Sign in to use this feature.

Years

Between: -

Subjects

remove_circle_outline
remove_circle_outline
remove_circle_outline
remove_circle_outline
remove_circle_outline
remove_circle_outline
remove_circle_outline
remove_circle_outline
remove_circle_outline

Journals

remove_circle_outline
remove_circle_outline
remove_circle_outline
remove_circle_outline

Article Types

Countries / Regions

remove_circle_outline
remove_circle_outline
remove_circle_outline

Search Results (325)

Search Parameters:
Keywords = hardware instrumentation

Order results
Result details
Results per page
Select all
Export citation of selected articles as:
25 pages, 6797 KB  
Review
Robotic-Assisted Vascular Surgery: Current Landscape, Challenges, and Future Directions
by Yaman Alsabbagh, Young Erben, Adeeb Jlilati, Joaquin Sarmiento, Christopher Jacobs, Enrique F. Elli and Houssam Farres
J. Clin. Med. 2025, 14(20), 7353; https://doi.org/10.3390/jcm14207353 - 17 Oct 2025
Viewed by 314
Abstract
Vascular surgery has evolved from durable yet invasive open reconstructions to less traumatic endovascular techniques. While endovascular repair reduces perioperative morbidity, it introduces durability challenges and the need for lifelong surveillance. Laparoscopic surgery bridged some gaps but was hindered by steep learning curves [...] Read more.
Vascular surgery has evolved from durable yet invasive open reconstructions to less traumatic endovascular techniques. While endovascular repair reduces perioperative morbidity, it introduces durability challenges and the need for lifelong surveillance. Laparoscopic surgery bridged some gaps but was hindered by steep learning curves and technical limitations. Robotic-assisted surgery represents a “third revolution”, combining the durability of open repair with the recovery and ergonomic benefits of minimally invasive approaches through enhanced 3D visualization, wristed instrumentation, and tremor filtration. This review synthesizes current evidence on robotic applications in vascular surgery, including aortic, visceral, venous, and endovascular interventions. Feasibility of robotic vascular surgery has been demonstrated in over 1500 patients across aortic, visceral, venous, and decompression procedures. Reported outcomes include pooled conversion rates of ~5%, 30-day mortality of 1–3%, and long-term patency rates exceeding 90% in aortoiliac occlusive disease. Similarly favorable outcomes have been observed in AAA repair, visceral artery aneurysm repair, IVC reconstructions, renal vein transpositions, and minimally invasive decompression procedures such as median arcuate ligament and thoracic outlet syndromes. Endovascular robotics enhances catheter navigation precision and reduces operator radiation exposure by 85–95%, with multiple series demonstrating consistent benefit compared to manual techniques. Despite these advantages, adoption is limited by high costs, lack of dedicated vascular instruments, absent haptic feedback on most platforms, and the need for standardized training. Most available evidence is observational and from high-volume centers, highlighting the need for multicenter randomized trials. Future directions include AI-enabled planning and augmented-reality navigation, which are the most feasible near-term technologies since they rely largely on software integration with existing systems. Other advances such as microsurgical robotics, soft-robotic platforms, and telesurgery remain longer-term developments requiring new hardware and regulatory pathways. Overcoming barriers through collaborative innovation, structured training, and robust evidence generation is essential for robotics to become a new standard in vascular care. Full article
(This article belongs to the Special Issue Vascular Surgery: Current Status and Future Perspectives)
Show Figures

