Sign in to use this feature.

Years

Between: -

Subjects

remove_circle_outline
remove_circle_outline
remove_circle_outline
remove_circle_outline
remove_circle_outline
remove_circle_outline
remove_circle_outline
remove_circle_outline
remove_circle_outline

Journals

remove_circle_outline
remove_circle_outline
remove_circle_outline
remove_circle_outline
remove_circle_outline
remove_circle_outline
remove_circle_outline
remove_circle_outline
remove_circle_outline
remove_circle_outline
remove_circle_outline
remove_circle_outline

Article Types

Countries / Regions

remove_circle_outline
remove_circle_outline
remove_circle_outline
remove_circle_outline
remove_circle_outline
remove_circle_outline

Search Results (1,741)

Search Parameters:
Keywords = high-order numerical methods

Order results
Result details
Results per page
Select all
Export citation of selected articles as:
31 pages, 3665 KB  
Article
Reliability-Oriented Modeling of Bellows Compensators: A Comparative PDE-Based Study Using Finite Difference and Finite Element Methods
by Yerzhan Y. Sarybayev, Doszhan Y. Balgayev, Denis Y. Tkachenko, Nikita V. Martyushev, Boris V. Malozyomov, Baurzhan S. Beisenov and Svetlana N. Sorokova
Mathematics 2025, 13(21), 3452; https://doi.org/10.3390/math13213452 - 29 Oct 2025
Abstract
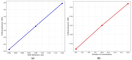
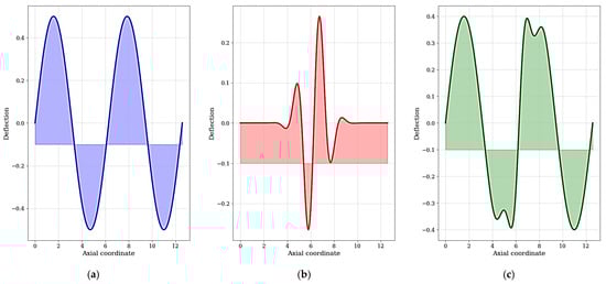
Bellows compensators are critical components in pipeline systems, designed to absorb thermal expansions, vibrations, and pressure reflections. Ensuring their operational reliability requires accurate prediction of the stress–strain state (SSS) and stability under internal pressure. This study presents a comprehensive mathematical model for analyzing [...] Read more.
Bellows compensators are critical components in pipeline systems, designed to absorb thermal expansions, vibrations, and pressure reflections. Ensuring their operational reliability requires accurate prediction of the stress–strain state (SSS) and stability under internal pressure. This study presents a comprehensive mathematical model for analyzing corrugated bellows compensators, formulated as a boundary value problem for a system of partial differential equations (PDEs) within the Kirchhoff–Love shell theory framework. Two numerical approaches are developed and compared: a finite difference method (FDM) applied to a reduced axisymmetric formulation to ordinary differential equations (ODEs) and a finite element method (FEM) for the full variational formulation. The FDM scheme utilizes a second-order implicit symmetric approximation, ensuring stability and efficiency for axisymmetric geometries. The FEM model, implemented in Ansys 2020 R2, provides high fidelity for complex geometries and boundary conditions. Convergence analysis confirms second-order spatial accuracy for both methods. Numerical experiments determine critical pressures based on the von Mises yield criterion and linearized buckling analysis, revealing the influence of geometric parameters (wall thickness, number of convolutions) on failure mechanisms. The results demonstrate that local buckling can occur at lower pressures than that of global buckling for thin-walled bellows with multiple convolutions, which is critical for structural reliability assessment. The proposed combined approach (FDM for rapid preliminary design and FEM for final verification) offers a robust and efficient methodology for bellows design, enhancing reliability and reducing development time. The work highlights the importance of integrating rigorous PDE-based modeling with modern numerical techniques for solving complex engineering problems with a focus on structural integrity and long-term performance. Full article
Show Figures

