Next Article in Journal
Techno-Economic Review of the Current Lithium Supply Shortage and Direct Lithium Extraction Technologies
Previous Article in Journal
HiDEF: A Hierarchical Disaster Information Extraction Framework Based on Adversarial Augmentation and Dynamic Prompting
 
 
Font Type:
Arial Georgia Verdana
Font Size:
Aa Aa Aa
Line Spacing:
Column Width:
Background:
Article

System-Level Prediction and Optimization of Cyclone Separator Performance Using a Hybrid CFD–DEM–ANN Approach

Mechanical Engineering Department, Faculty of Engineering, Çankaya University, Ankara 06815, Türkiye
Appl. Sci. 2026, 16(3), 1621; https://doi.org/10.3390/app16031621
Submission received: 23 December 2025 / Revised: 12 January 2026 / Accepted: 14 January 2026 / Published: 5 February 2026
(This article belongs to the Section Mechanical Engineering)

Abstract

In this study, the separation performance of cyclone separators with different geometric configurations was investigated using a hybrid approach that combines Computational Fluid Dynamics, the Discrete Element Method, and Artificial Neural Networks. In the first stage, the flow field was solved using the Reynolds-Averaged Navier–Stokes equations together with the Reynolds Stress Model turbulence closure, and particle motion was evaluated in detail through DEM. To examine the effect of geometric parameters, the inlet aspect ratio, vortex finder diameter, and cylinder height were systematically assessed. The results revealed the formation of a pronounced Rankine-type vortex structure inside the cyclone and showed that secondary flow regions intensified as the vortex finder diameter and cylinder height increased, thereby reducing the separation efficiency. In the inlet section, an optimal aspect ratio was identified. In the second stage, an ANN model was developed to expand the limited dataset obtained from the CFD–DEM analyses. By optimizing the activation function and the number of neurons, the best performance was achieved with a ReLU-based neural network containing a single hidden neuron, reaching a test-set accuracy of approximately R 2 0.991 and an overall fit of R 2 0.895 . The ANN model also captured interaction trends between flow velocity and geometry that could not be observed with the limited CFD dataset. This hybrid approach provides an effective and low-cost method for performance prediction and optimization in cyclone separator design.

1. Introduction

Cyclone separators are widely used in many fields such as energy and environmental applications, chemical processes, and mining, owing to their low installation costs, long service life, and wide operating range. The fact that approximately 16% of global investments are directed toward gas filtration systems [1] highlights the importance of these devices in industrial processes. However, a review of the literature shows that academic studies on cyclone separators began in the 1930s, and that the annual number of publications has rarely exceeded 100 to date [2]. This limitation indicates that different geometric configurations and operating conditions still require detailed investigation.
Cyclone separators operate based on a separation mechanism in which particles are driven toward the walls by the centrifugal force imparted to the fluid and are subsequently collected in the dust hopper. The system consists of three main sections: the inlet region, the inner flow region, and the dust collection chamber. Although numerous cyclone designs have been reported in the literature, the most commonly used configuration is the classical cyclone with a tangential inlet and an axial outlet [3]. Research in this field generally falls into two main categories: (i) the influence of geometric parameters on performance, and (ii) the role of flow and particle characteristics on separation efficiency [4].
Studies on inlet and vortex finder designs have emphasized the critical role of the inlet region in cyclone performance. Elsayed and Lacor [5] compared five different inlet configurations and reported that the optimum inlet aspect ratio lies in the range of 0.5–0.7. Similarly, Wasilewski and Brar [6] added air injection ports to the inlet region and demonstrated that fresh air injection at different velocities increased efficiency by approximately 4%, which they attributed to a more symmetric flow structure. Another study examining the effect of inlet dimensions on performance was conducted by Yang et al. [7]. The researchers reported that increasing inlet height and width strengthened the primary vortex, thereby improving efficiency. However, this finding does not fully align with the results of Elsayed and Lacor [5], who showed that increasing inlet width reduced efficiency while decreasing pressure drop. This discrepancy indicates that inlet geometry requires careful optimization.
Studies focusing on vortex finder geometry also hold a significant place in the literature. Chaghakaboodi and Saidi [1] compared square and circular vortex finder geometries and demonstrated that, although the pressure drop was lower in the square configuration, its efficiency was inferior to that of the circular one. Parvaz et al. [8] reported that increasing eccentricity led to a reduction in efficiency. A different approach aimed at regulating the flow field was presented by Zhou et al. [9]. By adding guide vanes to the vortex finder, the flow field became more stable; similarly, Zhou et al. [9] indicated that when the number of guide vanes reached a critical value, the efficiency improved by approximately 2%.
Studies on multi-stage inlets, inner-flow organization, and energy efficiency have emerged as important factors directly influencing separation performance. Yao et al. [10] examined multi-stage converging inlet designs and showed that, depending on the position of the intersection point in a two-stage inlet, efficiency could be enhanced. In this configuration, having the intersection point located below the inner surface increased efficiency, whereas the opposite situation reduced it. Wu et al. [11] investigated various vortex finder designs for an axial cyclone model and evaluated the effects of a conical structure at the dip-tube end and openings on the vortex finder on energy consumption. In the entropy-based energy analysis, they reported that the improved design reduced average energy consumption by approximately 35% while maintaining maximum efficiency.
Studies in the literature demonstrate that cyclone performance is strongly influenced by geometric parameters such as inlet height and width, cyclone diameter, cylinder height, and the shape and dimensions of the vortex finder. In addition, particle characteristics—including particle diameter, density, and shape—as well as flow parameters such as velocity and pressure directly affect performance. A common conclusion across these studies is that the independent influence of a single parameter is limited; cyclone performance is determined by the complex flow structures arising from the combined effects of these parameters [4].
Although the flow structure of cyclone separators has been extensively investigated in traditional Computational Fluid Dynamics (CFD) studies, most of this work has been unable to examine the dispersed phase in sufficient detail. The primary reason is that multiphase flow models in CFD cannot track particles as discrete entities. This limitation becomes particularly significant for separation equipment such as cyclone separators, where particle motion and collision processes play a critical role. Therefore, in recent years, the coupling of CFD with the Discrete Element Method (DEM) has become increasingly common. CFD provides qualitative and quantitative analysis of the fluid phase, while DEM enables the individual tracking of each particle [12]. Although the combined use of these two methods increases computational cost, it provides a more accurate representation of gas–solid and solid–solid interactions.
The CFD–DEM approach was first introduced by Cundall and Strack in 1979 [13]. This method enabled realistic modeling of particle–particle, particle–surface, and fluid–particle interactions. Web of Science data also indicate that interest in this method has increased rapidly. While the number of studies was fewer than 20 in 2012, it reached approximately 300 by 2022 [12]. Nevertheless, only a small portion of these studies apply CFD–DEM coupling for performance prediction of cyclone separators, indicating a significant gap in the literature. Although the detailed particle tracking offered by the Discrete Element Method provides a major advantage, the analyses are highly time-consuming and computationally expensive. For this reason, interest in artificial intelligence and machine learning (ML) methods has grown in recent years to enable faster exploration of the design space. ML techniques stand out as a powerful alternative, particularly in high-dimensional engineering problems, due to their ability to produce highly accurate results in a short time. Ulucak et al. [14] used ML techniques to identify and optimize the key parameters affecting solar chimney performance, and demonstrated that Artificial Neural Networks (ANN) could yield results as accurate as CFD due to their rapid data generation capability and R 2 values exceeding 0.99. The effectiveness of ML in aerodynamic design problems has also been widely reported in the literature. Li et al. [15] emphasized the potential of ML to handle large datasets and provide highly accurate predictions in aerodynamic shape optimization of airfoils. Kocak [16] compared CFD and ML methods for various fluid mechanics problems and reported that ML could achieve highly accurate predictions. Zan et al. [17] performed aerodynamic shape prediction using a Convolutional Neural Network (CNN) model incorporating 109 input parameters, showing that CNN parameters had a significant influence on prediction accuracy. Peng et al. [18] estimated the lift coefficients of airfoil profiles using CNN and achieved a much lower error rate (0.97%) compared to regression-based models. More recently, data-driven virtual sample generation and representation-learning approaches have been proposed to enhance information completeness and surrogate model robustness in complex engineering systems, further highlighting the growing role of advanced AI techniques alongside physics-based simulations [19,20].
Despite all these developments, the number of studies that directly apply ML methods to cyclone separator performance remains quite limited. Park and Go [21] developed an ML-based model to predict the critical diameter from a Lagrangian perspective and demonstrated that its accuracy surpassed that of linear regression methods. Le and Yoon [22] proposed a hybrid approach that combines CFD and deep learning to estimate pressure drop more accurately and at lower computational cost. Zhao [23] modeled the pressure drop coefficient using Support Vector Machines (SVM) and showed that SVM provided superior generalization performance compared to traditional models. Queiroz et al. [24] demonstrated that the flow field inside a cyclone could be accurately simulated using Physics-Informed Neural Networks (PINN), which integrate the Navier–Stokes equations directly into the neural network architecture.
Although numerous studies have demonstrated that machine learning is a powerful tool for engineering design problems, a comprehensive cyclone separator performance analysis that tightly integrates ML with high-fidelity CFD–DEM data remains largely unexplored in the literature. In particular, existing works either rely on CFD–DEM simulations alone or apply data-driven models without fully exploiting the detailed particle-scale information provided by CFD–DEM coupling. In this context, the present study represents an extensive hybrid approach by systematically evaluating the effects of cyclone geometry and operating conditions across a broad parameter space, expanding the limited CFD–DEM dataset through ANN-based learning, and identifying optimal design configurations via surrogate modeling.
From a fluid-dynamics perspective, the performance of cyclone separators is governed by the incompressible Navier–Stokes equations, which describe the balance between inertial, pressure, and viscous forces within swirling flows. In practical engineering applications, these equations are commonly solved in their Reynolds-averaged form (RANS) to efficiently represent turbulence effects in high-Reynolds-number flows, while retaining the essential physics relevant to engineering-scale design problems [25,26]. The resulting flow field in cyclone separators typically exhibits a Rankine vortex structure, characterized by a forced vortex core surrounded by a free vortex region. This vortex structure directly governs the radial pressure gradient and the centrifugal forces acting on particles, thereby controlling particle trajectories, residence time, and ultimately the separation efficiency, which is widely adopted as the primary performance metric in cyclone design. Introducing this formulation-driven perspective provides the physical basis for the CFD modeling strategy adopted in the present study and establishes a clear link between the governing equations, numerical framework, and efficiency-based performance analysis.
To clearly position the present work within this framework, its contributions can be distinguished as follows. The CFD–DEM simulations are employed in a confirmatory manner to reproduce well-established cyclone flow physics, including vortex formation, particle–flow interactions, and separation efficiency trends reported in prior studies. Building on this validated foundation, an incremental contribution is achieved through a systematic parametric investigation that generates a consistent, high-fidelity dataset suitable for data-driven analysis. The genuinely novel contribution of this study lies in transforming computationally expensive CFD–DEM results into an optimized ANN-based surrogate model that enables rapid performance prediction and design-space exploration. By providing continuous response surfaces and directly usable design guidance, the proposed framework bridges detailed flow physics with industrially relevant cyclone design decision-making.

