Multi-Factor Air–Sea Heat Exchange Study on the Thermal Discharge Diffusion at Coastal Nuclear Power Plants: Sensitivity and Contribution Analysis
Abstract
1. Introduction
2. Materials and Methods
2.1. Study Area
2.2. Numerical Modeling
2.2.1. Initial and Boundary Conditions
2.2.2. Grid Configuration
2.2.3. Model Parameters
2.2.4. Sensitivity and Contribution Rates
2.3. Model Calibration
2.3.1. Hydrodynamics Validation
2.3.2. Temperature Validation
3. Results
3.1. Simulation Scenarios
3.2. Results and Discussion
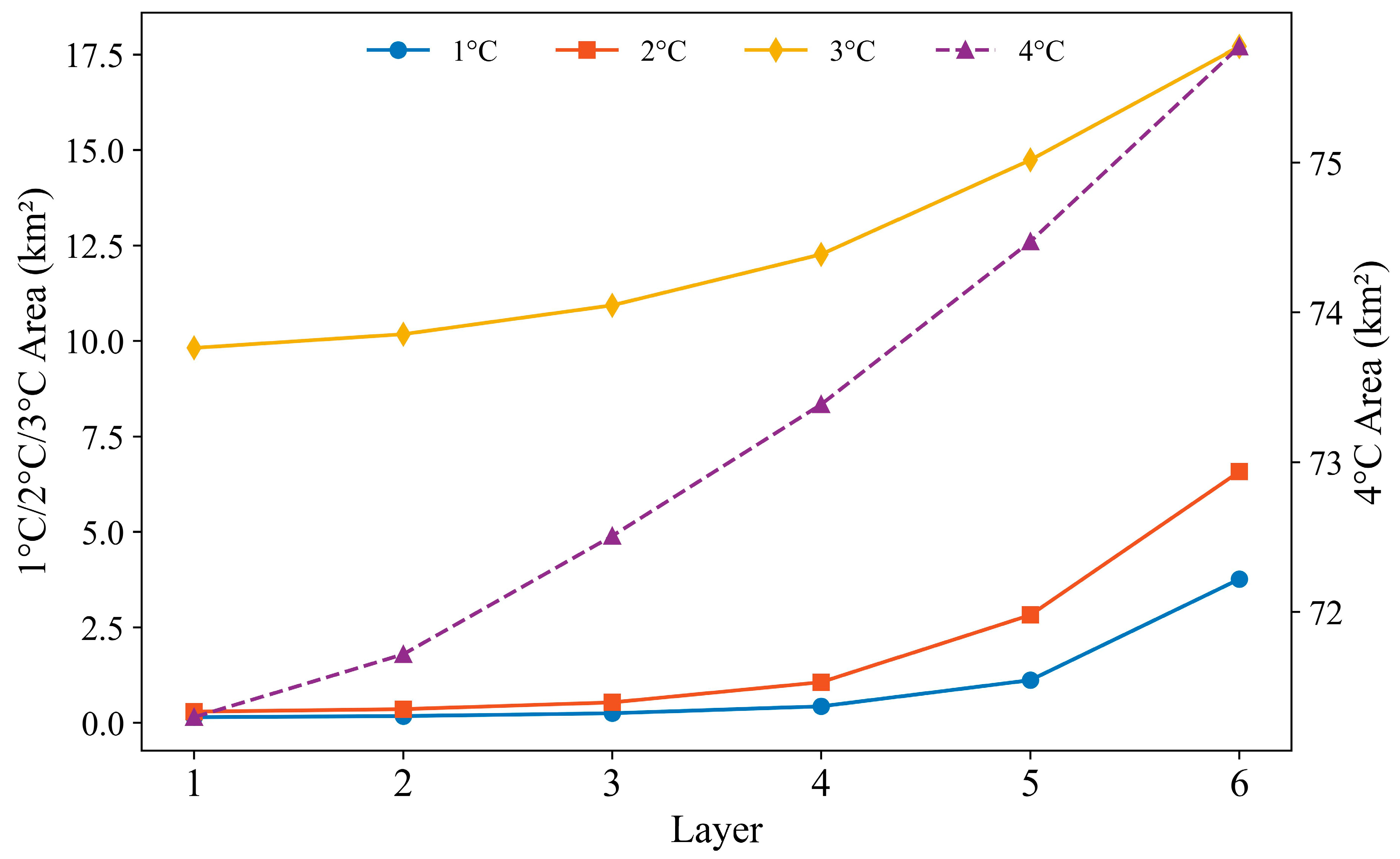
3.2.1. Thermal Discharge Diffusion
3.2.2. Sensitivity
3.2.3. Contribution Rates
4. Discussion
- When assessing impacts in the high temperature rise region (): The model should incorporate a detailed longwave radiation scheme, as longwave radiative loss represents the primary mechanism of heat dissipation in this region. Latent and sensible heat fluxes may be parameterized using simplified bulk formulations, given their relatively minor contributions.
