Sign in to use this feature.

Years

Between: -

Subjects

remove_circle_outline
remove_circle_outline
remove_circle_outline
remove_circle_outline
remove_circle_outline
remove_circle_outline
remove_circle_outline
remove_circle_outline
remove_circle_outline

Journals

remove_circle_outline
remove_circle_outline
remove_circle_outline
remove_circle_outline
remove_circle_outline
remove_circle_outline
remove_circle_outline

Article Types

Countries / Regions

remove_circle_outline
remove_circle_outline
remove_circle_outline
remove_circle_outline
remove_circle_outline

Search Results (1,255)

Search Parameters:
Keywords = heat exchanger method

Order results
Result details
Results per page
Select all
Export citation of selected articles as:
70 pages, 5036 KB  
Review
A Review of Mathematical Reduced-Order Modeling of PCM-Based Latent Heat Storage Systems
by John Nico Omlang and Aldrin Calderon
Energies 2026, 19(9), 2017; https://doi.org/10.3390/en19092017 - 22 Apr 2026
Viewed by 315
Abstract
Phase change material (PCM)-based latent heat storage (LHS) systems help address the mismatch between renewable energy supply and thermal demand. However, their practical implementation is constrained by the strongly nonlinear and multiphysics nature of phase change, which makes high-fidelity simulations and real-time applications [...] Read more.
Phase change material (PCM)-based latent heat storage (LHS) systems help address the mismatch between renewable energy supply and thermal demand. However, their practical implementation is constrained by the strongly nonlinear and multiphysics nature of phase change, which makes high-fidelity simulations and real-time applications computationally expensive. This review examines mathematical reduced-order modeling (ROM) as an effective strategy to overcome this limitation by combining physics-based simplifications, projection methods, interpolation techniques, and data-driven models for PCM-based LHS systems. While physical simplifications (such as dimensional reduction and effective property approximations) represent an important first layer of model reduction, the primary focus of this work is on the mathematical ROM methodologies that operate on the governing equations after such physical simplifications have been applied. The review covers approaches including two-temperature non-equilibrium and analytical thermal-resistance models, Proper Orthogonal Decomposition (POD), CFD-derived look-up tables, kriging and ε-NTU grey/black-box metamodels, and machine-learning methods such as artificial neural networks and gradient-boosted regressors trained from CFD data. These ROM techniques have been applied to packed beds, PCM-integrated heat exchangers, finned enclosures, triplex-tube systems, and solar thermal components, achieving speed-ups from tens to over 80,000 times faster than full CFD simulations while maintaining prediction errors typically below 5% or within sub-Kelvin temperature deviations. A critical comparative analysis exposes the fundamental trade-off between interpretability, data dependence, and computational efficiency, leading to a practical decision-making framework that guides method selection for specific applications such as design optimization, real-time control, and system-level simulation. Remaining challenges—including accurate representation of phase change nonlinearity, moving phase boundaries, multi-timescale dynamics, generalization across geometries, experimental validation, and integration into industrial workflows—motivate a structured roadmap for future hybrid physics–machine learning developments, standardized validation protocols, and pathways toward industrial deployment. Full article
(This article belongs to the Section D: Energy Storage and Application)
Show Figures

Figure 1

16 pages, 3354 KB  
Article
An Optical Method for the Rapid Measurement of Corrugated Plate Depth Based on Line Laser Sensor
by Jie Chen, Xudong Mao, Xin Li, Qiuying Zhou, Changhui Huang and Chengxing Wu
Sensors 2026, 26(8), 2446; https://doi.org/10.3390/s26082446 - 16 Apr 2026
Viewed by 153
Abstract
This paper presents a non-contact depth detection method for corrugated heat exchanger plates, aiming to improve measurement efficiency and accuracy. The system integrates a line laser sensor with a precision linear guide rail, enabling continuous acquisition of high-resolution 2D surface profiles as the [...] Read more.
This paper presents a non-contact depth detection method for corrugated heat exchanger plates, aiming to improve measurement efficiency and accuracy. The system integrates a line laser sensor with a precision linear guide rail, enabling continuous acquisition of high-resolution 2D surface profiles as the sensor moves along the plate. To reduce data redundancy while preserving geometric features, a multi-stage data reduction strategy is proposed. This strategy combines the angle–chord height criterion with spline-based filtering to identify key regions of curvature and eliminate unnecessary point cloud data. For depth extraction, a two-stage feature recognition algorithm is designed. First, a coarse analysis locates candidate peaks and valleys by identifying local extrema in the reduced 2D data. Then, a fine detection process is applied: local B-spline fitting is performed near each candidate point, and a binary search algorithm is used to accurately determine the spline extrema. By computing the vertical distance between precisely located peaks and valleys, the system rapidly extracts the corrugation depth parameters. This method achieves a high balance between speed and precision, offering a practical and reliable solution for automated surface morphology inspection in heat exchanger manufacturing. Full article
Show Figures