2. Problem Definition

In the first stage of this study, CFD–DEM analyses were conducted to reveal the flow physics inside the cyclone separator, after which the effects of various parameters—such as Reynolds number, vortex finder diameter, inlet height and width, and cylinder height—on performance were examined. Completing all analyses required approximately three months. The main reason for this long duration was the high computational cost of DEM, which significantly increased both the total simulation time and the overall computational expense. Consequently, these analyses are extremely time-consuming and costly. Therefore, rather than working with a limited numerical dataset, it was deemed necessary to adopt an artificial intelligence–based approach that would allow a broader design space to be explored at lower cost.
In the second stage of the study, the effectiveness of Artificial Neural Networks (ANN) in optimizing the parameters influencing cyclone separator performance was investigated. First, using the data obtained from CFD–DEM analyses, the training algorithm, number of hidden layers, and activation function were optimized, and the most suitable ANN architecture for the problem was identified. The architecture yielding the highest R 2 and the lowest RMSE values—and thus the highest prediction accuracy—was selected. After determining the appropriate architecture, a range was defined for each parameter, and these parameters (vortex finder diameter, inlet height and width, and cylinder height) were varied within their respective ranges to obtain an optimized design that maximized performance. To validate the geometry proposed by ANN, an additional CFD simulation was conducted. The optimized geometry was re-solved using CFD, and the predicted performance values were compared. The agreement between these values demonstrates the capability of ANN and substantially reduces the computational cost of the CFD–DEM process. This validation approach is a critical step for assessing the consistency of ANN-generated data with physical reality.
The primary objective of this study is to develop a hybrid method in which a well-trained ANN, once sufficient data have been generated, can replace the costly CFD–DEM process. To the author’s knowledge, no study in the literature has used CFD–DEM–ANN simultaneously to predict cyclone separator performance. Therefore, this work presents a novel contribution to the literature by both expanding CFD–DEM data through ANN and accelerating the overall optimization process. The flowchart of the study is presented in Figure 1.
The characteristics of the cyclone separator geometry used in this study are shown in Figure 2. The diameter D is 200 mm, and all other lengths are given parametrically in terms of D in the figure. During the study, the inlet height and width were varied to investigate the influence of inlet dimensions. In the second scenario, the effect of vortex finder diameter was examined for different cyclone diameters. In addition, the influence of cylinder height and cone height on separation efficiency was also investigated. Numerical simulations were performed for four different flow rates for each geometry. This comprehensive parametric structure enabled the independent and combined assessment of both geometric effects and flow conditions.
In this study, first, the effect of inlet dimensions on separation efficiency is examined. In this context, the inlet height and width are varied by changing the a / b ratio between 0.4 and 2.5 to investigate their influence on cyclone performance. Another parameter examined is the vortex finder diameter; for this purpose, the D e / D ratio is varied as 0.25, 0.5, and 0.75. The cylinder height ratio H cyc / H t is set to 0.167, 0.234, and 0.286, and its effect on cyclone efficiency is evaluated. In addition, an extra analysis is conducted by varying the a / b ratio between 0.4 and 1.
After assessing the influence of geometric parameters on performance, the flow velocity is varied as 10, 20, and 30  m / s for all geometric configurations to examine the effect of mass flow rate. In this way, the effects of two fundamental factors—cyclone geometric properties and fluid flow characteristics—on cyclone behavior are comprehensively investigated. This approach systematically isolates all primary influences determining performance, thereby enhancing both the physical accuracy of the model and its optimization capability.

3. Mathematical Formulation

In CFD–DEM modeling, particle motion is represented by treating each particle as a discrete entity governed by Newton’s laws of motion, while the fluid flow is modeled using the Navier–Stokes equations. In this section, the modeling of the fluid phase is presented first, followed by the modeling of the discrete solid phase.

3.1. Fluid Phase

To analyze the fluid motion inside the cyclone separator, the three-dimensional Navier–Stokes equations were solved. Equations (1) and (2) represent the conservation of mass and momentum, respectively. ANSYS Fluent 2025 R1 was used for the simulations. The flow was modeled as three-dimensional, incompressible, and time-dependent under the continuum assumption.
· ( ρ f v f ) = 0
v f t + · ( v f v f ) = p + · τ f + · u i u j ¯ .
Here, t denotes time, v represents the mean fluid velocity, p is the pressure, and τ f denotes the viscous stress tensor. The last term, u i u j ¯ , is the nonlinear turbulence-induced contribution, known as the Reynolds stress tensor. The turbulence stress components can be computed as follows, as reported by Yao et al. [27]:
u i u j ¯ t = C i j + D T , i j + D L , i j + P i j + G i j + ϕ i j + ε i j + F i j ,
As presented in Equation (3) and described by Yao et al. [27], C i j is the convection term, while D T , i j and D L , i j on the right-hand side represent turbulent diffusion and molecular diffusion, respectively. P i j and G i j are the production terms associated with stress and buoyancy forces in the Reynolds stress tensor. The terms ϕ i j , ε i j , and F i j correspond to the pressure–strain correlation, the dissipation term, and the production term related to system rotation, respectively.
In this study, the Reynolds Stress Model (RSM) was used for turbulence closure. The Reynolds stress components were solved using the transport equation provided in Equation (3), which includes all terms of the RSM formulation: convective transport ( C i j ), turbulent diffusion ( D T , i j ), molecular diffusion ( D L , i j ), pressure–strain correlation ( ϕ i j ), and the rotation/production terms ( P i j and F i j ). Since the flow is isothermal, only the buoyancy-related production term G i j becomes zero; all other RSM terms are resolved in full. The expansion of the fundamental terms is given below [28]:
D T , i j = x k ϑ t σ k u i u j ¯ x k ,
P i j = u i u k ¯ u k x j + u j u k ¯ u i x k ,
ϕ i j = ϕ i j , 1 + ϕ i j , 2 + ϕ i j , 3 ,
ε i j = 2 ϑ u i x k u j x k ,
In the pressure–strain term, each component represents purely turbulent interactions, the interaction between turbulence and the mean velocity field, and the wall-reflection effect, respectively. The pressure–velocity coupling was handled using the SIMPLEC algorithm for all reported results. The SIMPLE algorithm was employed only during the initial iterations to enhance numerical stability. Momentum and turbulence equations were discretized using second-order upwind schemes for all reported simulations. First-order upwind discretization was applied only during the initial solution stage to improve convergence stability. Steady-state solutions were first obtained to initialize the flow field, followed by transient simulations from which time-averaged quantities were extracted and used for performance evaluation.
It should be noted that the Reynolds Stress Model employed in this study has inherent limitations. While RSM is capable of capturing anisotropic turbulence and the mean swirling flow structure in cyclone separators, it cannot fully resolve unsteady flow phenomena such as the precessing vortex core. Large Eddy Simulation would provide higher fidelity in representing such transient vortex dynamics; however, its significantly higher computational cost makes it impractical for the extensive CFD–DEM parametric and optimization-oriented framework adopted in this study. Accordingly, the present analysis focuses on time-averaged flow characteristics and performance metrics rather than detailed transient vortex dynamics.

3.2. Solid Phase

DEM was used to track the time-dependent motion of particles within the cyclone separator. The translational and rotational motions of the particles are solved using Newton’s second law of motion and Euler’s equation, respectively. The corresponding equations are given below.
m i u i t = j = 1 n i c F i j c + F i f + F i g ,
I i ω i t = j = 1 n i c M i j ,
Here, m i denotes the mass of particle i, while u i and ω i represent its translational and angular (rotational) velocities, respectively. F i j and M i j indicate the force and moment exerted by particle j on particle i. I i is the moment of inertia of particle i, and F i j c is the contact force exerted by particle j on particle i. When particles i and j come into contact, the interaction does not occur at a single point; instead, an overlap region is formed, which significantly influences the resulting forces. Therefore, this overlap region is not neglected in the analyses [12,27,28].

3.3. Force Analysis

In the DEM solution, particles are exposed to aerodynamic forces arising from fluid–particle interactions. These forces include drag force, lift force, pressure gradient force, and, when necessary, the added mass force. Due to the high Reynolds number characterizing cyclone flows, the Basset history force and other viscous effects are neglected. In the CFD–DEM coupling, these aerodynamic forces are transferred from the Fluent solver to the DEM environment at each time step. Another influential force is the pressure gradient force. The magnitude of this force varies over the particle surface and is expressed as shown in Equation (10) [12].
F P = V p P ,
The Saffman force is based on the Bernoulli principle. It is associated with the lift force arising from the particle experiencing higher pressure on one side and lower pressure on the other side in the flow. The formulation is expressed as follows [12]:
F Saffman = C L ρ f ν f 1 / 2 d p 2 ω 1 / 2 u r × ω ω ,
In order to calculate the Saffman force coefficient, which is only applicable for spherical particles, the expression developed by Mei [29] is given as follows:
C l = ( 1 0.3314 χ 1 / 2 ) exp ( Re / 10 ) + 0.3314 χ 1 / 2 , Re 40 , 0.0524 ( Re χ ) 1 / 2 , Re > 40 ,
Adhesion and contact forces constitute the surface forces acting on particles. The rotational motion of particles is highly influenced by these forces. Particle contact creates a contact force, which can be modeled by representing the elastoplastic deformation of particles during collision. In the DEM model, forces between particles are computed in both tangential and normal directions using a rigid–spring formulation. Particle diameter, particle density, and the fluid’s physical properties strongly affect adhesion forces [12].
The Hysteretic Linear Spring Model is one of the most advanced approaches to estimate the energy loss occurring when two particles come into contact. Its primary advantage is that energy loss can be evaluated without introducing viscous damping terms; the force is independent of the relative velocity between colliding particles and can be computed for overlap values that are difficult to measure. The mathematical formulation of this model is given in Equation (13):
F i j n = min K n l s n t , F i j n ( t Δ t ) + K n u Δ s n , Δ s n 0 , max F i j n ( t Δ t ) + K n u Δ s n , λ K n l s n t , Δ s n < 0 ,
where Δ t is the simulation time step, while F i j n and F i j n ( t Δ t ) represent the normal elastoplastic contact forces at time t and t Δ t , respectively.

