Sticking Efficiency of Microplastic Particles in Terrestrial Environments Determined with Atomic Force Microscopy
Abstract
1. Introduction
2. Materials and Methods
3. Results and Discussion
3.1. Characterize Surfaces of the Solid Substrates Used in AFM Experiments
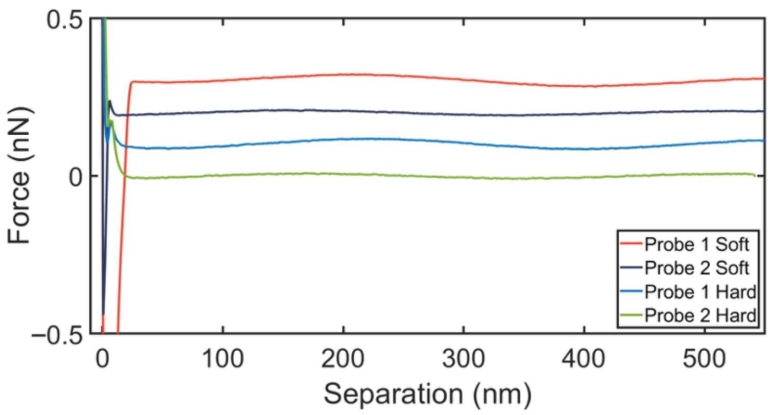
3.2. AFM Experiments Using Microparticles, Minerals, and Freshwater Solutions
3.3. Going from Fundamental Force Curves to Sticking Efficiencies
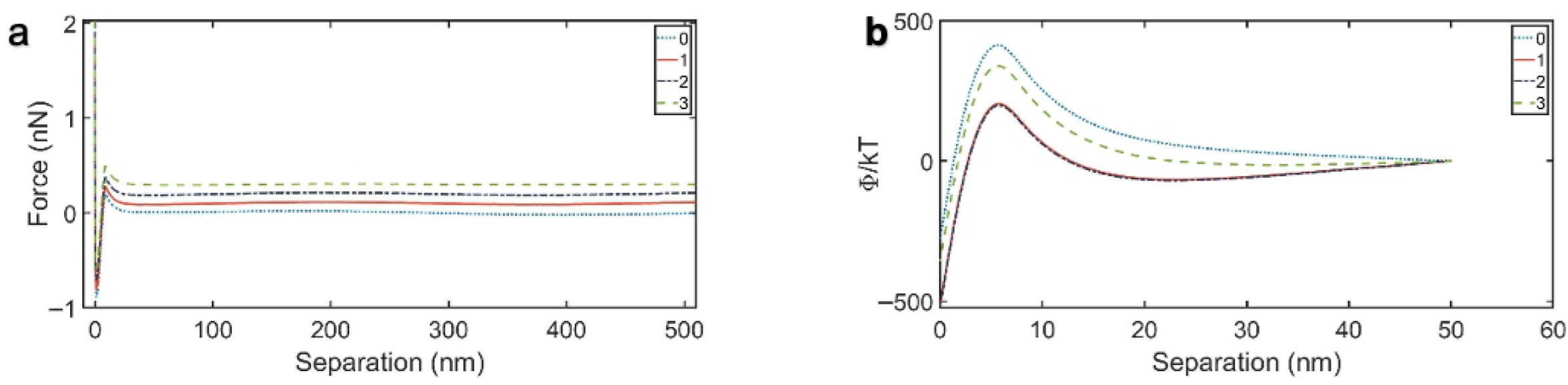
3.4. Assessing the Assumptions Used to Make the Average Force Curves
3.5. From Averages to Individual Curves
3.6. Implications for the Fate of Microplastics in Terrestrial Environments
4. Conclusions
Author Contributions
Funding
Institutional Review Board Statement
Data Availability Statement
Acknowledgments
Conflicts of Interest
Abbreviations
| AFM | Atomic Force Microscopy |
| DI | Deionized water |
| DLVO | Derjaguin–Landau–Verwey–Overbeek theory |
| IFBL | Interaction Force Boundary Layer |
| SPIP | Scanning Probe Image Processor software |
References
- Cole, M.; Lindeque, P.; Halsband, C.; Galloway, T.S. Microplastics as Contaminants in the Marine Environment: A Review. Mar. Pollut. Bull. 2011, 62, 2588–2597. [Google Scholar] [CrossRef]
- Andrady, A.L. Microplastics in the Marine Environment. Mar. Pollut. Bull. 2011, 62, 1596–1605. [Google Scholar] [CrossRef] [PubMed]
- Alimi, O.S.; Farner Budarz, J.; Hernandez, L.M.; Tufenkji, N. Microplastics and Nanoplastics in Aquatic Environments: Aggregation, Deposition, and Enhanced Contaminant Transport. Environ. Sci. Technol. 2018, 52, 1704–1724. [Google Scholar] [CrossRef] [PubMed]
- EFSA CONTAM Panel (EFSA Panel on Contaminants in the Food Chain). Presence of microplastics and nanoplastics in food, with particular focus on seafood. EFSA J. 2016, 14, 4501. [Google Scholar] [CrossRef]
- Cunningham, E.M.; Ehlers, S.M.; Dick, J.T.A.; Sigwart, J.D.; Linse, K.; Dick, J.J.; Kiriakoulakis, K. High Abundances of Microplastic Pollution in Deep-Sea Sediments: Evidence from Antarctica and the Southern Ocean. Environ. Sci. Technol. 2020, 54, 13661–13671. [Google Scholar] [CrossRef]
- Panko, J.M.; Chu, J.; Kreider, M.L.; Unice, K.M. Measurement of Airborne Concentrations of Tire and Road Wear Particles in Urban and Rural Areas of France, Japan, and the United States. Atmos. Environ. 2013, 72, 192–199. [Google Scholar] [CrossRef]
- Auta, H.S.; Emenike, C.U.; Fauziah, S.H. Distribution and Importance of Microplastics in the Marine Environment—A Review of the Sources, Fate, Effects, and Potential Solutions. Environ. Int. 2017, 102, 165–176. [Google Scholar] [CrossRef] [PubMed]
