Stochastic Optimization and Adaptive Control for Dynamic Bus Lane Management Under Heterogeneous Connected Traffic
Abstract
1. Introduction
- A stochastic queuing model for heterogeneous connected traffic. A MAP-based queuing framework is developed to capture dynamic arrival correlations between connected and conventional vehicles in mixed traffic flows, improving the realism of traffic representation.
- An intelligent optimization algorithm for lane capacity management. A non-linear optimization problem is formulated to minimize total fuel consumption, solved via metaheuristic techniques suited for complex and nonconvex systems.
- An adaptive control mechanism integrating real-time estimation. The HMM-based queue estimation model enables online adjustments of the C-DBL activation and capacity according to observed traffic conditions, ensuring responsive and stable operation.
2. C-DBL System and Control Strategy
2.1. System Description
2.2. Vehicle Queue Detection Using HMM
2.3. Transit Priority Communications Range
2.4. Traffic Flow Modeling in Heterogeneous and Connected Environments
3. Stochastic Queuing Model and Performance Index
3.1. System State
3.2. Model Solution
| Algorithm 1. Solving Process for Random Queueing Models | |
| Step | Description |
| Input: Block matrices from the infinitesimal generator of the MAP/QBD system; convergence threshold . Output: Steady-state probability vectors and the rate matrix . | |
| Step 1. Initialization | Import the block matrices representing transitions among boundary and internal levels. Set iteration counter and initialize |
| Step 2. Ergodicity Check and Base Probability | Compute the stationary vector satisfying . The stability (ergodicity) condition is verified to ensure that the system converges to a steady state. |
| Step 3. Computation of the Rate Matrix | Iteratively solve from the nonlinear matrix equation . Using the functional iteration , repeat until . |
| Step 4. Boundary Probability Computation | Form the boundary-level blocks by solving , together with the normalization condition |
| Step 5. Computation of Level Probabilities | Obtain the stationary probability vectors for higher levels as for, . This step yields the limiting distribution of queue states under steady conditions. |
| Step 6. Performance Metric Evaluation | Based on {}, compute expected queue length, average delay, and fuel consumption as given in Equations (10)–(15). |
3.3. Performance Metrics
3.3.1. Vehicle Average Queue Length and Delay
3.3.2. Queuing of Vehicles in SL
3.3.3. Maximum Queue Length for Vehicles
3.3.4. Fuel Consumption of Vehicles in a Cycle
- Non-Congested
- Congested
4. Optimal Capacity Allocation
4.1. Problem Definition
4.2. Solution Methodology
- Initialization: Define a population of candidate solutions (individuals or particles), randomly initialized within the feasible solution space for (i.e., ).
- Fitness Evaluation: Evaluate the fitness of each candidate solution by computing the objective function . The fitness is based on minimizing the fuel consumption over time, which depends on the lane allocation .
| Algorithm 2. GA pseudo-code for solving the optimal C-DBL volume |
| INPUT: Objective function F(L) |
| OUTPUT: The optimal bus lane capacity L* that minimizes fuel consumption F(L) |
| Initialize: |
|