3.4. CFD-DEM Coupling

The general procedure of the CFD–DEM approach consists of three main steps: CFD, coupling, and DEM. In the coupling stage, the solutions obtained from CFD are transferred to DEM, and the solutions from DEM are transferred back to CFD; thus, by combining the solid and fluid phase solutions, a hybrid solution framework is achieved.
In CFD–DEM coupling problems, the first step begins with modeling the fluid region by solving the Navier–Stokes equations using the finite volume method. In the second stage, the initial fluid-field quantities obtained from CFD—such as fluid density, viscosity, fluid pressure, fluid velocity, and temperature—are transferred to the DEM solver through the coupling module.
In this study, the CFD–DEM interaction was performed using a two-way coupling approach. The CFD time step was set to 1 × 10 4 s , and the flow field was updated at every CFD time step. On the DEM side, a much smaller time step was used due to the particle collision time scale. To ensure numerical stability, the DEM time step was determined to satisfy Δ t DEM t col / 20 , where t col is the calculated collision time; accordingly, DEM was advanced through multiple sub-steps within each CFD time step. At the end of the DEM sub-steps, particle positions, velocities, and interaction forces were transferred to the CFD solver, while CFD provided the updated fluid velocity, pressure, and temperature for the next DEM time step.
Throughout each time step, data are continuously exchanged between CFD and DEM, and the solutions are iteratively coupled. This coupling process continues until the simulation time is completed. A schematic representation of the CFD–DEM coupling procedure is shown in Figure 3 [12,30].
In this study, the particle phase was modeled using the ROCKY® DEM environment, and particle injection was performed to represent a solid concentration of 30 g / m 3 . Particles were injected into the system for a duration of 1  s at a constant mass flow rate, ensuring that both particle number density and particle inflow velocity were consistent with the fluid inlet velocity. During this period, the DEM solver advanced through multiple sub-steps within each CFD time step, updating the particle positions and velocities and subsequently identifying the deposited and escaped particles.
The total number of particles was defined as N p , and particle injection was terminated at the end of the injection period. The simulation was continued until all particles either settled in the dust collection chamber or exited through the vortex finder, and the total simulation duration, including the flow development time, was set to 1.5  s . This procedure ensures that the separation efficiency is evaluated in a statistically reliable manner.
The collection efficiency was calculated using two boundary surfaces defined in ROCKY DEM: (i) the “collector” surface, which counts particles deposited in the dust chamber, and (ii) the “escape” surface, which records particles exiting through the vortex finder. The efficiency evaluation was performed on a number basis, consistent with the commonly adopted approach in CFD–DEM literature.
Through these definitions, the injection rate, number of particles, particle velocity, and efficiency calculation surfaces were clearly specified, ensuring the repeatability and reliability of the CFD–DEM results.

3.5. Modeling Assumptions and Efficiency Definition

In the present CFD–DEM framework, monodisperse particles with a diameter of d p = 2 μ m are employed. This choice is motivated by the need to isolate the effects of cyclone geometry and operating conditions on separation performance, without introducing additional variability associated with particle size distributions. Particles in this size range are representative of fine particulate matter, which poses a challenging separation regime for cyclone separators and is therefore of practical relevance in industrial gas–solid separation applications. Moreover, the use of monodisperse particles is a common modeling strategy in CFD and CFD–DEM studies when the primary objective is comparative performance assessment rather than the prediction of absolute collection efficiency for a specific industrial feed [5,31,32].
In the particle force balance, the Basset history force and added mass effects are neglected. This assumption is justified by the high Reynolds number and strongly swirling flow conditions characteristic of cyclone separators, as well as the large density ratio between solid particles and the carrier gas. Under such conditions, the characteristic time scales associated with unsteady viscous diffusion and fluid acceleration are significantly smaller than those governing particle inertia and drag, rendering the contributions of the Basset and added mass terms negligible compared to the dominant forces. Similar modeling simplifications are commonly adopted in CFD–DEM investigations of gas–solid cyclone flows, where particle motion is primarily governed by drag and inertial effects [31].
The separation efficiency in this study is defined on a number basis, consistent with the monodisperse particle assumption. For particles of identical size and density, number-based and mass-based efficiencies are directly proportional and therefore yield equivalent trends. The number-based definition is adopted here to facilitate clear interpretation of particle trajectories and capture behavior within the CFD–DEM framework. It is noted that for polydisperse particle systems, mass-based efficiency would provide additional insight; however, the present definition is sufficient for the relative performance comparisons and design optimization objectives of this study [5,32].
It is acknowledged that separation efficiency in cyclone separators is inherently sensitive to particle diameter, with larger particles generally exhibiting higher collection efficiencies due to increased inertial effects, while finer particles are more strongly influenced by fluid drag. In the present study, the particle diameter is fixed to isolate the effects of geometry and operating conditions. Although variations in particle size would affect the absolute efficiency values, the relative performance trends and optimal geometric configurations identified are expected to remain qualitatively consistent within the fine-particle regime considered.

4. Numerical Methodology

The analyses in this study were conducted using ANSYS Fluent® 2025 R1 for CFD and ROCKY® DEM 2025 R1 for particle tracking. The finite-volume method was used to model the highly swirling and strongly anisotropic flow inside the cyclone. Pressure–velocity coupling was achieved with the SIMPLEC algorithm, and the PRESTO! scheme was applied for pressure discretization. The momentum equations were discretized using the bounded central differencing (BCD) scheme, while the transient formulation employed a bounded second-order implicit scheme. Turbulence transport equations—including the turbulence kinetic energy, dissipation rate, and Reynolds stress components—were solved using a first-order upwind scheme. The convergence criterion for all equations was set to 10 4 .
In modeling turbulence, Large Eddy Simulation (LES) and the Reynolds Stress Model (RSM) are known to provide high accuracy for cyclone flows [33,34]. To limit the computational cost of the coupled CFD–DEM solution, an RSM formulation based on RANS was employed instead of LES, allowing the anisotropic turbulence structure to be captured while keeping the computational time at an acceptable level. For the unsteady simulation, a second-order implicit transient solver with a time step of 1 × 10 4 s was used, and an enhanced under-relaxation factor was applied for the Reynolds stress transport equations.
A comprehensive mesh sensitivity analysis was performed for the cyclone separator. The total number of elements was varied between 4.5 × 10 5 and 2.0 × 10 6 , and seven different mesh structures were evaluated. To assess the influence of mesh quality on the flow solutions, pressure drop, the peak tangential velocity (a critical parameter in cyclone flows), the location of the axial reverse flow region at the core, and the Rankine vortex core radius were compared. The results showed that refining the mesh from 1.54 × 10 6 elements to a finer structure of 2.0 × 10 6 elements resulted in less than 3% variation in both pressure drop and velocity profiles. Therefore, the mesh with 1.54 × 10 6 elements was selected as the optimum configuration, providing a balance between accuracy and computational cost. The mesh consisted of three-dimensional polyhedral cells, and prism layers were employed near the walls to accurately resolve high gradients in these regions. The y + values on critical surfaces were maintained in the range of 35–70.
In the DEM solution, the time step was determined based on the Rayleigh stability criterion to ensure stable resolution of particle collisions. For this purpose, the Rayleigh time step t Rayleigh , computed from particle material properties and contact stiffness, was used, and the DEM time step was defined as a safe fraction of this value. This approach increased the temporal resolution of particle–particle and particle–wall collisions while maintaining numerical stability. Since the CFD time step was Δ t CFD = 1 × 10 4 s , the DEM solver was advanced through multiple sub-cycles within each CFD step, and at the end of each CFD time step, momentum and volume fraction feedback from DEM to the fluid phase was provided. Summary of DEM contact and CFD–DEM coupling settings used in this study given in Table 1.

4.1. Boundary Conditions

The fluid phase was represented as air with a density of 1.225 kg / m 3 and a viscosity of 1.7894 × 10 5 kg / ( m · s ) . The density of the solid particles was set to 2700 kg / m 3 , and the inlet solid concentration was defined as 30 g / m 3 . A velocity inlet boundary condition was applied at the cyclone inlet, and the inlet velocity was varied between 10 m / s and 30 m / s in different analyses. The turbulence intensity was set to 3.5%.
In this study, particles were injected into the cyclone inlet using the uniform surface distribution principle, which is widely adopted in the literature. In the injection region, particles were defined with a stochastic distribution uniformly spread over the inlet cross-section, and each particle was initially assigned a velocity equal to the fluid inlet velocity. In each configuration, particles were continuously injected for 1  s ; after this period, injection was stopped and the collection behavior of the system in the steady regime was analyzed. Monodisperse particles were used, and all particles had a diameter of d = 2 × 10 6 m . The total number of particles was automatically computed by ROCKY® to satisfy the defined inlet solid concentration of 30 g / m 3 . The gas outlet was specified as a pressure outlet opening to atmospheric pressure. All other cyclone walls were assigned no-slip boundary conditions.

4.2. Verification Study

Ensuring the accuracy of the numerical methodology and validating the established numerical approach against experimental data constitute a critical stage of CFD studies. In this context, the work of Zhou et al. [9] was used as the reference. The dimensions and flow conditions used in their experimental study were modeled identically in the numerical environment.
The obtained axial and tangential velocity values were plotted along the cyclone width ( r / R ) to match the measurement line used in the experimental study, and the numerical results were compared with the experimental data, as shown in Figure 4. For both axial and tangential velocity distributions, the velocity approaches zero at the cyclone center, and the symmetric distribution characteristic of a Rankine-type vortex is preserved.
Due to the inherently unsteady nature of cyclone flows, an unsteady RANS approach was employed in the solution. Since accurate temporal resolution of the unsteady flow structure is critical for selecting the time step, a time-step independence analysis was conducted for an initial value of Δ t = 1 × 10 4 s . For this purpose, three different time steps ( 5 × 10 5 s , 1 × 10 4 s , and 2 × 10 4 s ) were tested, and the pressure drop, mean tangential velocity, and total turbulence kinetic energy were monitored over time to assess the attainment of periodic steady-state behavior. The results showed that Δ t = 1 × 10 4 s accurately captured the periodic flow and did not produce any meaningful deviation compared to smaller time steps.
All velocity and turbulence fields were computed by taking a time average of the periodic steady regime obtained after running the solver for 10 flow-through times. This approach yielded the time-averaged RANS behavior commonly adopted in the cyclone literature. With this methodology, both the precession vortex core (PVC) motion and the internal reverse flow region were accurately captured, and agreement with the experimental results was confirmed.
The error between numerical and experimental data was calculated using the pointwise maximum absolute difference method and was found to be 7.8% for tangential velocity and 6.4% for axial velocity. These results demonstrate that the RSM-based turbulence model successfully captured the swirl intensity and reverse-flow structure inside the cyclone. Following the completion of the validation study, all subsequent analyses were performed using the cyclone geometry presented in Figure 4.