Figure 1

21 pages, 2320 KB  
Article
An Efficient High-Accuracy RBF-HFD Scheme for Caputo Time-Fractional Sub-Diffusion Problems with Integral Boundaries
by Kaysar Rahman, Shahid Hussain and Xunan Wei
Fractal Fract. 2025, 9(11), 694; https://doi.org/10.3390/fractalfract9110694 - 28 Oct 2025
Abstract
This study presents an efficient high-order radius function Hermite finite difference (RBF-HFD) scheme for the numerical solution of Caputo time-fractional sub-diffusion equations with integral boundary conditions. The spatial derivatives are approximated using a fourth-order RBF-HFD scheme, while the Caputo fractional derivative in time [...] Read more.
This study presents an efficient high-order radius function Hermite finite difference (RBF-HFD) scheme for the numerical solution of Caputo time-fractional sub-diffusion equations with integral boundary conditions. The spatial derivatives are approximated using a fourth-order RBF-HFD scheme, while the Caputo fractional derivative in time is discretized via the L21σ formula. To ensure global fourth-order spatial accuracy, the integral boundary conditions are discretized with the composite Simpson rule. As a result, we obtain an unconditionally stable numerical scheme that achieves fourth-order convergence in space and second-order convergence in time. The solvability, stability, and convergence of the scheme are rigorously established using the discrete energy method. The proposed method is validated through three numerical examples and is compared with existing approaches. The numerical results demonstrate that the proposed scheme achieves higher accuracy than the methods available in the literature. Full article
(This article belongs to the Section General Mathematics, Analysis)
29 pages, 589 KB  
Article
Numerical Modeling of a Gas–Particle Flow Induced by the Interaction of a Shock Wave with a Cloud of Particles
by Konstantin Volkov
Mathematics 2025, 13(21), 3427; https://doi.org/10.3390/math13213427 - 28 Oct 2025
Abstract
A continuum model for describing pseudo-turbulent flows of a dispersed phase is developed using a statistical approach based on the kinetic equation for the probability density of particle velocity and temperature. The introduction of the probability density function enables a statistical description of [...] Read more.
A continuum model for describing pseudo-turbulent flows of a dispersed phase is developed using a statistical approach based on the kinetic equation for the probability density of particle velocity and temperature. The introduction of the probability density function enables a statistical description of the particle ensemble through equations for the first and second moments, replacing the dynamic description of individual particles derived from Langevin-type equations of motion and heat transfer. The lack of detailed dynamic information on individual particle behavior is compensated by a richer statistical characterization of the motion and heat transfer within the particle continuum. A numerical simulation of the unsteady flow of a gas–particle suspension generated by the interaction of a shock wave with a particle cloud is performed using an interpenetrating continua model and equations for the first and second moments of both gas and particles. Numerical methods for solving the two-phase gas dynamics equations—formulated using a two-velocity and two-temperature model—are discussed. Each phase is governed by conservation equations for mass, momentum, and energy, written in a conservative hyperbolic form. These equations are solved using a high-order Godunov-type numerical method, with time discretization performed by a third-order Runge–Kutta scheme. The study analyzes the influence of two-dimensional effects on the formation of shock-wave flow structures and explores the spatial and temporal evolution of particle concentration and other flow parameters. The results enable an estimation of shock wave attenuation by a granular backfill. The extended pressure relaxation region is observed behind the cloud of particles. Full article
(This article belongs to the Special Issue Numerical Methods and Analysis for Partial Differential Equations)
Show Figures