Figure 1

21 pages, 13819 KB  
Article
Model-Free Adaptive Temperature Control for a Dual-Channel Water Circulation Bioreactor
by Zhe Hu, Fei Liu and Zhiguo Wang
Processes 2026, 14(8), 1244; https://doi.org/10.3390/pr14081244 - 14 Apr 2026
Viewed by 385
Abstract
The single-heat-exchanger dual-channel water circulation structure is a critical process configuration in laboratory-scale bioreactors. However, frequent switching between heating and cooling modes and the difficulty of establishing an accurate mechanistic model make precise temperature regulation challenging. To address this issue, a model-free adaptive [...] Read more.
The single-heat-exchanger dual-channel water circulation structure is a critical process configuration in laboratory-scale bioreactors. However, frequent switching between heating and cooling modes and the difficulty of establishing an accurate mechanistic model make precise temperature regulation challenging. To address this issue, a model-free adaptive temperature control scheme based on a second-order universal model is proposed, together with a real-time implementation algorithm. Separate controllers are designed for the heating and cooling processes to ensure accurate regulation under different operating conditions. Pulse-width modulation is employed to achieve equivalent continuous actuation of switching-type actuators, and a temperature dead-zone mechanism is introduced to suppress excessive actuator switching. For practical implementation, controller parameters are initialized offline using particle swarm optimization based on experimental data. Experimental results demonstrate that the proposed method satisfies the ±0.1 °C process requirement while achieving small steady-state fluctuations, low overshoot, and short settling time, thereby verifying its effectiveness for bioreactor temperature regulation under mode-switching conditions. Full article
Show Figures

