Sign in to use this feature.

Years

Between: -

Subjects

remove_circle_outline
remove_circle_outline
remove_circle_outline
remove_circle_outline
remove_circle_outline
remove_circle_outline
remove_circle_outline
remove_circle_outline
remove_circle_outline

Journals

remove_circle_outline
remove_circle_outline
remove_circle_outline
remove_circle_outline
remove_circle_outline
remove_circle_outline
remove_circle_outline
remove_circle_outline
remove_circle_outline
remove_circle_outline
remove_circle_outline
remove_circle_outline
remove_circle_outline
remove_circle_outline
remove_circle_outline
remove_circle_outline
remove_circle_outline
remove_circle_outline
remove_circle_outline
remove_circle_outline

Article Types

Countries / Regions

remove_circle_outline
remove_circle_outline
remove_circle_outline
remove_circle_outline
remove_circle_outline

Search Results (3,108)

Search Parameters:
Keywords = high-order predictive modeling

Order results
Result details
Results per page
Select all
Export citation of selected articles as:
20 pages, 3081 KB  
Article
Fractional-Order Bioimpedance Modelling for Early Detection of Tissue Freezing in Cryogenic and Thermal Medical Applications
by Noelia Vaquero-Gallardo, Herminio Martínez-García and Oliver Millán-Blasco
Sensors 2026, 26(2), 603; https://doi.org/10.3390/s26020603 (registering DOI) - 15 Jan 2026
Abstract
Cryotherapy and radiofrequency (RF) treatments modulate tissue temperature to induce therapeutic effects; however, improper application can result in thermal injury. Traditional temperature-based monitoring methods rely on multiple thermal sensors whose accuracy strongly depends on their number and spatial positioning, often failing to detect [...] Read more.
Cryotherapy and radiofrequency (RF) treatments modulate tissue temperature to induce therapeutic effects; however, improper application can result in thermal injury. Traditional temperature-based monitoring methods rely on multiple thermal sensors whose accuracy strongly depends on their number and spatial positioning, often failing to detect early tissue crystallization. This study introduces a fractional order bioimpedance modelling framework for the early detection of tissue freezing during cryogenic and thermal medical treatments, with the feasibility and effectiveness of this approach having been reported in our prior publications. While bioimpedance spectroscopy itself is a well-est. The corresponablished technique in biomedical engineering, its novel application to predict and identify premature freezing events provides a new pathway for safe and efficient energy-based therapies. Fractional-order models derived from the Cole family accurately reproduce the complex electrical behavior of biological tissues using fewer parameters than classical integer-order models, thus reducing both hardware requirements and computational cost. Experimental impedance data from human abdominal, gluteal, and femoral regions were modelled to extract fractional parameters that serve as sensitive indicators of phase-transition onset. The results demonstrate that the proposed approach enables real-time identification of freezing-induced electrical transitions, offering a physiologically grounded alternative to conventional temperature-based monitoring. Furthermore, the fractional order bioimpedance method exhibits high reproducibility and selectivity, and its analytical figures of merit, including the limits of detection and quantification, support its use for reliable real-time tissue monitoring and early injury detection. Overall, the proposed fractional order bioimpedance framework enhances both safety and control precision in cryogenic and thermal medical applications. Full article
(This article belongs to the Special Issue Feature Papers in Biosensors Section 2025)
Show Figures

Figure 1

18 pages, 6596 KB  
Article
Structure-Based Prediction of Molecular Interactions for Stabilizing Volatile Drugs
by Yuchen Zhao, Danmei Bai, Boyang Yang, Tiannuo Wu, Guangsheng Wu, Tiantian Ye and Shujun Wang
Pharmaceutics 2026, 18(1), 111; https://doi.org/10.3390/pharmaceutics18010111 - 15 Jan 2026
Abstract
Background/Objectives: The high volatility of volatile drugs significantly restricts their clinical applicability. Although excipients capable of strong interactions can reduce volatilization, conventional screening methods rely on empirical trial-and-error, resulting in low efficiency and high resource consumption. To address this limitation, this study [...] Read more.
Background/Objectives: The high volatility of volatile drugs significantly restricts their clinical applicability. Although excipients capable of strong interactions can reduce volatilization, conventional screening methods rely on empirical trial-and-error, resulting in low efficiency and high resource consumption. To address this limitation, this study introduces an artificial intelligence (AI)-driven strategy for screening drug–excipient interactions. Using d-borneol as a model drug, this approach aims to efficiently identify strongly interacting excipients and develop stable nano-formulations. Methods: High-throughput simulations were performed using the Protenix structure prediction model to evaluate interactions between d-borneol and 472 FDA-approved excipients. The top 50 candidate excipients were selected based on these simu-lations. Molecular docking and stability experiments were conducted to validate the predictions. Results: Molecular docking and stability experiments confirmed the consistency between predicted and experimental results, validating the model’s reliability. Among the candidates, soybean phospholipid (PC) was identified as the optimal excipient. A lyophilized liposomal formulation prepared with PC significantly suppressed the volatilization of d-borneol and improved both thermal and storage stability. Mechanistic investigations indicated that d-borneol stably incorporates into the hydro-phobic region of phospholipids, enhancing membrane ordering via hydrophobic interactions without disturbing the polar headgroups. Conclusions: This study represents the first application of a structure prediction model to excipient screening for volatile drugs. It successfully addresses the stability challenges associated with d-borneol and offers a new paradigm for developing nano-formulations for volatile pharmaceuticals. Full article
(This article belongs to the Section Physical Pharmacy and Formulation)
Show Figures