| Evaluate: Evaluate the population P(t) using the objective function F(L) |
| while termination criterion is not satisfied do |
| t = t + 1 |
| Choose users to assemble P(t) from P(t − 1) based on their fitness. |
| Alter users of P(t) by applying crossover and mutation operations. |
|
| end while |
| Return the optimal bus lane capacity L that minimizes the fuel consumption F(L), which corresponds to the best solution found during the evaluation. |
5. Validation
5.1. Comparison with Existing Research
5.2. Simulation
6. Numerical Experiment
6.1. Optimal Capacity Configuration
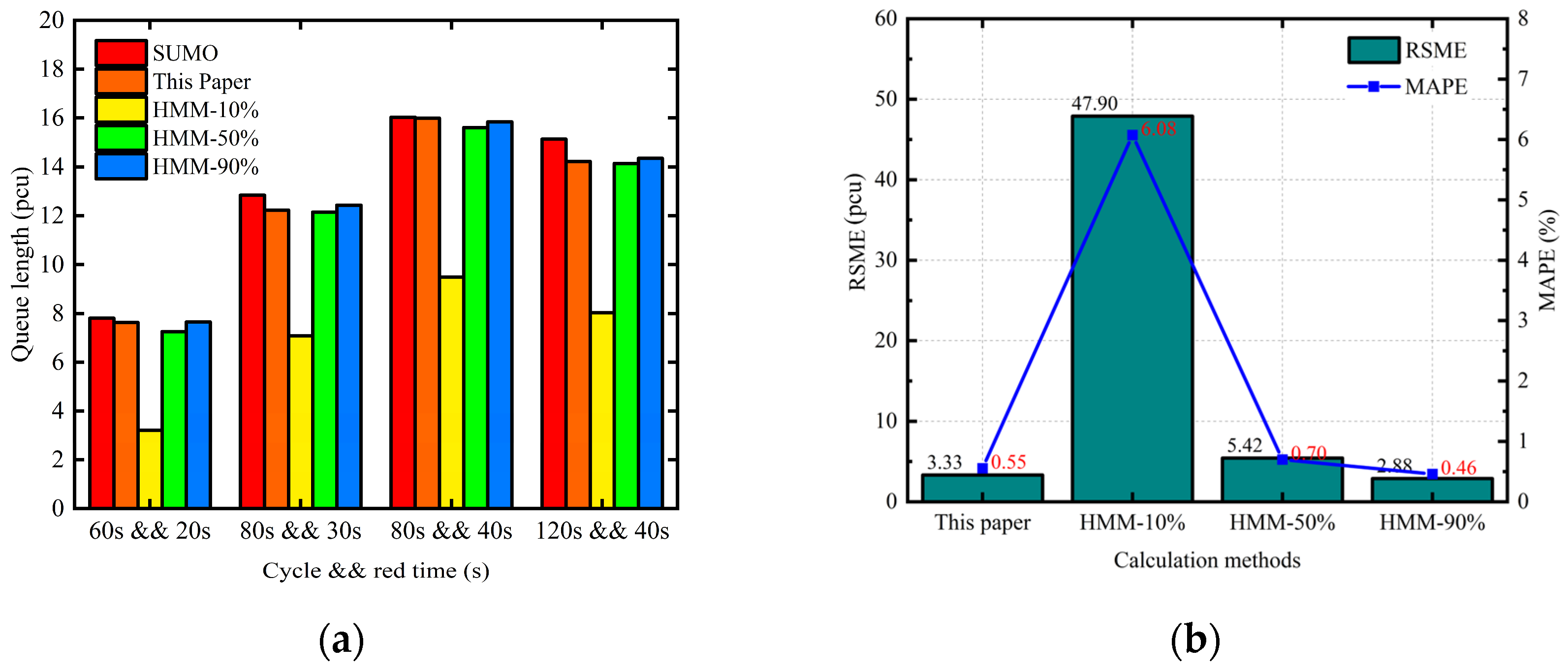
6.2. Results of the C-DBL Control Strategy
7. Sensitivity Analysis
7.1. Sensitivity to Random Traffic Flows
7.2. Sensitivity to CVs Penetration
7.3. Sensitivity to the C-DBL Capacity
7.4. Sensitivity to Traffic Flow Heterogeneity
8. Discussion
Author Contributions
Funding
Data Availability Statement
Acknowledgments
Conflicts of Interest
Abbreviations
| BLIP | Bus Lane with Intermittent Priority |
| C-DBL | Connected Dynamic Bus Lane |
| CV | connected vehicles |
| DE | Differential Evolution |
| HMM | Hidden Markov Model |
| ITS | Intelligent Transportation Systems |
| GA | Genetic Algorithm |
| MAP | Markov Arrival Process |
| MAPE | Mean Absolute Percentage Error |
| MLE | Maximum Likelihood Estimation |
| NCV | non-connected vehicle |
| PSO | Particle Swarm Optimization |
| RMSE | Root Mean Square Error |
| SL | social lane |
| SPaT | signal phase and timing |
| Block matrices of the infinitesimal generator of the Markov chain | |
| Signal cycle of the intersection . | |
| Signal cycle duration at the target intersection. | |
| Fuel consumption coefficient due to vehicle acceleration and deceleration | |
| Fuel consumption coefficient due to vehicle idling | |
| Correlation coefficient between consecutive inter-arrival times for vehicles. | |
| Transition rate matrices of the MAP | |
| Fuel consumption of the vehicle passing through the signalized intersection | |
| Duration of green and red phases at signalized intersection | |
| Matrix representing green and red light duration | |
| State of the MAP at time | |
| Traffic density | |
| Number of vehicles in the C-DBL at time | |
| Average total queue length of vehicles | |
| Penetration rate of probe vehicles | |
| Steady-state probability vector of underlying Markov chain | |
| Infinitesimal generator of the Markov chain | |
| Average fuel consumption rate under acceleration, deceleration, idling, and cruising | |
| Matrix solved iteratively in the model solution process | |
| Variance of inter-arrival times for vehicles | |
| Total vehicle arrival rate | |
| Unique stationary distribution of the Markov chain |
References
- Rahmani, A.M.; Naqvi, R.A.; Yousefpoor, E.; Yousefpoor, M.S.; Ahmed, O.H.; Hosseinzadeh, M.; Siddique, K. A Q-learning and fuzzy logic-based hierarchical routing scheme in the intelligent transportation system for smart cities. Mathematics 2022, 10, 4192. [Google Scholar] [CrossRef]
- Kuo, Y.-H.; Leung, J.M.; Yan, Y. Public transport for smart cities: Recent innovations and future challenges. Eur. J. Oper. Res. 2022, 306, 1001–1026. [Google Scholar] [CrossRef]
- Bittencourt, J.C.N.; Jesus, T.C.; Peixoto, J.P.J.; Costa, D.G. The Road to Intelligent Cities. Smart Cities 2025, 8, 77. [Google Scholar] [CrossRef]