- When assessing impacts in the low temperature rise region (): latent and sensible heat become dominant and should be accurately represented, with explicit consideration of wind speed, humidity, and the air–sea temperature difference. The use of a constant bulk heat exchange coefficient in this region may introduce substantial errors.
5. Conclusions
- The influence of air–sea heat exchange processes on the temperature rise envelope areas exhibits nonlinear characteristics, with the individual parameter sensitivities of longwave radiation and latent heat flux showing pronounced threshold effects. Individual parameter sensitivity and grouped sensitivities of shortwave radiation, sensible heat flux, and latent heat flux in the low temperature rise region () exceed those in the high temperature rise region (). The temperature rise distribution within the high temperature rise region () is primarily controlled by the discharge flow rate and the initial temperature difference, reflecting a characteristic source-dominated pattern.
- The dominant heat-loss processes vary across different temperature rise regions. In the high temperature rise region (), longwave radiation accounts for 74.71% of the total heat-loss contribution, thus playing a leading role. In contrast, in the low temperature rise region (), latent and sensible heat fluxes contribute 47.58% and 41.00%, respectively, while the contribution of longwave radiation drops to only 11.42%. Under these conditions, the cooling effect of latent heat flux dominates, with sensible heat flux playing a secondary role.
Author Contributions
Funding
Data Availability Statement
Conflicts of Interest
References
- Fei, Y.J.; Chen, B.R.; Zhao, J.Y. The Use of TATR (Total Amount of Temperature Rise) Index in Numerical Simulation of Xiangshan Bay’s Temperature Rise. Adv. Mater. Res. 2013, 726–731, 2004–2011. [Google Scholar] [CrossRef]
- Faulkner, A.; Bulgin, C.E.; Merchant, C.J. Characterising industrial thermal plumes in coastal regions using 3-D numerical simulations. Environ. Res. Commun. 2021, 3, 045003. [Google Scholar] [CrossRef]
- Yavari, S.M.; Qaderi, F. Determination of thermal pollution of water resources caused by Neka power plant through processing satellite imagery. Environ. Dev. Sustain. 2020, 22, 1953–1975. [Google Scholar] [CrossRef]
- Salgueiro, D.V.; Pablo, H.D.; Neves, R.; Mateus, M. Modelling the thermal effluent of a near coast power plant (Sines, Portugal). Rev. Gestão Costeira Integr. 2015, 15, 533–544. [Google Scholar] [CrossRef]
- Scherer, C.R. On the efficient allocation of environmental assimilative capacity: The case of thermal emissions to a large body of water. Water Resour. Res. 1975, 11, 180–181. [Google Scholar] [CrossRef]
- Nordell, B. Thermal pollution causes global warming. Glob. Planet. Change 2003, 38, 305–312. [Google Scholar] [CrossRef]
- Yunli, Y.; Deguan, W.; Zhigang, W.; Xijun, L. Numerical simulation of thermal discharge based on FVM method. J. Ocean Univ. China 2006, 5, 7–11. [Google Scholar] [CrossRef]