Graphical abstract

27 pages, 4823 KB  
Article
P-Tracker: Design and Development of a Low-Cost PM2.5 Monitor for Citizen Measurements of Air Pollution
by Marks Jalisevs, Hamza Qadeer, David O’Connor, Mingming Liu and Shirley M. Coyle
Hardware 2025, 3(4), 12; https://doi.org/10.3390/hardware3040012 - 11 Oct 2025
Viewed by 271
Abstract
Particulate matter (PM2.5) is a critical indicator of air quality and has significant health implications. This study presents the development and evaluation of a custom-built PM2.5 device, named the P-Tracker, designed to offer an accessible alternative to commercially available air quality monitors. This [...] Read more.
Particulate matter (PM2.5) is a critical indicator of air quality and has significant health implications. This study presents the development and evaluation of a custom-built PM2.5 device, named the P-Tracker, designed to offer an accessible alternative to commercially available air quality monitors. This paper presents the design framework used to address the requirements of a low-cost, accessible device which meets the performance of existing commercial systems. Step-by step build instructions are provided for hardware and software development and connection to the P-tracker open access website which displays the data and interactive map. To demonstrate the performance, the P-Tracker was compared against leading consumer devices, including the AtmoTube Pro by AtmoTech Inc., Flow by Plume Labs, View Plus by Airthings, and the Smart Citizen Kit 2.1 by Fab Lab Barcelona, across four controlled tests. The tests included: (1) a controlled paper combustion test in which all devices were exposed to combustion aerosols in a sealed environment alongside the DustTrak 8530 (TSI Incorporated, Shoreview, MN, USA), used as the gold standard reference, where the P-Tracker achieved a Pearson correlation of 0.99 with DustTrak over the final measurement period; (2) an outdoor test comparing readings with a stationary reference sensor, Osiris (Turnkey Instruments Ltd., Rudheath, UK), where the P-Tracker recorded a mean PM2.5 concentration of 3.08 µg/m3, closely aligning with the Osiris measurement of 3.53 µg/m3 and achieving a Pearson correlation of 0.77; (3) a controlled indoor air quality assessment, where the P-Tracker displayed stable readings with a standard deviation of 0.11 µg/m3, comparable to the AtmoTube Pro; and (4) a real-world kitchen environment test, where the P-Tracker effectively captured fluctuations in PM2.5 levels due to cooking activities, maintaining a consistent response with the DustTrak reference. The results indicate varied degrees of agreement across devices in different conditions, with the P-Tracker demonstrating strong correlation and low error margins in high-pollution and controlled scenarios. This research underscores the potential of open-source, low-cost, custom-built air quality sensors which may be developed and deployed by communities to provide hyperlocal measurements of air pollution. Full article
Show Figures

Figure 1

18 pages, 568 KB  
Article
Design of Partial Mueller-Matrix Polarimeters for Application-Specific Sensors
by Brian G. Hoover and Martha Y. Takane
Sensors 2025, 25(19), 6249; https://doi.org/10.3390/s25196249 - 9 Oct 2025
Viewed by 306
Abstract
At a particular frequency, most materials and objects of interest exhibit a polarization signature, or Mueller matrix, of limited dimensionality, with many matrix elements either negligibly small or redundant due to symmetry. Robust design of a polarization sensor for a particular material or [...] Read more.
At a particular frequency, most materials and objects of interest exhibit a polarization signature, or Mueller matrix, of limited dimensionality, with many matrix elements either negligibly small or redundant due to symmetry. Robust design of a polarization sensor for a particular material or object of interest, or for an application with a limited set of materials or objects, will adapt to the signature subspace, as well as the available modulators, in order to avoid unnecessary measurements and hardware and their associated budgets, errors, and artifacts. At the same time, measured polarization features should be expressed in the Stokes–Mueller basis to allow use of known phenomenology for data interpretation and processing as well as instrument calibration and troubleshooting. This approach to partial Mueller-matrix polarimeter (pMMP) design begins by defining a vector space of reduced Mueller matrices and an instrument vector representing the polarization modulators and other components of the sensor. The reduced-Mueller vector space is proven to be identical to R15 and to provide a completely linear description constrained to the Mueller cone. The reduced irradiance, the inner product of the reduced instrument and target vectors, is then applied to construct classifiers and tune modulator parameters, for instance to maximize representation of a specific target in a fixed number of measured channels. This design method eliminates the use of pseudo-inverses and reveals the optimal channel compositions to capture a particular signature feature, or a limited set of features, under given hardware constraints. Examples are given for common optical division-of-amplitude (DoA) 2-channel passive and serial/DoT-DoA 4-channel active polarimeters with rotating crystal modulators for classification of targets with diattenuation and depolarization characteristics. Full article
(This article belongs to the Section Optical Sensors)
Show Figures