5. Machine Learning Model

In this study, machine learning was employed to significantly expand the limited dataset obtained from the CFD–DEM method with high accuracy. In other words, once researchers provide the system with only a few experimental or numerical data points, the system is able to predict large volumes of data for scenarios that have not yet been analyzed [35]. Since artificial intelligence approaches inherently rely on a trial-and-error process, machine learning algorithms must be trained with appropriate datasets and their fundamental parameters must be optimized according to the specific problem. Although this process initially requires time, once the suitable architecture is identified, machine learning methods can generate data much faster and with higher accuracy compared to experimental or numerical methods [16,36].
For this purpose, an Artificial Neural Network (ANN), one of the most widely used machine learning models in engineering applications, was selected. The ANN model is based on the principle of learning and reproducing the behavior of complex dynamic systems. The main advantages of ANN include its simple structure, which allows for easy adaptation to a wide variety of problems: its flexibility to accommodate diverse types of datasets; its capability to process a large number of inputs and outputs; its ability to make highly accurate predictions; and its effectiveness in modeling nonlinear problems [16,36].

5.1. Artificial Neural Network

An Artificial Neural Network is a multilayered structure composed of interconnected units that perform mathematical operations to identify meaningful patterns within data. These algorithms are designed to mimic the operating mechanism of human neural networks. Similar to the dendritic structure of biological neurons, each artificial neuron processes the incoming data, and the assigned weights associated with these inputs can be considered analogous to synaptic connections in biological systems. Within a node, the weighted sum of the inputs is computed, representing a process similar to the electrochemical information transfer between neurons.
Each layer of the network may contain a different number of nodes, and the architecture can include any desired number of layers. The flow of information through artificial neurons is illustrated in Figure 5. An artificial neuron receives the weighted inputs, processes them through a summation function, and then applies an activation function. If the layer is not the output layer, the resulting value is transmitted to the next node; if it is the output layer, the value is defined as the final output of the network [37,38].
The neuron performs a mathematical operation as follows:
i = 0 n w i x i + b = w 1 x 1 + w 2 x 2 + w 3 x 3 = w · x + b ,
Here, w represents the vector of weights, x denotes the input vector, and b is the bias term. The output of the neuron is then obtained by applying an activation function σ ( · ) , which introduces nonlinearity and enables the network to learn more complex behaviors. Common activation functions include ReLU, sigmoid, tanh, and softmax. In this study, several activation functions were initially considered, and their performances were compared systematically.
The network parameters were optimized through backpropagation, where gradients of the error function are propagated backward to update the weights. Three well-known training algorithms— Levenberg–Marquardt (LM), Bayesian Regularization (BR), and Scaled Conjugate Gradient (SCG)— were evaluated. The LM algorithm is widely used for nonlinear least-squares problems and combines features of gradient descent and Gauss–Newton methods to improve convergence [38]. Although gradient descent is conceptually simple, it may struggle with irregular error surfaces [39], while Gauss–Newton iterations rely more heavily on the curvature of the error function. Bayesian Regularization, on the other hand, incorporates probabilistic reasoning and helps reduce overfitting by balancing data fidelity with model complexity.

5.2. Performance Assessment Criteria

Regression accuracy measures are used to assess the difference between the numerical data obtained from CFD–DEM and the expected data generated by the network. During the training and selection stages, the model outputs were compared with the CFD–DEM results using the coefficient of determination ( R 2 ) and the root mean square error (RMSE). These metrics quantify, respectively, how much of the variance in the target data is explained by the model and the average magnitude of the prediction error. The R 2 and RMSE formulations are given as follows:
R 2 = 1 i = 1 n y i y ^ i 2 i = 1 n y i y ¯ 2 ,
RMSE = 1 n i = 1 n y i y ^ i 2 ,
where y i denotes the reference (CFD–DEM) values, y ^ i represents the ANN predictions, and y ¯ is the mean of the reference data.

5.3. Architecture Selection and Optimization Strategy

To identify a suitable ANN configuration for the present regression problem, a systematic architecture search was carried out. The evaluation focused on three key hyperparameters: (i) activation function (ReLU, logsig, tansig), (ii) number of neurons in the hidden layer, and (iii) training algorithm (LM, BR, SCG).
Single-hidden-layer feedforward networks were constructed, and the number of neurons was varied from 1 to 100 in increments of five. For each activation function, all neuron counts within this range were tested. In every case, the same training/validation/test data split was used to ensure that different network architectures were compared on exactly the same dataset. For each candidate architecture, the model was first trained using normalized data and then evaluated on an independent test set. Model performance was quantified using the coefficient of determination ( R 2 ) and the root mean square error (RMSE). This approach allowed the models to be ranked not only based on training accuracy but also on their ability to reproduce CFD–DEM results for previously unseen samples.
Because the CFD–DEM response exhibited relatively smooth and monotonic behavior throughout the examined design space, many architectures achieved similar accuracy levels. However, increasing the number of neurons generally led to reduced generalization capability and performance degradation, indicating the onset of overfitting. This behavior indicates that, despite the complex underlying flow physics, the effective dimensionality of the efficiency response surface remains low within the examined parameter space.

6. Results

Since the cyclone separator flow contains strong vortex structures and pronounced unsteady oscillations, the flow field was represented solely through temporal averaging. Therefore, the CFD solution was run for a sufficient duration to allow the initial transient behavior to dissipate, and the system reached a stable periodic regime after approximately 0.5 s . Time averaging was then initiated from this point onward, and for all velocity configurations, the average was taken over the final 0.2 s of the solution window. The tangential and axial velocity fields, as well as the pressure distributions, represent the averages over this time-averaging interval.
On the DEM side, particle injection was maintained for 1 s , and the collection efficiency was calculated based on particle motion within the 1.0–1.5 s interval, during which the flow was in a stable periodic regime. In this manner, both the flow field and particle dynamics were filtered from rapid transient effects, and the reported separation efficiencies were based on a statistically stable temporal average.
To understand the flow phenomena inside cyclone separators, analyses were first conducted for the baseline configuration ( D e / D = 0.5 , a / b = 0.4 , H cyc / H t = 0.234 ) at different inlet velocities before examining the effects of the geometric parameters. The velocity distributions were evaluated both numerically and through contour plots. In this study, the collection efficiency was calculated based on particle tracking over two boundary surfaces defined in the DEM solution. Particles were classified as “collected particles” if they passed through the inlet of the dust collection chamber located at the bottom of the cyclone, and as “escaped particles” if they exited through the gas outlet surface at the top. The particle collection efficiency obtained via the ROCKY® 2025 R1 software was computed using the following expression:
η collection = number of collected particles number of total particles × 100 ,
Because the flow inside a cyclone separator is three-dimensional and turbulent, it exhibits a highly complex structure. Two major velocity components characterize this flow: the tangential and axial velocities. The tangential velocity is responsible for the swirling motion generated by aerodynamic forces. As widely reported in the literature, a Rankine-type vortex structure forms within the cylindrical section of the cyclone [4].

6.1. Flow Physics of the Cyclone Separator

The behavior of the fluid inside the cyclone is another critical factor governing cyclone performance. When the incoming flow is examined, two primary parameters become evident: pressure levels and velocity components. In cyclone systems, not only particle collection efficiency but also these two parameters are of great importance, because the turbulence and centrifugal forces inside the separator cause substantial variations in both velocity and pressure distributions.
Cyclone flow consists of a quasi-free vortex near the wall and a quasi-forced vortex toward the core region. This structure facilitates the separation of suspended particles from the gas stream. The near-wall region, where the primary vortex forms, is the most dominant flow feature responsible for particle separation.
Flow visualization enables clear identification of vortex structures that carry energy through the flow. For this purpose, the λ 2 method, an iso-surface–based vortex identification technique, was employed. This method effectively reveals strong vortex structures, vortex breakdown regions, and intense rotational cores. As shown in Figure 6, the flow structures visualized using the λ 2 method clearly display the characteristic behavior of a Rankine vortex.
In the Rankine vortex structure, two distinct vortices are formed: an inner solid-body vortex located at the center, and a free vortex that develops near the wall as the distance from the core increases. The formation of this Rankine vortex structure contributes directly to particle separation within the cyclone separator. As illustrated in Figure 6, both vortex types can be clearly distinguished within the cyclone.
As the gas flow enters the conical section, it begins to move upward toward the axial center located above the vortex finder. A notable trend is that the highest velocity values occur at the entrance of the vortex finder, while the lowest velocities appear in the conical region. This variation indicates that the conical section is critical for separating particles from the gas flow, whereas the cylindrical section primarily governs the swirling motion.
Figure 7 presents the tangential and axial velocity distributions obtained for different inlet velocities for the baseline configuration. A rotating inner vortex forms near the cyclone walls, while a second inner vortex appears in the outlet region. The opposite rotational directions of these two vortices are referred to as the Rankine vortex phenomenon. As seen in Figure 7a, the tangential velocity component exhibits a symmetric pattern with respect to the vertical axis of the cyclone separator, regardless of inlet velocity. The tangential velocity increases toward the outer wall and approaches zero near the center.
When the axial velocity component is examined, it can be observed that it preserves the same structural pattern as the tangential velocity, independent of the inlet velocity. The axial velocity profile is symmetric along the vertical axis of the separator and represents the secondary velocity component responsible for carrying particles downward.
The force responsible for particle separation in cyclone separators originates from the centrifugal force exerted on the incoming air, which enters the cyclone at a certain velocity due to the geometric configuration of the device. The spiral flow pattern inside the cyclone generates both the vortex motion and the centrifugal force. As the velocity of the particle-laden air entering the cyclone increases, the centrifugal force produced by this spiral motion also increases.
Figure 8 presents the tangential velocity distributions for different inlet velocities. The same pattern is preserved for all velocity values; the velocity starts at high levels near the wall and gradually decreases toward the center. This recurring structure, which is independent of inlet velocity, indicates the formation of an eccentric vortex region at the cyclone core. As the inlet velocity increases, an increase in turbulence intensity is also observed. The swirling flow structure can be clearly identified from the velocity distribution. When the axial velocity distribution is examined, a similar increase in turbulence intensity with increasing velocity is observed, as in the tangential velocity distribution. However, unlike the symmetric pattern seen in the tangential velocity field, the axial velocity distribution loses its symmetry entirely and exhibits an eccentric vortex structure. Considering this contour, the variation in velocity components indicates that the axial velocity component undergoes much more pronounced changes compared to the tangential velocity component.
Although the flow physics of cyclone separators has been extensively examined in the literature using CFD alone, CFD–DEM coupling studies are essential for evaluating cyclone separation efficiency. Through DEM, the motion and behavior of particles inside the separator can be observed, and the number of particles passing through boundary surfaces can be recorded to compute the collection efficiency defined in Equation (17). In this context, the present study represents one of the first examples in the literature.
Figure 9 illustrates the time-dependent particle trajectories obtained using the DEM method. It should be noted that the number of particles has been reduced by a ratio of 1/50 for clarity in Figure 9. During the first 1 s , particles with a diameter of 2 × 10 6 m were injected into the separator at an inlet velocity of 20 m / s . As seen in Figure 9, the entry of particles into the collector can be tracked over time. At t = 1.5 s , particles that enter the inner vortex begin to exit the separator, while the remaining particles settle in the dust chamber. For this case, the total collection efficiency was calculated as 83.7%.