- Schott, J.R.; Volchok, W.J. Thematic Mapper Thermal Infrared Calibration. Photogramm. Eng. Remote Sens. 1985, 51, 1351–1357. [Google Scholar]
- Gaeta, M.G.; Samaras, A.G.; Archetti, R. Numerical investigation of thermal discharge to coastal areas: A case study in South Italy. Environ. Model. Softw. 2020, 124, 104596. [Google Scholar] [CrossRef]
- Rinehimer, J.P.; Thomson, J.T. Observations and modeling of heat fluxes on tidal flats. J. Geophys. Res. Oceans 2014, 119, 133–146. [Google Scholar] [CrossRef]
- Kong, G.; Li, L.; Guan, W. Influences of Tidal Flat and Thermal Discharge on Heat Dynamics in Xiangshan Bay. Front. Mar. Sci. 2022, 9, 850672. [Google Scholar] [CrossRef]
- Lin, J.; Zou, X.; Huang, F.; Yao, Y. Quantitative estimation of sea surface temperature increases resulting from the thermal discharge of coastal power plants in China. Mar. Pollut. Bull. 2021, 164, 112020. [Google Scholar] [CrossRef] [PubMed]
- Jia, H.; Zheng, S.; Xie, J.; Ying, X.; Zhang, C. Influence of geographic setting on thermal discharge from coastal power plants. Mar. Pollut. Bull. 2016, 111, 106–114. [Google Scholar] [CrossRef]
- Zhu, X.; Huang, C. Sensitivity analysis of parameters in thermal discharge numerical simulation. Radiat. Prot. Commun. 2021, 36, 6–10. (In Chinese) [Google Scholar]
- Zhu, Q.; Huang, C.; Xia, Y.; Yang, Y.; Guo, J.; Xia, C.; Qiao, F. Observation and Assessment of Heat Transfer Coefficient of Thermal Discharge for Coastal Nuclear Power Plants. J. Ocean Univ. China 2025, 24, 281–288. [Google Scholar] [CrossRef]
- Geng, B.; Lu, L.; Cao, Q.; Zhou, W.; Li, S.; Wen, D.; Hong, M. Three-dimensional numerical study of cooling water discharge of Daya Bay Nuclear Power Plant in southern coast of China during summer. Front. Mar. Sci. 2023, 9, 1012260. [Google Scholar] [CrossRef]
- Chen, C.; Wang, Q. Latent Heat Flux Trend and Its Seasonal Dependence over the East China Sea Kuroshio Region. J. Mar. Sci. Eng. 2024, 12, 722. [Google Scholar] [CrossRef]
- Sun, X.; Wu, R. Spatial scale dependence of the relationship between turbulent surface heat flux and SST. Clim. Dyn. 2022, 58, 1127–1145. [Google Scholar] [CrossRef]
- Paradan, A.F.; Gafoor, F.A.; AlShehhi, M.R. Intensification of marine heatwaves and their climate drivers in the Arabian Gulf. Sci. Rep. 2025, 15, 34506. [Google Scholar] [CrossRef]
- DHI. MIKE 21 & MIKE 3 Flow Model FM-Hydrodynamic and Transport Module; DHI: Hørsholm, Denmark, 2017; Available online: https://www.dhigroup.com/upload/dhisoftwarearchive/shortdescriptions/marine/HydrodynamicModuleHD.pdf (accessed on 14 October 2022).
- Al-Hashimi, S.A.M.; Madhloom, H.M.; Nahi, T.N.; Al-Ansari, N. Channel Slope Effect on Energy Dissipation of Flow over Broad Crested Weirs. Engineering 2016, 8, 837–851. [Google Scholar] [CrossRef][Green Version]
- Jeppson, R. Open Channel Flow, 1st ed.; CRC Press: Boca Raton, FL, USA, 2010; Available online: https://www.perlego.com/book/1475624/open-channel-flow-numerical-methods-and-computer-applications-pdf (accessed on 14 October 2022).