- Bergmann, M.; Mützel, S.; Primpke, S.; Tekman, M.B.; Trachsel, J.; Gerdts, G. White and Wonderful? Microplastics Prevail in Snow from the Alps to the Arctic. Sci. Adv. 2019, 5, eaax1157. [Google Scholar] [CrossRef]
- Senathirajah, K.; Attwood, S.; Bhagwat, G.; Carbery, M.; Wilson, S.; Palanisami, T. Estimation of the Mass of Microplastics Ingested: A Pivotal First Step towards Human Health Risk Assessment. J. Hazard. Mater. 2021, 404 Pt B, 124004. [Google Scholar] [CrossRef]
- Kim, Y.-N.; Yoon, J.-H.; Kim, K.-H. Microplastic Contamination in Soil Environment—A Review. Soil Sci. Annu. 2021, 71, 300–308. [Google Scholar] [CrossRef]
- Talvitie, J.; Mikola, A.; Setälä, O.; Heinonen, M.; Koistinen, A. How Well Is Microlitter Purified from Wastewater?—A Detailed Study on the Stepwise Removal of Microlitter in a Tertiary Level Wastewater Treatment Plant. Water Res. 2017, 109, 164–172. [Google Scholar] [CrossRef]
- Murphy, F.; Ewins, C.; Carbonnier, F.; Quinn, B. Wastewater Treatment Works (WwTW) as a Source of Microplastics in the Aquatic Environment. Environ. Sci. Technol. 2016, 50, 5800–5808. [Google Scholar] [CrossRef]
- Su, Y.; Zhang, Z.; Wu, D.; Zhan, L.; Shi, H.; Xie, B. Occurrence of Microplastics in Landfill Systems and Their Fate with Landfill Age. Water Res. 2019, 164, 114968. [Google Scholar] [CrossRef]
- He, P.; Chen, L.; Shao, L.; Zhang, H.; Lü, F. Municipal Solid Waste (MSW) Landfill: A Source of Microplastics? -Evidence of Microplastics in Landfill Leachate. Water Res. 2019, 159, 38–45. [Google Scholar] [CrossRef] [PubMed]
- Cail, T.L.; Hochella, M.F. Experimentally Derived Sticking Efficiencies of Microparticles Using Atomic Force Microscopy. Environ. Sci. Technol. 2005, 39, 1011–1017. [Google Scholar] [CrossRef] [PubMed]
- Levich, V.G. Physicochemical Hydrodynamics; Prentice-Hall: Englewood Cliffs, NJ, USA, 1962. [Google Scholar]
- Petosa, A.R.; Jaisi, D.P.; Quevedo, I.R.; Elimelech, M.; Tufenkji, N. Aggregation and Deposition of Engineered Nanomaterials in Aquatic Environments: Role of Physicochemical Interactions. Environ. Sci. Technol. 2010, 44, 6532–6549. [Google Scholar] [CrossRef]
- Spielman, L.A.; Friedlander, S.K. Role of the Electrical Double Layer in Particle Deposition by Convective Diffusion. J. Colloid Interface Sci. 1974, 46, 22–31. [Google Scholar] [CrossRef]
- Elimelech, M.; O’Melia, C.R. Effect of Particle Size on Collision Efficiency in the Deposition of Brownian Particles with Electrostatic Energy Barriers. Langmuir 1990, 6, 1153–1163. [Google Scholar] [CrossRef]
- Pelley, A.J.; Tufenkji, N. Effect of Particle Size and Natural Organic Matter on the Migration of Nano- and Microscale Latex Particles in Saturated Porous Media. J. Colloid Interface Sci. 2008, 321, 74–83. [Google Scholar] [CrossRef] [PubMed]