Figure 1

19 pages, 4346 KB  
Article
Catalytic CO2 Utilization for Ethanol Reforming over Yttrium-Promoted Ni-Co/MCM-41 Catalyst: Optimizing Hydrogen Production Using Box–Behnken Experimental Design and Response Surface Methodology
by Bamidele Victor Ayodele, SK Safdar Hossain, Nur Diyan Mohd Ridzuan and Hayat Khan
Catalysts 2026, 16(1), 90; https://doi.org/10.3390/catal16010090 - 13 Jan 2026
Viewed by 8
Abstract
Catalytic dry reforming of ethanol offers a sustainable pathway for syngas and hydrogen production through CO2 utilization, though its efficiency depends heavily on the strategic synthesis of catalysts and the optimization of reaction parameters. This study employs Box–Behnken Design (BBD) and Response [...] Read more.
Catalytic dry reforming of ethanol offers a sustainable pathway for syngas and hydrogen production through CO2 utilization, though its efficiency depends heavily on the strategic synthesis of catalysts and the optimization of reaction parameters. This study employs Box–Behnken Design (BBD) and Response Surface Methodology (RSM) to optimize hydrogen yield from CO2 reforming of ethanol over a Yttrium-promoted Ni-Co/MCM-41 catalyst. The catalyst was synthesized using sequential wet impregnation method and characterized for its physicochemical properties. The catalyst was tested in fixed-bed reactor using experimental data obtained from BBD considering the effects of temperature (550–700 °C), ethanol flowrate (0.5–1 mL/min) and CO2 flowrate (15–30 mL/min) on the hydrogen yield. The experimental conditions were optimized using RSM quadratic model. The characterization revealed that the ordered mesoporous nature of the MCM-41 is maintained providing a high surface area of 597.75 m2/g for the catalyst. The addition of Yttrium as a promoter facilitates the formation of well crystallized nanoparticles. Maximum hydrogen yield of 85.09% was obtained at 700 °C, 20.393 mL/min and 0.877 mL/min for temperature, CO2 and ethanol flowrate, respectively. The predicted hydrogen yield obtained is strongly correlated with the actual values as indicated by R2 of 0.9570. Full article
Show Figures

Graphical abstract

24 pages, 3950 KB  
Article
Temporal Tampering Detection in Automotive Dashcam Videos via Multi-Feature Forensic Analysis and a 1D Convolutional Neural Network
by Ali Rehman Shinwari, Uswah Binti Khairuddin and Mohamad Fadzli Bin Haniff
Sensors 2026, 26(2), 517; https://doi.org/10.3390/s26020517 - 13 Jan 2026
Viewed by 62
Abstract
Automotive dashboard cameras are widely used to record driving events and often serve as critical evidence in accident investigations and insurance claims. However, the availability of free and low-cost editing tools has increased the risk of video tampering, underscoring the need for reliable [...] Read more.
Automotive dashboard cameras are widely used to record driving events and often serve as critical evidence in accident investigations and insurance claims. However, the availability of free and low-cost editing tools has increased the risk of video tampering, underscoring the need for reliable methods to verify video authenticity. Temporal tampering typically involves manipulating frame order through insertion, deletion, or duplication. This paper proposes a computationally efficient framework that transforms high-dimensional video into compact one-dimensional temporal signals and learns tampering patterns using a shallow one-dimensional convolutional neural network (1D-CNN). Five complementary features are extracted between consecutive frames: frame-difference magnitude, structural similarity drift (SSIM drift), optical-flow mean, forward–backward optical-flow consistency error, and compression-aware temporal prediction error. Per-video robust normalization is applied to emphasize intra-video anomalies. Experiments on a custom dataset derived from D2-City demonstrate strong detection performance in single-attack settings: 95.0% accuracy for frame deletion, 100.0% for frame insertion, and 95.0% for frame duplication. In a four-class setting (non-tampered, insertion, deletion, duplication), the model achieves 96.3% accuracy, with AUCs of 0.994, 1.000, 0.997, and 0.988, respectively. Efficiency analysis confirms near real-time CPU inference (≈12.7–12.9 FPS) with minimal memory overhead. Cross-dataset tests on BDDA and VIRAT reveal domain-shift sensitivity, particularly for deletion and duplication, highlighting the need for domain adaptation and augmentation. Overall, the proposed multi-feature 1D-CNN provides a practical, interpretable, and resource-aware solution for temporal tampering detection in dashcam videos, supporting trustworthy video forensics in IoT-enabled transportation systems. Full article
Show Figures