- Fang, L. A new dynamic formula for determining the coefficient of Smagorinsky model. Theor. Appl. Mech. Lett. 2011, 1, 032002. [Google Scholar] [CrossRef]
- Smagorinsky, J. General Circulation Experiments with the Primitive Equations: I. The Basic Experiment. Mon. Weather Rev. 1963, 91, 99–164. [Google Scholar] [CrossRef]
- Moum, J. Small Scale Processes in Geophysical Fluid Flows. Phys. Today 2001, 54, 74–75. [Google Scholar] [CrossRef][Green Version]
- Lin, J.; Zou, X.; Huang, F. Quantitative analysis of the factors influencing the dispersion of thermal pollution caused by coastal power plants. Water Res. 2021, 188, 116558. [Google Scholar] [CrossRef] [PubMed]
- Campolongo, F.; Cariboni, J.; Saltelli, A. An effective screening design for sensitivity analysis of large models. Environ. Model. Softw. 2007, 22, 1509–1518. [Google Scholar] [CrossRef]
- GB/T-12763.2-2007; Specifications for Oceanographic Survey—Part 2: Marine Hydrographic Observation. China Standards Press: Beijing, China, 2007. (In Chinese)
- International Hydrographic Organization. Manual on Hydrography; International Hydrographic Organization: Monte Carlo, Monaco, 2020. [Google Scholar]
- Simmons, J.; Price, L.M.; Turner, I.L.; Splinter, K.; Cox, R.J.; Harley, M.D.; Hanslow, D.J.; Kinsela, M.A. A more rigorous approach to calibrating and assessing the uncertainty of coastal numerical models. In Proceedings of the Australasian Coasts & Ports Conference 2015, Auckland, New Zealand, 15–18 September 2015. [Google Scholar]
- Yang, C.; Xu, X.; Xiong, J.; Chen, L.; Ma, J.; Li, A. Flow and evolution characteristics of the thermal plumes above an inclined area heat source. Energy Built Environ. 2025; in press. [Google Scholar] [CrossRef]
- Kong, G.; Guan, W. Diffusion Characteristics and Mechanisms of Thermal Plumes from Coastal Power Plants: A Numerical Simulation Study. J. Mar. Sci. Eng. 2024, 12, 429. [Google Scholar] [CrossRef]










| Parameter | Parameter Description | Value |
|---|---|---|
| Net shortwave radiative heat flux per degree Celsius | 4.61 | |
| Net longwave radiative heat flux per degree Celsius | −11.83 | |
| Latent heat flux per degree Celsius | −11.10 | |
| Sensible heat flux per degree Celsius | −5.18 |
| Water Level | ||||
|---|---|---|---|---|
| Station | S1 | S2 | S3 | S4 |
| p-values | 0 | 0 | 0 | 0 |
| confidence interval | [0.986, 0.990] | [0.982, 0.987] | [0.972, 0.980] | [0.977, 0.983] |
| Current Speed | ||||
| Station | J1 | J2 | J3 | J4 |
| p-values | 1.376 × 10−43 | 1.414 × 10−20 | 5.282 × 10−41 | 2.426 × 10−25 |
| confidence interval | [0.788, 0.881] | [0.552, 0.733] | [0.770, 0.870] | [0.619, 0.777] |
| Current Direction | ||||
| Station | J1 | J2 | J3 | J4 |
| p-values | 3.679 × 10−31 | 8.590 × 10−25 | 3.538 × 10−43 | 1.662 × 10−16 |
| confidence interval | [0.685, 0.819] | [0.612, 0.772] | [0.785, 0.879] | [0.482, 0.686] |
| Scenarios | Net Shortwave Radiation | Net Longwave Radiation | Latent Heat Flux | Sensible Heat Flux |
|---|---|---|---|---|
| A0 | - | - | - | - |
| A1 | 40% | - | - | - |
| A2 | 60% | - | - | - |
| A3 | 80% | - | - | - |
| A4 | 120% | - | - | - |
| A5 | 140% | - | - | - |
| A6 | 160% | - | - | - |
| A7 | - | 40% | - | - |
| A8 | - | 60% | - | - |
| A9 | - | 80% | - | - |
| A10 | - | 120% | - | - |
| A11 | - | 140% | - | - |
| A12 | - | 160% | - | - |
| A13 | - | - | 40% | - |
| A14 | - | - | 60% | - |
| A15 | - | - | 80% | - |
| A16 | - | - | 120% | - |
| A17 | - | - | 140% | - |
| A18 | - | - | 160% | - |
| A19 | - | - | - | 40% |
| A20 | - | - | - | 60% |
| A21 | - | - | - | 80% |
| A22 | - | - | - | 120% |