Figure 1

24 pages, 2313 KB  
Article
Spectral Collocation Method for Solving Nonlinear Riesz Distributed-Order Fractional Differential Equations
by Ammar Lachin, Mohammed A. Abdelkawy and Saratha Sathasivam
Mathematics 2025, 13(21), 3425; https://doi.org/10.3390/math13213425 - 27 Oct 2025
Viewed by 72
Abstract
In this article, we present an efficient and highly accurate numerical scheme that achieves exponential convergence for solving nonlinear Riesz distributed-order fractional differential equations (RDFDEs) in one- and two-dimensional initial–boundary value problems. The proposed method is based on a two-stage collocation framework. In [...] Read more.
In this article, we present an efficient and highly accurate numerical scheme that achieves exponential convergence for solving nonlinear Riesz distributed-order fractional differential equations (RDFDEs) in one- and two-dimensional initial–boundary value problems. The proposed method is based on a two-stage collocation framework. In the first stage, spatial discretization is performed using the shifted Legendre–Gauss–Lobatto (SL-G-L) collocation method, where the approximate solutions and spatial derivatives are expressed in terms of shifted Legendre polynomial expansions. This reduces the original problem to a system of fractional differential equations (FDEs) for the expansion coefficients. Then, the temporal discretization is achieved in the second stage via Romanovski–Gauss–Radau collocation approach, which converts the system into a system of algebraic equations that can be solved efficiently. The method is applied to one- and two-dimensional nonlinear RDFDEs, and numerical experiments confirm its spectral accuracy, computational efficiency, and reliability. Existing numerical approaches to distributed-order fractional models often suffer from poor accuracy, instability in nonlinear settings, and high computational costs. By combining the efficiency of Legendre polynomials for bounded spatial domains with the stability of Romanovski polynomials for temporal discretization, the proposed two-stage framework effectively overcomes these limitations and achieves superior accuracy and stability. Full article
(This article belongs to the Section E: Applied Mathematics)
Show Figures

Figure 1

24 pages, 4973 KB  
Article
An Enhanced Method for Optical Imaging Computation of Space Objects Integrating an Improved Phong Model and Higher-Order Spherical Harmonics
by Qinyu Zhu, Can Xu, Yasheng Zhang, Yao Lu, Xia Wang and Peng Li
Remote Sens. 2025, 17(21), 3543; https://doi.org/10.3390/rs17213543 - 26 Oct 2025
Viewed by 158
Abstract
Space-based optical imaging detection serves as a crucial means for acquiring characteristic information of space objects, with the quality and resolution of images directly influencing the accuracy of subsequent missions. Addressing the scarcity of datasets in space-based optical imaging, this study introduces a [...] Read more.
Space-based optical imaging detection serves as a crucial means for acquiring characteristic information of space objects, with the quality and resolution of images directly influencing the accuracy of subsequent missions. Addressing the scarcity of datasets in space-based optical imaging, this study introduces a method that combines an improved Phong model and higher-order spherical harmonics (HOSH) for the optical imaging computation of space objects. Utilizing HOSH to fit the light field distribution, this approach comprehensively considers direct sunlight, earthshine, reflected light from other extremely distant celestial bodies, and multiple scattering from object surfaces. Through spectral reflectance experiments, an improved Phong model is developed to calculate the optical scattering characteristics of space objects and to retrieve common material properties such as metallicity, roughness, index of refraction (IOR), and Alpha for four types of satellite surfaces. Additionally, this study designs two sampling methods: a random sampling based on the spherical Fibonacci function (RSSF) and a sequential frame sampling based on predefined trajectories (SSPT). Through numerical analysis of the geometric and radiative rendering pipeline, this method simulates multiple scenarios under both high-resolution and wide-field-of-view operational modes across a range of relative distances. Simulation results validate the effectiveness of the proposed approach, with average rendering speeds of 2.86 s per frame and 1.67 s per frame for the two methods, respectively, demonstrating the capability for real-time rapid imaging while maintaining low computational resource consumption. The data simulation process spans six distinct relative distance intervals, ensuring that multi-scale images retain substantial textural features and are accompanied by attitude labels, thereby providing robust support for algorithms aimed at space object attitude estimation, and 3D reconstruction. Full article
Show Figures