Figure 1

20 pages, 4646 KB  
Article
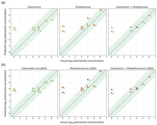
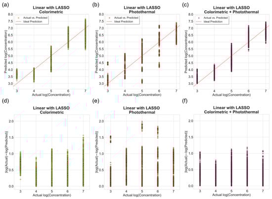
Portable Dual-Mode Biosensor for Quantitative Determination of Salmonella in Lateral Flow Assays Using Machine Learning and Smartphone-Assisted Operation
by Jully Blackshare, Brianna Corman, Bartek Rajwa, J. Paul Robinson and Euiwon Bae
Biosensors 2026, 16(1), 57; https://doi.org/10.3390/bios16010057 - 13 Jan 2026
Viewed by 37
Abstract
Foodborne pathogens remain a major global concern, demanding rapid, accessible, and determination technologies. Conventional methods, such as culture assays and polymerase chain reaction, offer high accuracy but are time-consuming for on-site testing. This study presents a portable, smartphone-assisted dual-mode biosensor that combines colorimetric [...] Read more.
Foodborne pathogens remain a major global concern, demanding rapid, accessible, and determination technologies. Conventional methods, such as culture assays and polymerase chain reaction, offer high accuracy but are time-consuming for on-site testing. This study presents a portable, smartphone-assisted dual-mode biosensor that combines colorimetric and photothermal speckle imaging for improved sensitivity in lateral flow assays (LFAs). The prototype device, built using low-cost components ($500), uses a Raspberry Pi for illumination control, image acquisition, and machine learning-based signal analysis. Colorimetric features were derived from normalized RGB intensities, while photothermal responses were obtained from speckle fluctuation metrics during periodic plasmonic heating. Multivariate linear regression, with and without LASSO regularization, was used to predict Salmonella concentrations. The comparison revealed that regularization did not significantly improve predictive accuracy indicating that the unregularized linear model is sufficient and that the extracted features are robust without complex penalization. The fused model achieved the best performance (R2 = 0.91) and consistently predicted concentrations down to a limit of detection (LOD) of 104 CFU/mL, which is one order of magnitude improvement of visual and benchtop measurements from previous work. Blind testing confirmed robustness but also revealed difficulty distinguishing between negative and 103 CFU/mL samples. This work demonstrates a low-cost, field-deployable biosensing platform capable of quantitative pathogen detection, establishing a foundation for the future deployment of smartphone-assisted, machine learning-enabled diagnostic tools for broader monitoring applications. Full article
(This article belongs to the Special Issue Microbial Biosensor: From Design to Applications—2nd Edition)
Show Figures

Figure 1

21 pages, 2506 KB  
Article
Collaborative Dispatch of Power–Transportation Coupled Networks Based on Physics-Informed Priors
by Zhizeng Kou, Yingli Wei, Shiyan Luan, Yungang Wu, Hancong Guo, Bochao Yang and Su Su
Electronics 2026, 15(2), 343; https://doi.org/10.3390/electronics15020343 - 13 Jan 2026
Viewed by 50
Abstract
Under China’s “dual-carbon” strategic goals and the advancement of smart city development, the rapid adoption of electric vehicles (EVs) has deepened the spatiotemporal coupling between transportation networks and distribution grids, posing new challenges for integrated energy systems. To address this, we propose a [...] Read more.
Under China’s “dual-carbon” strategic goals and the advancement of smart city development, the rapid adoption of electric vehicles (EVs) has deepened the spatiotemporal coupling between transportation networks and distribution grids, posing new challenges for integrated energy systems. To address this, we propose a collaborative optimization framework for power–transportation coupled networks that integrates multi-modal data with physical priors. The framework constructs a joint feature space from traffic flow, pedestrian density, charging behavior, and grid operating states, and employs hypergraph modeling—guided by power flow balance and traffic flow conservation principles—to capture high-order cross-domain coupling. For prediction, spatiotemporal graph convolution combined with physics-informed attention significantly improves the accuracy of EV charging load forecasting. For optimization, a hierarchical multi-agent strategy integrating federated learning and the Alternating Direction Method of Multipliers (ADMM) enables privacy-preserving, distributed charging load scheduling. Case studies conducted on a 69-node distribution network using real traffic and charging data demonstrate that the proposed method reduces the grid’s peak–valley difference by 20.16%, reduces system operating costs by approximately 25%, and outperforms mainstream baseline models in prediction accuracy, algorithm convergence speed, and long-term operational stability. This work provides a practical and scalable technical pathway for the deep integration of energy and transportation systems in future smart cities. Full article
Show Figures