Figure 1

13 pages, 2220 KB  
Article
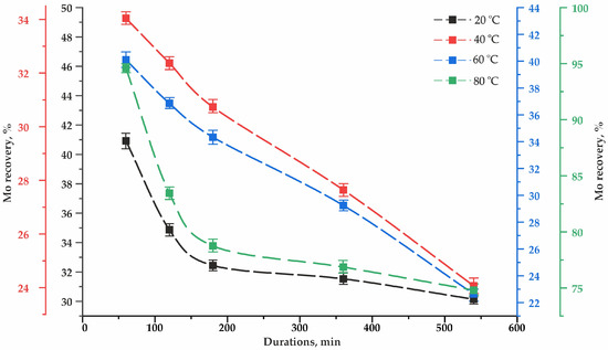
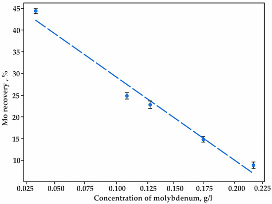
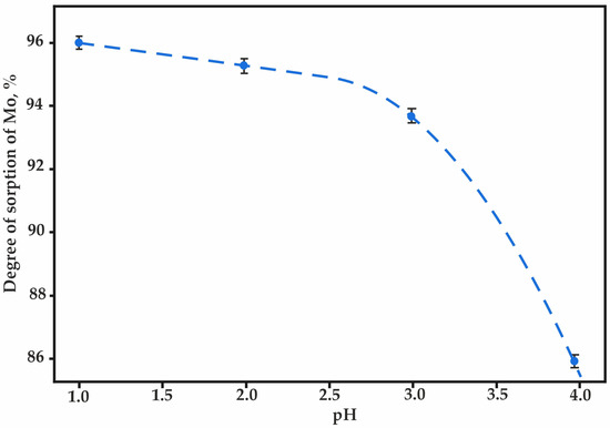
Selective Sorption of Molybdenum (VI) from Strongly Acidic Sulfate Media Using Macroporous Weak-Base Anion-Exchange Resins
by Bagdaulet Kenzhaliyev, Almagul Ultarakova, Nina Lokhova, Arailym Mukangaliyeva, Azamat Yessengaziyev and Kaisar Kassymzhanov
Processes 2026, 14(8), 1225; https://doi.org/10.3390/pr14081225 - 10 Apr 2026
Viewed by 411
Abstract
Depletion of reserves of rich copper–porphyry ore deposits necessitates the development of highly efficient methods for Mo (VI) extraction from complex, corrosive hydro-metallurgical media. The present study undertakes a comprehensive assessment of sorptive concentration of Mo (VI) from strongly acidic sulfate solutions (120 [...] Read more.
Depletion of reserves of rich copper–porphyry ore deposits necessitates the development of highly efficient methods for Mo (VI) extraction from complex, corrosive hydro-metallurgical media. The present study undertakes a comprehensive assessment of sorptive concentration of Mo (VI) from strongly acidic sulfate solutions (120 g/L H2SO4) by employing a spectrum of commercially available strong- and weak-base anion-exchange resins. It has been established that the macroporous weak-base anion exchanger Purolite A-100 demonstrates decisive superiority over gel-type analogs (Lewatit M-800, AB-17), facilitating unimpeded intra-gel diffusion of bulky molybdenyl sulfato-complexes anions, thereby circumventing the obstructive “sieve effect.” Thermodynamic and kinetic investigations revealed that the sorption process exhibits pronounced concentration- and pH-dependent characteristics. Peak extraction efficiency (up to 95.91%) is achieved at pH ≈ 1, a finding that correlates with the region of maximal protonation of tertiary amino groups within the resin matrix. Kinetic acceleration of mass transfer upon heating to 80 °C has been experimentally confirmed, yielding 94.6% extraction within 60 min. The obtained results corroborate the prospective integration of macroporous weak-base anion exchangers into operational hydro-metallurgical schemes as an environmentally benign and efficacious alternative to conventional solvent extraction of molybdenum. Full article
Show Figures

Figure 1

24 pages, 5776 KB  
Article
A Comparative Analysis of Calculation Methods for Flow Resistance in Shell-and-Tube Heat Exchanger with Segmental Baffles
by Janusz T. Cieśliński, Kamil Stasiak, Krzysztof Tesch, Jacek Barański and Paweł Dąbrowski
Energies 2026, 19(8), 1852; https://doi.org/10.3390/en19081852 - 9 Apr 2026
Viewed by 223
Abstract
This study presents the results of shell-side pressure drop calculations for a model shell-and-tube heat exchanger with an inner shell diameter of 200 mm and an effective tube length of 518 mm. The tube bundle consisted of 85 copper tubes (12/10 mm) arranged [...] Read more.
This study presents the results of shell-side pressure drop calculations for a model shell-and-tube heat exchanger with an inner shell diameter of 200 mm and an effective tube length of 518 mm. The tube bundle consisted of 85 copper tubes (12/10 mm) arranged in a staggered layout with a pitch ratio of 1.5. The exchanger contained nine segmental baffles with a 25% cut, spaced 48 mm apart. The mean temperature of the hot water flowing on the shell side was 69 °C, and the mass flow rate varied in the range of 1–6 kg/s. In particular, the effects of the tube bundle diameter, nozzle diameter, and sealing strips on the pressure drop were investigated. The calculations employed the extended Bell–Delaware method and the VDI method. The results were compared with calculations performed using Aspen EDR and with numerical simulations carried out in OpenFOAM and Ansys Fluent. The comparison shows that the difference in total pressure drop estimation can reach up to 40% depending on the method used. Full article
(This article belongs to the Section J: Thermal Management)
Show Figures