Figure 1

47 pages, 14121 KB  
Article
Systematic Development and Hardware-in-the-Loop Testing of an IEC 61850 Standard-Based Monitoring and Protection System for a Modern Power Grid Point of Common Coupling
by Sinawo Nomandela, Mkhululi E. S. Mnguni and Atanda K. Raji
Energies 2025, 18(19), 5281; https://doi.org/10.3390/en18195281 - 5 Oct 2025
Viewed by 577
Abstract
This paper presents a systematic approach to the development and validation of a monitoring and protection system based on the IEC 61850 standard, evaluated through hardware-in-the-loop (HIL) testing. The study utilized an already existing model of a modern power grid consisting of the [...] Read more.
This paper presents a systematic approach to the development and validation of a monitoring and protection system based on the IEC 61850 standard, evaluated through hardware-in-the-loop (HIL) testing. The study utilized an already existing model of a modern power grid consisting of the IEEE 9-bus power system integrated with a large-scale wind power plant (LSWPP). The SEL-487B Relay was configured to protect the PCC using a low-impedance busbar differential monitoring and protection system equipped with adaptive setting group logic that automatically transitions between Group 1 and Group 2 based on system loading conditions. Significant steps were followed for selecting and configuring instrument transformers and implementing relay logic in compliance with IEEE and IEC standards. Real-time digital simulation using Real-Time Digital Simulator (RTDS) hardware and its software, Real-time Simulation Computer-Aided Design (RSCAD), was used to assess the performance of the overall monitoring and protection system, focusing on the monitoring and publishing of the selected electrical and mechanical measurements from a selected wind turbine generator unit (WTGU) on the LSWPP side through the IEC 61850 standard network, and on the behavior of the monitoring and protection system under initial and increased load conditions through monitoring of differential and restraint currents. The overall monitoring and protection system was tested under both initial and increased load conditions, confirming its capability to reliably publish analog values from WTGU13 for availability on the IEC 61850 standard network while maintaining secure protection operation. Quantitatively, the measured differential (operate) and restraint currents were 0.32 PU and 4.38 PU under initial loading, and 1.96 PU and 6.20 PU under increased loading, while total fault clearance times were 606.667 ms and 706.667 ms for faults under initial load and increased load demand conditions, respectively. These results confirm that the developed framework provides accurate real-time monitoring and reliable operation for faults, while demonstrating a practical and replicable solution for monitoring and protection at transmission-level PCCs within renewable-integrated networks. Full article
(This article belongs to the Special Issue Planning, Operation, and Control of New Power Systems: 2nd Edition)
Show Figures

Figure 1

12 pages, 2104 KB  
Article
Accessible Thermoelectric Characterization: Development and Validation of Two Modular Room Temperature Measurement Instruments
by František Mihok, Katarína Gáborová, Viktor Puchý and Karel Saksl
Inorganics 2025, 13(10), 333; https://doi.org/10.3390/inorganics13100333 - 4 Oct 2025
Viewed by 421
Abstract
This paper describes two low-cost, modular instruments developed for rapid room-temperature characterization of mainly thermoelectrics. The first instrument measures the Seebeck coefficient across diverse sample geometries and incorporates a four-point probe configuration for simultaneous electrical conductivity measurement, including disk-shaped samples. The second instrument [...] Read more.
This paper describes two low-cost, modular instruments developed for rapid room-temperature characterization of mainly thermoelectrics. The first instrument measures the Seebeck coefficient across diverse sample geometries and incorporates a four-point probe configuration for simultaneous electrical conductivity measurement, including disk-shaped samples. The second instrument implements the Van der Pauw method, enabling detailed investigation of charge carrier behavior within materials. Both devices prioritize accessibility, constructed primarily from 3D-printed components, basic hardware, and readily available instrumentation, ensuring ease of reproduction and modification. A unique calibration protocol using pure elemental disks and materials with well-established properties was employed for both instruments. Validation against comparable systems confirmed reliable operation. Control and data acquisition software for both devices was developed in-house and is fully documented and does not require an experienced operator. We demonstrate the utility of these instruments by characterizing the electronic properties of polycrystalline SnSe thermoelectric materials doped with Bi, Ag, and In. The results reveal highly complex charge carrier behavior significantly influenced by both dopant type and concentration. Full article
(This article belongs to the Section Inorganic Materials)
Show Figures