- Li, Y.; Wang, Y.; Pennell, K.D.; Briola, L.M.A. Investigation of the Transport and Deposition of Fullerene (C60) Nanoparticles in Quartz Sands under Varying Flow Conditions. Environ. Sci. Technol. 2008, 42, 7174–7180. [Google Scholar] [CrossRef]
- Cail, T.L.; Hochella, M.F. The Effects of Solution Chemistry on the Sticking Efficiencies of Viable Enterococcus Faecalis: An Atomic Force Microscopy and Modeling Study. Geochim. Cosmochim. Acta 2005, 69, 2959–2969. [Google Scholar] [CrossRef]
- Bouchard, D.; Zhang, W.; Chang, X. A Rapid Screening Technique for Estimating Nanoparticle Transport in Porous Media. Water Res. 2013, 47, 4086–4094. [Google Scholar] [CrossRef]
- Yongsunthon, R.; Lower, S.K. Force measurements between a bacterium and another surface in situ. Adv. Appl. Microbiol. 2005, 58, 97–124. [Google Scholar] [CrossRef]
- Weber, C.I. (Ed.) Dilution water. In Methods for Measuring the Acute Toxicity of Effluent and Receiving Waters to Freshwater and Marine Organisms, 4th ed.; U.S. Environmental Protection Agency: Cincinnati, OH, USA, 1993; pp. 28–33. [Google Scholar]
- Lower, S. Atomic Force Microscopy to Study Intermolecular Forces and Bonds Associated with Bacteria. In Bacterial Adhesion; Advances in Experimental Medicine and Biology; Linke, D., Goldman, A., Eds.; Springer: Dordrecht, The Netherlands, 2011; Volume 715, pp. 285–299. [Google Scholar] [CrossRef]
- Benítez, R.; Bolós, V.J.; Toca-Herrera, J.-L. AfmToolkit: An R Package for Automated AFM Force-Distance Curves Analysis. R J. 2017, 9, 291–308. [Google Scholar] [CrossRef]
- Butt, H.-J.; Cappella, B.; Kappl, M. Force Measurements with the Atomic Force Microscope: Technique, Interpretation and Applications. Surf. Sci. Rep. 2005, 59, 1–152. [Google Scholar] [CrossRef]
- Elimelech, M. Particle Deposition and Aggregation: Measurement, Modelling, and Simulation; Butterworth-Heinemann: Oxford, UK; Boston, MA, USA, 1998. [Google Scholar]
- Lower, S.K. Directed natural forces of affinity between a bacterium and mineral. Am. J. Sci. 2005, 305, 752–765. [Google Scholar] [CrossRef]
- Yongsunthon, R.; Lower, S.K. Force spectroscopy of bonds that form between a Staphylococcus bacterium and silica or polystyrene substrates. J. Electron. Spectrosc. Relat. Phenom. 2006, 150, 228–234. [Google Scholar] [CrossRef]
- Elimelech, M.; O’Melia, C.R. Kinetics of Deposition of Colloidal Particles in Porous Media. Environ. Sci. Technol. 1990, 24, 1528–1536. [Google Scholar] [CrossRef]
- Xu, S.; Qi, J.; Chen, X.; Lazouskaya, V.; Zhuang, J.; Jin, Y. Coupled Effect of Extended DLVO and Capillary Interactions on the Retention and Transport of Colloids through Unsaturated Porous Media. Sci. Total Environ. 2016, 573, 564–572. [Google Scholar] [CrossRef] [PubMed]