Figure 1

27 pages, 6134 KB  
Article
SHAP-Based Insights into Environmental and Economic Performance of a Shower Heat Exchanger Under Unbalanced Flow Conditions: A Feasibility Study
by Sabina Kordana-Obuch and Mariusz Starzec
Energies 2026, 19(8), 1845; https://doi.org/10.3390/en19081845 - 9 Apr 2026
Viewed by 400
Abstract
Heat recovery from greywater is one solution for improving the energy efficiency of buildings and reducing greenhouse gas emissions. Particular attention is paid to systems utilizing heat from shower water, which, due to its high temperature and regularity, represents a promising energy source. [...] Read more.
Heat recovery from greywater is one solution for improving the energy efficiency of buildings and reducing greenhouse gas emissions. Particular attention is paid to systems utilizing heat from shower water, which, due to its high temperature and regularity, represents a promising energy source. However, the interplay of parameters determining the financial and environmental effectiveness of such a solution has not yet been fully explored. Therefore, the aim of this paper was to identify key variables influencing the feasibility of using a shower heat exchanger operating under unbalanced flow conditions and to assess the consistency between financial and environmental effects. The analyzed net present values ranged from −€1381 to €52,168. Greenhouse gas emission reduction values ranged between 61 kgCO2e and 37,207 kgCO2e. The analysis was conducted using predictive modeling and the SHAP (SHapley Additive exPlanations) method, which allows for the interpretation of the impact of individual variables on the forecasted net present value and potential greenhouse gas emission reduction. A global analysis was carried out to determine the relative importance of variables, as well as a local analysis for selected cases. The results showed that operational variables related to shower use, particularly shower length and mixed water flow rate, significantly influenced the prediction results of both models. In the case of emission reduction, greenhouse gas emission intensity and its change over time also had a significant impact, whilst the financial effects were determined by the energy price from the perspective of the subsequent years of the system’s operation. Full article
Show Figures

Figure 1

18 pages, 2111 KB  
Article
Coupling Characteristics Simulation of Single-Phase Flow and Heat Transfer for R134a/R245fa Mixture in a Cross-Corrugated Plate Heat Exchanger Channel
by Ruonan Gao, Yanqi Chen, Chuang Wen and Ji Zhang
Energies 2026, 19(8), 1812; https://doi.org/10.3390/en19081812 - 8 Apr 2026
Viewed by 297
Abstract
To investigate the influence of working fluid composition on the thermo-hydraulic performance of plate heat exchangers (PHEs) under single-phase sensible heat transfer conditions, a three-dimensional steady-state numerical model was developed for a transverse corrugated channel with a chevron angle of 60°. The governing [...] Read more.
To investigate the influence of working fluid composition on the thermo-hydraulic performance of plate heat exchangers (PHEs) under single-phase sensible heat transfer conditions, a three-dimensional steady-state numerical model was developed for a transverse corrugated channel with a chevron angle of 60°. The governing equations were solved using the finite volume method implemented in ANSYS Fluent, in conjunction with the standard k–ε turbulence model. The analysis considered pure refrigerants R134a and R245fa, as well as their mixtures with mass ratios of 0.2, 0.5, and 0.8, with thermophysical properties assumed to be temperature-independent constants. The results indicate that as the mass fraction of R134a decreases from 1.0 to 0, the heat transfer coefficient (h) decreases from 1025 to 815 W/(m2·K), primarily attributed to the combined effects of reduced thermal conductivity and increased viscosity. Among the investigated cases, the R134a/R245fa mixture with a mass ratio of 0.8 provides the most favorable performance trade-off, exhibiting a heat transfer coefficient only 3.0% lower than that of pure R134a while achieving a 12.5% reduction in flow resistance compared with pure R245fa. Furthermore, the heat transfer coefficient is found to be weakly affected by heat flux in the range of 8000–20,000 W/m2; in contrast, increasing the mass flow rate from 0.001 to 0.005 kg/s enhances heat transfer coefficient by 65.1%, accompanied by a significant increase in pressure drop. Comparisons with established single-phase correlations for corrugated channels show average deviations of 6.5% for the Nusselt number and 3.8% for the friction factor. The present study provides useful guidance for working fluid selection and operational optimization of PHEs in applications dominated by sensible heat transfer, such as specific stages of heat pump cycles and medium-temperature waste heat recovery. Full article
(This article belongs to the Section J1: Heat and Mass Transfer)
Show Figures

