Sign in to use this feature.

Years

Between: -

Subjects

remove_circle_outline
remove_circle_outline
remove_circle_outline
remove_circle_outline
remove_circle_outline
remove_circle_outline
remove_circle_outline
remove_circle_outline
remove_circle_outline

Journals

remove_circle_outline
remove_circle_outline
remove_circle_outline
remove_circle_outline
remove_circle_outline

Article Types

Countries / Regions

Search Results (152)

Search Parameters:
Keywords = gravity modulation

Order results
Result details
Results per page
Select all
Export citation of selected articles as:
24 pages, 23886 KB  
Review
Cooling of Optically Levitated Particles: Principles, Implementations, and Applications
by Jiaming Liu, Yizhe Lin, Han Cai, Xingfan Chen, Nan Li, Huizhu Hu and Cheng Liu
Photonics 2025, 12(10), 953; https://doi.org/10.3390/photonics12100953 - 24 Sep 2025
Viewed by 573
Abstract
Optically levitated particles in high vacuum offer an exceptionally isolated mechanical platform for photonic control. Effective cooling of their center-of-mass motion is essential not only for enabling ultrasensitive precision sensing but also for opening access to the quantum regime where macroscopic superposition and [...] Read more.
Optically levitated particles in high vacuum offer an exceptionally isolated mechanical platform for photonic control. Effective cooling of their center-of-mass motion is essential not only for enabling ultrasensitive precision sensing but also for opening access to the quantum regime where macroscopic superposition and nonclassical states can be realized. In this review, we present a comprehensive overview of recent advances in active feedback cooling, based on real-time photonic modulation, and passive feedback cooling, driven by optomechanical interactions within optical resonators. We highlight key experimental milestones, including ground state cooling in one and two dimensions, and discuss the emerging applications of these systems in force sensing, inertial metrology, and macroscopic quantum state preparation. Particular attention is given to novel proposals for probing quantum gravity, detecting dark matter and dark energy candidates, and exploring high-frequency gravitational waves. These advancements establish levitated optomechanical systems as a powerful platform for both high-precision metrology and the investigation of fundamental quantum phenomena. Finally, we discuss the current challenges and future prospects in cooling multiple degrees of freedom, device integration, and scalability toward future quantum technologies. Full article
(This article belongs to the Special Issue Advances in Levitated Optomechanics)
Show Figures

Figure 1

20 pages, 30882 KB  
Article
Analysis of the Ducted Gravity Waves Generated by Elevated Convection over Complex Terrain in China
by Manman Ma and Luyao Qin
Atmosphere 2025, 16(10), 1118; https://doi.org/10.3390/atmos16101118 - 24 Sep 2025
Viewed by 251
Abstract
Gravity waves play a crucial role in the evolution of convective systems. The unique thermal structure of elevated convection occurring above a stable boundary layer facilitates the generation and propagation of gravity waves. This study focuses on an elevated convection event over Central [...] Read more.
Gravity waves play a crucial role in the evolution of convective systems. The unique thermal structure of elevated convection occurring above a stable boundary layer facilitates the generation and propagation of gravity waves. This study focuses on an elevated convection event over Central China on the night of 2–3 February 2024. The WRF model, combined with terrain sensitivity experiments, is employed to analyze the characteristics of gravity waves and the effects of terrain variability. The event consists of two elevated convection clusters; the first triggers gravity waves on its southwestern side, which subsequently initiates the second convection cluster. The gravity waves exhibit a horizontal wavelength of 25 km and a period of 17.5 min, propagating eastward. Below an altitude of 3 km, a stable wave duct layer is present, overlain by an unstable overreflective zone. This stratification creates an ideal channel for ducted gravity wave propagation, which is essential for maintaining the waves. Sensitivity experiments confirm that convective forcing alone is sufficient to generate the observed gravity waves. Although the terrain lies within the stable boundary layer, its ruggedness modulates the distribution of waves and indirectly influences the organization of elevated convection. Full article
(This article belongs to the Special Issue State-of-the-Art in Severe Weather Research)
Show Figures

