Sign in to use this feature.

Years

Between: -

Subjects

remove_circle_outline
remove_circle_outline
remove_circle_outline
remove_circle_outline
remove_circle_outline
remove_circle_outline
remove_circle_outline
remove_circle_outline
remove_circle_outline

Journals

remove_circle_outline
remove_circle_outline
remove_circle_outline
remove_circle_outline
remove_circle_outline
remove_circle_outline

Article Types

Countries / Regions

remove_circle_outline
remove_circle_outline
remove_circle_outline
remove_circle_outline
remove_circle_outline

Search Results (206)

Search Parameters:
Keywords = hidden particles

Order results
Result details
Results per page
Select all
Export citation of selected articles as:
17 pages, 320 KB  
Article
PSO-FSPMiner: A Metaheuristic Approach for Mining a Representative Subset of Frequent Similar Patterns
by Ansel Y. Rodríguez-González, Rosa María Valdovinos-Rosas, Gretel Bernal Baró, Ramón Aranda, Angel Díaz-Pacheco and Miguel Á. Álvarez-Carmona
Algorithms 2026, 19(3), 229; https://doi.org/10.3390/a19030229 - 18 Mar 2026
Viewed by 149
Abstract
In recent years, algorithms employing similarity functions beyond equality to unveil hidden knowledge have surged in popularity. Nonetheless, a notable challenge accompanying these algorithms is the proliferation of numerous frequent similar patterns, leading to heightened computational overhead and complicating analysis for humans. This [...] Read more.
In recent years, algorithms employing similarity functions beyond equality to unveil hidden knowledge have surged in popularity. Nonetheless, a notable challenge accompanying these algorithms is the proliferation of numerous frequent similar patterns, leading to heightened computational overhead and complicating analysis for humans. This paper proposes a metaheuristic approach based on Particle Swarm Optimization (PSO-FSPMiner) that extracts a representative subset of patterns to tackle this issue. Our experiments on real-world datasets demonstrate that the subset of frequent similar patterns mined by PSO-FSPMiner captures approximately 86.4% of the dataset’s knowledge, with a substantial reduction in frequent similar patterns of around 85.9%. Full article
Show Figures

Figure 1

29 pages, 4828 KB  
Article
Identification, Quantification, and Characterization of Microplastics in Skincare and Treatment Creams: A Potential Health Concern Related to the Exposure Pathway
by Raluca Maria Stirbescu, Cristiana Radulescu, Raluca Maria Bucur (Popa), Andreea Laura Banica, Ioan Alin Bucurica and Ioana Daniela Dulama
J. Xenobiot. 2026, 16(1), 37; https://doi.org/10.3390/jox16010037 - 22 Feb 2026
Viewed by 625
Abstract
This research aimed to quantify and investigate the morphology of microplastics in skincare and treatment creams related to their chemical composition and the potential risks to human health associated with exposure to microplastics by dermal contact. A total of 21 skincare and treatment [...] Read more.
This research aimed to quantify and investigate the morphology of microplastics in skincare and treatment creams related to their chemical composition and the potential risks to human health associated with exposure to microplastics by dermal contact. A total of 21 skincare and treatment cream samples, indicating the target audience (men, women, and children) for each product, and potential diseases were analyzed in terms of the hidden risk of microplastics. To determine the exact number of microplastics to which adults and children are exposed over the course of a year, in-depth research was conducted on the cosmetic care and treatment products used by over 354 respondents from Romania. This study used a free, self-reported questionnaire method, which took into account consumer habits and preferences, as well as any potential medical conditions that could affect exposure. Optical microscopy and micro-FTIR revealed a total of 109 microplastics, with different sizes, colors, and shapes (i.e., fragments and fibers) and various chemical compositions, including mixtures of polymeric and natural structures, as well as 100% synthetic materials, e.g., polyethylene and polyester. The potential health risk of exposure to microplastics in certain cosmetic formulations for adults was assessed by calculating various risk indices, such as the polymer risk index (H), pollution load index (PLI), dermal plastic absorption (DPA), chronic daily dermal exposure (CDDE), risk to human health from dermal absorption (RHHDA), and estimated annual dermal absorption (EADA). These indices were calculated based on the medical conditions and application areas indicated on the labels of the analyzed creams (i.e., skincare and treatment), for both adult and children’s categories, using the fingertip unit (FTU) method for estimating the cream amount. The plastic toxicity of the analyzed samples was assessed using the H and PLI indices. The risk of microplastics to human health from dermal exposure was assessed using the DPA, CDDE, RHHDA, and EADA indices, which showed concerning results regarding the presence of these particles in cosmetic formulations. Full article
Show Figures