- Mees, P. A centenary review of transport planning in Canberra, Australia. Prog. Plan. 2014, 87, 1–32. [Google Scholar] [CrossRef]
- Karner, A.; Levine, K. Equity-advancing practices at public transit agencies in the United States. Transp. Res. Rec. J. Transp. Res. Board 2021, 2675, 1431–1441. [Google Scholar] [CrossRef]
- Shi, F.; Cao, L.; Dong, Y.; Sun, Z. Utilization Rate of Bus-only Lanes on the Main Roads in Beijing. Int. J. High Sch. Res. 2023, 5, 69–76. [Google Scholar] [CrossRef]
- Qiao, W.; Yang, Z.; Peng, B.; Cai, X.; Zhang, Y. Integrated Evaluation Method of Bus Lane Traffic Benefit Based on Multi-Source Data. Mathematics 2024, 12, 2664. [Google Scholar] [CrossRef]
- Vest, A.; McMahon, P.J.; Cuellar, J. Developing dedicated bus lane screening criteria in Baltimore, Maryland. Transp. Res. Rec. J. Transp. Res. Board 2018, 2672, 52–63. [Google Scholar] [CrossRef]
- Li, S.G.; Ju, Y.F. Evaluation of bus-exclusive lanes. IEEE Trans. Intell. Transp. Syst. 2009, 10, 236–245. [Google Scholar] [CrossRef]
- Lin, Y.; Zhang, N.; Dong, H. Capability of intermittent bus lane utilization for regular vehicles. J. Adv. Transp. 2022, 2022, 4799497. [Google Scholar] [CrossRef]
- Viegas, J.; Lu, B. The intermittent bus lane signals setting within an area. Transp. Res. Part C Emerg. Technol. 2004, 12, 453–469. [Google Scholar] [CrossRef]
- Currie, G.; Lai, H. Intermittent and dynamic transit lanes: Melbourne, Australia, experience. Transp. Res. Rec. 2008, 2072, 49–56. [Google Scholar] [CrossRef]
- Eichler, M.; Daganzo, C.F. Bus lanes with intermittent priority: Strategy formulae and an evaluation. Transp. Res. Part B Methodol. 2006, 40, 731–744. [Google Scholar] [CrossRef]
- Tumminello, M.L.; Zare, N.; Macioszek, E.; Granà, A. Assaying Traffic Settings with Connected and Automated Mobility Channeled into Road Intersection Design. Smart Cities 2025, 8, 86. [Google Scholar] [CrossRef]
- Wu, D.; Han, X. A Two-Lane Cellular Automaton Model to Evaluate the Bus Lane with Intermittent Priority. J. Adv. Transp. 2022, 2022, 9028212. [Google Scholar] [CrossRef]
- Zhang, L.; Zhang, L. Distributed traffic signal optimization at V2X intersections. Mathematics 2024, 12, 773. [Google Scholar] [CrossRef]
- Wu, W.; Head, L.; Yan, S.; Ma, W. Development and evaluation of bus lanes with intermittent and dynamic priority in connected vehicle environment. J. Intell. Transp. Syst. 2018, 22, 301–310. [Google Scholar] [CrossRef]
- Guler, S.I.; Gayah, V.V.; Menendez, M. Bus priority at signalized intersections with single-lane approaches: A novel pre-signal strategy. Transp. Res. Part C Emerg. Technol. 2016, 63, 51–70. [Google Scholar] [CrossRef]
- Zhao, J.; Zhou, X. Improving the operational efficiency of buses with dynamic use of exclusive bus lane at isolated intersections. IEEE Trans. Intell. Transp. Syst. 2018, 20, 642–653. [Google Scholar] [CrossRef]
- Gao, Z.; Long, K.; Li, C.; Wu, W.; Han, L.D. Bus Priority Control for Dynamic Exclusive Bus Lane. Comput. Mater. Contin. 2019, 61, 345–361. [Google Scholar] [CrossRef]
- Hounsell, N.; Shrestha, B. A new approach for co-operative bus priority at traffic signals. IEEE Trans. Intell. Transp. Syst. 2011, 13, 6–14. [Google Scholar] [CrossRef]
- Elbaum, Y.; Novoselsky, A.; Kagan, E. A Queueing Model for Traffic Flow Control in the Road Intersection. Mathematics 2022, 10, 3997. [Google Scholar] [CrossRef]