Figure 1

13 pages, 4015 KB  
Article
Gravity-Driven Operation Mitigates Inorganic Fouling and Enables Low-Pressure Filtration in a Pilot-Scale Dynamic Membrane Bioreactor
by Xuechun Liu, Dezheng Lv, Lugao Jiang and Guoqiang Liu
Water 2025, 17(19), 2799; https://doi.org/10.3390/w17192799 - 23 Sep 2025
Viewed by 342
Abstract
The filtration behaviors of dynamic membrane (DM) under gravity-driven and pump-driven modes were investigated in a pilot-scale DM bioreactor (DMBR) for domestic wastewater treatment. After DM formation, both modes achieved effective solid–liquid separation, producing effluent with turbidity below 1 NTU, with the gravity-driven [...] Read more.
The filtration behaviors of dynamic membrane (DM) under gravity-driven and pump-driven modes were investigated in a pilot-scale DM bioreactor (DMBR) for domestic wastewater treatment. After DM formation, both modes achieved effective solid–liquid separation, producing effluent with turbidity below 1 NTU, with the gravity-driven module exhibiting marginally lower turbidity than the pump-driven system. Although the flux in the gravity-driven mode (30–48 L/m2·h) was approximately half that of the pump-driven mode, the transmembrane pressure (TMP) required was only 10–20% of that under the pump-driven operation. The DM formed under pump-driven conditions was thicker and more compact, leading to more frequent and rapid TMP increases. Inorganic content accounted for 85% of the pump-driven DM mass, significantly higher than that in the gravity-driven DM (50%) and activated sludge (15%), indicating a pronounced accumulation of inorganic solids on the mesh filter surface, particularly under the pump-driven operation. This accumulation increased filtration resistance and elevated TMP. Therefore, enhancing the removal of inorganic solids prior to the DMBR can improve system stability and facilitate broader application of the DMBR technology. Full article
Show Figures

Figure 1

17 pages, 25008 KB  
Article
apex Mk.2/Mk.3: Secure Live Transmission of the First Flight of Trichoplax adhaerens in Space Based on Components Off-the-Shelf
by Nico Maas, Jean-Pierre de Vera, Moritz Jonathan Schmidt, Pia Reimann, Jason G. Randall, Sebastian Feles, Ruth Hemmersbach, Bernd Schierwater and Jens Hauslage
Eng 2025, 6(9), 241; https://doi.org/10.3390/eng6090241 - 12 Sep 2025
Cited by 3 | Viewed by 536
Abstract
After the successful flight of the first Advanced Processors, Encryption, and Security Experiment (apex) Commercial Off-the-Shelf (COTS) On-Board Computer (OBC) during the Propulsion Technologies and Components of Launcher Stages (ATEK)/Material Physics Experiments Under Microgravity (MAPHEUS)-8 sounding rocket campaign, a second generation of COTS [...] Read more.
After the successful flight of the first Advanced Processors, Encryption, and Security Experiment (apex) Commercial Off-the-Shelf (COTS) On-Board Computer (OBC) during the Propulsion Technologies and Components of Launcher Stages (ATEK)/Material Physics Experiments Under Microgravity (MAPHEUS)-8 sounding rocket campaign, a second generation of COTS OBCs were built, leveraging the knowledge gained. This new concept and improvements are provided. The Mk.2 Science Camera Platform (SCP) has an instrumented high-definition science camera to research the behavior of small organisms such as Trichoplax adhaerens under challenging gravity conditions, while the Mk.3 Student Experiment Sensorboard (SES) represents an Arduino-like board that directly interfaces with the MAPHEUS Service Module and allows for rapid development of new sensor solutions on sounding rocket systems. Both experiments were flown successfully on MAPHEUS-10, including a biological system as a proof of concept, and paved the way for an even more capable third generation of apex OBCs. This study is part one of a three-part series describing the apex Mk.2/Mk.3 experiments, open-source ground segment, and service module simulator. Full article
(This article belongs to the Special Issue Interdisciplinary Insights in Engineering Research)
Show Figures

Figure 1

8 pages, 260 KB  
Communication
Generation of Zonal Flows in a Rotating Self-Gravitating Fluid
by Volodymyr M. Lashkin and Oleg K. Cheremnykh
Physics 2025, 7(3), 40; https://doi.org/10.3390/physics7030040 - 8 Sep 2025
Viewed by 474
Abstract
We demonstrate the possibility of generation of zonal (shear) flows in a rotating self-gravitating fluid. A set of equations describing the nonlinear interaction between a large-scale zonal flow (ZF) and a small-scale drift-gravity wave is derived. A nonlinear dispersion relation is obtained, from [...] Read more.
We demonstrate the possibility of generation of zonal (shear) flows in a rotating self-gravitating fluid. A set of equations describing the nonlinear interaction between a large-scale zonal flow (ZF) and a small-scale drift-gravity wave is derived. A nonlinear dispersion relation is obtained, from which the possible instability of the ZF follows. The necessary condition for instability in the space of wave numbers of the drift-gravity wave, as well as the instability threshold for the wave amplitude, are obtained. The growth rate of the modulation instability of ZF is found. The generation of ZFs is due to the Reynolds stresses produced by finite amplitude drift-gravity waves. Full article
Show Figures