Figure 1

17 pages, 2793 KB  
Article
Full-Spectrum LED-Driven Underwater Spectral Detection System and Its Applications
by Yunfei Li, Jun Wei, Shaohua Cheng, Tao Yu, Hong Zhao, Guancheng Li and Fuhong Cai
Chemosensors 2025, 13(10), 359; https://doi.org/10.3390/chemosensors13100359 - 1 Oct 2025
Viewed by 466
Abstract
Spectral detection technology offers non-destructive, in situ, and high-speed capabilities, making it widely applicable for detecting biological and chemical samples and quantifying their concentrations. Water resources, essential to life on Earth, are widely distributed across the planet. The application of spectral technology to [...] Read more.
Spectral detection technology offers non-destructive, in situ, and high-speed capabilities, making it widely applicable for detecting biological and chemical samples and quantifying their concentrations. Water resources, essential to life on Earth, are widely distributed across the planet. The application of spectral technology to underwater environments is useful for wide-area water resource monitoring. Although spectral detection technology is well-established, its underwater application presents challenges, including waterproof housing design, power supply, and data transmission, which limit widespread application of underwater spectral detection. Furthermore, underwater spectral detection necessitates the development of compatible computational methods for sample classification or regression analysis. Focusing on underwater spectral detection, this work involved the construction of a suitable hardware system. A compact spectrometer and LEDs (400 nm–800 nm) were employed as the detection and light source modules, respectively, resulting in a compact system architecture. Extensive tests confirmed that the miniaturized design-maintained system performance. Further, this study addressed the estimation of total phosphorus (TP) concentration in water using spectral data. Samples with varying TP concentrations were prepared and calibrated against standard detection instruments. Subsequently, classification algorithms applied to the acquired spectral data enabled the in situ underwater determination of TP concentration in these samples. This work demonstrates the feasibility of underwater spectral detection for future in situ, high-speed monitoring of aquatic biochemical indicators. In the future, after adding UV LED light source, more water quality parameter information can be obtained. Full article
(This article belongs to the Special Issue Spectroscopic Techniques for Chemical Analysis)
Show Figures

Figure 1

19 pages, 912 KB  
Article
An Integrated Co-Simulation Framework for the Design, Analysis, and Performance Assessment of EIS-Based Measurement Systems for the Online Monitoring of Battery Cells
by Nicola Lowenthal, Roberta Ramilli, Marco Crescentini and Pier Andrea Traverso
Batteries 2025, 11(10), 351; https://doi.org/10.3390/batteries11100351 - 26 Sep 2025
Viewed by 338
Abstract
Electrochemical impedance spectroscopy (EIS) is widely used at the laboratory level for monitoring/diagnostics of battery cells, but the design and validation of in situ, online measurement systems based on EIS face challenges due to complex hardware–software interactions and non-idealities. This study aims to [...] Read more.
Electrochemical impedance spectroscopy (EIS) is widely used at the laboratory level for monitoring/diagnostics of battery cells, but the design and validation of in situ, online measurement systems based on EIS face challenges due to complex hardware–software interactions and non-idealities. This study aims to develop an integrated co-simulation framework to support the design, debugging, and validation of EIS measurement systems devoted to the online monitoring of battery cells, helping to predict experimental results and identify/correct the non-ideality effects and sources of uncertainty. The proposed framework models both the hardware and software components of an EIS-based system to simulate and analyze the impedance measurement process as a whole. It takes into consideration the effects of physical non-idealities on the hardware–software interactions and how those affect the final impedance estimate, offering a tool to refine designs and interpret test results. For validation purposes, the proposed general framework is applied to a specific EIS-based laboratory prototype, previously designed by the research group. The framework is first used to debug the prototype by uncovering hidden non-idealities, thus refining the measurement system, and then employed as a digital model of the latter for fast development of software algorithms. Finally, the results of the co-simulation framework are compared against a theoretical model, the real prototype, and a benchtop instrument to assess the global accuracy of the framework. Full article
Show Figures

Figure 1

26 pages, 9188 KB  
Article
Revolutionizing Hybrid Microgrids Enhanced Stability and Efficiency with Nonlinear Control Strategies and Optimization
by Rimsha Ghias, Atif Rehman, Hammad Iqbal Sherazi, Omar Alrumayh, Abdulrahman Alsafrani and Abdullah Alburidy
Energies 2025, 18(19), 5061; https://doi.org/10.3390/en18195061 - 23 Sep 2025
Viewed by 334
Abstract
Microgrid systems play a vital role in managing distributed energy resources like solar, wind, batteries, and supercapacitors. However, maintaining stable AC/DC bus voltages and minimizing grid reliance under dynamic conditions is challenging. Traditional control methods such as Sliding Mode Controllers (SMCs) suffer from [...] Read more.
Microgrid systems play a vital role in managing distributed energy resources like solar, wind, batteries, and supercapacitors. However, maintaining stable AC/DC bus voltages and minimizing grid reliance under dynamic conditions is challenging. Traditional control methods such as Sliding Mode Controllers (SMCs) suffer from issues like chattering and slow convergence, reducing practical effectiveness. This paper proposes a hybrid AC/DC microgrid that operates in both grid-connected and islanded modes while ensuring voltage stability and efficient energy use. A Conditional-Based Super-Twisting Sliding Mode Controller (CBSTSMC) is employed to address the limitations of conventional SMCs. The CBSTSMC enhances system performance by reducing chattering, improving convergence speed, and offering better tracking and disturbance rejection. To further refine controller performance, an Improved Grey Wolf Optimization (IGWO) algorithm is used for gain tuning, resulting in enhanced system robustness and precision. An Energy Management System (EMS) is integrated to intelligently regulate power flow based on renewable generation and storage availability. The proposed system is tested in real time using a Texas Instruments Delfino C2000 microcontroller through a Controller-in-the-Loop (CIL) setup. The simulation and hardware results confirm the system’s ability to maintain stability and reliability under diverse operating scenarios, proving its suitability for future smart grid applications. Full article
Show Figures