- Wu, Z.; Waterson, B. Waterson Urban intersection management strategies for autonomous/connected/conventional vehicle fleet mixtures. IEEE Trans. Intell. Transp. Syst. 2021, 23, 12084–12093. [Google Scholar] [CrossRef]
- Pankratova, E.; Moiseeva, S.; Farkhadov, M. Infinite-server resource queueing systems with different types of Markov-modulated Poisson process and renewal arrivals. Mathematics 2022, 10, 2962. [Google Scholar] [CrossRef]
- Alfa, A.S.; Neuts, M.F. Modelling vehicular traffic using the discrete time Markovian arrival process. Transp. Sci. 1995, 29, 109–117. [Google Scholar] [CrossRef]
- Mirzaeian, N.; Cho, S.-H.; Scheller-Wolf, A. A queueing model and analysis for autonomous vehicles on highways. Manag. Sci. 2021, 67, 2904–2923. [Google Scholar] [CrossRef]
- Yang, B.; Wang, C.; Cao, Y.; Yang, Q. Modeling and evaluating the impact of variable bus lane on isolated signal intersection performance. Phys. A Stat. Mech. Its Appl. 2024, 643, 129786. [Google Scholar] [CrossRef]
- Wang, P.; Zhao, J.; Gao, Y.; Sotelo, M.A.; Li, Z. Lane work-schedule of toll station based on queuing theory and PSO-LSTM model. IEEE Access 2020, 8, 84434–84443. [Google Scholar] [CrossRef]
- Petrović, A.; Nikolić, M.; Bugarić, U.; Delibašić, B.; Lio, P. Lio Controlling highway toll stations using deep learning, queuing theory, and differential evolution. Eng. Appl. Artif. Intell. 2022, 119, 105683. [Google Scholar] [CrossRef]
- An, C.; Shen, H.; Xu, Y.; Lu, Z.; Xia, J. Hidden mixture vehicle discharge state inference at signalized intersection using vehicle travel time and discharge headway data. IEEE Trans. Intell. Transp. Syst. 2022, 23, 21700–21711. [Google Scholar] [CrossRef]
- Wang, S.; Zhang, X.; Li, F.; Yu, P.S.; Huang, Z. Efficient traffic estimation with multi-sourced data by parallel coupled hidden markov model. IEEE Trans. Intell. Transp. Syst. 2018, 20, 3010–3023. [Google Scholar] [CrossRef]
- Hao, P.; Ban, X.J.; Guo, D.; Ji, Q. Cycle-by-cycle intersection queue length distribution estimation using sample travel times. Transp. Res. Part B Methodol. 2014, 68, 185–204. [Google Scholar] [CrossRef]
- Zhao, Y.; Shen, S.; Liu, H.X. A hidden Markov model for the estimation of correlated queues in probe vehicle environments. Transp. Res. Part C Emerg. Technol. 2021, 128, 103128. [Google Scholar] [CrossRef]
- Wu, L.; Ci, Y.; Wang, Y.; Chen, P. Fuel consumption at the oversaturated signalized intersection considering queue effects: A case study in Harbin, China. Energy 2020, 192, 116654. [Google Scholar] [CrossRef]
- He, H.; Guler, S.I.; Menendez, M. Adaptive control algorithm to provide bus priority with a pre-signal. Transp. Res. Part C Emerg. Technol. 2016, 64, 28–44. [Google Scholar] [CrossRef]
- Shan, X.; Wan, C.; Hao, P.; Wu, G.; Barth, M.J. Developing a novel dynamic bus lane control strategy with eco-driving under partially connected vehicle environment. IEEE Trans. Intell. Transp. Syst. 2024, 25, 5919–5934. [Google Scholar] [CrossRef]










| Category | Parameter/Description | Value/Setting |
|---|---|---|
| Simulation Environment | Platform | SUMO 1.19.0 (for microscopic traffic simulation) + MATLAB 2023a (for optimization and analysis) |
| Processor and Memory | Intel Core i5-9300H (2.4 GHz), 16 GB RAM (Intel Corporation, Santa Clara, CA, USA) | |