Figure 1

16 pages, 3270 KB  
Article
Mass Impact of a Mounted Sprayer on the Operational Balance of an Agricultural Tractor
by Bruno Passador Lombardi, Alex Portelinha, Igor Cristian de Oliveira Vieira, Breno Santos-Silva, Samir Paulo Jasper, Rouverson Pereira da Silva and Tiago Rodrigo Francetto
AgriEngineering 2025, 7(9), 289; https://doi.org/10.3390/agriengineering7090289 - 4 Sep 2025
Viewed by 599
Abstract
The operational stability of agricultural tractors is directly influenced by the mass distribution between axles, particularly when using mounted implements with variable loads. This study aimed to evaluate how different masses of a mounted sprayer (550 kg, 850 kg, and 1150 kg) and [...] Read more.
The operational stability of agricultural tractors is directly influenced by the mass distribution between axles, particularly when using mounted implements with variable loads. This study aimed to evaluate how different masses of a mounted sprayer (550 kg, 850 kg, and 1150 kg) and tire inflation pressures (151.7–193.1 kPa) affect the load distribution between axles, tire contact area, center of gravity (CG) displacement, and tractor lead ratio. A 3 × 4 factorial design was adopted with a statistical analysis of key parameters across 12 experimental combinations. The results demonstrated that increasing implement mass significantly shifted the load toward the rear axle, reducing the front axle load by up to 46% and displacing the CG rearward by more than 11 cm, thereby compromising stability. Tire pressure, as well as the interaction between mass and pressure, also exhibited statistically significant influence on load distribution and CG positioning while modulating the tire contact area. The lead ratio increased linearly with mass, exceeding the recommended 5% threshold when the sprayer was at full capacity. These findings indicate that while the implement mass exerts a dominant effect, tire pressure management represents a statistically relevant factor for stability, requiring integrated management that considers the interaction between ballasting and tire inflation to mitigate operational risks. Full article
(This article belongs to the Collection Research Progress of Agricultural Machinery Testing)
Show Figures

Figure 1

24 pages, 5612 KB  
Article
Center-of-Gravity-Aware Graph Convolution for Unsafe Behavior Recognition of Construction Workers
by Peijian Jin, Shihao Guo and Chaoqun Li
Sensors 2025, 25(17), 5493; https://doi.org/10.3390/s25175493 - 4 Sep 2025
Viewed by 866
Abstract
Falls from height are a critical safety concern in the construction industry, underscoring the need for effective identification of high-risk worker behaviors near hazardous edges for proactive accident prevention. This study aimed to address this challenge by developing an improved action recognition model. [...] Read more.
Falls from height are a critical safety concern in the construction industry, underscoring the need for effective identification of high-risk worker behaviors near hazardous edges for proactive accident prevention. This study aimed to address this challenge by developing an improved action recognition model. We propose a novel dynamic spatio-temporal graph convolutional network (CoG-STGCN) that incorporates a center of gravity (CoG)-aware mechanism. The method computes global and local CoG using anthropometric priors and extracts four key dynamic CoG features, which a Multi-Layer Perceptron (MLP) then uses to generate modulation weights that dynamically adjust the skeleton graph’s adjacency matrix, enhancing sensitivity to stability changes. On a self-constructed dataset of eight typical edge-related hazardous behaviors, CoG-STGCN achieved a Top-1 accuracy of 95.83% (baseline ST-GCN: 93.75%) and an average accuracy of 94.17% in fivefold cross-validation (baseline ST-GCN: 92.91%), with significant improvements in recognizing actions involving rapid CoG shifts. The CoG-STGCN provides a more effective and physically informed approach for intelligent unsafe behavior recognition and early warning in built environments. Full article
(This article belongs to the Section Sensing and Imaging)
Show Figures