Figure 1

15 pages, 3079 KB  
Article
Determination of the Bending and Shear Properties of Wood-Based Materials Using the TIMOSHENKO Beam Theory
by Patrick Kluge and Sven Eichhorn
Forests 2025, 16(11), 1630; https://doi.org/10.3390/f16111630 - 24 Oct 2025
Viewed by 137
Abstract
Wood-based materials in the form of wood veneer composites (WVCs) possess a high lightweight construction potential for load-bearing applications in mechanical engineering due to their high strength properties combined with low density. However, in order to substitute energy-intensive metallic construction materials (such as [...] Read more.
Wood-based materials in the form of wood veneer composites (WVCs) possess a high lightweight construction potential for load-bearing applications in mechanical engineering due to their high strength properties combined with low density. However, in order to substitute energy-intensive metallic construction materials (such as steel or aluminum), additional structural space is required to compensate for the comparatively low stiffness by means of the area moment of inertia. Under bending loads, an increase in cross-sectional height at a constant span length leads to elevated shear stresses. Owing to the low shear strength and stiffness of wood-based materials, the influence of shear stresses must be considered in both the design of wooden components and in material testing. Current standards for determining the bending properties of wood-based materials only describe methods for assessing pure bending behavior, without accounting for shear effects. The present contribution introduces a method for determining both bending and shear properties of WVC using the three-point bending test. This approach allows for the derivation of bending and shear modulus values through an analytical model based on Timoshenko beam theory by testing various span-to-height ratios. These modulus values represent material constants and enable the numerical design of wooden components for arbitrary geometric parameters. Full article
Show Figures

Figure 1

21 pages, 4380 KB  
Article
Midcourse Guidance via Variable-Discrete-Scale Sequential Convex Programming
by Jinlin Zhang, Jiong Li, Lei Shao, Jikun Ye and Yangchao He
Aerospace 2025, 12(11), 952; https://doi.org/10.3390/aerospace12110952 - 24 Oct 2025
Viewed by 214
Abstract
To address the challenges of strong nonlinearity, stringent terminal constraints, and the trade-off between computational efficiency and accuracy in the midcourse guidance trajectory optimization problem of aerodynamically controlled interceptors, this paper proposes a variable-discrete-scale sequential convex programming (SCP) method. Firstly, a dynamic model [...] Read more.
To address the challenges of strong nonlinearity, stringent terminal constraints, and the trade-off between computational efficiency and accuracy in the midcourse guidance trajectory optimization problem of aerodynamically controlled interceptors, this paper proposes a variable-discrete-scale sequential convex programming (SCP) method. Firstly, a dynamic model is established by introducing the range domain to replace the traditional time domain, thereby reducing the approximation error of the planned trajectory. Second, to overcome the critical issues of solution space restriction and trajectory divergence caused by terminal equality constraints, a terminal error-proportional relaxation approach is proposed. Subsequently, an improved second-order cone programming (SOCP) formulation is developed through systematic integration of three key techniques: terminal error-proportional relaxation, variable trust region, and path normalization. Finally, an initial trajectory generation algorithm is proposed, upon which a variable-discrete-scale optimization framework is constructed. This framework incorporates a residual-driven discrete-scale adaptation mechanism, which balances discretization errors and computational load. Numerical simulation results indicate that under large discretization scales, the computation time required by the improved SOCP is only about 5.4% of that of GPOPS-II. For small-discretization-scale optimization, the SCP method with the variable discretization framework demonstrates high efficiency, achieving comparable accuracy to GPOPS-II while reducing the computation time to approximately 7.4% of that required by GPOPS-II. Full article
(This article belongs to the Special Issue New Perspective on Flight Guidance, Control and Dynamics)
Show Figures