Figure 1

18 pages, 4833 KB  
Article
Heat Transfer and Pressure Drop in a Shell-and-Tube Heat Exchanger with Segmental Baffles
by Janusz T. Cieśliński, Jacek Barański, Paweł Dąbrowski, Maciej Fabrykiewicz, Kamil Stasiak and Krzysztof Tesch
Energies 2026, 19(7), 1760; https://doi.org/10.3390/en19071760 - 3 Apr 2026
Viewed by 418
Abstract
This paper presents the results of calculations of the shell-side heat transfer coefficient and pressure drop for a shell-and-tube heat exchanger with an inner shell diameter of 200.2 mm and an effective tube length of 518 mm. The exchanger contained 85 copper tubes [...] Read more.
This paper presents the results of calculations of the shell-side heat transfer coefficient and pressure drop for a shell-and-tube heat exchanger with an inner shell diameter of 200.2 mm and an effective tube length of 518 mm. The exchanger contained 85 copper tubes (12/10 mm), arranged in a staggered layout with a pitch ratio of 1.5. It was equipped with nine segmental baffles, with a 25% baffle cut and a baffle spacing of 48 mm. The inlet temperature of the hot water flowing through the shell, and the mass flow rate, were varied in the ranges of 35–79 °C and 1–3 kg/s, respectively. The calculations were performed using the extended Bell–Delaware method, the VDI (Gaddis–Gnielinski) method, and the Aspen Exchanger Design and Rating. CFD simulations were performed using the OpenFOAM and Ansys Fluent software packages. The calculated results were then compared with the available experimental data. The findings showed that the VDI method generated the greatest overestimation of the heat transfer coefficient and underestimated the pressure drop, whereas the extended Bell–Delaware method demonstrated the highest agreement with the experimental data. Full article
(This article belongs to the Section J: Thermal Management)
Show Figures

Figure 1

21 pages, 9064 KB  
Article
Mathematical Modeling of Soot Formation and Fragmentation of Carbon Particles During Their Pyrolysis Under Conditions of Removal from the Front of a Forest Fire
by Nikolay Viktorovich Baranovskiy and Viktoriya Andreevna Vyatkina
C 2026, 12(2), 30; https://doi.org/10.3390/c12020030 - 1 Apr 2026
Viewed by 429
Abstract
The object of the study is a single heated carbonaceous particle of relatively small size, 0.003 to 0.01 m. Main hypothesis: The formation of soot particles and black carbon particles is caused by the thermochemical destruction of dry organic matter of forest fuel [...] Read more.
The object of the study is a single heated carbonaceous particle of relatively small size, 0.003 to 0.01 m. Main hypothesis: The formation of soot particles and black carbon particles is caused by the thermochemical destruction of dry organic matter of forest fuel and the mechanical fragmentation of coke residue. The aim of the study is to conduct numerical simulations of heat and mass transfer in a single heated carbonaceous particle, taking into account the soot formation process and assessing its fragmentation with regard to heat exchange with the external environment in a 2D setting. As part of this study, a new model of heat and mass transfer in a pyrolyzed carbonaceous particle was developed, taking into account its step-by-step fragmentation (fragmentation tree model with four secondary particle formations from the initial particle). The calculations resulted in the distributions of temperature and volume fractions of phases in the carbonaceous particle across various scenarios. Scenarios of surface fires (initial temperatures of 900 K and 1000 K), crown fires (1100 K), and a firestorm (1200 K) for typical vegetation (pine, spruce, birch) are considered. Cubic carbonaceous particles are considered in the approximation of a 2D mathematical model. To describe heat and mass transfer in the structure of the carbonaceous particle, a differential equation of thermal conductivity with corresponding initial and boundary conditions of the third type is used, taking into account the gross reaction in the kinetic scheme of pyrolysis and soot formation. Differential analogues of partial differential equations are solved using the finite difference method of second-order approximation. Options for using the developed mathematical model and probabilistic fragmentation criterion for assessing aerosol emissions are proposed. Recommendations: The suggested mathematical model must be incorporated with mathematical models of forest fire plume and aerosol transport in the upper layers of the atmosphere. Moreover, probabilistic criteria for health assessment must be developed for the practical use of the suggested mathematical model. Full article
(This article belongs to the Topic Environmental Pollutant Management and Control)
Show Figures