Figure 1

27 pages, 1266 KB  
Systematic Review
Radiomics from Routine CT and PET/CT Imaging in Laryngeal Squamous Cell Carcinoma: A Systematic Review with Radiomics Quality Score Assessment
by Amar Rajgor, Terrenjit Gill, Eric Aboagye, Aileen Mill, Stephen Rushton, Boguslaw Obara and David Winston Hamilton
Cancers 2026, 18(2), 237; https://doi.org/10.3390/cancers18020237 - 13 Jan 2026
Viewed by 64
Abstract
Background/Objectives: Radiomics, the high-throughput extraction of quantitative features from medical imaging, offers a promising method for identifying laryngeal cancer imaging biomarkers. We aim to systematically review the literature on radiomics in laryngeal squamous cell carcinoma, assessing applications in tumour staging, prognosis, recurrence [...] Read more.
Background/Objectives: Radiomics, the high-throughput extraction of quantitative features from medical imaging, offers a promising method for identifying laryngeal cancer imaging biomarkers. We aim to systematically review the literature on radiomics in laryngeal squamous cell carcinoma, assessing applications in tumour staging, prognosis, recurrence prediction, and treatment response evaluation. PROSPERO ID: CRD420251117983. Methods: MEDLINE and EMBASE databases were searched in May 2025. Inclusion criteria: studies published between 1 January 2010 and 31 January 2024, extracted radiomic features from CT, PET/CT, or MRI, and analysed outcomes related to diagnosis, staging, survival, recurrence, or treatment response in laryngeal cancer. Exclusion criteria: case reports, abstracts, editorials, reviews, or conference proceedings, exclusive focus on preclinical or animal models, lack of a clear radiomics methodology, or did not include imaging-based feature extraction. Results were synthesised narratively by modelling objective, alongside formal assessment of methodological quality using the Radiomics Quality Score (RQS). Results: Twenty studies met the inclusion criteria, with most using CT-based radiomics. Seven incorporated PET/CT. Radiomic models demonstrated moderate-to-high accuracy across tasks including T-staging, thyroid cartilage invasion, survival prediction, and local failure. Key predictive features included first-order entropy, skewness, and texture metrics such as size zone non-uniformity and GLCM correlation. Methodological variability, limited external validation, and small samples were frequent limitations. Conclusions: Radiomics holds strong promise as a non-invasive biomarker for laryngeal cancer. However, methodological heterogeneity identified through formal quality assessment indicates that improved standardisation, reproducibility, and multicentre validation are required before widespread clinical implementation. Full article
(This article belongs to the Section Systematic Review or Meta-Analysis in Cancer Research)
Show Figures

Figure 1

17 pages, 6045 KB  
Article
Estimation of Citrus Leaf Relative Water Content Using CWT Combined with Chlorophyll-Sensitive Bands
by Xiangqian Qi, Yanfang Li, Shiqing Dou, Wei Li, Yanqing Yang and Mingchao Wei
Sensors 2026, 26(2), 467; https://doi.org/10.3390/s26020467 - 10 Jan 2026
Viewed by 168
Abstract
In citrus cultivation practice, regular monitoring of leaf leaf relative water content (RWC) can effectively guide water management, thereby improving fruit quality and yield. When applying hyperspectral technology to citrus leaf moisture monitoring, the precise quantification of RWC still needs to address issues [...] Read more.
In citrus cultivation practice, regular monitoring of leaf leaf relative water content (RWC) can effectively guide water management, thereby improving fruit quality and yield. When applying hyperspectral technology to citrus leaf moisture monitoring, the precise quantification of RWC still needs to address issues such as data noise and algorithm adaptability. The noise interference and spectral aliasing in RWC sensitive bands lead to a decrease in the accuracy of moisture inversion in hyperspectral data, and the combined sensitive bands of chlorophyll (LCC) in citrus leaves can affect its estimation accuracy. In order to explore the optimal prediction model for RWC of citrus leaves and accurately control irrigation to improve citrus quality and yield, this study is based on 401–2400 nm spectral data and extracts noise robust features through continuous wavelet transform (CWT) multi-scale decomposition. A high-precision estimation model for citrus leaf RWC is established, and the potential of CWT in RWC quantitative inversion is systematically evaluated. This study is based on the multi-scale analysis characteristics of CWT to probe the time–frequency characteristic patterns associated with RWC and LCC in citrus leaf spectra. Pearson correlation analysis is used to evaluate the effectiveness of features at different decomposition scales, and the successive projections algorithm (SPA) is further used to eliminate band collinearity and extract the optimal sensitive band combination. Finally, based on the selected RWC and LCC-sensitive bands, a high-precision predictive model for citrus leaf RWC was established using partial least squares regression (PLSR). The results revealed that (1) CWT preprocessing markedly boosts the estimation accuracy of RWC and LCC relative to the original spectrum (max improvements: 6% and 3%), proving it enhances spectral sensitivity to these two indices in citrus leaves. (2) Combining CWT and SPA, the resulting predictive model showed higher inversion accuracy than the original spectra. (3) Integrating RWC Scale7 and LCC Scale5-2224/2308 features, the CWT-SPA fusion model showed optimal predictive performance (R2 = 0.756, RMSE = 0.0214), confirming the value of multi-scale feature joint modeling. Overall, CWT-SPA coupled with LCC spectral traits can boost the spectral response signal of citrus leaf RWC, enhancing its prediction capability and stability. Full article
(This article belongs to the Section Smart Agriculture)
Show Figures