Figure 1

19 pages, 7798 KB  
Article
A Boundary-Implicit Constraint Reconstruction Method for Solving the Shallow Water Equations
by Dingbing Wei, Jie Yang, Ming Fang and Jianguang Xie
J. Mar. Sci. Eng. 2025, 13(11), 2036; https://doi.org/10.3390/jmse13112036 - 23 Oct 2025
Viewed by 165
Abstract
To improve the accuracy of second-order cell-centered finite volume method in near-boundary regions for solving the two-dimensional shallow water equations, a numerical scheme with globally second-order accuracy was proposed. Having the primary objective to overcome the challenge of accuracy degradation in near-boundary regions [...] Read more.
To improve the accuracy of second-order cell-centered finite volume method in near-boundary regions for solving the two-dimensional shallow water equations, a numerical scheme with globally second-order accuracy was proposed. Having the primary objective to overcome the challenge of accuracy degradation in near-boundary regions and to develop a robust numerical framework combining high-order accuracy with strict conservation, the key research objectives had been as follows: Firstly, a physical variable reconstruction method combining a vertex-based nonlinear weighted reconstruction scheme and a monotonic upwind total variation diminishing scheme for conservation laws was proposed. While the overall computational efficiency was maintained, linear-exact reconstruction in near-boundary regions was achieved. The variable reconstruction in interior regions was integrated to achieve global second-order accuracy. Subsequently, a flux boundary condition treatment method based on uniform flow was proposed. Conservative allocation of hydraulic parameters was achieved, and flow stability in inflow regions was enhanced. Finally, a series of numerical test cases were provided to validate the performance of the proposed method in solving the shallow water equations in terms of high-order accuracy, exact conservation properties, and shock-capturing capabilities. The superiority of the method was further demonstrated under high-speed flow conditions. The high-precision numerical model developed in this study holds significant value for enhancing the predictive capability of simulations for natural disasters such as flood propagation and tsunami warning. Its robust boundary treatment methods also provide a reliable tool for simulating free-surface flows in complex environments, offering broad prospects for engineering applications. Full article
(This article belongs to the Section Ocean Engineering)
Show Figures

Figure 1

18 pages, 1286 KB  
Article
Fourth-Order Iterative Algorithms for the Simultaneous Calculation of Matrix Square Roots and Their Inverses
by Jiameihui Zhu, Yutong Li, Yilin Li, Tao Liu and Qiang Ma
Mathematics 2025, 13(21), 3370; https://doi.org/10.3390/math13213370 - 22 Oct 2025
Viewed by 157
Abstract
This paper develops and analyzes new high-order iterative schemes for the effective evaluation of the matrix square root (MSR). By leveraging connections between the matrix sign function and the MSR, we design stable algorithms that exhibit fourth-order convergence under mild spectral conditions. Detailed [...] Read more.
This paper develops and analyzes new high-order iterative schemes for the effective evaluation of the matrix square root (MSR). By leveraging connections between the matrix sign function and the MSR, we design stable algorithms that exhibit fourth-order convergence under mild spectral conditions. Detailed error bounds and convergence analyses are provided, ensuring both theoretical rigor and numerical reliability. A comprehensive set of numerical experiments, conducted across structured and large-scale test matrices, demonstrates the superior performance of the proposed methods compared to classical approaches, both in terms of computational efficiency and accuracy. The results confirm that the proposed iterative strategies provide robust and scalable tools for practical applications requiring repeated computation of matrix square roots. Full article
(This article belongs to the Special Issue New Trends and Developments in Numerical Analysis: 2nd Edition)
Show Figures