6.2. Effect of Vortex Finder Diameter on Cyclone Performance

To examine the effect of the vortex finder diameter on performance, the D e / D ratio was varied as 0.25, 0.5, and 0.75. The inlet velocity was also varied between 10 m / s and 30 m / s . Figure 10 presents the tangential velocity distributions obtained at different inlet velocities on Plane 2 of the cyclone separator for the configuration a / b = 0.4 , D e / D = 0.5 , and H cyc / H t = 0.167 . Plane 2 is defined as the location where the cylindrical section transitions into the conical section. As the D e / D ratio increases, the flow area expands, and due to mass conservation, the peak velocity decreases. Another notable observation is that increasing D e / D causes the vortex core to shift from the center toward the walls, and as it approaches the walls, the vortex strength increases. This behavior is clearly evident in the tangential velocity distributions and tangential velocity contours presented in Figure 10.
A detailed examination of the tangential velocity contours shows that secondary flow regions begin to form when the D e / D ratio is 0.5, accompanied by an increase in turbulence intensity. The formation of these secondary flow zones causes downward-moving air parcels to reorient upward. As shown in Table 2, increasing the D e / D ratio has a negative effect on separation efficiency. This observation indicates that maintaining a single vortex structure as close as possible to the cyclone center reduces turbulence intensity and prevents particles descending along the separator from being redirected upward. However, the increase in centrifugal force resulting from a larger cyclone radius may also lead to inefficient particle separation, since the intensified force can cause particles to strike the cyclone wall and rebound back into the gas stream.
Zhang et al. [40] observed a similar velocity distribution pattern in their study and reported that, as the diameter increased, the maximum tangential velocity shifted closer to the wall. They attributed this phenomenon to the vortex structure becoming more coherent with increasing diameter, causing the velocity peak to migrate toward the wall. In the present work, the secondary vortex structure observed at D e / D = 0.5 due to the Tail Flick phenomenon is consistent with the findings of Zhang et al. [40] at D e / D = 0.6 . They also reported that this critical restructuring led to a decrease in separation efficiency. Similarly, their study included DEM analyses and separation efficiency calculations. As shown in Table 2, the numerical results obtained in this work confirm the accuracy of the efficiency reduction predicted by Zhang et al. [40].
Figure 11 presents the axial velocity variations in the xy plane along the central cross-section. At high D e / D ratios, the velocity distribution completely loses its symmetric structure, the amplitude of flow oscillation increases, and reverse-flow regions begin to form. This behavior leads to a reduction in separation efficiency.
As shown in Figure 12, an examination of the axial velocity distribution reveals that as the D e / D ratio increases, the profile initially exhibiting an “n” shape gradually transforms into an “m” shape. This observation is consistent with the findings of Zhang et al. [40] and Elsayed and Lacor [41]. According to the commonly accepted interpretation, particle capture becomes more difficult in profiles approaching a “W” shape. In such profiles, the increase in turbulence intensity leads to a stronger upward flow, which in turn causes particles to be displaced upward.

6.3. Effect of Inlet Height and Width on Cyclone Performance

The three main regions that influence pressure drop in a cyclone separator are the inlet section, the conical section, and the cylindrical section. Among these, the inlet region has a particularly significant effect on pressure drop due to its role in directing the flow and shaping the velocity distribution. In this study, the inlet cross-sectional area was kept constant, and only the inlet height and width were varied to examine the influence of the a / b ratio. Although the cross-sectional area remained fixed, changes in the a / b ratio had a notable impact on pressure drop. As shown in Figure 13, increasing the a / b ratio resulted in a clear reduction in pressure drop for all inlet velocities. This demonstrates that the inlet aspect ratio strongly affects the velocity profile of the flow and acts as a direct control mechanism on pressure losses.
As expected, pressure drop increased with increasing inlet velocity. While the influence of the a / b ratio remained relatively weak at lower velocities, the more pronounced separation between the curves at higher velocities indicates that the influence of inlet geometry becomes more dominant in high-momentum flows. Therefore, even when the inlet cross-sectional area is kept constant, the inlet width and height play a critical role in determining pressure drop and should be considered important parameters for optimizing cyclone design.
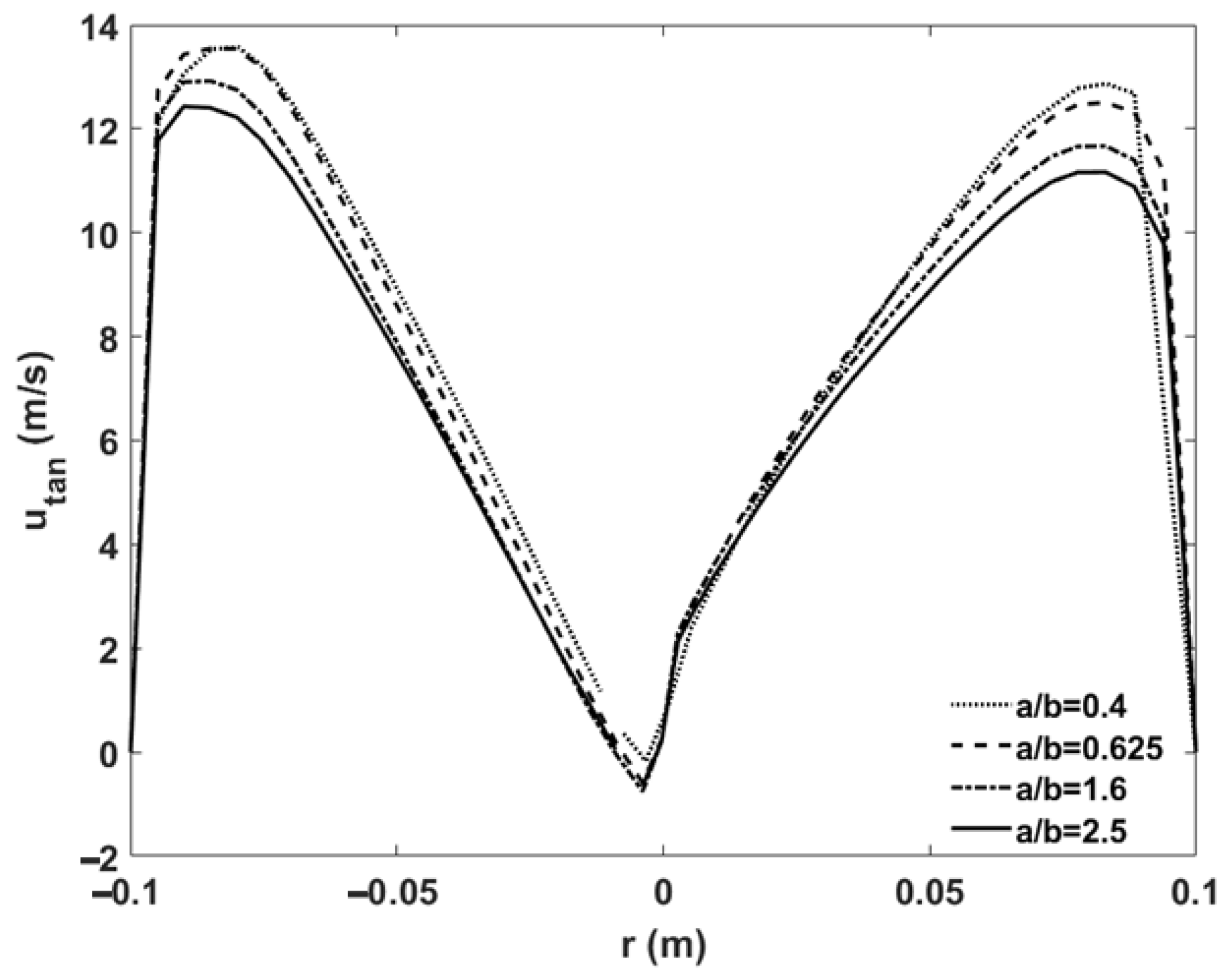
An examination of the tangential velocity distributions (Figure 14) reveals that the characteristic Rankine profile is preserved for different a / b ratios. The flow reaches its maximum velocity near the wall and rapidly decreases toward the center, approaching zero. Although the peak tangential velocity decreases slightly as the a / b ratio increases, the overall distribution pattern remains unchanged. These steep velocity gradients and the dual-vortex flow structure are important for explaining the geometric influence on cyclone performance.
As seen in Figure 15, the tangential velocity patterns in cyclone separators with different inlet dimensions are remarkably similar. It is evident that this pattern consists of two primary regions: the free-vortex region and the forced-vortex region, also known as the Rankine vortex region. This phenomenon can be explained as a result of the angular momentum transfer between layers due to fluid viscosity. Another component of this angular momentum transfer occurs through the turbulence generated by gas–solid interactions between layers, as noted by Wang et al. [42].
Table 3 presents the effect of the a / b ratio on collection performance as obtained from the DEM analyses. As the a / b ratio increases, the efficiency initially rises, but after reaching a critical a / b value, it begins to decrease again. This indicates that the a / b ratio is a parameter that must be optimized in cyclone separator design. Although the influence of the a / b ratio on performance is not dominant, the change in efficiency at the optimal value is approximately 1%.
It was observed that the flow is smoother for a / b = 0.625 and a / b = 1.6 compared to the other cases. The central vortex displays a more symmetric structure and exhibits less dispersion than in the remaining configurations. This behavior is expected to enhance separation efficiency. When the tangential velocity distribution and the efficiency values are evaluated together, it can be inferred that the collection efficiency decreases when the symmetry of the central vortex is disrupted.

6.4. Effect of Cylinder Height on Cyclone Performance

The total cyclone length was considered as the sum of the cylinder and cone lengths. While the cone height ( H cone ) was kept constant, the cylinder height ( H cyc ) was varied, resulting in three different ratios of H cyc / H t : 0.167, 0.234, and 0.286.
Figure 16 visualizes the changes in tangential and axial velocities as a function of increasing cyclone length. The Rankine-type vortex structure, composed of an inner and outer vortex, can be observed in all configurations. Additionally, an alteration in the velocity profile near the centerline becomes evident as the cyclone height increases.
When the cyclone length is increased by a factor of 1.4, a pronounced intensification of swirl strength is observed. However, when the length is increased by a factor of 1.7, the swirl intensity—although still higher than the baseline—becomes lower compared to the 1.4-fold case. This finding suggests the existence of a critical cyclone height. Up to this critical height, a significant increase in turbulence intensity is observed; however, once this threshold is exceeded, the vortex structure re-concentrates along the centerline, and the radial distance of the inner vortex from the center decreases.
When the axial velocity distribution is examined, an increase in axial velocity is observed in the core region. This increase becomes more prominent when the cyclone height is increased by a factor of 1.4; however, when the height is increased by 1.7, the rise in axial velocity is less pronounced compared to the baseline. Similar to the tangential velocity distribution, it can be concluded that cyclone height has a dominant influence on the velocity field up to a critical value, beyond which its effect diminishes.
The pressure drop occurring along the cyclone is defined as the difference between the average static pressure values at the inlet and the outlet, and it is directly related to the energy required for the operation of the cyclone unit. Figure 17 illustrates how the pressure drop varies with increasing cylinder height for different inlet velocities. As the cyclone length increases, the pressure drop exhibits an increase, which is particularly pronounced at high velocities. As the inlet velocity increases, the slope of the curves becomes steeper, whereas at lower velocities a more gradual trend is observed. This behavior indicates that at high inlet velocities, the pressure drop becomes more sensitive to changes in cyclone length.
It should also be noted that with the increase in cylinder height, the expansion of the vortex regions and the corresponding rise in turbulence intensity led to a reduction in separation efficiency. When the height was increased by a factor of 1.34, the collection efficiency decreased from 83.7% to 81%. When the height was doubled, the efficiency further declined to 80.7%. In other words, although increasing height negatively affects efficiency, the magnitude of this influence gradually weakens as the height continues to increase.