| A23 | - | - | - | 140% |
| A24 | - | - | - | 160% |
| Temperature Rise Region () | |||||||||
|---|---|---|---|---|---|---|---|---|---|
| 4 °C | 3 °C | 2 °C | 1 °C | ||||||
| Reference Group | 3.77 | 6.58 | 17.71 | 75.77 | - | - | - | - | |
| Shortwave radiation | A1 | 3.77 | 6.59 | 17.72 | 75.87 | 0.32% | 0.32% | 0.20% | 0.33% |
| A2 | 3.77 | 6.58 | 17.71 | 75.87 | 0.00% | 0.31% | |||
| A3 | 3.77 | 6.58 | 17.71 | 75.87 | 0.00% | 0.61% | |||
| A4 | 3.77 | 6.58 | 17.67 | 75.72 | 0.00% | 0.37% | |||
| A5 | 3.77 | 6.58 | 17.66 | 75.72 | 0.00% | 0.19% | |||
| A6 | 3.77 | 6.58 | 17.65 | 75.71 | 0.00% | 0.13% | |||
| Longwave radiation | A7 | 3.59 | 6.39 | 16.66 | 75.18 | 7.88% | 10.78% | 1.15% | 2.83% |
| A8 | 3.71 | 6.42 | 17.00 | 75.40 | 3.77% | 0.98% | |||
| A9 | 3.73 | 6.49 | 17.34 | 75.30 | 4.40% | 2.64% | |||
| A10 | 3.83 | 6.64 | 18.08 | 76.26 | 8.69% | 3.21% | |||
| A11 | 3.92 | 6.78 | 19.04 | 79.30 | 10.41% | 11.64% | |||
| A12 | 4.02 | 6.92 | 20.07 | 83.88 | 11.31% | 17.82% | |||
| sensible heat | A13 | 3.84 | 6.71 | 18.25 | 80.34 | 3.31% | 2.46% | 10.05% | 10.14% |
| A14 | 3.80 | 6.67 | 18.02 | 78.66 | 2.25% | 9.51% | |||
| A15 | 3.78 | 6.65 | 17.81 | 77.40 | 2.26% | 10.73% | |||
| A16 | 3.75 | 6.55 | 17.52 | 74.11 | 1.91% | 10.97% | |||
| A17 | 3.75 | 6.51 | 17.38 | 73.34 | 0.95% | 8.04% | |||
| A18 | 3.75 | 6.46 | 17.28 | 72.66 | 0.80% | 6.86% | |||
| latent heat | A19 | 3.78 | 6.65 | 17.94 | 81.36 | 0.49% | 1.19% | 12.29% | 11.77% |
| A20 | 3.78 | 6.61 | 17.88 | 79.34 | 0.67% | 11.75% | |||
| A21 | 3.79 | 6.61 | 17.80 | 77.65 | 3.25% | 12.40% | |||
| A22 | 3.77 | 6.53 | 17.64 | 74.02 | 0.64% | 11.55% | |||
| A23 | 3.77 | 6.51 | 17.51 | 73.15 | 0.32% | 8.67% | |||
| A24 | 3.77 | 6.49 | 17.43 | 72.44 | 0.21% | 7.32% | |||
| Longwave Radiation (A7–A10) | Sensible Heat (A13–A18) | Latent Heat (A19–A24) | ||
|---|---|---|---|---|
| 11.42% | 41.00% | 47.58% | ||
| 74.71% | 17.07% | 8.22% | ||
Disclaimer/Publisher’s Note: The statements, opinions and data contained in all publications are solely those of the individual author(s) and contributor(s) and not of MDPI and/or the editor(s). MDPI and/or the editor(s) disclaim responsibility for any injury to people or property resulting from any ideas, methods, instructions or products referred to in the content. |
© 2026 by the authors. Licensee MDPI, Basel, Switzerland. This article is an open access article distributed under the terms and conditions of the Creative Commons Attribution (CC BY) license.
Share and Cite
Lei, K.; Cheng, F.; Liu, T.; Liu, R.; Zhang, A. Multi-Factor Air–Sea Heat Exchange Study on the Thermal Discharge Diffusion at Coastal Nuclear Power Plants: Sensitivity and Contribution Analysis. Water 2026, 18, 758. https://doi.org/10.3390/w18060758
Lei K, Cheng F, Liu T, Liu R, Zhang A. Multi-Factor Air–Sea Heat Exchange Study on the Thermal Discharge Diffusion at Coastal Nuclear Power Plants: Sensitivity and Contribution Analysis. Water. 2026; 18(6):758. https://doi.org/10.3390/w18060758
Chicago/Turabian StyleLei, Kezheng, Fangfang Cheng, Tuantuan Liu, Ruini Liu, and Aiming Zhang. 2026. "Multi-Factor Air–Sea Heat Exchange Study on the Thermal Discharge Diffusion at Coastal Nuclear Power Plants: Sensitivity and Contribution Analysis" Water 18, no. 6: 758. https://doi.org/10.3390/w18060758
APA StyleLei, K., Cheng, F., Liu, T., Liu, R., & Zhang, A. (2026). Multi-Factor Air–Sea Heat Exchange Study on the Thermal Discharge Diffusion at Coastal Nuclear Power Plants: Sensitivity and Contribution Analysis. Water, 18(6), 758. https://doi.org/10.3390/w18060758