Figure 1

31 pages, 11576 KB  
Review
Machine Learning Reshaping Computational Fluid Dynamics: A Paradigm Shift in Accuracy and Speed
by Aly Mousaad Aly
Fluids 2025, 10(10), 275; https://doi.org/10.3390/fluids10100275 - 21 Oct 2025
Viewed by 506
Abstract
Accurate and efficient CFD simulations are essential for a wide range of engineering and scientific applications, from resilient structural design to environmental analysis. Traditional methods such as RANS simulations often face challenges in capturing complex flow phenomena like separation, while high-fidelity approaches including [...] Read more.
Accurate and efficient CFD simulations are essential for a wide range of engineering and scientific applications, from resilient structural design to environmental analysis. Traditional methods such as RANS simulations often face challenges in capturing complex flow phenomena like separation, while high-fidelity approaches including Large Eddy Simulations and Direct Numerical Simulations demand significant computational resources, thereby limiting their practical applicability. This paper provides an in-depth synthesis of recent advancements in integrating artificial intelligence and machine learning techniques with CFD to enhance simulation accuracy, computational efficiency, and modeling capabilities, including data-driven surrogate models, physics-informed methods, and ML-assisted numerical solvers. This integration marks a crucial paradigm shift, transcending incremental improvements to fundamentally redefine the possibilities of fluid dynamics research and engineering design. Key themes discussed include data-driven surrogate models, physics-informed methods, ML-assisted numerical solvers, inverse design, and advanced turbulence modeling. Practical applications, such as wind load design for solar panels and deep learning approaches for eddy viscosity prediction in bluff body flows, illustrate the substantial impact of ML integration. The findings demonstrate that ML techniques can accelerate simulations by up to 10,000 times in certain cases while maintaining or improving the accuracy, particularly in challenging flow regimes. For instance, models employing learned interpolation can achieve 40- to 80-fold computational speedups while matching the accuracy of baseline solvers with a resolution 8 to 10 times finer. Other approaches, like Fourier Neural Operators, can achieve inference times three orders of magnitude faster than conventional PDE solvers for the Navier–Stokes equations. Such advancements not only accelerate critical engineering workflows but also open unprecedented avenues for scientific discovery in complex, nonlinear systems that were previously intractable with traditional computational methods. Furthermore, ML enables unprecedented advances in turbulence modeling, improving predictions within complex separated flow zones. This integration is reshaping fluid mechanics, offering pathways toward more reliable, efficient, and resilient engineering solutions necessary for addressing contemporary challenges. Full article
(This article belongs to the Special Issue Machine Learning and Artificial Intelligence in Fluid Mechanics)
Show Figures

Figure 1

20 pages, 3698 KB  
Article
Lightweight Neural Network for Holographic Reconstruction of Pseudorandom Binary Data
by Mikhail K. Drozdov, Dmitry A. Rymov, Andrey S. Svistunov, Pavel A. Cheremkhin, Anna V. Shifrina, Semen A. Kiriy, Evgenii Yu. Zlokazov, Elizaveta K. Petrova, Vsevolod A. Nebavskiy, Nikolay N. Evtikhiev and Rostislav S. Starikov
Technologies 2025, 13(10), 474; https://doi.org/10.3390/technologies13100474 - 19 Oct 2025
Viewed by 347
Abstract
Neural networks are a state-of-the-art technology for fast and accurate holographic image reconstruction. However, at present, neural network-based reconstruction methods are predominantly applied to objects with simple, homogeneous spatial structures: blood cells, bacteria, microparticles in solutions, etc. However, in the case of objects [...] Read more.
Neural networks are a state-of-the-art technology for fast and accurate holographic image reconstruction. However, at present, neural network-based reconstruction methods are predominantly applied to objects with simple, homogeneous spatial structures: blood cells, bacteria, microparticles in solutions, etc. However, in the case of objects with high contrast details, the reconstruction needs to be as precise as possible to successfully extract details and parameters. In this paper we investigate the use of neural networks in holographic reconstruction of spatially inhomogeneous binary data containers (QR codes). Two modified lightweight convolutional neural networks (which we named HoloLightNet and HoloLightNet-Mini) with an encoder–decoder architecture have been used for image reconstruction. These neural networks enable high-quality reconstruction, guaranteeing the successful decoding of QR codes (both in demonstrated numerical and optical experiments). In addition, they perform reconstruction two orders of magnitude faster than more traditional architectures. In optical experiments with a liquid crystal spatial light modulator, the obtained bit error rate was equal to only 1.2%. These methods can be used for practical applications such as high-density data transmission in coherent systems, development of reliable digital information storage and memory techniques, secure optical information encryption and retrieval, and real-time precise reconstruction of complex objects. Full article
(This article belongs to the Section Information and Communication Technologies)
Show Figures