Figure 1

21 pages, 6702 KB  
Article
Modeling of Oil-Film Traction Behavior and Lubricant Selection for Aeroengine Mainshaft Ball Bearings
by Kaiwen Deng, Xinlin Qing, Florian Pape and Yishou Wang
Lubricants 2026, 14(1), 33; https://doi.org/10.3390/lubricants14010033 - 10 Jan 2026
Viewed by 158
Abstract
The traction behavior of lubricant films forms the foundation of dynamic modeling for aeroengine mainshaft ball bearings. Its accuracy directly determines the reliability of predicted dynamic responses and the available design safety margins. Existing traction models produce artificial friction in the zero slip [...] Read more.
The traction behavior of lubricant films forms the foundation of dynamic modeling for aeroengine mainshaft ball bearings. Its accuracy directly determines the reliability of predicted dynamic responses and the available design safety margins. Existing traction models produce artificial friction in the zero slip region and exhibit strong sensitivity to ball size effects, which leads to significant deviations from experimental observations. These limitations make them unsuitable for high-fidelity analyses of aeroengine mainshaft bearings. In this study, a self-developed high-speed traction test rig was used to systematically measure the traction–slip responses of three aviation lubricants, including the newly developed 4102 (7 cSt) and the inservice 4050 (5 cSt) and 4010 (3 cSt). The tests covered a wide range of operating conditions, including maximum Hertzian pressures of 1.0 to 1.5 GPa, oil supply temperatures of 25 to 120 °C, entrainment speeds of 25 to 40 m/s, and slide–roll ratios (SRR) of 0 to 0.3. The evolution of lubricant traction characteristics was examined in detail. Based on the experimental data, a four-parameter and three-coefficient traction model was proposed. This model eliminates the non-physical traction outputs at zero slip observed in previous formulations. When embedded into the bearing dynamic simulations, the maximum deviation between the predicted friction torque and the measured values is only 3.79%. On the basis of typical operating conditions of aeroengine bearings, lubricant selection guidelines were established. Under combined high-speed, light-load, and high-temperature conditions, the high-viscosity lubricant 4102 is preferred because it suppresses cage sliding and enhances film stiffness. When the cage slip ratio is below 15% and lubrication is sufficient, the low-viscosity lubricant 4010 is recommended, followed by 4050, in order to reduce frictional heating. This study provides a theoretical basis for high-accuracy dynamic design and lubricant selection for aeroengine ball bearings. Full article
Show Figures