Figure 1

25 pages, 4209 KB  
Article
Experimental Investigation of the Effect of Evaporator and Heat Exchanger Types on Heat Pump Performance Using the Taguchi Method
by Fadime Şimşek and Mehmet Akkoca
Processes 2026, 14(7), 1090; https://doi.org/10.3390/pr14071090 - 27 Mar 2026
Viewed by 505
Abstract
In this study, a modified heat pump system has been designed for heating applications in cold climate regions, enabling the replacement of system components such as the evaporator and heat exchanger within the same system. In this modified heat pump system, which uses [...] Read more.
In this study, a modified heat pump system has been designed for heating applications in cold climate regions, enabling the replacement of system components such as the evaporator and heat exchanger within the same system. In this modified heat pump system, which uses R407C and R417A refrigerants instead of the restricted R22 refrigerant, the optimal system conditions that provide the best performance were determined using the Taguchi experimental method, prepared using five different parameters. As a result of the experiments, the optimum operating conditions of the system were determined from the analysis of variance table obtained by considering the COP and exergetic efficiency values. As a result, it was determined that the COP and exergetic efficiency values were higher in the case of using the 8 mm lamella spacing evaporator type and horizontal heat exchanger type. Full article
(This article belongs to the Section Energy Systems)
Show Figures

Graphical abstract

20 pages, 18170 KB  
Article
Multi-Factor Air–Sea Heat Exchange Study on the Thermal Discharge Diffusion at Coastal Nuclear Power Plants: Sensitivity and Contribution Analysis
by Kezheng Lei, Fangfang Cheng, Tuantuan Liu, Ruini Liu and Aiming Zhang
Water 2026, 18(6), 758; https://doi.org/10.3390/w18060758 - 23 Mar 2026
Viewed by 353
Abstract
Solar radiation, longwave radiation, sensible heat flux, and latent heat flux constitute the primary forms of air–sea heat exchange, serving as crucial computational parameters in numerical simulations of thermal discharge. This study investigates a coastal nuclear power plant and employs a modified Morris [...] Read more.
Solar radiation, longwave radiation, sensible heat flux, and latent heat flux constitute the primary forms of air–sea heat exchange, serving as crucial computational parameters in numerical simulations of thermal discharge. This study investigates a coastal nuclear power plant and employs a modified Morris screening method to quantitatively assess the contribution rates of various air–sea heat exchange processes to the spatial distribution of temperature rise under different operating conditions. The results indicate that the influence of air–sea heat exchange processes on the thermal discharge envelope exhibits a nonlinear pattern. The individual parameter sensitivity of shortwave radiation, sensible heat flux and latent heat flux is higher in the low temperature rise region (T  1 °C) than in the high temperature rise region (T  4 °C), with the individual parameter sensitivities of longwave radiation and latent heat flux displaying distinct threshold effects. The dominant heat exchange mechanisms vary across temperature rise regions: longwave radiation predominates in the high temperature rise region (T  4 °C), contributing approximately 74.71%, whereas latent and sensible heat fluxes dominate in the low temperature rise region (T  1 °C), accounting for a combined contribution of about 88.58%. These findings provide a scientific basis for model simplification and targeted parameterization. Full article
(This article belongs to the Section Oceans and Coastal Zones)
Show Figures