Figure 1

32 pages, 6375 KB  
Article
Design and Evaluation of a Research-Oriented Open-Source Platform for Smart Grid Metering: A Comprehensive Review and Experimental Intercomparison of Smart Meter Technologies
by Nikolaos S. Korakianitis, Panagiotis Papageorgas, Georgios A. Vokas, Dimitrios D. Piromalis, Stavros D. Kaminaris, George Ch. Ioannidis and Ander Ochoa de Zuazola
Future Internet 2025, 17(9), 425; https://doi.org/10.3390/fi17090425 - 19 Sep 2025
Viewed by 478
Abstract
Smart meters (SMs) are essential components of modern smart grids, enabling real-time and accurate monitoring of electricity consumption. However, their evaluation is often hindered by proprietary communication protocols and the high cost of commercial testing tools. This study presents a low-cost, open-source experimental [...] Read more.
Smart meters (SMs) are essential components of modern smart grids, enabling real-time and accurate monitoring of electricity consumption. However, their evaluation is often hindered by proprietary communication protocols and the high cost of commercial testing tools. This study presents a low-cost, open-source experimental platform for smart meter validation, using a microcontroller and light sensor to detect optical pulses emitted by standard SMs. This non-intrusive approach circumvents proprietary restrictions while enabling transparent and reproducible comparisons. A case study was conducted comparing the static meter GAMA 300 model, manufactured by Elgama-Elektronika Ltd. (Vilnius, Lithuania), which is a closed-source commercial meter, with theTexas Instruments EVM430-F67641 evaluation module, manufactured by Texas Instruments Inc. (Dallas, TX, USA), which serves as an open-source reference design. Statistical analyses—based on confidence intervals and ANOVA—revealed a mean deviation of less than 1.5% between the devices, confirming the platform’s reliability. The system supports indirect power monitoring without hardware modification or access to internal data, making it suitable for both educational and applied contexts. Compared to existing tools, it offers enhanced accessibility, modularity, and open-source compatibility. Its scalable design supports IoT and environmental sensor integration, aligning with Internet of Energy (IoE) principles. The platform facilitates transparent, reproducible, and cost-effective smart meter evaluations, supporting the advancement of intelligent energy systems. Full article
(This article belongs to the Special Issue State-of-the-Art Future Internet Technologies in Greece 2024–2025)
Show Figures

Figure 1

20 pages, 2915 KB  
Article
From Lab to Launchpad: A Modular Transport Incubator for Controlled Thermal and Power Conditions of Spaceflight Payloads
by Sebastian Feles, Ilse Marie Holbeck and Jens Hauslage
Instruments 2025, 9(3), 21; https://doi.org/10.3390/instruments9030021 - 18 Sep 2025
Viewed by 577
Abstract
Maintaining physiologically controlled conditions during the transport of biological experiments remains a long-standing but under-addressed challenge in spaceflight operations. Pre-launch thermal or mechanical stress induce artefacts that compromise the interpretation of biological responses to space conditions. Existing transport systems are limited to basic [...] Read more.
Maintaining physiologically controlled conditions during the transport of biological experiments remains a long-standing but under-addressed challenge in spaceflight operations. Pre-launch thermal or mechanical stress induce artefacts that compromise the interpretation of biological responses to space conditions. Existing transport systems are limited to basic heating of small sample containers and lack the capability to power and protect full experimental hardware during mission-critical phases. A modular transport incubator was developed and validated that combines active thermal regulation, battery-buffered power management, and mechanical protection in a compact, field-deployable platform. It enables autonomous environmental conditioning of complex biological payloads and continuous operation of integrated scientific instruments during ground-based transport and recovery. Validation included controlled experiments under sub-zero ambient temperatures, demonstrating rapid warm-up, stable thermal regulation, and uninterrupted autonomous performance. A steady-state finite difference thermal model was experimentally validated across 21 boundary conditions, enabling predictive power requirement estimation for mission planning. Field deployments during multiple MAPHEUS® sounding rocket campaigns confirmed functional robustness under wind, snow, and airborne recovery scenarios. The system closes a critical infrastructure gap in spaceflight logistics. Its validated performance, modular architecture, and proven operational readiness establish it as an enabling platform for standardized, reproducible ground handling of biological payloads and experiment hardware. Full article
Show Figures