Figure 1

19 pages, 8183 KB  
Article
Learning Symmetries in Datasets
by Veronica Sanz
Appl. Sci. 2026, 16(4), 1930; https://doi.org/10.3390/app16041930 - 14 Feb 2026
Viewed by 304
Abstract
We investigate how symmetries present in datasets affect the structure of the latent space learned by Variational Autoencoders (VAEs). Understanding symmetries in data is essential because symmetries determine the true degrees of freedom, constrain generalization, and provide physically interpretable coordinates. We therefore study [...] Read more.
We investigate how symmetries present in datasets affect the structure of the latent space learned by Variational Autoencoders (VAEs). Understanding symmetries in data is essential because symmetries determine the true degrees of freedom, constrain generalization, and provide physically interpretable coordinates. We therefore study whether a standard, non-equivariant VAE can reveal symmetry-induced dimensional reduction directly from data, without imposing the symmetry in the architecture. By training VAEs on data originating from simple mechanical systems and particle collisions, we analyze the organization of the latent space through a relevance measure that identifies the most meaningful latent directions. We show that when symmetries or approximate symmetries are present, the VAE self-organizes its latent space, effectively compressing the data along a reduced number of latent variables. This behavior captures the intrinsic dimensionality determined by the symmetry constraints and reveals hidden relations among the features. Furthermore, we provide a theoretical analysis of a simple toy model, demonstrating how, under idealized conditions, the latent space aligns with the symmetry directions of the data manifold. We illustrate these findings with examples ranging from two-dimensional datasets with O(2) symmetry to realistic datasets from electron–positron and proton–proton collisions. Our results highlight the potential of unsupervised generative models to expose underlying structures in data and offer a novel approach to symmetry discovery without explicit supervision. Full article
(This article belongs to the Special Issue Data and Text Mining: New Approaches, Achievements and Applications)
Show Figures

Figure 1

15 pages, 440 KB  
Article
A Probability Model for the Bell Experiment
by Kees van Hee, Kees van Berkel and Jan de Graaf
Quantum Rep. 2026, 8(1), 16; https://doi.org/10.3390/quantum8010016 - 14 Feb 2026
Viewed by 403
Abstract
The Bell inequality constrains the outcomes of measurements on pairs of distant entangled particles. The Bell contradiction states that the Bell inequality is inconsistent with the calculated outcomes of these quantum experiments. This contradiction led many to question the underlying assumptions, viz. so-called [...] Read more.
The Bell inequality constrains the outcomes of measurements on pairs of distant entangled particles. The Bell contradiction states that the Bell inequality is inconsistent with the calculated outcomes of these quantum experiments. This contradiction led many to question the underlying assumptions, viz. so-called realism and locality. The probability model underlying the Bell inequality is generally left implicit. We propose an explicit probability model for the CHSH version of the Bell experiment. This model has only two simultaneously observable detector settings per measurement, and therefore does not assume realism. The quantum expectation now becomes a conditional expectation, given the two detector settings. This probability model is in full agreement with both quantum mechanics and experiments. As a result, the model satisfies the Bell inequality; there are no so-called violations. We extend this model to include a hidden variable. This extended model is not Bell-separable. This non-separability implies that the model is non-deterministic or non-local (or both). Full article
Show Figures