6.5. Machine Learning Results

After the candidate architectures were identified during the optimization stage, the final ANN model was selected based on its performance on the independent test set. As noted in Section 5.3, the best generalization capability was achieved with a network consisting of a single hidden neuron and using the ReLU activation function. The smooth and largely monotonic behavior of the efficiency variation obtained from the CFD–DEM computations enabled this simple architecture to produce highly accurate results.
In total, 60 high-fidelity CFD–DEM simulations were conducted to adequately cover the selected geometric and operational parameter space and to construct the dataset used for ANN training and validation. The effect of the activation function and the number of neurons in the hidden layer on the test error is presented in Figure 18. Examination of the plot clearly reveals that the ReLU activation function yields lower RMSE values across all neuron counts compared to the logsig and tansig functions. In contrast, the logsig and tansig networks exhibit higher error levels and show pronounced fluctuations, especially as the number of neurons increases.
The plot also highlights another important result: increasing the number of neurons in the hidden layer does not provide any improvement in test error; rather, it leads to a loss of generalization capability. In particular, the irregular oscillations in RMSE values beyond 20 neurons indicate the presence of overfitting behavior, which is typical for small datasets.
The overall trend observed in Figure 18 demonstrates that compact network architectures provide the best performance. Therefore, the structure with a single hidden neuron and the ReLU activation function was selected as the final ANN model. The post-training network architecture is presented in Figure 19. This simple architecture successfully captured the smooth trend in the CFD–DEM data and avoided the generalization issues observed in larger networks.
The prediction accuracy of the selected model is presented in Figure 20, which shows the regression plots for the training, test, and entire datasets, respectively. In all three cases, the ANN predictions exhibit a strong linear agreement with the CFD–DEM results. The test-set performance is particularly important, as it directly reflects the model’s ability to generalize to operating conditions that were not encountered during training. For the selected architecture, the test-set results of approximately R 2 0.99 and RMSE 0.46 demonstrate that the model can predict separation efficiency with high accuracy.
Figure 20a shows the regression plot for the training data, where, as expected for such a compact architecture, the model achieves an almost perfect match with the CFD–DEM values. Figure 20b presents the regression plot for the test data, confirming that the model maintains similarly high accuracy for unseen samples. When all data points are considered together (Figure 20c), the overall correlation remains strong, and the resulting regression line lies very close to the ideal 45° reference line.
Taken together, these results indicate that a compact ANN architecture is sufficient to represent the CFD–DEM trends across the examined design space. Increasing the number of neurons or using more complex activation functions did not improve prediction accuracy; on the contrary, larger models frequently exhibited signs of overfitting. Therefore, the final selected model serves as an efficient, reliable, and low-cost surrogate model suitable for rapid parametric analyses and design exploration.
To investigate the influence of inlet velocity on cyclone efficiency in a more comprehensive manner, efficiency predictions were performed at different velocity levels using the trained Artificial Neural Network (ANN) architecture. In this context, two reference scenarios were selected. For Scenario 1, the parameters were fixed at D e / D = 0.5 and H cyc / H t = 0.234 , while for Scenario 2, D e / D = 0.5 and a / b = 0.625 were employed. For both scenarios, the efficiency values predicted by the ANN were compared with the corresponding CFD–DEM results, and a very low average deviation was observed. In particular, the discrepancy between the predicted and numerically obtained efficiency values was further reduced for the second scenario.
In the present study, CFD–DEM simulations were conducted at a limited number of inlet velocities ( u = 10 , 20, and 30 m / s ) due to computational cost constraints. In contrast, the trained ANN model enabled efficiency predictions over a much denser velocity range for the same geometric configurations. This approach allowed the effect of inlet velocity on cyclone efficiency to be evaluated not only at discrete points but also over a continuous interval, thereby providing a clearer representation of the overall performance trend with respect to velocity variations.
To examine the effect of inlet geometry, ANN-based predictions were generated for inlet aspect ratios ( a / b ) varying between 0.2 and 3. The prediction performance was assessed by comparing the ANN results with the available CFD–DEM data, and the maximum deviation was found to remain below 1.7%. This result confirms that the ANN model is capable of capturing the influence of variations in the input parameters with high accuracy. While CFD–DEM analyses are typically limited to a small number of geometric configurations, the use of machine learning enabled a much broader design space to be explored efficiently.
As also reported in previous CFD studies and the literature [6], an increase in the inlet aspect ratio ( a / b ) generally leads to a reduction in cyclone efficiency beyond a certain range. This trend becomes particularly pronounced under low inlet velocity conditions ( u = 10 m / s ), as clearly illustrated in Figure 21. At an intermediate velocity ( u = 20 m / s ), the efficiency reduction associated with increasing a / b becomes less significant. At a higher inlet velocity ( u = 30 m / s ), the dominant effect of velocity largely suppresses the negative influence of increasing a / b on efficiency. This behavior indicates that, under certain operating conditions, the effect of inlet velocity on cyclone performance may become more dominant than that of geometric parameters. This non-monotonic behavior can be explained by the evolution of the internal flow structure within the cyclone as the entrance aspect ratio increases. At relatively low entrance aspect ratios, the inlet momentum is insufficient to establish a strong and coherent primary vortex, resulting in weaker centrifugal forces and reduced particle separation efficiency. As the entrance aspect ratio increases toward an optimal range, the inlet flow becomes more uniformly distributed, promoting a more symmetric and stable primary vortex structure. Beyond the optimal range, further increases in the entrance aspect ratio intensify secondary flow structures and enhance short-circuit flow near the vortex finder. The resulting flow asymmetry and reduced particle residence time weaken the effective centrifugal separation, leading to a decline in overall efficiency despite the increased inlet momentum. Such trends, which cannot be directly observed from sparsely sampled CFD–DEM results, become more apparent through the dense dataset generated using the ANN. Predictions outside the range covered by the training samples (shaded regions in Figure 21) should be interpreted with caution, as they correspond to extrapolation.
Similarly, the effect of the normalized cyclone height ( H cyc / H t ) on efficiency was investigated in detail using machine learning. For this purpose, ANN-based predictions were performed over a dense parameter range, with H cyc / H t varying between 0.15 and 0.45, as shown in Figure 22. In agreement with the CFD–DEM results, an overall decrease in efficiency was observed with increasing cyclone height. However, this effect was found to weaken at higher inlet velocities. In particular, at u = 30 m / s , the influence of H cyc / H t on efficiency becomes limited due to the dominant effect of increased inlet velocity. As shown in Figure 21 and Figure 22, the ANN predictions deviate from the CFD–DEM results by less than approximately 2.5% for all verification cases.
A good level of agreement was achieved between the ANN predictions and the CFD–DEM results for all investigated cases. Rather than serving as a substitute for the physics-based simulations, the ANN was employed as a complementary tool to extend the analysis to a much denser parameter space with minimal additional computational effort. By training the network using representative CFD–DEM data, the main physical trends governing cyclone performance were retained, while the need for further high-cost simulations was significantly reduced. The close correspondence between the predicted and simulated efficiency values indicates that the proposed hybrid CFD–ANN approach can be effectively used for parametric investigations, particularly in regions where direct numerical simulations become impractical. At the same time, results obtained outside the parameter ranges covered by the training data were explicitly identified and treated cautiously, ensuring a transparent and robust interpretation of the ANN-based predictions.

7. Conclusions

This study examined the separation performance of cyclone separators with varying geometric configurations by combining coupled CFD–DEM simulations with a data-driven machine learning approach. The numerical framework was first assessed by comparing the CFD–DEM predictions with experimental trends reported in the literature, showing good agreement and supporting the reliability of the adopted modeling strategy. Based on this validated setup, the influence of key geometric parameters—including vortex finder diameter, inlet geometry, and cyclone height—on separation efficiency was systematically investigated.
The CFD–DEM simulations provided detailed insight into the complex flow and particle dynamics inside the cyclone, revealing the expected double-vortex structure and highlighting the critical role of particle entrainment into the inner vortex as a primary mechanism leading to efficiency losses. The inclusion of DEM proved particularly useful for capturing particle–particle and particle–wall interactions, enabling a more realistic assessment of separation behavior compared to fluid-only simulations.
To overcome the high computational cost associated with dense parametric CFD–DEM analyses, an Artificial Neural Network (ANN) model was developed and trained using representative numerical data. Rather than replacing the physics-based simulations, the ANN served as a surrogate tool to extend the analysis over a much denser parameter space. This hybrid CFD–ANN framework made it possible to identify trends and interactions between velocity and geometry that are difficult to observe from sparsely sampled numerical data alone. The ANN predictions showed close agreement with the CFD–DEM results within the parameter ranges covered by the training dataset, while predictions outside these ranges were explicitly identified and interpreted with caution.
The results indicate that cyclone performance is governed by a strong interaction between inlet velocity and geometric parameters. While increasing inlet velocity generally enhances separation efficiency, this effect is highly dependent on the selected geometry. Variations in the inlet aspect ratio and vortex finder diameter significantly influence the velocity distribution and vortex structure, whereas increasing cyclone height beyond a certain threshold does not provide additional performance benefits and may even reduce efficiency. These findings underline the importance of evaluating operating conditions and geometric parameters simultaneously during cyclone design, rather than optimizing them independently.
The proposed hybrid CFD–DEM and ANN-based methodology offers an efficient and reliable framework for the parametric analysis and optimization of cyclone separators. By combining physics-based simulations with machine learning, the approach enables informed design decisions while substantially reducing computational effort. Future work may extend the present framework to a wider range of operating conditions, particle properties, and cyclone configurations, further enhancing its applicability to industrial separation systems.
From an engineering and industrial design perspective, the proposed CFD–DEM–ANN framework provides a practical tool for rapid performance assessment and preliminary design optimization of cyclone separators. Instead of relying solely on time-consuming CFD–DEM simulations, the trained ANN surrogate enables fast screening of geometric and operating parameters, allowing designers to identify promising design regions at a negligible computational cost. In particular, the results highlight optimal ranges of entrance aspect ratio and inlet velocity that maximize separation efficiency while avoiding unfavorable flow regimes dominated by secondary vortices and short-circuit flow.
The generated ANN-based response surfaces can be directly interpreted as design curves, offering quantitative guidance for selecting geometry ratios during early-stage cyclone design. Moreover, the optimized configuration identified in this study demonstrates a measurable improvement in separation efficiency compared to the baseline design, while maintaining acceptable pressure-drop characteristics. Consequently, the proposed methodology bridges high-fidelity CFD–DEM modeling and industrially relevant design decision-making, providing a scalable and transferable framework for accelerating cyclone separator development.