Figure 1

19 pages, 4700 KB  
Article
Prototyping and Evaluation of 1D Cylindrical and MEMS-Based Helmholtz Acoustic Resonators for Ultra-Sensitive CO2 Gas Sensing
by Ananya Srivastava, Rohan Sonar, Achim Bittner and Alfons Dehé
Gases 2025, 5(3), 21; https://doi.org/10.3390/gases5030021 - 9 Sep 2025
Viewed by 2478
Abstract
This work presents a proof of concept including simulation and experimental validations of acoustic gas sensor prototypes for trace CO2 detection up to 1 ppm. For the detection of lower gas concentrations especially, the dependency of acoustic resonances on the molecular weights [...] Read more.
This work presents a proof of concept including simulation and experimental validations of acoustic gas sensor prototypes for trace CO2 detection up to 1 ppm. For the detection of lower gas concentrations especially, the dependency of acoustic resonances on the molecular weights and, consequently, the speed of sound of the gas mixture, is exploited. We explored two resonator types: a cylindrical acoustic resonator and a Helmholtz resonator intrinsic to the MEMS microphone’s geometry. Both systems utilized mass flow controllers (MFCs) for precise gas mixing and were also modeled in COMSOL Multiphysics 6.2 to simulate resonance shifts based on thermodynamic properties of binary gas mixtures, in this case, N2-CO2. We performed experimental tracking using Zurich Instruments MFIA, with high-resolution frequency shifts observed in µHz and mHz ranges in both setups. A compact and geometry-independent nature of MEMS-based Helmholtz tracking showed clear potential for scalable sensor designs. Multiple experimental trials confirmed the reproducibility and stability of both configurations, thus providing a robust basis for statistical validation and system reliability assessment. The good simulation experiment agreement, especially in frequency shift trends and gas density, supports the method’s viability for scalable environmental and industrial gas sensing applications. This resonance tracking system offers high sensitivity and flexibility, allowing selective detection of low CO2 concentrations down to 1 ppm. By further exploiting both external and intrinsic acoustic resonances, the system enables highly sensitive, multi-modal sensing with minimal hardware modifications. At microscopic scales, gas detection is influenced by ambient factors like temperature and humidity, which are monitored here in a laboratory setting via NDIR sensors. A key challenge is that different gas mixtures with similar sound speeds can cause indistinguishable frequency shifts. To address this, machine learning-based multivariate gas analysis can be employed. This would, in addition to the acoustic properties of the gases as one of the variables, also consider other gas-specific variables such as absorption, molecular properties, and spectroscopic signatures, reducing cross-sensitivity and improving selectivity. This multivariate sensing approach holds potential for future application and validation with more critical gas species. Full article
(This article belongs to the Section Gas Sensors)
Show Figures