Figure 1

18 pages, 2705 KB  
Article
Integrating Electrical Heating Fluidized-Bed Heat Storage with Coal-Fired Power Plant for Deep Peak Shaving
by Haodan Chen, Yifei Zhang, Wenhan Li, Keying Li, Yang Zhang, Hai Zhang and Junfu Lyu
Energies 2026, 19(6), 1539; https://doi.org/10.3390/en19061539 - 20 Mar 2026
Viewed by 315
Abstract
An electrical heating fluidized-bed thermal energy storage (EH-FB-TES) system is proposed for integration with a coal-fired power plant (CFPP) for deep peak shaving (DPS) due to its high energy storage density and extensive heat exchange performance. The primary objective of this study is [...] Read more.
An electrical heating fluidized-bed thermal energy storage (EH-FB-TES) system is proposed for integration with a coal-fired power plant (CFPP) for deep peak shaving (DPS) due to its high energy storage density and extensive heat exchange performance. The primary objective of this study is to evaluate the thermodynamic performance and economic feasibility of the integrated EH-FB-TES system, specifically focusing on identifying the optimal coupling and heat recovery strategies for enhanced deep peak shaving performance. Since EH-FB-TES uses air flow for fluidization in the heating storage process, its coupling with the CFPP differs from other TES technologies, and the associated thermodynamic performance and cost are thereby analyzed. The results show that, in EH-FB-TES, the heat release efficiency is predominantly constrained by thermal losses. To increase the energy utilization efficiency, a two-stage heat recovery strategy is proposed to release the stored energy in the integration. The first stage is to heat up the feedwater extracted from the deaerator and the second one is to heat up the condensate water. The analyses also show that the selection of reinjection positions for the heated medium from EH-FB-TES greatly influences the system performance. Returning the stored thermal energy to heat up feedwater can effectively increase the output of the unit, while directly generating steam can be beneficial for coal saving. The integrated system achieves a maximum equivalent round-trip efficiency of 32.9% under 20 MW/800 °C conditions. An economic analysis reveals that, compared with other energy storage methods, EH-FB-TES can realize a relatively high energy storage density with a rather low cost. Under the present DPS compensation policy, for a 315 MW subcritical CFPP integrated with a 50 MW EH-FB-TES system, when heat storage is 8 h, heat release is 4 h per day, and the plant operates 100 days per year, the estimated static and dynamic payback periods are 3.06 years and 3.67 years, respectively. The integration of CFPP with EH-FB-TES could be promising for meeting DSP requirements. Full article
(This article belongs to the Section D: Energy Storage and Application)
Show Figures

Figure 1

25 pages, 5772 KB  
Article
Multipoint Temperature-Based Depth Analysis of a U-Tube Borehole Heat Exchanger
by Viktor Zonai, Laszlo Garbai and Robert Santa
Technologies 2026, 14(3), 187; https://doi.org/10.3390/technologies14030187 - 20 Mar 2026
Viewed by 537
Abstract
In ground-source heat-pump (GSHP) systems equipped with a single U-tube borehole heat exchanger (BHE), the heat-carrier fluid in the return leg may release heat to the surrounding ground in the shallow part of the borehole. From a fluid energy balance perspective, this is [...] Read more.
In ground-source heat-pump (GSHP) systems equipped with a single U-tube borehole heat exchanger (BHE), the heat-carrier fluid in the return leg may release heat to the surrounding ground in the shallow part of the borehole. From a fluid energy balance perspective, this is an exothermic process; however, it is detrimental during heating operation: It lowers the effective source temperature available to the heat pump and therefore degrades the overall coefficient of performance (COP). This study proposes a measurement-driven procedure to determine the exothermic transition depth z* from temperature profiles recorded at multiple depths along the ascending (return) pipe. The borehole is discretized into axial segments and, assuming a constant mass flow rate, the linear heat-exchange rate is estimated from the segment-wise enthalpy change. Time integration yields the segment-wise net energy exchange Q,i, which is then classified as exothermic or endothermic using an uncertainty-based threshold derived from the standard uncertainty of the temperature sensors. The exothermic transition depth z* is defined as the first statistically stable sign change in the integrated segment energy (from exothermic to endothermic) and is obtained by linear interpolation between adjacent segment centres. By summing the exothermic energy exchange and the corresponding average loss power, an equivalent change in source-side outlet temperature Tout is estimated and interpreted in terms of COP impact using a Carnot-scaled surrogate model. For two representative operating conditions, z* was found at 31.17 m and 24.01 m, respectively, while the average exothermic loss power remained approximately 0.48 kW. The estimated Tout ranged from 0.52 to 0.75 K, corresponding to a diagnostic COP improvement if this parasitic exothermic exchange could be mitigated. The present results should therefore be interpreted as a case study-based demonstration of the method on one instrumented borehole rather than as a universal quantitative prediction for other sites or borehole fields. Full article
Show Figures

