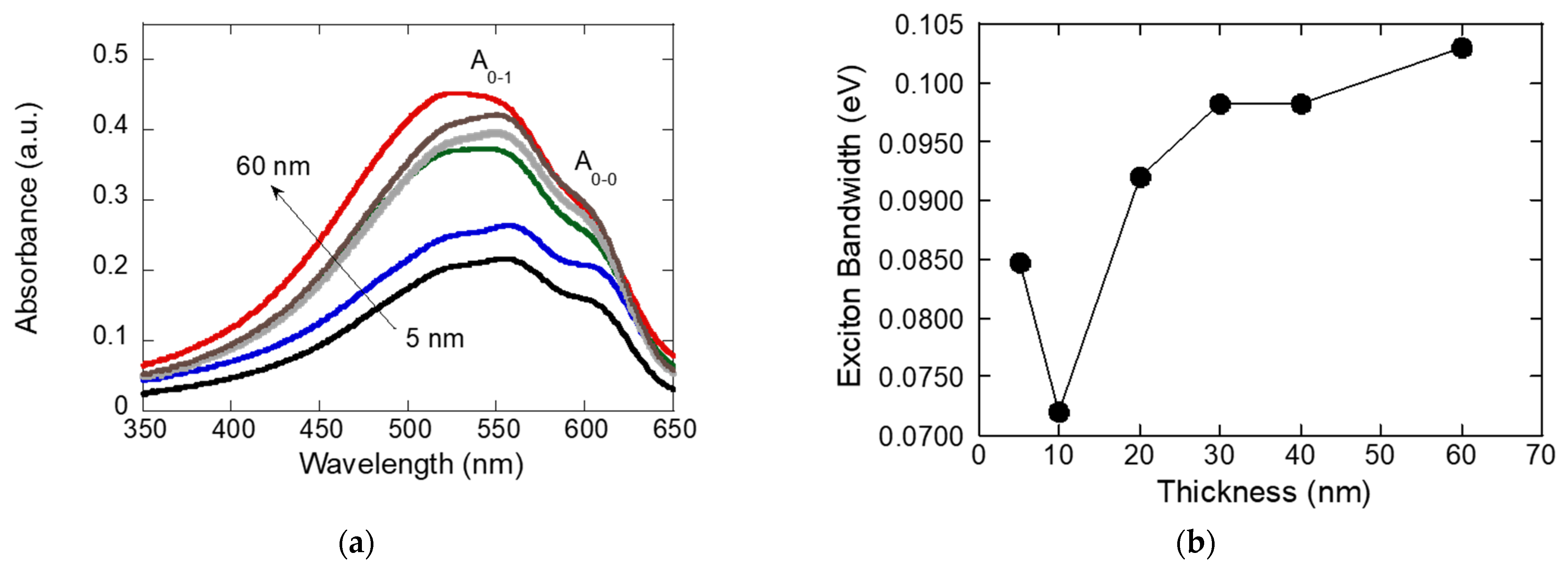
Aggregation-Tuned Charge Transport and Threshold Voltage Modulation in Poly(3-Hexylthiophene) Field-Effect Transistors
Abstract
Share and Cite
Park, B. Aggregation-Tuned Charge Transport and Threshold Voltage Modulation in Poly(3-Hexylthiophene) Field-Effect Transistors. Materials 2026, 19, 279. https://doi.org/10.3390/ma19020279
Park B. Aggregation-Tuned Charge Transport and Threshold Voltage Modulation in Poly(3-Hexylthiophene) Field-Effect Transistors. Materials. 2026; 19(2):279. https://doi.org/10.3390/ma19020279
Chicago/Turabian StylePark, Byoungnam. 2026. "Aggregation-Tuned Charge Transport and Threshold Voltage Modulation in Poly(3-Hexylthiophene) Field-Effect Transistors" Materials 19, no. 2: 279. https://doi.org/10.3390/ma19020279
APA StylePark, B. (2026). Aggregation-Tuned Charge Transport and Threshold Voltage Modulation in Poly(3-Hexylthiophene) Field-Effect Transistors. Materials, 19(2), 279. https://doi.org/10.3390/ma19020279