Figure 1

32 pages, 7106 KB  
Article
System-Level Prediction and Optimization of Cyclone Separator Performance Using a Hybrid CFD–DEM–ANN Approach
by Eyup Koçak
Appl. Sci. 2026, 16(3), 1621; https://doi.org/10.3390/app16031621 - 5 Feb 2026
Viewed by 561
Abstract
In this study, the separation performance of cyclone separators with different geometric configurations was investigated using a hybrid approach that combines Computational Fluid Dynamics, the Discrete Element Method, and Artificial Neural Networks. In the first stage, the flow field was solved using the [...] Read more.
In this study, the separation performance of cyclone separators with different geometric configurations was investigated using a hybrid approach that combines Computational Fluid Dynamics, the Discrete Element Method, and Artificial Neural Networks. In the first stage, the flow field was solved using the Reynolds-Averaged Navier–Stokes equations together with the Reynolds Stress Model turbulence closure, and particle motion was evaluated in detail through DEM. To examine the effect of geometric parameters, the inlet aspect ratio, vortex finder diameter, and cylinder height were systematically assessed. The results revealed the formation of a pronounced Rankine-type vortex structure inside the cyclone and showed that secondary flow regions intensified as the vortex finder diameter and cylinder height increased, thereby reducing the separation efficiency. In the inlet section, an optimal aspect ratio was identified. In the second stage, an ANN model was developed to expand the limited dataset obtained from the CFD–DEM analyses. By optimizing the activation function and the number of neurons, the best performance was achieved with a ReLU-based neural network containing a single hidden neuron, reaching a test-set accuracy of approximately R20.991 and an overall fit of R20.895. The ANN model also captured interaction trends between flow velocity and geometry that could not be observed with the limited CFD dataset. This hybrid approach provides an effective and low-cost method for performance prediction and optimization in cyclone separator design. Full article
(This article belongs to the Section Mechanical Engineering)
Show Figures

Figure 1

20 pages, 1262 KB  
Article
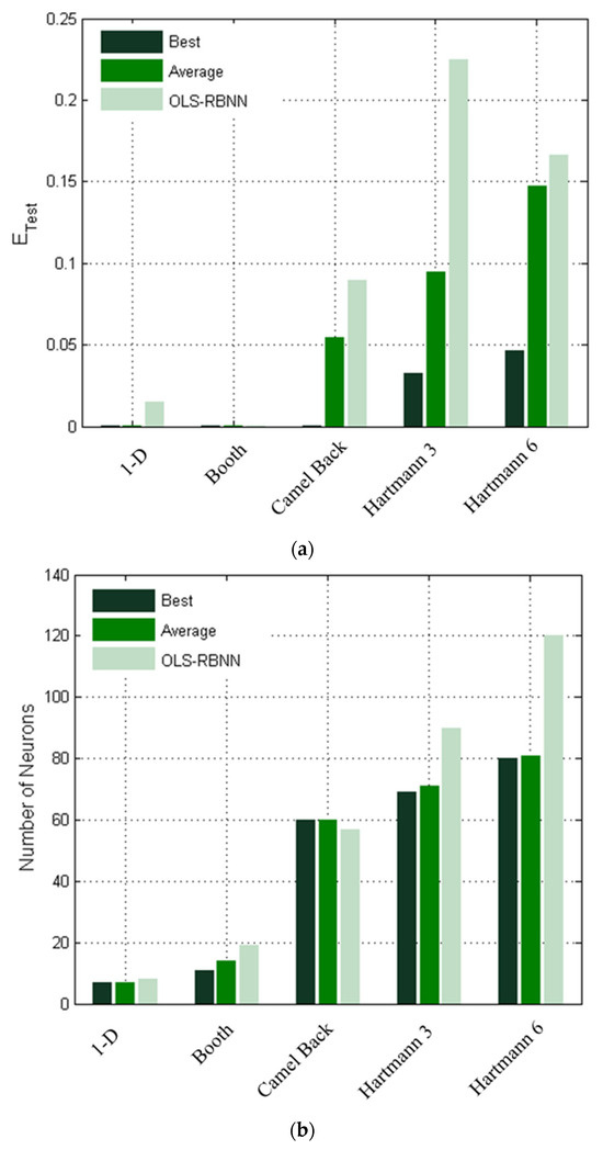
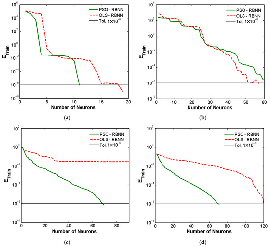
An Adaptive Scheme for Neuron Center Selection to Design an Efficient Radial Basis Neural Network Using PSO
by Arshad Afzal
Mathematics 2026, 14(3), 469; https://doi.org/10.3390/math14030469 - 29 Jan 2026
Viewed by 258
Abstract
An adaptive and efficient particle swarm optimization (PSO)-based learning algorithm to determine neuron centers in the hidden layer of a radial basis neural network (RBNN) is developed in the present work for regression problems. The proposed PSO–RBNN algorithm searches the entire input domain [...] Read more.
An adaptive and efficient particle swarm optimization (PSO)-based learning algorithm to determine neuron centers in the hidden layer of a radial basis neural network (RBNN) is developed in the present work for regression problems. The proposed PSO–RBNN algorithm searches the entire input domain space to discover optimal neuron centers by solving an optimization problem and aims to overcome the limitation of center selection from the training data. The network is built in a sequential manner using optimal neuron centers until some specified criterion is met, and therefore, it exploits the concept of neuron significance during the learning process. The Gaussian function with a constant spread (also known as width) is chosen as the radial basis function for each neuron. To illustrate the effectiveness of the PSO–RBNN algorithm over the orthogonal least squares (OLS) method (a popular learning algorithm under a similar category, which selects the neuron center from training data), numerical simulations for different types of nonlinear problems of varying dimensions and complexities are conducted. Finally, a comparison with multiple existing algorithms for network design is made using available data. The results show that the RBNN architecture developed with the proposed learning algorithm exhibits superior convergence, displays good generalization ability, and requires a smaller number of neurons, resulting in an efficient and compact network architecture. Full article
(This article belongs to the Section E: Applied Mathematics)
Show Figures