Figure 1

20 pages, 2364 KB  
Article
Convex Optimization for Spacecraft Attitude Alignment of Laser Link Acquisition Under Uncertainties
by Mengyi Guo, Peng Huang and Hongwei Yang
Aerospace 2025, 12(10), 939; https://doi.org/10.3390/aerospace12100939 - 17 Oct 2025
Viewed by 294
Abstract
This paper addresses the critical multiple-uncertainty challenge in laser link acquisition for space gravitational wave detection missions—a key bottleneck where spacecraft attitude alignment for laser link establishment is perturbed by inherent random disturbances in such missions, while also needing to balance ultra-high attitude [...] Read more.
This paper addresses the critical multiple-uncertainty challenge in laser link acquisition for space gravitational wave detection missions—a key bottleneck where spacecraft attitude alignment for laser link establishment is perturbed by inherent random disturbances in such missions, while also needing to balance ultra-high attitude precision, fuel efficiency, and compliance with engineering constraints. To tackle this, a convex optimization-based attitude control strategy integrating covariance control and free terminal time optimization is proposed. Specifically, a stochastic attitude dynamics model is first established to explicitly incorporate the aforementioned random disturbances. Subsequently, an objective function is designed to simultaneously minimize terminal state error and fuel consumption, with three key constraints (covariance constraints, pointing constraints, and torque saturation constraints) integrated into the convex optimization framework. Furthermore, to resolve non-convex terms in chance constraints, this study employs a hierarchical convexification method that combines Schur’s complementary theorem, second-order cone relaxation, and Taylor expansion techniques. This approach ensures lossless relaxation, renders the optimization problem computationally tractable without sacrificing solution accuracy, and overcomes the shortcomings of traditional convexification methods in handling chance constraints. Finally, numerical simulations demonstrate that the proposed method adheres to engineering constraints while maintaining spacecraft attitude errors below 1 μrad under environmental uncertainties. This study provides a convex optimization solution for laser link acquisition in space gravitational wave detection missions considering uncertainty conditions, and its framework can be extended to the optimal design of other stochastically uncertain systems. Full article
(This article belongs to the Section Astronautics & Space Science)
Show Figures

Figure 1

26 pages, 19488 KB  
Article
A Joint Method on Dynamic States Estimation for Digital Twin of Floating Offshore Wind Turbines
by Hao Xie, Ling Wan, Fan Shi, Jianjian Xin, Hu Zhou, Ben He, Chao Jin and Constantine Michailides
J. Mar. Sci. Eng. 2025, 13(10), 1981; https://doi.org/10.3390/jmse13101981 - 16 Oct 2025
Viewed by 239
Abstract
Dynamic state estimation of floating offshore wind turbines (FOWTs) in complex marine environments is a core challenge for digital twin systems. This study proposes a joint estimation framework that integrates windowed dynamic mode decomposition (W-DMD) and an adaptive strong tracking Kalman filter (ASTKF). [...] Read more.
Dynamic state estimation of floating offshore wind turbines (FOWTs) in complex marine environments is a core challenge for digital twin systems. This study proposes a joint estimation framework that integrates windowed dynamic mode decomposition (W-DMD) and an adaptive strong tracking Kalman filter (ASTKF). W-DMD extracts dominant modes under stochastic excitations through a sliding-window strategy and constructs an interpretable reduced-order state-space model. ASTKF is then employed to enhance estimation robustness against environmental uncertainties and noise. The framework is validated through numerical simulations under turbulent wind and wave conditions, demonstrating high estimation accuracy and strong robustness against sudden environmental disturbances. The results indicate that the proposed method provides a computationally efficient and interpretable tool for FOWT digital twins, laying the foundation for predictive maintenance and optimal control. Full article
(This article belongs to the Section Ocean Engineering)
Show Figures