- Quevedo, I.R.; Tufenkji, N. Mobility of Functionalized Quantum Dots and a Model Polystyrene Nanoparticle in Saturated Quartz Sand and Loamy Sand. Environ. Sci. Technol. 2012, 46, 4449–4457. [Google Scholar] [CrossRef]
- Tufenkji, N.; Elimelech, M. Breakdown of Colloid Filtration Theory: Role of the Secondary Energy Minimum and Surface Charge Heterogeneities. Langmuir 2005, 21, 841–852. [Google Scholar] [CrossRef]
- Goeppert, N.; Goldscheider, N. Experimental Field Evidence for Transport of Microplastic Tracers over Large Distances in an Alluvial Aquifer. J. Hazard. Mater. 2021, 408, 124844. [Google Scholar] [CrossRef]
- Cheng, X.; Kan, A.T.; Tomson, M.B. Study of C 60 Transport in Porous Media and the Effect of Sorbed C 60 on Naphthalene Transport. J. Mater. Res. 2005, 20, 3244–3254. [Google Scholar] [CrossRef]
- Casillas-Ituarte, N.N.; Cruz, C.H.B.; Lins, D.L.; DiBartola, A.C.; Howard, J.; Liang, X.; Hook, M.; Viana, I.F.V.; Sierra-Hernandez, M.R.; Lower, S.K. F Amino acid polymorphisms in the fibronectin-binding repeats of fibronectin-binding protein A affect bond strength and fibronectin conformation. J. Biol. Chem. 2017, 292, 8797–8810. [Google Scholar] [CrossRef] [PubMed]
- Eichmann, S.L.; Burnham, N.A. Calcium-Mediated Adhesion of Nanomaterials in Reservoir Fluids. Sci. Rep. 2017, 7, 11613. [Google Scholar] [CrossRef] [PubMed]
- Jupille, J. Analysis of Mineral Surfaces by Atomic Force Microscopy. Rev. Mineral. Geochem. 2014, 78, 331–369. [Google Scholar] [CrossRef]
- Afrin, R.; Yano, T.; Jia, T.Z.; Cleaves, H.J.; Hara, M. Unbinding Events of Amino Acids and Peptides from Water–Pyrite Interfaces: A Case Study of Life’s Origin on Mineral Surfaces. Biophys. Chem. 2020, 260, 106338. [Google Scholar] [CrossRef]
- Lower, S.K.; Tadanier, C.J.; Hochella, M.F. Measuring Interfacial and Adhesion Forces between Bacteria and Mineral Surfaces with Biological Force Microscopy. Geochim. Cosmochim. Acta 2000, 64, 3133–3139. [Google Scholar] [CrossRef]
- D’Sa, D.J.; Chan, H.K.; Chrzanowski, W. Attachment of Micro- and Nano-Particles on Tipless Cantilevers for Colloidal Probe Microscopy. J. Colloid Interface Sci. 2014, 426, 190–198. [Google Scholar] [CrossRef]
- Mark, A.; Helfricht, N.; Rauh, A.; Karg, M.; Papastavrou, G. The Next Generation of Colloidal Probes: A Universal Approach for Soft and Ultra-Small Particles. Small 2019, 15, 1902976. [Google Scholar] [CrossRef]










| Geomaterial Surface | Rq Roughness (nm) | Ra Roughness (nm) |
|---|---|---|
| glass coverslip (n = 10) | 0.23 ± 0.09 | 0.17 ± 0.05 |
| glass microscope slide (n = 6) | 2.36 ± 0.33 | 0.67 ± 0.16 |
| Probe # | Deionized Water (DI) | Soft Water | Hard Water | |||
|---|---|---|---|---|---|---|