Figure 1

11 pages, 553 KB  
Communication
Clinical Deterioration in Dogs with Idiopathic Epilepsy Caused by E. coli Urinary Tract Infection
by Solveig Reeh, Teresa Schmidt, Holger Andreas Volk and Nina Meyerhoff
Animals 2025, 15(17), 2562; https://doi.org/10.3390/ani15172562 - 31 Aug 2025
Viewed by 1816
Abstract
Idiopathic epilepsy (IE) is a common chronic neurological disorder in dogs, and both its comorbidities and adverse effects of anti-seizure medication (ASM) can markedly reduce quality of life (QoL) for affected dogs and their caregivers. Concurrent conditions such as lower urinary tract infections [...] Read more.
Idiopathic epilepsy (IE) is a common chronic neurological disorder in dogs, and both its comorbidities and adverse effects of anti-seizure medication (ASM) can markedly reduce quality of life (QoL) for affected dogs and their caregivers. Concurrent conditions such as lower urinary tract infections (UTIs) may mimic ASM side effects or signs of disease progression, potentially leading to inappropriate dose adjustment or treatment discontinuation. This retrospective case series describes eight dogs with IE and Escherichia coli (E. coli) UTI, presenting with suspected worsening of ASM side effects. Reported deterioration lasted 1–55 days (mean 31), with behavioral changes (n = 5), lethargy (n = 5), new or worsened ataxia (n = 5), urinary incontinence (n = 3), polyuria (n = 3), polydipsia (n = 2), and additional signs such as weakness, exercise intolerance, panting, and cluster seizures. All dogs showed bacteriuria; urinary specific gravity was 1.020 ± 0.013 (mean ± standard deviation) [range; 1.002–1.042]. E. coli (>106 CFU/mL) was isolated in all cases. Treatment with amoxicillin–clavulanic acid resulted in clinical improvement within 24–72 h; five dogs experienced UTI relapse, again with clinical deterioration. Findings emphasize the importance of recognizing and treating UTIs in epileptic dogs to avoid misinterpretation as ASM toxicity and possible worsening of seizure control. Prospective studies are needed to clarify potential links between ASM, urinary dilution, immune modulation, and infection risk. Full article
(This article belongs to the Section Companion Animals)
Show Figures

Figure 1

19 pages, 11346 KB  
Article
Seasonal and Interannual Variations in Hydrological Dynamics of the Amazon Basin: Insights from Geodetic Observations
by Meilin He, Tao Chen, Yuanjin Pan, Lv Zhou, Yifei Lv and Lewen Zhao
Remote Sens. 2025, 17(15), 2739; https://doi.org/10.3390/rs17152739 - 7 Aug 2025
Viewed by 592
Abstract
The Amazon Basin plays a crucial role in the global hydrological cycle, where seasonal and interannual variations in terrestrial water storage (TWS) are essential for understanding climate–hydrology coupling mechanisms. This study utilizes data from the Gravity Recovery and Climate Experiment (GRACE) satellite mission [...] Read more.
The Amazon Basin plays a crucial role in the global hydrological cycle, where seasonal and interannual variations in terrestrial water storage (TWS) are essential for understanding climate–hydrology coupling mechanisms. This study utilizes data from the Gravity Recovery and Climate Experiment (GRACE) satellite mission and its follow-on mission (GRACE-FO, collectively referred to as GRACE) to investigate the spatiotemporal dynamics of hydrological mass changes in the Amazon Basin from 2002 to 2021. Results reveal pronounced spatial heterogeneity in the annual amplitude of TWS, exceeding 65 cm near the Amazon River and decreasing to less than 25 cm in peripheral mountainous regions. This distribution likely reflects the interplay between precipitation and topography. Vertical displacement measurements from the Global Navigation Satellite System (GNSS) show strong correlations with GRACE-derived hydrological load deformation (mean Pearson correlation coefficient = 0.72) and reduce its root mean square (RMS) by 35%. Furthermore, the study demonstrates that existing hydrological models, which neglect groundwater dynamics, underestimate hydrological load deformation. Principal component analysis (PCA) of the Amazon GNSS network demonstrates that the first principal component (PC) of GNSS vertical displacement aligns with abrupt interannual TWS fluctuations identified by GRACE during 2010–2011, 2011–2012, 2013–2014, 2015–2016, and 2020–2021. These fluctuations coincide with extreme precipitation events associated with the El Niño–Southern Oscillation (ENSO), confirming that ENSO modulates basin-scale interannual hydrological variability primarily through precipitation anomalies. This study provides new insights for predicting extreme hydrological events under climate warming and offers a methodological framework applicable to other critical global hydrological regions. Full article
Show Figures