Figure 1

18 pages, 7411 KB  
Article
Enhancing Marine Gravity Anomaly Recovery from Satellite Altimetry Using Differential Marine Geodetic Data
by Yu Han, Fangjun Qin, Jiujiang Yan, Hongwei Wei, Geng Zhang, Yang Li and Yimin Li
Appl. Sci. 2026, 16(2), 726; https://doi.org/10.3390/app16020726 - 9 Jan 2026
Viewed by 166
Abstract
Traditional fusion methods for integrating multi-source gravity data rely on predefined mathematical models that inadequately capture complex nonlinear relationships, particularly at wavelengths shorter than 10 km. We developed a convolutional neural network incorporating differential marine geodetic data (DMGD-CNN) to enhance marine gravity anomaly [...] Read more.
Traditional fusion methods for integrating multi-source gravity data rely on predefined mathematical models that inadequately capture complex nonlinear relationships, particularly at wavelengths shorter than 10 km. We developed a convolutional neural network incorporating differential marine geodetic data (DMGD-CNN) to enhance marine gravity anomaly recovery from HY-2A satellite altimetry. The DMGD-CNN framework encodes spatial gradient information by computing differences between target points and their surrounding neighborhoods, enabling the model to explicitly capture local gravity field variations. This approach transforms absolute parameter values into spatial gradient representations, functioning as a spatial high-pass filter that enhances local gradient information critical for short-wavelength gravity signal recovery while reducing the influence of long-wavelength components. Through systematic ablation studies with eight parameter configurations, we demonstrate that incorporating first- and second-order seabed topography derivatives significantly enhances model performance, reducing the root mean square error (RMSE) from 2.26 mGal to 0.93 mGal, with further reduction to 0.85 mGal achieved by the differential learning strategy. Comprehensive benchmarking against international gravity models (SIO V32.1, DTU17, and SDUST2022) demonstrates that DMGD-CNN achieves 2–10% accuracy improvement over direct CNN predictions in complex topographic regions. Power spectral density analysis reveals enhanced predictive capabilities at wavelengths below 10 km for the direct CNN approach, with DMGD-CNN achieving further precision enhancement at wavelengths below 5 km. Cross-validation with independent shipborne surveys confirms the method’s robustness, showing 47–63% RMSE reduction in shallow water regions (<2000 m depth) compared to HY-2A altimeter-derived results. These findings demonstrate that deep learning with differential marine geodetic features substantially improves marine gravity field modeling accuracy, particularly for capturing fine-scale gravitational features in challenging environments. Full article
Show Figures

Figure 1

19 pages, 1582 KB  
Article
Sticking Efficiency of Microplastic Particles in Terrestrial Environments Determined with Atomic Force Microscopy
by Robert M. Wheeler and Steven K. Lower
Microplastics 2026, 5(1), 6; https://doi.org/10.3390/microplastics5010006 - 9 Jan 2026
Viewed by 93
Abstract
Subsurface deposition determines whether soils, aquifers, or ocean sediment represent a sink or temporary reservoir for microplastics. Deposition is generally studied by applying the Smoluchowski–Levich equation to determine a particle’s sticking efficiency, which relates the number of particles filtered by sediment to the [...] Read more.
Subsurface deposition determines whether soils, aquifers, or ocean sediment represent a sink or temporary reservoir for microplastics. Deposition is generally studied by applying the Smoluchowski–Levich equation to determine a particle’s sticking efficiency, which relates the number of particles filtered by sediment to the probability of attachment occurring from an interaction between particles and sediment. Sticking efficiency is typically measured using column experiments or estimated from theory using the Interaction Force Boundary Layer (IFBL) model. However, there is generally a large discrepancy (orders of magnitude) between the values predicted from IFBL theory and the experimental column measurements. One way to bridge this gap is to directly measure a microparticle’s interaction forces using Atomic Force Microscopy (AFM). Herein, an AFM method is presented to measure sticking efficiency for a model polystyrene microparticle (2 μm) on a model geomaterial surface (glass or quartz) in environmentally relevant, synthetic freshwaters of varying ionic strength (de-ionized water, soft water, hard water). These data, collected over nanometer length scales, are compared to sticking efficiencies determined through traditional approaches. Force measurement results show that AFM can detect extremely low sticking efficiencies, surpassing the sensitivity of column studies. These data also demonstrate that the 75th to 95th percentile, rather than the mean or median force values, provides a better approximation to values measured in model column experiments or field settings. This variability of the methods provides insight into the fundamental mechanics of microplastic deposition and suggests AFM is isolating the physicochemical interactions, while column experiments also include physical interactions like straining. Advantages of AFM over traditional column/field experiments include high throughput, small volumes, and speed of data collection. For example, at a ramp rate of 1 Hz, 60 sticking efficiency measurements could be made in only a minute. Compared to column or field experiments, the AFM requires much less liquid (μL volume) making it effortless to examine the impact of solution chemistry (temperature, pH, ionic strength, valency of dissolved ions, presence of organics, etc.). Potential limitations of this AFM approach are presented alongside possible solutions (e.g., baseline correction, numerical integration). If these challenges are successfully addressed, then AFM would provide a completely new approach to help elucidate which subsurface minerals represent a sink or temporary storage site for microparticles on their journey from terrestrial to oceanic environments. Full article
(This article belongs to the Special Issue Microplastics in Freshwater Ecosystems)
Show Figures