| Coverslip | Slide | Coverslip | Slide | Coverslip | Slide | |
| 1 | 0 | 0 | 1 | <10−20 | 1 | <10−20 |
| 2 | <10−20 | 0 | 1 | <10−20 | <10−20 | 4.58 × 10−20 |
| Particle Diameter (mm) | Soft Water | Hard Water | ||
|---|---|---|---|---|
| Coverslip | Slide | Coverslip | Slide | |
| 2 (trial 1) | 1 | <10−20 | <10−20 | <10−20 |
| 2 (trial 2) | 2.29 × 10−6 | <10−20 | <10−20 | <10−20 |
| Baseline Order | Force Curves with Hysteresis Correction | Force Curves Without Hysteresis Correction | ||
|---|---|---|---|---|
| Uncorrected Avg. Baseline | Corrected Avg. Baseline | Uncorrected Avg. Baseline | Corrected Avg. Baseline | |
| 1 | <10−20 | <10−20 | <10−20 | <10−20 |
| 2 | <10−20 | <10−20 | <10−20 | <10−20 |
| 3 | <10−20 | 6.81 × 10−15 | <10−20 | 5.19 × 10−15 |
| 4 | <10−20 | <10−20 | <10−20 | <10−20 |
| Type | Size | Range of α | Method | Reference |
|---|---|---|---|---|
| polystyrene | 2 μm | <10−20 to 1 | AFM | this work |
| carboxylated polysty. | 2 μm | 10−48 to 1 | AFM | [15] |
| polystyrene | 753 nm | 0.019 to 0.65 | column | [19] |
| carboxylated polysty. | 364 nm | 0.001 to 0.023 | column | [33] |
| polystyrene | 24 nm | 0.001 to 1 | column | [34] |
| carboxylated polysty. | 63 nm–3 μm | 0.0058 to 0.83 | column | [35] |
Disclaimer/Publisher’s Note: The statements, opinions and data contained in all publications are solely those of the individual author(s) and contributor(s) and not of MDPI and/or the editor(s). MDPI and/or the editor(s) disclaim responsibility for any injury to people or property resulting from any ideas, methods, instructions or products referred to in the content. |
© 2026 by the authors. Licensee MDPI, Basel, Switzerland. This article is an open access article distributed under the terms and conditions of the Creative Commons Attribution (CC BY) license.
Share and Cite
Wheeler, R.M.; Lower, S.K. Sticking Efficiency of Microplastic Particles in Terrestrial Environments Determined with Atomic Force Microscopy. Microplastics 2026, 5, 6. https://doi.org/10.3390/microplastics5010006
Wheeler RM, Lower SK. Sticking Efficiency of Microplastic Particles in Terrestrial Environments Determined with Atomic Force Microscopy. Microplastics. 2026; 5(1):6. https://doi.org/10.3390/microplastics5010006
Chicago/Turabian StyleWheeler, Robert M., and Steven K. Lower. 2026. "Sticking Efficiency of Microplastic Particles in Terrestrial Environments Determined with Atomic Force Microscopy" Microplastics 5, no. 1: 6. https://doi.org/10.3390/microplastics5010006
APA StyleWheeler, R. M., & Lower, S. K. (2026). Sticking Efficiency of Microplastic Particles in Terrestrial Environments Determined with Atomic Force Microscopy. Microplastics, 5(1), 6. https://doi.org/10.3390/microplastics5010006