Funding

This research received no external funding.

Institutional Review Board Statement

Not applicable.

Informed Consent Statement

Not applicable.

Data Availability Statement

The original contributions presented in this study are included in the article. Further inquiries can be directed to the author.

Conflicts of Interest

The authors declare no conflicts of interest.

References

  1. Chaghakaboodi, H.A.; Saidi, M. Numerical study of gas-solid flow in a square cyclone separator with different vortex finders. Chem. Eng. Res. Des. 2023, 194, 621–635. [Google Scholar] [CrossRef]
  2. Guo, M.; Yu, H.; Song, Y.; Le, D.K.; Manickam, S.; Sun, X.; Yoon, J.Y. An overview of novel geometrical modifications and optimizations of gas-particle cyclone separators. Sep. Purif. Technol. 2024, 329, 125136. [Google Scholar] [CrossRef]
  3. Nakhaei, M.; Lu, B.; Tian, Y.; Wang, W.; Dam-Johansen, K.; Wu, H. CFD Modeling of Gas–Solid Cyclone Separators at Ambient and Elevated Temperatures. Processes 2020, 8, 228. [Google Scholar] [CrossRef]
  4. Aylı, E.; Kocak, E. A comprehensive review of cyclone separator technology. Can. J. Chem. Eng. 2024, 103, 2751–2789. [Google Scholar] [CrossRef]
  5. Elsayed, K.; Lacor, C. The effect of cyclone inlet dimensions on the flow pattern and performance. Appl. Math. Model. 2011, 35, 1952–1968. [Google Scholar] [CrossRef]
  6. Wasilewski, M.; Brar, L.S. Performance analysis of the cyclone separator with a novel clean air inlet installed on the roof surface. Powder Technol. 2023, 428, 118849. [Google Scholar] [CrossRef]
  7. Yang, J.; Sun, G.; Gao, C. Effect of the inlet dimensions on the maximum-efficiency cyclone height. Sep. Purif. Technol. 2013, 105, 15–23. [Google Scholar] [CrossRef]
  8. Parvaz, F.; Hosseini, S.H.; Ahmadi, G.; Elsayed, K. Impacts of the vortex finder eccentricity on the flow pattern and performance of a gas cyclone. Sep. Purif. Technol. 2017, 187, 1–13. [Google Scholar] [CrossRef]
  9. Zhou, F.; Sun, G.; Han, X.; Zhang, Y.; Bi, W. Experimental and CFD study on effects of spiral guide vanes on cyclone performance. Adv. Powder Technol. 2018, 29, 3394–3403. [Google Scholar] [CrossRef]
  10. Yao, Y.; Shang, M.; Ke, X.; Zhang, J.; Huang, Z.; Zhou, T.; Lyu, J. Design of multi-stage contracted inlet duct for cyclone separators. Sep. Purif. Technol. 2024, 332, 125753. [Google Scholar] [CrossRef]
  11. Duan, L.; Wu, X.; Ji, Z.; Xiong, Z.; Zhuang, J. The flow pattern and entropy generation in an axial inlet cyclone with reflux cone and gaps in the vortex finder. Powder Technol. 2016, 303, 192–202. [Google Scholar] [CrossRef]
  12. Zhao, Z.; Zhou, L.; Bai, L.; Wang, B.; Agarwal, R. Recent Advances and Perspectives of CFD–DEM Simulation in Fluidized Bed. Arch. Comput. Methods Eng. 2024, 31, 871–918. [Google Scholar] [CrossRef]
  13. Cundall, P.A.; Strack, O.D.L. A discrete numerical model for granular assemblies. Géotechnique 1979, 29, 47–65. [Google Scholar] [CrossRef]
  14. Ulucak, O.; Kocak, E.; Bayer, O.; Beldek, U.; Yapıcı, E.Ö.; Aylı, E. Developing and Implementation of an Optimization Technique for Solar Chimney Power Plant With Machine Learning. J. Energy Resour. Technol. 2021, 143, 052109. [Google Scholar] [CrossRef]
  15. Li, J.; Du, X.; Martins, J.R.R.A. Machine learning in aerodynamic shape optimization. Prog. Aerosp. Sci. 2022, 134, 100849. [Google Scholar] [CrossRef]
  16. Kocak, E. Evaluating machine learning techniques for fluid mechanics: Comparative analysis of accuracy and computational efficiency. Int. J. Energy Stud. 2024, 9, 679–721. [Google Scholar] [CrossRef]
  17. Zan, B.W.; Han, Z.H.; Xu, C.Z.; Liu, M.Q.; Wang, W.Z. High-dimensional aerodynamic data modeling using a machine learning method based on a convolutional neural network. Adv. Aerodyn. 2022, 4, 39. [Google Scholar] [CrossRef]
  18. Peng, W.; Zhang, Y.; Laurendeau, E.; Desmarais, M.C. Learning aerodynamics with neural network. Sci. Rep. 2022, 12, 6779. [Google Scholar] [CrossRef]
  19. Sun, Z.; Yao, Q.; Shi, L.; Jin, H.; Xu, Y.; Yang, P.; Xiao, H.; Chen, D.; Zhao, P.; Shen, X. Virtual sample diffusion generation method guided by large language model-generated knowledge for enhancing information completeness and zero-shot fault diagnosis in building thermal systems. J. Zhejiang Univ.-Sci. A 2025, 26, 895–916. [Google Scholar] [CrossRef]
  20. Sun, Z.; Yao, Q.; Jin, H.; Xu, Y.; Hang, W.; Chen, H.; Li, K.; Shi, L.; Gu, J.; Zhang, Q.; et al. A novel in-situ sensor calibration method for building thermal systems based on virtual samples and autoencoder. Energy 2024, 297, 131314. [Google Scholar] [CrossRef]
  21. Park, D.; Go, J.S. Design of Cyclone Separator Critical Diameter Model Based on Machine Learning and CFD. Processes 2020, 8, 1521. [Google Scholar] [CrossRef]
  22. Le, D.K.; Guo, M.; Yoon, J.Y. A Hybrid CFD–Deep Learning Methodology to Improve the Accuracy of Cut-Off Diameter Prediction in Coarse-Grid Simulations for Cyclone Separators. SSRN. 2022. Available online: https://papers.ssrn.com/sol3/papers.cfm?abstract_id=4266592 (accessed on 22 December 2025).
  23. Zhao, B. Modeling pressure drop coefficient for cyclone separators: A support vector machine approach. Chem. Eng. Sci. 2009, 64, 4131–4136. [Google Scholar] [CrossRef]
  24. Queiroz, L.H.; Santos, F.P.; Oliveira, J.P.; Souza, M.B. Physics-Informed deep learning to predict flow fields in cyclone separators. Digit. Chem. Eng. 2021, 1, 100002. [Google Scholar] [CrossRef]
  25. Urbanowicz, K.; Bergant, A.; Stosiak, M.; Deptuła, A.; Karpenko, M. Navier–Stokes Solutions for Accelerating Pipe Flow—A Review of Analytical Models. Energies 2023, 16, 1407. [Google Scholar] [CrossRef]
  26. Karpenko, M. Aircraft Hydraulic Drive Energy Losses and Operation Delay Associated with the Pipeline and Fitting Connections. Aviation 2024, 28, 1–8. [Google Scholar] [CrossRef]
  27. Yao, Y.; Zhang, H.; Wu, Y.; Zhang, Y.; Zhang, M.; Yang, H.; Lyu, J. Effects of the inlet duct length on the flow field and performance of a cyclone separator with a contracted inlet duct. Powder Technol. 2021, 393, 12–22. [Google Scholar] [CrossRef]
  28. El-Emam, M.A.; Zhou, L.; Shi, W.; Han, C. Performance evaluation of standard cyclone separators by using CFD–DEM simulation with realistic bio-particulate matter. Powder Technol. 2021, 385, 357–374. [Google Scholar] [CrossRef]
  29. Mei, R. An approximate expression for the shear lift force on a spherical particle at finite Reynolds number. Int. J. Multiph. Flow 1992, 18, 145–147. [Google Scholar] [CrossRef]
  30. Chen, F.; Xiong, H.; Wang, X.; Yin, Z.Y. Transmission effect of eroded particles in suffusion using the CFD–DEM coupling method. Acta Geotech. 2023, 18, 335–354. [Google Scholar] [CrossRef]
  31. Chu, K.W.; Wang, B.; Xu, D.L.; Chen, Y.X.; Yu, A.B. CFD–DEM Simulation of the Gas–Solid Flow in a Cyclone Separator. Chem. Eng. Sci. 2011, 66, 834–847. [Google Scholar] [CrossRef]
  32. Wang, M.; Feng, D.; Wang, J.; Hou, L.; Miao, E. CFD Investigation on the Performance of Cyclone Separators with Divergent or Convergent Insertion Pipes. Processes 2023, 11, 2061. [Google Scholar] [CrossRef]
  33. Safikhani, H.; Mehrabian, P. Numerical study of flow field in new cyclone separators. Adv. Powder Technol. 2016, 27, 379–387. [Google Scholar] [CrossRef]
  34. Shukla, S.K.; Shukla, P.; Ghosh, P. Evaluation of numerical schemes using different simulation methods for the continuous phase modeling of cyclone separators. Adv. Powder Technol. 2011, 22, 209–219. [Google Scholar] [CrossRef]
  35. Almahmmadi, B.A.; Refaey, H.A.; Abdelghany, M.T.; Bendoukha, S.; Mansour, M.; Sharafeldin, M.A. Thermo-fluid performance for helical coils inserted in a tube using hybrid CFD–ANN approach. Therm. Sci. Eng. Prog. 2024, 51, 102661. [Google Scholar] [CrossRef]
  36. Kaak, A.R.S.; Çelebioğlu, K.; Bozkuş, Z.; Ulucak, O.; Aylı, E. A novel CFD–ANN approach for plunger valve optimization: Cost-effective performance enhancement. Flow Meas. Instrum. 2024, 97, 102589. [Google Scholar] [CrossRef]
  37. Bishop, C.M. Neural Networks for Pattern Recognition; Oxford University Press: Oxford, UK, 1995. [Google Scholar]
  38. Ranganathan, A. The Levenberg–Marquardt Algorithm. Tutor. LM Algorithm 2004, 11, 101–110. [Google Scholar]
  39. Gavin, H.P. The Levenberg–Marquardt Algorithm for Nonlinear Least Squares Curve-Fitting Problems. 2019. Available online: https://people.duke.edu/~hpgavin/lm.pdf (accessed on 22 December 2025).
  40. Zhang, Z.W.; Li, Q.; Zhang, Y.H.; Wang, H.L. Simulation and experimental study of effect of vortex finder structural parameters on cyclone separator performance. Sep. Purif. Technol. 2022, 286, 120394. [Google Scholar] [CrossRef]
  41. Elsayed, K.; Lacor, C. The effect of cyclone vortex finder dimensions on the flow pattern and performance using LES. Comput. Fluids 2013, 71, 224–239. [Google Scholar] [CrossRef]
  42. Wang, S.; Li, H.; Wang, R.; Wang, X.; Tian, R.; Sun, Q. Effect of the inlet angle on the performance of a cyclone separator using CFD–DEM. Adv. Powder Technol. 2019, 30, 227–239. [Google Scholar] [CrossRef]
Figure 1. Flow chart of the hybrid design method.
Figure 1. Flow chart of the hybrid design method.
Applsci 16 01621 g001
Figure 2. Schematic of cyclone-separator: (a) geometrical description of a cyclone separator and (b) mesh domain of the cyclone separator.