Figure 1

24 pages, 6216 KB  
Article
Three-Dimensional Surface High-Precision Modeling and Loss Mechanism Analysis of Motor Efficiency Map Based on Driving Cycles
by Jiayue He, Yan Sui, Qiao Liu, Zehui Cai and Nan Xu
Energies 2026, 19(2), 302; https://doi.org/10.3390/en19020302 - 7 Jan 2026
Viewed by 131
Abstract
Amid fossil-fuel depletion and worsening environmental impacts, battery electric vehicles (BEVs) are pivotal to the energy transition. Energy management in BEVs relies on accurate motor efficiency maps, yet real-time onboard control demands models that balance fidelity with computational cost. To address map inaccuracy [...] Read more.
Amid fossil-fuel depletion and worsening environmental impacts, battery electric vehicles (BEVs) are pivotal to the energy transition. Energy management in BEVs relies on accurate motor efficiency maps, yet real-time onboard control demands models that balance fidelity with computational cost. To address map inaccuracy under real driving and the high runtime cost of 2-D interpolation, we propose a driving-cycle-aware, physically interpretable quadratic polynomial-surface framework. We extract priority operating regions on the speed–torque plane from typical driving cycles and model electrical power Pe  as a function of motor speed n and mechanical power Pm. A nested model family (M3–M6) and three fitting strategies—global, local, and region-weighted—are assessed using R2, RMSE, a computational complexity index (CCI), and an Integrated Criterion for accuracy–complexity and stability (ICS). Simulations on the Worldwide Harmonized Light Vehicles Test Cycle, the China Light-Duty Vehicle Test Cycle, and the Urban Dynamometer Driving Schedule show that region-weighted fitting consistently achieves the best or near-best ICS; relative to Global fitting, mean ICS decreases by 49.0%, 46.4%, and 90.6%, with the smallest variance. Regarding model order, the four-term M4 +Pm2 offers the best accuracy–complexity trade-off. Finally, the region-weighted fitting M4 +Pm2 polynomial model was integrated into the vehicle-level economic speed planning model based on the dynamic programming algorithm. In simulations covering a 27 km driving distance, this model reduced computational time by approximately 87% compared to a linear interpolation method based on a two-dimensional lookup table, while achieving an energy consumption deviation of about 0.01% relative to the lookup table approach. Results demonstrate that the proposed model significantly alleviates computational burden while maintaining high energy consumption prediction accuracy, thereby providing robust support for real-time in-vehicle applications in whole-vehicle energy management. Full article
(This article belongs to the Special Issue Challenges and Research Trends of Energy Management)
Show Figures

Figure 1

31 pages, 1534 KB  
Article
Causal Reasoning and Large Language Models for Military Decision-Making: Rethinking the Command Structures in the Era of Generative AI
by Dimitrios Doumanas, Andreas Soularidis and Konstantinos Kotis
AI 2026, 7(1), 14; https://doi.org/10.3390/ai7010014 - 7 Jan 2026
Viewed by 362
Abstract
Military decision-making is inherently complex and highly critical, requiring commanders to assess multiple variables in real-time, anticipate second-order effects, and adapt strategies based on continuously evolving battlefield conditions. Traditional approaches rely on domain expertise, experience, and intuition, often supported by decision-support systems designed [...] Read more.
Military decision-making is inherently complex and highly critical, requiring commanders to assess multiple variables in real-time, anticipate second-order effects, and adapt strategies based on continuously evolving battlefield conditions. Traditional approaches rely on domain expertise, experience, and intuition, often supported by decision-support systems designed by military experts. With the rapid advancement of Large Language Models (LLMs) such as ChatGPT, Claude, and DeepSeek, a new research question emerges: can LLMs perform causal reasoning at a level that could meaningfully replace human decision-makers, or should they remain human-led decision-support tools in high-stakes environments? This paper explores the causal reasoning capabilities of LLMs for operational and strategic military decisions. Unlike conventional AI models that rely primarily on correlation-based predictions, LLMs are now able to engage in multi-perspective reasoning, intervention analysis, and scenario-based assessments. We introduce a structured empirical evaluation framework to assess LLM performance through 10 de-identified real-world-inspired battle scenarios, ensuring models reason over provided inputs rather than memorized data. Critically, LLM outputs are systematically compared against a human expert baseline, composed of military officers across multiple ranks and years of operational experience. The evaluation focuses on precision, recall, causal reasoning depth, adaptability, and decision soundness. Our findings provide a rigorous comparative assessment of whether carefully prompted LLMs can assist, complement, or approach expert-level performance in military planning. While fully autonomous AI-led command remains premature, the results suggest that LLMs can offer valuable support in complex decision processes when integrated as part of hybrid human-AI decision-support frameworks. Since our evaluation directly tests this capability, this paradigm shift raises fundamental question: Is there a possibility to fully replace high-ranking officers/commanders in leading critical military operations, or should AI-driven tools remain as decision-support systems enhancing human-driven battlefield strategies? Full article
Show Figures