Figure 1

18 pages, 6610 KB  
Article
Design and Implementation of a Teaching Model for EESM Using a Modified Automotive Starter-Generator
by Patrik Resutík, Matúš Danko and Michal Praženica
World Electr. Veh. J. 2025, 16(9), 480; https://doi.org/10.3390/wevj16090480 - 22 Aug 2025
Viewed by 3813
Abstract
This project presents the development of an open-source educational platform based on an automotive Electrically Excited Synchronous Machine (EESM) repurposed from a KIA Sportage mild-hybrid vehicle. The introduction provides an overview of hybrid drive systems and the primary configurations employed in automotive applications, [...] Read more.
This project presents the development of an open-source educational platform based on an automotive Electrically Excited Synchronous Machine (EESM) repurposed from a KIA Sportage mild-hybrid vehicle. The introduction provides an overview of hybrid drive systems and the primary configurations employed in automotive applications, including classifications based on power flow and the placement of electric motors. The focus is placed on the parallel hybrid configuration, where a belt-driven starter-generator assists the internal combustion engine (ICE). Due to the proprietary nature of the original control system, the unit was disassembled, and a custom control board was designed using a Texas Instruments C2000 Digital Signal Processor (DSP). The motor features a six-phase dual three-phase stator, offering improved torque smoothness, fault tolerance, and reduced current per phase. A compact Anisotropic Magneto Resistive (AMR) position sensor was implemented for position and speed measurements. Current sensing was achieved using both direct and magnetic field-based methods. The control algorithm was verified on a modified six-phase inverter under simulated vehicle conditions utilizing a dynamometer. Results confirmed reliable operation and validated the control approach. Future work will involve complete hardware testing with the new control board to finalize the platform as a flexible, open-source tool for research and education in hybrid drive technologies. Full article
Show Figures

Figure 1

11 pages, 8468 KB  
Article
Nuclear Thermal Rocket Emulator for a Hardware-in-the-Loop Test Bed
by Brandon A. Wilson, Jono McConnell, Wesley C. Williams, Nick Termini, Craig Gray, Charles E. Taylor and N. Dianne Ezell Bull
Energies 2025, 18(16), 4439; https://doi.org/10.3390/en18164439 - 21 Aug 2025
Viewed by 2152
Abstract
To support NASA’s mission to use nuclear thermal rockets for future Mars missions, an instrumentation and control test bed has been built at Oak Ridge National Laboratory. The system is designed as a hardware-in-the-loop test bed for testing control elements and autonomous control [...] Read more.
To support NASA’s mission to use nuclear thermal rockets for future Mars missions, an instrumentation and control test bed has been built at Oak Ridge National Laboratory. The system is designed as a hardware-in-the-loop test bed for testing control elements and autonomous control algorithms for nuclear thermal propulsion rockets. The mock reactor system consists of a modular and scalable framework, using inexpensive components and open-source software. The hardware system consists of a two-phase flow loop and a mock reactor with six control drums. A single-board computer (NVIDIA Jetson) handles reactor core emulation and hosts a message queuing telemetry transport broker that allows user-deployed control algorithms to interact with the system hardware. The reactor emulator receives sensor data from the hardware and provides the simulated performance of the reactor under steady-state, transient, and fault conditions. The emulator uses a reactivity lookup table and the point kinetics equations to solve for the reactor dynamics in real time. Emulated reactor dynamics and sensor input inform the autonomous control algorithm’s decision-making in a closed-loop manner. The current system is capable of operating at 10 Hz, but faster cycle rates are an area of ongoing research. This test bed will enable NASA and other space vendors to rigorously test their autonomous control systems for NTP rockets under transient (reactor startup and shutdown), steady-state, and fault conditions to reduce development time and risk for autonomous control systems in future missions. Full article
Show Figures

Figure 1

31 pages, 6276 KB  
Article
Enhancing Wire Arc Additive Manufacturing for Maritime Applications: Overcoming Operational Challenges in Marine and Offshore Environments
by Pavlenko Petro, Xuezhi Shi, Jinbao Wang, Zhenhua Li, Bo Yin, Hanxiang Zhou, Yuxin Zhou, Bojian Yu and Zhun Wang
Appl. Sci. 2025, 15(16), 9070; https://doi.org/10.3390/app15169070 - 18 Aug 2025
Viewed by 1179
Abstract
Wire Arc Additive Manufacturing holds promise for on-board metal part production in maritime settings, yet its implementation remains limited due to the vibrational instability inherent to shipborne environments. This study addresses this critical technological barrier by analyzing the effects of marine vibrations on [...] Read more.
Wire Arc Additive Manufacturing holds promise for on-board metal part production in maritime settings, yet its implementation remains limited due to the vibrational instability inherent to shipborne environments. This study addresses this critical technological barrier by analyzing the effects of marine vibrations on process stability and proposing an integrated solution based on adaptive process control, gyrostabilized platforms, and real-time monitoring systems. The research establishes specific technical requirements for WAAM instrumentation under maritime conditions and evaluates the capabilities and limitations of existing hardware and software tools. A set of engineering recommendations is presented for improving digital modeling, thermal–mechanical monitoring, and feedback control systems. Additionally, the study highlights material-related challenges by examining the influence of alloy properties on print quality under dynamic loads. The proposed approach enhances WAAM process resilience, laying the groundwork for reliable, high-quality additive manufacturing at sea. These findings are particularly relevant to shipboard maintenance, repair, and remote fabrication tasks, marking a significant step toward the industrial adoption of WAAM in marine engineering. Full article
(This article belongs to the Section Additive Manufacturing Technologies)
Show Figures