Figure 2. Schematic of cyclone-separator: (a) geometrical description of a cyclone separator and (b) mesh domain of the cyclone separator.
Applsci 16 01621 g002
Figure 3. Flow chart of CFD-DEM coupling method.The black arrows indicate the sequential data transfer between the fluid and particle solvers within each coupling step.
Figure 3. Flow chart of CFD-DEM coupling method.The black arrows indicate the sequential data transfer between the fluid and particle solvers within each coupling step.
Applsci 16 01621 g003
Figure 4. Comparison of numerical results with the experimental study [9]: (a) tangential velocity; (b) axial velocity.
Figure 4. Comparison of numerical results with the experimental study [9]: (a) tangential velocity; (b) axial velocity.
Applsci 16 01621 g004
Figure 5. Schematic view of the artificial neuron. The dotted lines illustrate the conceptual correspondence between the components of a biological neuron and their counterparts in the artificial neuron model.
Figure 5. Schematic view of the artificial neuron. The dotted lines illustrate the conceptual correspondence between the components of a biological neuron and their counterparts in the artificial neuron model.
Applsci 16 01621 g005
Figure 6. Vortex structures identified using the λ 2 criterion and colored by velocity magnitude for the base case: (a) inner solid-body (forced) vortex formed near the cyclone axis; (b) outer free vortex developing close to the cyclone wall.
Figure 6. Vortex structures identified using the λ 2 criterion and colored by velocity magnitude for the base case: (a) inner solid-body (forced) vortex formed near the cyclone axis; (b) outer free vortex developing close to the cyclone wall.
Applsci 16 01621 g006
Figure 7. Velocity distributions for the baseline cyclone configuration with D e / D = 0.5 , a / b = 0.4 , and H cyc / H t = 0.234 .
Figure 7. Velocity distributions for the baseline cyclone configuration with D e / D = 0.5 , a / b = 0.4 , and H cyc / H t = 0.234 .
Applsci 16 01621 g007
Figure 8. Velocity distributions for different velocity values. Subfigures (a)–(d) correspond to inlet velocities of 10, 15, 20, and 25 m/s, respectively.
Figure 8. Velocity distributions for different velocity values. Subfigures (a)–(d) correspond to inlet velocities of 10, 15, 20, and 25 m/s, respectively.
Applsci 16 01621 g008
Figure 9. Particle movement through the cyclone separator for the base case. The red lines indicate the inlet and outlet boundaries, while the black dots represent the particles.
Figure 9. Particle movement through the cyclone separator for the base case. The red lines indicate the inlet and outlet boundaries, while the black dots represent the particles.
Applsci 16 01621 g009
Figure 10. Tangential velocity distribution of cyclone separator with different vortex finder diameters.
Figure 10. Tangential velocity distribution of cyclone separator with different vortex finder diameters.
Applsci 16 01621 g010
Figure 11. Axial velocity distribution for different vortex finder diameters: (a) D e / D = 0.25 , (b) D e / D = 0.5 , (c) D e / D = 0.75 .
Figure 11. Axial velocity distribution for different vortex finder diameters: (a) D e / D = 0.25 , (b) D e / D = 0.5 , (c) D e / D = 0.75 .
Applsci 16 01621 g011
Figure 12. Axial velocity distribution of cyclone separator with different vortex finder diameters.
Figure 12. Axial velocity distribution of cyclone separator with different vortex finder diameters.
Applsci 16 01621 g012
Figure 13. Pressure drop values for different a / b ratios at various inlet velocities.
Figure 13. Pressure drop values for different a / b ratios at various inlet velocities.
Applsci 16 01621 g013
Figure 14. Tangential velocity values for different a / b ratios at various inlet velocities.
Figure 14. Tangential velocity values for different a / b ratios at various inlet velocities.
Applsci 16 01621 g014
Figure 15. Contour plot of tangential velocity values for different a / b ratios at u = 20 m / s : (a) a / b = 0.4 , (b) a / b = 0.625 , (c) a / b = 1.6 , (d) a / b = 2.5 .
Figure 15. Contour plot of tangential velocity values for different a / b ratios at u = 20 m / s : (a) a / b = 0.4 , (b) a / b = 0.625 , (c) a / b = 1.6 , (d) a / b = 2.5 .
Applsci 16 01621 g015
Figure 16. Contour plot of tangential and axial velocity values for different H cyc / H t ratios at u = 20 m / s : (a) H cyc / H t = 0.167 , (b) H cyc / H t = 0.234 , (c) H cyc / H t = 0.286 ( a / b = 0.4 , D e / D = 0.5 ).
Figure 16. Contour plot of tangential and axial velocity values for different H cyc / H t ratios at u = 20 m / s : (a) H cyc / H t = 0.167 , (b) H cyc / H t = 0.234 , (c) H cyc / H t = 0.286 ( a / b = 0.4 , D e / D = 0.5 ).
Applsci 16 01621 g016
Figure 17. Pressure drop for different H cyc / H t ratios at various inlet velocities.
Figure 17. Pressure drop for different H cyc / H t ratios at various inlet velocities.
Applsci 16 01621 g017
Figure 18. Variation of test RMSE with the number of hidden neurons for three activation functions.
Figure 18. Variation of test RMSE with the number of hidden neurons for three activation functions.
Applsci 16 01621 g018
Figure 19. Final ANN architecture used in this study, consisting of four inputs, a single hidden neuron with ReLU activation, and a linear output neuron.
Figure 19. Final ANN architecture used in this study, consisting of four inputs, a single hidden neuron with ReLU activation, and a linear output neuron.
Applsci 16 01621 g019
Figure 20. Regression plots comparing CFD–DEM results and ANN predictions.
Figure 20. Regression plots comparing CFD–DEM results and ANN predictions.
Applsci 16 01621 g020
Figure 21. Effect of inlet aspect ratio ( a / b ) on the efficiency of the cyclone separator for D e / D = 0.5 and H cyc / H t = 0.234 .
Figure 21. Effect of inlet aspect ratio ( a / b ) on the efficiency of the cyclone separator for D e / D = 0.5 and H cyc / H t = 0.234 .
Applsci 16 01621 g021
Figure 22. Effect of the normalized cyclone height ( H cyc / H t ) on the efficiency of the cyclone separator for D e / D = 0.5 and a / b = 0.625 , showing relative deviations generally within 2.5%.
Figure 22. Effect of the normalized cyclone height ( H cyc / H t ) on the efficiency of the cyclone separator for D e / D = 0.5 and a / b = 0.625 , showing relative deviations generally within 2.5%.
Applsci 16 01621 g022
Table 1. Summary of DEM contact and CFD–DEM coupling settings used in this study.
Table 1. Summary of DEM contact and CFD–DEM coupling settings used in this study.
ItemSetting Used in This Study
DEM solver/particle tracking softwareROCKY® DEM 2025 R1
Coupling typeTwo-way CFD–DEM coupling
CFD time step, Δ t CFD 1 × 10 4 s
CFD field update frequencyUpdated at every CFD time step
DEM time-step criterion, Δ t DEM Δ t DEM t col / 20 (collision-time-based stability criterion)
Sub-cycling/sub-stepsDEM advanced through multiple sub-steps within each CFD time step
Data exchange (CFD → DEM)Updated fluid velocity, pressure, and temperature
Data exchange (DEM → CFD)Particle positions/velocities and interaction forces (two-way feedback)
Contact law (particle–particle)Hysteretic Linear Spring Model (rigid–spring formulation)
Contact law (particle–wall)Same contact framework as particle–particle (ROCKY wall interaction)
Table 2. Separation efficiency values for different vortex finder dimensions ( a / b = 0.4 , H cyc / H t = 0.167 ).
Table 2. Separation efficiency values for different vortex finder dimensions ( a / b = 0.4 , H cyc / H t = 0.167 ).
D e / D Collection Efficiency (%)
0.2587.96
0.5083.61
0.7578.88
Table 3. Collection performance of the cyclone separator for different a / b ratios.
Table 3. Collection performance of the cyclone separator for different a / b ratios.
a / b Collection Performance (%)
0.483.7
0.62584.2
1.684.7
2.583.4
Disclaimer/Publisher’s Note: The statements, opinions and data contained in all publications are solely those of the individual author(s) and contributor(s) and not of MDPI and/or the editor(s). MDPI and/or the editor(s) disclaim responsibility for any injury to people or property resulting from any ideas, methods, instructions or products referred to in the content.

Share and Cite

MDPI and ACS Style

Koçak, E. System-Level Prediction and Optimization of Cyclone Separator Performance Using a Hybrid CFD–DEM–ANN Approach. Appl. Sci. 2026, 16, 1621. https://doi.org/10.3390/app16031621

AMA Style

Koçak E. System-Level Prediction and Optimization of Cyclone Separator Performance Using a Hybrid CFD–DEM–ANN Approach. Applied Sciences. 2026; 16(3):1621. https://doi.org/10.3390/app16031621

Chicago/Turabian Style

Koçak, Eyup. 2026. "System-Level Prediction and Optimization of Cyclone Separator Performance Using a Hybrid CFD–DEM–ANN Approach" Applied Sciences 16, no. 3: 1621. https://doi.org/10.3390/app16031621

APA Style

Koçak, E. (2026). System-Level Prediction and Optimization of Cyclone Separator Performance Using a Hybrid CFD–DEM–ANN Approach. Applied Sciences, 16(3), 1621. https://doi.org/10.3390/app16031621

Note that from the first issue of 2016, this journal uses article numbers instead of page numbers. See further details here.

Article Metrics

Back to TopTop