Graphical abstract

24 pages, 8778 KB  
Article
Predictive Models for Single-Droplet Ignition in Static High-Temperature Air in Different Gravity Environments
by Xiaoyang Lan, Huilong Zheng, Yu Fang, Xianzhang Peng, Xiaofang Yang and Xiaowu Zhang
Appl. Sci. 2025, 15(12), 6558; https://doi.org/10.3390/app15126558 - 11 Jun 2025
Viewed by 717
Abstract
To address the design and optimization of the ignition system for the microgravity single-droplet combustion experiment module within the Combustion Science Experimental System (CSES) aboard the Chinese Space Station (CSS), it is essential to first determine the ignition temperatures required for typical liquid [...] Read more.
To address the design and optimization of the ignition system for the microgravity single-droplet combustion experiment module within the Combustion Science Experimental System (CSES) aboard the Chinese Space Station (CSS), it is essential to first determine the ignition temperatures required for typical liquid fuel droplets. In this study, ignition experiments were conducted on droplets of three representative hydrocarbon fuels—ethanol, n-heptane, and n-dodecane—in static air at high temperatures ranging from 760 K to 1100 K. The experimental results show that the initial droplet diameter is inversely correlated with the ambient temperature at which ignition occurs. Subsequently, based on Frank-Kamenetskii’s analytical method and combined with experimental data, a semi-empirical predictive model for droplet ignition temperatures in a normal-gravity environment was derived. Building upon this, and considering the characteristics of the microgravity environment, an appropriate empirical formula was applied to refine the model, resulting in a predictive model for droplet ignition temperatures in the microgravity environment. Furthermore, by comparing the experimental data and the observed phenomena from existing microgravity experiments, this semi-empirical predictive model used in the microgravity environment effectively reflects the trend of droplet ignition temperature variations. Full article
Show Figures

Figure 1

12 pages, 2686 KB  
Article
Single-Cell Transcriptomics Unveils the Mechanistic Role of FOSL1 in Cutaneous Wound Healing
by Jingbi Meng, Ge Zheng, Yinli Luo, Ling Ge, Zhiqing Liu, Wenhua Huang, Meitong Jin, Yanli Kong, Shanhua Xu, Zhehu Jin and Longquan Pi
Biomedicines 2025, 13(6), 1330; https://doi.org/10.3390/biomedicines13061330 - 29 May 2025
Viewed by 1129
Abstract
Background: The skin, a complex organ vital for protecting the body against environmental challenges, undergoes a multifaceted wound healing process involving hemostasis, inflammation, proliferation, and remodeling. The transcription factor FOSL1 has been implicated in various cellular processes crucial for wound healing, including cell [...] Read more.
Background: The skin, a complex organ vital for protecting the body against environmental challenges, undergoes a multifaceted wound healing process involving hemostasis, inflammation, proliferation, and remodeling. The transcription factor FOSL1 has been implicated in various cellular processes crucial for wound healing, including cell cycle regulation, differentiation, and apoptosis. We hypothesize that FOSL1 is a key regulator of wound healing processes. Objective: The objective of this study was to investigate the role of FOSL1 in cutaneous wound healing, identify the core signaling pathways involved, and assess FOSL1′s potential as a therapeutic target. Method: We utilized datasets from the Gene Expression Omnibus (GEO) and applied the ‘limma’ package to discern differentially expressed genes (DEGs). We intersected these DEGs with transcription factor-associated genes from the TRRUST database. Subsequently, we constructed Protein–Protein Interaction (PPI) networks via the STRING database. Machine learning algorithms were instrumental in identifying pivotal genes, a finding corroborated through animal modeling and Western blot analysis of tissue samples. To elucidate biological pathway activities from gene expression data, we deployed the ‘PROGENy’ package, complemented by machine learning for precise pathway identification. Furthermore, Gene Set Variation Analysis (GSVA) was executed across Hallmark, biological process (BP), molecular function (MF), and cellular component (CC) categories to deepen our understanding of the wound healing process. Results: Our analysis revealed that FOSL1 is significantly upregulated in wounded skin. The Mitogen-Activated Protein Kinase (MAPK) and Epidermal Growth Factor Receptor (EGFR) pathways were identified as significantly associated with FOSL1. GSVA identifies critical changes in wound healing processes like ‘apical junction’ and ‘epithelial–mesenchymal transition.’ The upregulation of ‘cytoplasm organization’ and ‘response to gravity’ suggests roles in cellular adaptation. Molecular function analysis indicates alterations in ‘cytokeratin filaments’ and ‘growth factor binding,’ which are key for tissue repair. Cellular component shifts in ‘postsynaptic cytosol’ and ‘endoplasmic reticulum’ suggest changes in communication and protein processing. Conclusions: Our study identifies FOSL1 as a potential regulator of cutaneous wound healing through its modulation of cellular signaling pathways, offering novel insights into the molecular control of tissue repair. These findings highlight FOSL1 as a promising therapeutic target to accelerate healing in chronic or impaired wounds. Full article
(This article belongs to the Section Cell Biology and Pathology)
Show Figures