Figure 1

36 pages, 7907 KB  
Article
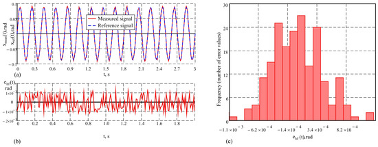
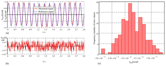
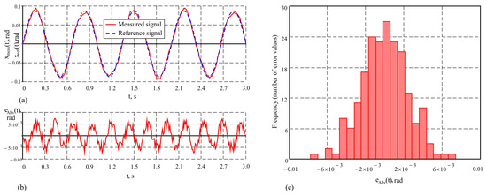
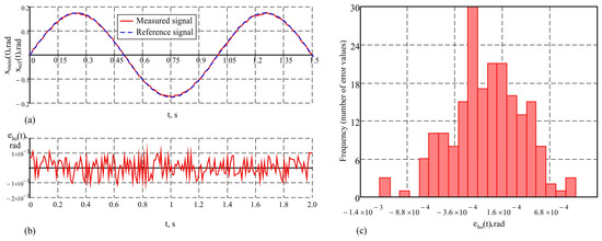
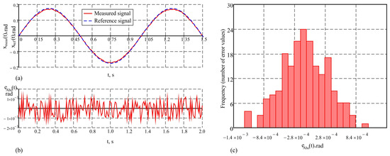
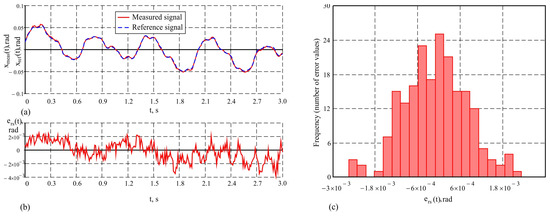
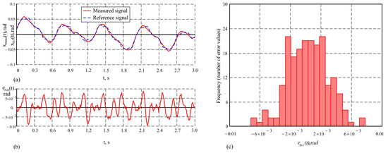
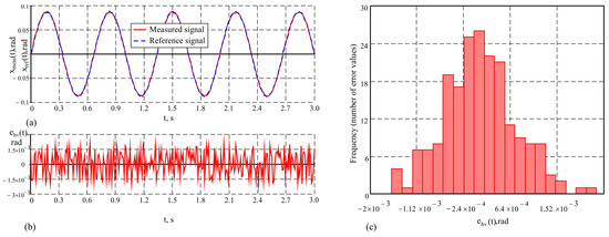
A Method for Measuring Angular Orientation with Adaptive Compensation of Dynamic Errors
by Dimitar Dichev, Iliya Zhelezarov, Borislav Georgiev, Tsanko Karadzhov, Ralitza Dicheva and Hasan Hasanov
Sensors 2025, 25(16), 4922; https://doi.org/10.3390/s25164922 - 9 Aug 2025
Viewed by 2606
Abstract
This article presents an integrated method for measuring the angular orientation of moving objects, combining a simplified mechanical structure to reduce instrumental errors with a hardware–software platform for adaptive compensation of dynamic errors. Unlike existing approaches, the method avoids inertial element stabilization by [...] Read more.
This article presents an integrated method for measuring the angular orientation of moving objects, combining a simplified mechanical structure to reduce instrumental errors with a hardware–software platform for adaptive compensation of dynamic errors. Unlike existing approaches, the method avoids inertial element stabilization by using an adaptive Kalman structure for real-time correction. Based on this method, a measuring system for determining roll and pitch has been developed and implemented using a two-channel measurement model with two independent signals and MEMS sensors. The accuracy of the system has been experimentally validated in both static and dynamic modes through a highly accurate reference system with traceability to international standards. A metrologically based methodology for quantitative assessment has also been developed, applying both the theory of error and the theory of uncertainty to provide an objective, reproducible, and traceable evaluation under real-world conditions. Full article
(This article belongs to the Section Physical Sensors)
Show Figures

Figure 1

Back to TopTop