| Signal Control Parameters | Signal cycle length (C) | 100 s |
| Green phase duration (g) | 50 s | |
| Red phase duration (r) | 50 s | |
| Road Configuration | Intersection layout | 1 through lanes + 1 C-DBL |
| Traffic Composition | Vehicle types | CVs, NCVs and Buses |
| Proportion | 30% CVs, 60% NCVs, 10% Buses | |
| Arrival Scenarios | Traffic saturation levels | 0.3 (low), 0.6 (medium), 0.9 (high) |
| Arrival modes | (i) Steady (M); (ii) Busty NCV (MAP1); (iii) busty CV (MAP2) | |
| Optimization Parameters | Algorithms | GA, DE, PSO |
| Population size | 50 | |
| Maximum generations | 100 | |
| Mutation/Crossover settings | Empirically tuned for convergence stability | |
| Validation Setup | Simulation runs | 30 independent runs per scenario with random seeds |
| M | MAP1 | MAP2 | |
|---|---|---|---|
| I | |||
| II | |||
| III |
| Saturation Level | Arrival Mode | Optimization Algorithm | Optimal Capacity (pcu/cycle) | FC Reduction (%) |
|---|---|---|---|---|
| 0.3 | Steady (M) | GA | 2 | 0.143 |
| DE | 2 | 0.143 | ||
| PSO | 2 | 0.143 | ||
| Burst (MAP1) | GA | 2 | 0.042 | |
| DE | 2 | 0.042 | ||
| PSO | 2 | 0.042 | ||
| Connected Burst (MAP2) | GA | 2 | 0.896 | |
| DE | 2 | 0.896 | ||
| PSO | 2 | 0.896 | ||
| 0.6 | Steady (M) | GA | 2 | 2.322 |
| DE | 2 | 2.322 | ||
| PSO | 2 | 2.322 | ||
| Burst (MAP1) | GA | 4 | 1.436 | |
| DE | 4 | 1.436 | ||
| PSO | 4 | 1.436 | ||
| Connected Burst (MAP2) | GA | 3 | 18.599 | |
| DE | 3 | 18.599 | ||
| PSO | 3 | 18.599 | ||
| 0.9 | Steady (M) | GA | 5 | 27.858 |
| DE | 5 | 27.858 | ||
| PSO | 5 | 27.858 | ||
| Burst (MAP1) | GA | 5 | 27.027 | |
| DE | 5 | 27.027 | ||
| PSO | 5 | 27.027 | ||
| Connected Burst (MAP2) | GA | 5 | 50.766 | |
| DE | 5 | 50.766 | ||
| PSO | 5 | 50.766 |
Disclaimer/Publisher’s Note: The statements, opinions and data contained in all publications are solely those of the individual author(s) and contributor(s) and not of MDPI and/or the editor(s). MDPI and/or the editor(s) disclaim responsibility for any injury to people or property resulting from any ideas, methods, instructions or products referred to in the content. |
© 2025 by the authors. Licensee MDPI, Basel, Switzerland. This article is an open access article distributed under the terms and conditions of the Creative Commons Attribution (CC BY) license (https://creativecommons.org/licenses/by/4.0/).
Share and Cite
Yang, B.; Wang, C.; Yang, J.; Wang, Z. Stochastic Optimization and Adaptive Control for Dynamic Bus Lane Management Under Heterogeneous Connected Traffic. Mathematics 2025, 13, 3666. https://doi.org/10.3390/math13223666
Yang B, Wang C, Yang J, Wang Z. Stochastic Optimization and Adaptive Control for Dynamic Bus Lane Management Under Heterogeneous Connected Traffic. Mathematics. 2025; 13(22):3666. https://doi.org/10.3390/math13223666
Chicago/Turabian StyleYang, Bo, Chunsheng Wang, Junxi Yang, and Zhangyi Wang. 2025. "Stochastic Optimization and Adaptive Control for Dynamic Bus Lane Management Under Heterogeneous Connected Traffic" Mathematics 13, no. 22: 3666. https://doi.org/10.3390/math13223666
APA StyleYang, B., Wang, C., Yang, J., & Wang, Z. (2025). Stochastic Optimization and Adaptive Control for Dynamic Bus Lane Management Under Heterogeneous Connected Traffic. Mathematics, 13(22), 3666. https://doi.org/10.3390/math13223666