Figure 1

14 pages, 1038 KB  
Article
Designing Poly(vinyl formal) Membranes for Controlled Diclofenac Delivery: Integrating Classical Kinetics with GRNN Modeling
by Igor Garcia-Atutxa and Francisca Villanueva-Flores
Appl. Sci. 2026, 16(2), 562; https://doi.org/10.3390/app16020562 - 6 Jan 2026
Viewed by 111
Abstract
Controlled-release systems must translate material design choices into predictable pharmacokinetic (PK) profiles, yet purely mechanistic or purely data-driven models often underperform when tuning complex polymer networks. Here, we develop tunable poly(vinyl formal) membranes (PVFMs) for diclofenac delivery and integrate classical kinetic analysis with [...] Read more.
Controlled-release systems must translate material design choices into predictable pharmacokinetic (PK) profiles, yet purely mechanistic or purely data-driven models often underperform when tuning complex polymer networks. Here, we develop tunable poly(vinyl formal) membranes (PVFMs) for diclofenac delivery and integrate classical kinetic analysis with a Generalized Regression Neural Network (GRNN) to connect formulation variables to release behavior and PK-relevant targets. PVFMs were synthesized across a gradient of crosslink densities by varying HCl content; diclofenac release was quantified under standardized conditions with geometry and dosing rigorously controlled (thickness, effective area, surface-area-to-volume ratio, and areal drug loading are reported to ensure reproducibility). Release profiles were fitted to Korsmeyer–Peppas, zero-order, first-order, Higuchi, and hyperbolic tangent models, while a GRNN was trained on material descriptors and time to predict cumulative release and flux, including out-of-sample conditions. Increasing crosslink density monotonically reduced swelling, areal release rate, and overall release efficiency (strong linear trends; r ≈ 0.99) and shifted transport from anomalous to Super Case II at the highest crosslinking. Classical models captured regime transitions but did not sustain high accuracy across the full design space; in contrast, the GRNN delivered superior predictive performance and generalized to conditions absent from training, enabling accurate interpolation/extrapolation of release trajectories. Beyond prior work, we provide a material-to-PK design map in which crosslinking, porosity/tortuosity, and hydrophobicity act as explicit “knobs” to shape burst, flux, and near-zero-order behavior, and we introduce a hybrid framework where mechanistic models guide interpretation while GRNN supplies robust, data-driven prediction for formulation selection. This integrated PVFM–GRNN approach supports rational design and quality control of controlled-release devices for diclofenac and is extendable to other therapeutics given appropriate descriptors and training data. Full article
(This article belongs to the Section Materials Science and Engineering)
Show Figures

Figure 1

29 pages, 3200 KB  
Article
Accurate Prediction of Type 1 Diabetes Using a Novel Hybrid GRU-Transformer Model and Enhanced CGM Features
by Loubna Mazgouti, Nacira Laamiri, Jaouher Ben Ali, Najiba El Amrani El Idrissi, Véronique Di Costanzo, Roomila Naeck and Jean-Mark Ginoux
Algorithms 2026, 19(1), 52; https://doi.org/10.3390/a19010052 - 6 Jan 2026
Viewed by 205
Abstract
Accurate prediction of Blood Glucose (BG) levels is essential for effective diabetes management and the prevention of adverse glycemic events. This study introduces a novel designed hybrid Gated Recurrent Unit-Transformer (GRU-Transformer) model tailored to forecast BG levels at 15, 30, 45, and 60 [...] Read more.
Accurate prediction of Blood Glucose (BG) levels is essential for effective diabetes management and the prevention of adverse glycemic events. This study introduces a novel designed hybrid Gated Recurrent Unit-Transformer (GRU-Transformer) model tailored to forecast BG levels at 15, 30, 45, and 60 min horizons using only Continuous Glucose Monitoring (CGM) data as input. The proposed approach integrates advanced CGM feature extraction step. The extracted features are statistically the mean, the median, the maximum, the entropy, the autocorrelation and the Detrended Fluctuation Analysis (DFA). In addition, in order to define more enhanced and specific features, the custom 3-points monotonicity score, the sinusoidal time encoding, and the workday/weekend binary features are proposed in this work. This approach enables the model to capture physiological dynamics and contextual temporal patterns of Type 1 Diabetes (T1D) with great accuracy. To thoroughly assess the performance of the proposed method, we relied on several well-established metrics, including Root Mean Squared Error (RMSE), Coefficient of Determination (R2), Mean Absolute Error (MAE), Mean Absolute Percentage Error (MAPE), and Root Mean Squared Percentage Error (RMSPE). Experimental results demonstrate that the proposed method achieves superior predictive accuracy for both short-term (15–30 min) and long-term (45–60 min) forecasting. Specifically, the model attained the lowest average RMSE values, with 4.00 mg/dL, 6.65 mg/dL, 7.96 mg/dL, and 8.91 mg/dL and yielding consistently high R2 scores for the respective prediction horizons. This new method distinguishes itself by continuously exceeding current prediction models, reinforcing its potential for real-time CGM and clinical decision support. Its high accuracy and adaptability make it a favorable tool for improving diabetes management and personalized glycemic control. Full article
Show Figures

Figure 1

Back to TopTop