Figure 1

17 pages, 7025 KB  
Review
Dark Sector Searches at e+e Colliders
by Vindhyawasini Prasad
Universe 2026, 12(1), 20; https://doi.org/10.3390/universe12010020 - 12 Jan 2026
Viewed by 463
Abstract
The Standard Model (SM) of particle physics is one of the most successful frameworks in modern physics, yet it leaves several fundamental questions unanswered, including the nature of dark matter (DM). Precise knowledge of DM is crucial for testing astrophysical and cosmological observations [...] Read more.
The Standard Model (SM) of particle physics is one of the most successful frameworks in modern physics, yet it leaves several fundamental questions unanswered, including the nature of dark matter (DM). Precise knowledge of DM is crucial for testing astrophysical and cosmological observations and for determining the matter density of our Universe. Many hidden dark sector models beyond the SM open the possibility of coupling between DM and SM particles via various portals. The corresponding new physics particles include light Higgs bosons, dark photons, axion-like particle, and spin-1/2 fermions. Furthermore, the introduction of a dark baryon could simultaneously explain the origin of DM and the observed matter–antimatter asymmetry in the Universe. If these hypothetical particles have masses of a few GeV, they can be explored at high-intensity e+e colliders, such as in the BaBar, Belle/Belle II, and BESIII experiments. This report reviews the current status of DM searches at e+e colliders, with a focus on portal-based scenarios. Full article
(This article belongs to the Special Issue Modified Gravity and Dark Energy Theories)
Show Figures

Figure 1

29 pages, 2664 KB  
Article
Forecasting Solar Energy Production Using Artificial Neural Networks and Tyrannosaurus Optimization Algorithm
by Emre Güler and Mehmet Zeki Bilgin
Sustainability 2026, 18(2), 690; https://doi.org/10.3390/su18020690 - 9 Jan 2026
Cited by 1 | Viewed by 463
Abstract
Accurate forecasting of solar energy production plays a crucial role in optimizing power system reliability, scheduling, and integration of renewable energy sources into the grid. From a sustainability perspective, improved forecasting accuracy supports more efficient day-ahead planning, reduces imbalance costs, and contributes to [...] Read more.
Accurate forecasting of solar energy production plays a crucial role in optimizing power system reliability, scheduling, and integration of renewable energy sources into the grid. From a sustainability perspective, improved forecasting accuracy supports more efficient day-ahead planning, reduces imbalance costs, and contributes to the sustainable operation of solar energy systems. Artificial neural networks (ANNs) are widely applied for this purpose due to their capability to capture complex nonlinear relationships between meteorological variables and solar power output. However, the performance of ANNs depends on the number of layers, the number of neurons in the hidden layer, the max failure value, and the transfer function. This study proposes a hybrid forecasting model that combines artificial neural networks with the recently developed Tyrannosaurus Optimization Algorithm (TROA), a metaheuristic optimization method. The aim is to optimize the hyperparameters of artificial neural networks to minimize the Mean Absolute Percentage Error (MAPE) in solar energy forecasting. The results of the TROA were compared with other metaheuristic methods, such as Whale Optimization Algorithm (WOA), Particle Swarm Optimization (PSO), and Genetic Algorithm (GA). The TROA gave the network structure for ANNs, which forecasted closer to the actual values than other metaheuristic methods and showed success on 105 days of the test dataset, with an MAPE rate of 3.64%. Additionally, an MAPE of 1.42% was obtained over a test period of 18 days used for out-of-evaluation, indicating competitive performance compared to the other methods. These findings highlight the effectiveness of the TROA in forecasting solar energy using ANNs. Full article
(This article belongs to the Section Energy Sustainability)
Show Figures