Figure 1

18 pages, 4222 KB  
Article
Analytical and Numerical Investigation of Vibration Characteristics in Shear-Deformable FGM Beams
by Murat Çelik, Erol Demirkan and Ahmet Feyzi Yıldırım
J. Compos. Sci. 2025, 9(10), 567; https://doi.org/10.3390/jcs9100567 - 15 Oct 2025
Viewed by 496
Abstract
In this study, the free vibration characteristics of a functionally graded (FG) shear-deformable Timoshenko beam were investigated both analytically and numerically. The work is notable for its significant contribution to the literature, particularly in addressing analytically challenging problems related to complex FGM structures [...] Read more.
In this study, the free vibration characteristics of a functionally graded (FG) shear-deformable Timoshenko beam were investigated both analytically and numerically. The work is notable for its significant contribution to the literature, particularly in addressing analytically challenging problems related to complex FGM structures using advanced computer-aided finite element methods. For the analytical approach, the governing equations and associated boundary conditions were derived using Hamilton’s principle of minimum potential energy. These equations were then solved using the Navier solution method to determine the natural frequencies of the beam. In the numerical analysis, a 3D FG beam model was developed in the ABAQUS finite element software (2023, Dassault Systèmes, Providence, RI, USA)using the second-order hexahedral (HEX20/C3D20) and 1D three-node quadratic beam (B32) elements. The material gradation was defined layer-by-layer along the thickness direction in accordance with the rule of mixtures. Modal analysis was subsequently performed to extract the natural frequency values. The results show a high level of agreement between the analytical and numerical solutions. and were consistent with previously published studies in the literature. Full article
(This article belongs to the Special Issue Composite Materials for Civil Engineering Applications)
Show Figures

Figure 1

9 pages, 1084 KB  
Proceeding Paper
Heart Disease Prediction Using ML
by Abdul Rehman Ilyas, Sabeen Javaid and Ivana Lucia Kharisma
Eng. Proc. 2025, 107(1), 124; https://doi.org/10.3390/engproc2025107124 - 10 Oct 2025
Viewed by 452
Abstract
The term heart disease refers to a wide range of conditions that impact the heart and blood vessels. It continues to be a major global cause of morbidity and mortality. The narrowing or blockage of blood vessels, which can result in major medical [...] Read more.
The term heart disease refers to a wide range of conditions that impact the heart and blood vessels. It continues to be a major global cause of morbidity and mortality. The narrowing or blockage of blood vessels, which can result in major medical events like heart attacks, angina (chest pain) or strokes, is a common issue linked to heart disease. In order to lower the risk of serious complications and facilitate prompt medical intervention, early diagnosis and prediction are essential. This study developed predictive models that can precisely identify people at risk by applying a variety of machine learning algorithms to a structured dataset on heart disease. Blood pressure, cholesterol, age, gender, and other health-related indicators are among the 13 essential characteristics that make up the dataset. Numerous machine learning models such as Naïve Bayes, K-Nearest Neighbors (KNN), Support Vector Machine (SVM), Decision Tree, Random Forest, and others were trained using these features. Using the RapidMiner platform, which offered a visual environment for data preprocessing, model training, and performance analysis, all models were created and assessed. The best-performing model was the Naïve Bayes classifier which achieved an impressive accuracy rate of 90% after extensive testing and comparison of performance metrics like accuracy precision and recall. This outcome shows how well the model can predict heart disease in actual clinical settings. By supporting individualized health recommendations, enabling early diagnosis, and facilitating timely treatment, the effective application of such models can significantly benefit patients and healthcare professionals. Furthermore, heart disease incidence can be considerably decreased by identifying and addressing modifiable risk factors such as high blood pressure, elevated cholesterol, smoking, diabetes, and physical inactivity. In summary, machine learning has the potential to improve the identification and treatment of heart-related disorders. This study highlights the value of data-driven methods in healthcare and indicates that incorporating predictive models into standard medical procedures may enhance patient outcomes, lower healthcare expenses, and improve public health administration. Full article
Show Figures

Figure 1

Back to TopTop