Figure 1

17 pages, 5196 KB  
Article
Upregulation of an IAA-Glucosyltransferase OsIAGLU in Rice (Oryza sativa L.) Impairs Root Gravitropism by Disrupting Starch Granule Homeostasis
by Guo Chen, Xiaoyu Fu, Xinya Ruan, Xiaolu Yu, Dianyun Hou and Huawei Xu
Plants 2025, 14(10), 1557; https://doi.org/10.3390/plants14101557 - 21 May 2025
Viewed by 565
Abstract
Indole-3-acetic acid (IAA) glycosyltransferase (IAGLU) plays vital roles in modulating plant development and responses to environmental cues. Here, we elucidate the regulatory mechanism of OsIAGLU in modulating root gravitropism using OsIAGLU-overexpressing (OE) rice (Oryza sativa L.). OsIAGLU upregulation substantially decreases IAA [...] Read more.
Indole-3-acetic acid (IAA) glycosyltransferase (IAGLU) plays vital roles in modulating plant development and responses to environmental cues. Here, we elucidate the regulatory mechanism of OsIAGLU in modulating root gravitropism using OsIAGLU-overexpressing (OE) rice (Oryza sativa L.). OsIAGLU upregulation substantially decreases IAA levels, resulting in the impairment of multiple agronomic traits and root gravitropism, as well as nearly complete suppression of starch granule accumulation in rice root tips. Exogenous application of the auxin analog 1-naphthaleneacetic acid (NAA) effectively rescued both starch granule accumulation and root gravitropism. Starch synthesis genes exhibited relatively stable or slightly decreased expression following NAA treatments, whereas all starch degradation genes displayed a consistent downward trend in expression after NAA treatment. This suggests that starch degradation genes may play a more prominent role in regulating starch granule accumulation in rice roots, contrasting sharply with their roles in Arabidopsis. Moreover, decreased auxin levels perturbed the accumulation and distribution of hydrogen peroxide (H2O2) in rice root tips, while NAA treatment restored normal H2O2 distribution and accumulation in OE roots. This study clearly demonstrates that auxin not only functions in regulating agronomic traits but also plays an essential role in gravity perception by modulating starch granule accumulation in rice root tips. Full article
Show Figures

Figure 1

26 pages, 12155 KB  
Article
Cross-Scenario Subdomain Adaptive Displacement Anomaly Detection in Dams
by Yu Wang and Guohua Liu
Sensors 2025, 25(10), 2984; https://doi.org/10.3390/s25102984 - 9 May 2025
Cited by 1 | Viewed by 511
Abstract
To overcome the challenges of limited data, domain distribution differences, and the need for retraining in unsupervised learning methods for cross-scenario anomaly detection in dams, this study introduces a novel approach; the Temporal Displacement Subdomain Adaptation Network (TDSAN) combines temporal convolutional networks with [...] Read more.
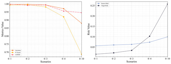
To overcome the challenges of limited data, domain distribution differences, and the need for retraining in unsupervised learning methods for cross-scenario anomaly detection in dams, this study introduces a novel approach; the Temporal Displacement Subdomain Adaptation Network (TDSAN) combines temporal convolutional networks with subdomain adaption. This study presents the first application of subdomain adaptation for cross-scenario anomaly detection in dams, addressing distribution shifts across varying operational conditions. The proposed method comprises three key components: a feature extraction network leveraging temporal convolutional layers to capture long-term displacement patterns, a classifier network with fully connected layers to distinguish between normal and anomalous behaviors, and a domain alignment module that uses Local Maximum Mean Discrepancy (LMMD) to align feature distributions between the source and target domains, thereby enhancing the method’s robustness. The approach was validated using data from gravity and arch dams in a specific canyon region in China. The results show that the proposed method demonstrates high classification accuracy and stability in both same-domain and cross-domain scenarios. Compared to other state-of-the-art methods, the proposed approach demonstrates superior classification accuracy and more reliable risk control. This makes it particularly well-suited for cross-domain applications, which are prevalent in real-world engineering scenarios, thereby significantly enhancing its practical applicability. Full article
(This article belongs to the Section Sensor Networks)
Show Figures