Figure 1

17 pages, 305 KB  
Communication
Entropy as a Geometric Consequence of Higher Dimensions
by Allan Kardec Barros
Technologies 2025, 13(12), 563; https://doi.org/10.3390/technologies13120563 - 3 Dec 2025
Viewed by 1093
Abstract
Entropy has traditionally been understood as a phenomenological principle, capturing time irreversibility in physical processes. In this work, we propose that entropy can emerge as a geometric property of higher-dimensional spacetime. Within a Kaluza–Klein framework featuring an additional circular dimension proportional to particle [...] Read more.
Entropy has traditionally been understood as a phenomenological principle, capturing time irreversibility in physical processes. In this work, we propose that entropy can emerge as a geometric property of higher-dimensional spacetime. Within a Kaluza–Klein framework featuring an additional circular dimension proportional to particle wavelength, trajectories acquire statistical multiplicity, which naturally produces a monotonic increase in entropy and offers a geometric foundation for the second law of thermodynamics. In the broader context, we note that the association between entropy and geometry is not unprecedented: Bekenstein and Hawking showed that black holes yields entropy proportional to the horizon area. Our contribution, however, is independent of that line of research and focuses on higher-dimensional spacetime. Importantly, the framework yields concrete predictions. In the arrival-time experiment of Das and Dürr, our model uniquely predicts symmetric probability distributions when the initial state is symmetric, in contrast to the non-symmetric outcomes expected from both standard quantum and Bohmian mechanics. This provides a distinctive and testable signature for hidden dimensions. Full article
16 pages, 301 KB  
Article
Discovering the Underlying Analytic Structure Within Standard Model Constants Using Artificial Intelligence
by Sergei V. Chekanov and Håkan Kjellerstrand
Particles 2025, 8(4), 95; https://doi.org/10.3390/particles8040095 - 29 Nov 2025
Viewed by 1210
Abstract
This paper presents a method for uncovering hidden analytic relationships among the fundamental parameters of the Standard Model (SM), a foundational theory in physics that describes the fundamental particles and their interactions, using symbolic regression and genetic programming. Using this approach, we identify [...] Read more.
This paper presents a method for uncovering hidden analytic relationships among the fundamental parameters of the Standard Model (SM), a foundational theory in physics that describes the fundamental particles and their interactions, using symbolic regression and genetic programming. Using this approach, we identify the simplest analytic relationships connecting pairs of these constants and report several notable expressions obtained with relative precision better than 1%. These results may serve as valuable inputs for model builders and artificial intelligence methods aimed at uncovering hidden patterns among the SM constants, or potentially used as building blocks for a deeper underlying law that connects all parameters of the SM through a small set of fundamental constants. Full article
Show Figures