Figure 1

20 pages, 4283 KB  
Article
Research on Discharge and Temperature Regime of a Karst River Substantially Altered by Hydropower Plant Operation
by Damir Jukić and Vesna Denić-Jukić
Water 2026, 18(6), 720; https://doi.org/10.3390/w18060720 - 19 Mar 2026
Viewed by 314
Abstract
This article presents the results of hydrological research on the Ruda River, which is the largest tributary of the Cetina River, located in the Dinaric karst of Croatia. The hydrology of this river has been altered after the construction of the Orlovac Hydropower [...] Read more.
This article presents the results of hydrological research on the Ruda River, which is the largest tributary of the Cetina River, located in the Dinaric karst of Croatia. The hydrology of this river has been altered after the construction of the Orlovac Hydropower Plant (HP) and the Buško Blato reservoir in 1973. The main aim of this study was to generate new knowledge about the hydrological functioning of the river, with a focus on the discharge and water temperature regimes that experienced the most severe alterations. The methodology is based on classical hydrological, statistical, and time-series analysis methods, adapted to the particularities of the study area and available data. Daily and hourly time series of air temperature, precipitation, water temperature, and discharge are analyzed to find trends, change points, inter-annual, seasonal, and sub-daily variations, durations, time shifts, and linear dependencies. The results obtained provide information on the effects of climate change, the duration of diffuse, conduit, and mixed flow, the importance of groundwater exchange, retention times, heat transfer times, and reference water temperatures. It determined the role of the operational mode of the Orlovac HP in discharge from the spring, in inter-annual and sub-annual water redistribution, and in hydropeaking and thermopeaking. The obtained information defines the present state of the Ruda River hydrology and illustrates alterations. Full article
Show Figures

Figure 1

23 pages, 4658 KB  
Article
LUCIDiT: A Lean Urban Comfort Intelligent Digital Twin for Quick Mean Radiant Temperature Assessment
by Michele Baia, Giacomo Pierucci and Carla Balocco
Atmosphere 2026, 17(3), 305; https://doi.org/10.3390/atmos17030305 - 17 Mar 2026
Viewed by 348
Abstract
The intensification of Global Warming and Urban Heat Island phenomena necessitates advanced, computationally effective tools for evaluating outdoor thermal comfort and microclimatic dynamics by means of Mean Radiant Temperature assessment. However, existing high-resolution physical models often suffer from prohibitive computational costs. This research [...] Read more.
The intensification of Global Warming and Urban Heat Island phenomena necessitates advanced, computationally effective tools for evaluating outdoor thermal comfort and microclimatic dynamics by means of Mean Radiant Temperature assessment. However, existing high-resolution physical models often suffer from prohibitive computational costs. This research proposes LUCIDiT (Lean Urban Comfort Intelligent Digital Twin), a physically based modeling framework implemented for a quick mean radiant temperature assessment inside complex urban morphologies. The method integrates a simplified balance of mutual radiative heat exchanges with recursive time-series filtering to account for the thermal inertia of different urban materials, alongside greenery heat exchange due to evapotranspiration. This architecture creates an operational urban comfort digital twin that reduces computational times by orders of magnitude for large-scale mappings, without sacrificing physical accuracy. Validation against drone-acquired thermographic data and the established Urban Multi-scale Environmental Predictor model demonstrates high reliability and coherence with the real physical phenomena and context. The application to an urban pilot site in Florence reveals that strategic interventions, such as substituting impervious surfaces with irrigated greenery and arboreal canopies, can mitigate radiant loads by up to 20 °C. Findings show that the proposed urban comfort digital twin can be a robust, scalable instrument for designing evidence-based climate adaptation strategies and quick testing mitigation scenarios to enhance urban resilience. Full article
Show Figures

Figure 1

Back to TopTop