Figure 1

23 pages, 6054 KB  
Article
Inversion of Gravity Anomalies Based on U-Net Network
by Fei Yu, Guiju Wu, Yufei Xi, Fan Wang, Jiapei Wang, Rui Zhang and Qinghong Long
Symmetry 2025, 17(4), 523; https://doi.org/10.3390/sym17040523 - 30 Mar 2025
Viewed by 835
Abstract
The deep learning-based gravity anomaly inversion method addresses the complex challenge of deriving subsurface density variation models from surface gravity anomaly data. In order to generate various geological environments and their corresponding surface gravity anomaly datasets, three-dimensional density models considering different spatial locations [...] Read more.
The deep learning-based gravity anomaly inversion method addresses the complex challenge of deriving subsurface density variation models from surface gravity anomaly data. In order to generate various geological environments and their corresponding surface gravity anomaly datasets, three-dimensional density models considering different spatial locations and density variations are created in this paper. At the same time, the residual module and spatial attention mechanism are introduced into the U-Net architecture to improve the learning ability and inversion accuracy of complex geological structures. Experimental results demonstrate that the proposed method achieves the high-precision reconstruction of density variation models in complex anomaly environments, with a model residual error lower than 3%. Additionally, the inversion results of the density change and the gravity change in the Longshoushan fault zone show that the 2022 Menyuan MS6.9 earthquake is in the middle of the positive and negative density changes, which verifies the applicability of the U-Net network in the field of gravity change data, highlighting the method’s value in the real-world environment. Full article
Show Figures

Figure 1

23 pages, 2986 KB  
Article
Dynamic Mechanical Load as a Trigger for Growth and Proliferation in Porcine Epithelial Cells
by Stefan Kahlert, Constanze Nossol, Marcus Krüger, Sascha Kopp, Daniela Grimm, Simon L. Wuest and Hermann-Josef Rothkötter
Biomolecules 2025, 15(3), 455; https://doi.org/10.3390/biom15030455 - 20 Mar 2025
Cited by 2 | Viewed by 790
Abstract
The impact of gravity is a basic force determining our existence on Earth. Changes in orientation with respect to the gravity vector trigger alternating mechanical forces on organisms, organs, and cells. In the intestines of mammals, epithelial cells are continuously exposed to changed [...] Read more.
The impact of gravity is a basic force determining our existence on Earth. Changes in orientation with respect to the gravity vector trigger alternating mechanical forces on organisms, organs, and cells. In the intestines of mammals, epithelial cells are continuously exposed to changed orientations to gravity. In this study, we employed dynamic cultivation systems to mimic the load changes and the resulting mechanical forces. The morphological and functional response of non-cancer-derived porcine epithelial cell lines IPEC-1 and IPEC-J2 was analyzed. We found that dynamic growth conditions affect morphology in the enterocyte model IPEC-1 but not in IPEC-J2. Changes in IPEC-1 were accompanied by modifications of the distribution and structure of the F-actin cytoskeleton rather than the amount. The structure of the apical brush border and the tight junction system seemed to be largely unaffected; however, a robust decrease in transepithelial resistance was found in IPEC-1 and partially in IPEC-J2. We further detected an increase in Ki67, pointing towards accelerated proliferation. In line with this finding, we detected a doubling of cellular mitochondrial respiration, which was not linked to a general increase in the respiratory chain capacity. Dynamic cultivation of confluent epithelial cell layers did not evoke signs of senescence. In summary, we identified the mechanical load cycle as a relevant parameter for the modulation of the morphological structure and physiological behaviour of intestinal epithelial cells. Full article
Show Figures

Figure 1

Back to TopTop