Figure 1

22 pages, 6858 KB  
Article
Stochastic Optimization and Adaptive Control for Dynamic Bus Lane Management Under Heterogeneous Connected Traffic
by Bo Yang, Chunsheng Wang, Junxi Yang and Zhangyi Wang
Mathematics 2025, 13(22), 3666; https://doi.org/10.3390/math13223666 - 15 Nov 2025
Viewed by 1359
Abstract
The efficiency of intelligent urban mobility increasingly depends on adaptive mathematical models that can optimize multimodal transportation resources under stochastic and heterogeneous conditions. This study proposes a Markovian stochastic modeling and metaheuristic optimization framework for the adaptive management of bus lane capacity in [...] Read more.
The efficiency of intelligent urban mobility increasingly depends on adaptive mathematical models that can optimize multimodal transportation resources under stochastic and heterogeneous conditions. This study proposes a Markovian stochastic modeling and metaheuristic optimization framework for the adaptive management of bus lane capacity in mixed connected traffic environments. The heterogeneous vehicle arrivals are modeled using a Markov Arrival Process (MAP) to capture correlated and busty flow characteristics, while the system-level optimization aims to minimize total fuel consumption through discrete lane capacity allocation. To support real-time adaptation, a Hidden Markov Model (HMM) is integrated for queue-length estimation under partial observability. The resulting nonlinear and nonconvex optimization problem is solved using Genetic Algorithm (GA), Differential Evolution (DE), and Particle Swarm Optimization (PSO), ensuring robustness and convergence across diverse traffic scenarios. Numerical experiments demonstrate that the proposed stochastic–adaptive framework can reduce fuel consumption and vehicle delay by up to 68% and 65%, respectively, under high saturation and connected-vehicle penetration. The findings verify the effectiveness of coupling stochastic modeling with adaptive control, providing a transferable methodology for energy-efficient and data-driven lane management in smart and sustainable cities. Full article
Show Figures

Figure 1

30 pages, 5289 KB  
Article
Unveiling the Hidden Cascade: Secondary Particle Generation in Hybrid Halide Perovskites Under Space-Relevant Ionizing Radiation
by Ivan E. Novoselov, Seif O. Cholakh and Ivan S. Zhidkov
Aerospace 2025, 12(11), 1015; https://doi.org/10.3390/aerospace12111015 - 14 Nov 2025
Cited by 1 | Viewed by 619
Abstract
Hybrid halide perovskites are promising materials for optoelectronics and space applications due to their excellent light absorption, high efficiency, and light weight. However, their stability under radiation exposure remains a key challenge, especially in space environments, where high-energy particles can cause significant damage. [...] Read more.
Hybrid halide perovskites are promising materials for optoelectronics and space applications due to their excellent light absorption, high efficiency, and light weight. However, their stability under radiation exposure remains a key challenge, especially in space environments, where high-energy particles can cause significant damage. Here, we present the effects of primary and secondary radiation on perovskite materials, using Monte-Carlo simulations with the GEANT4 toolkit. The interactions of protons, electrons, neutrons, and γ-rays with APbI3 (A = Ma, FA, Cs) perovskites under space-relevant conditions typical for low Earth orbit (LEO) were studied. The results show that different perovskite compositions respond uniquely to radiation: CsPbI3 generates higher-energy secondary positrons, neutrons, and protons, while MAPbI3 produces more secondary electrons under proton irradiation. Mixed-cation perovskites exhibit narrower energy distributions for secondary γ-rays, indicating material-dependent differences in radiation tolerance. These findings suggest the potential role of secondary particle generation in perovskite degradation, based on our simulations, and they emphasize the need for comprehensive modeling to improve the radiation resistance of perovskite-based technologies for space applications. Future studies should consider contributions from encapsulating materials in device structures. Full article
Show Figures

Figure 1

10 pages, 875 KB  
Article
Hidden Momentum and the Absence of the Gravitational Spin Hall Effect in a Uniform Field
by Andrzej Czarnecki and Ting Gao
Universe 2025, 11(11), 365; https://doi.org/10.3390/universe11110365 - 6 Nov 2025
Cited by 1 | Viewed by 462
Abstract
We re-examine the recent claim that a Dirac particle freely falling in a uniform gravitational field exhibits a spin-dependent transverse deflection (gravitational spin Hall effect). Using a circulating mass model, we show that hidden momentum arises in uniform fields when an object carries [...] Read more.
We re-examine the recent claim that a Dirac particle freely falling in a uniform gravitational field exhibits a spin-dependent transverse deflection (gravitational spin Hall effect). Using a circulating mass model, we show that hidden momentum arises in uniform fields when an object carries angular momentum. On the quantum side, we analyze the Dirac Hamiltonian in a uniform potential, construct its Foldy–Wouthuysen form, and evaluate the Heisenberg evolution of spin-polarized Gaussian packets. The state used previously, with p=0, is not at rest: because canonical and kinetic momenta differ, the packet carries a spin-dependent hidden momentum from t=0. Imposing x(0)=v(0)=0 requires a compensating spin-dependent p(0); with this preparation x(t)=0 to leading order in the gravitational acceleration g. Generalizing, an exact Foldy–Wouthuysen transformation (linear in g but to all orders in 1/c) shows that spin-dependent transverse motion begins no earlier than at O(g2) for a broad class of wave packets. We conclude that a uniform field does not produce a gravitational spin Hall effect at linear order; the previously reported drift stems from inconsistent initial states and misinterpreting canonical momentum. Full article
(This article belongs to the Special Issue Geometric Theories of Gravity)
Show Figures

Figure 1

31 pages, 1868 KB  
Article
Information Content and Maximum Entropy of Compartmental Systems in Equilibrium
by Holger Metzler and Carlos A. Sierra
Entropy 2025, 27(10), 1085; https://doi.org/10.3390/e27101085 - 21 Oct 2025
Viewed by 656
Abstract
Mass-balanced compartmental systems defy classical deterministic entropy measures since both metric and topological entropy vanish in dissipative dynamics. By interpreting open compartmental systems as absorbing continuous-time Markov chains that describe the random journey of a single representative particle, we allow established information-theoretic principles [...] Read more.
Mass-balanced compartmental systems defy classical deterministic entropy measures since both metric and topological entropy vanish in dissipative dynamics. By interpreting open compartmental systems as absorbing continuous-time Markov chains that describe the random journey of a single representative particle, we allow established information-theoretic principles to be applied to this particular type of deterministic dynamical system. In particular, path entropy quantifies the uncertainty of complete trajectories, while entropy rates measure the average uncertainty of instantaneous transitions. Using Shannon’s information entropy, we derive closed-form expressions for these quantities in equilibrium and extend the maximum entropy principle (MaxEnt) to the problem of model selection in compartmental dynamics. This information-theoretic framework not only provides a systematic way to address equifinality but also reveals hidden structural properties of complex systems such as the global carbon cycle. Full article
Show Figures

Figure 1

24 pages, 2635 KB  
Review
Hailstorm Impact on Photovoltaic Modules: Damage Mechanisms, Testing Standards, and Diagnostic Techniques
by Marko Katinić and Mladen Bošnjaković
Technologies 2025, 13(10), 473; https://doi.org/10.3390/technologies13100473 - 18 Oct 2025
Viewed by 2497
Abstract
This study examines the effects of hailstorms on photovoltaic (PV) modules, focussing on damage mechanisms, testing standards, numerical simulations, damage detection techniques, and mitigation strategies. A comprehensive review of the recent literature (2017–2025), experimental results, and case studies is complemented by advanced simulation [...] Read more.
This study examines the effects of hailstorms on photovoltaic (PV) modules, focussing on damage mechanisms, testing standards, numerical simulations, damage detection techniques, and mitigation strategies. A comprehensive review of the recent literature (2017–2025), experimental results, and case studies is complemented by advanced simulation methods such as finite element analysis (FEA) and smoothed particle hydrodynamics (SPH). The research emphasises the crucial role of protective glass thickness, cell type, number of busbars, and quality of lamination in improving hail resistance. While international standards such as IEC 61215 specify test protocols, actual hail events often exceed these conditions, leading to glass breakage, micro-cracks, and electrical faults. Numerical simulations confirm that thicker glass and optimised module designs significantly reduce damage and power loss. Detection methods, including visual inspection, thermal imaging, electroluminescence, and AI-driven imaging, enable rapid identification of both visible and hidden damage. The study also addresses the financial risks associated with hail damage and emphasises the importance of insurance and preventative measures. Recommendations include the use of certified, robust modules, protective covers, optimised installation angles, and regular inspections to mitigate the effects of hail. Future research should develop lightweight, impact-resistant materials, improve simulation modelling to better reflect real-world hail conditions, and improve AI-based damage detection in conjunction with drone inspections. This integrated approach aims to improve the durability and reliability of PV modules in hail-prone regions and support the sustainable use of solar energy amidst increasing climatic challenges. Full article
(This article belongs to the Special Issue Innovative Power System Technologies)
Show Figures

Graphical abstract

Back to TopTop