Sign in to use this feature.

Years

Between: -

Subjects

remove_circle_outline
remove_circle_outline
remove_circle_outline
remove_circle_outline
remove_circle_outline
remove_circle_outline
remove_circle_outline
remove_circle_outline
remove_circle_outline

Journals

remove_circle_outline
remove_circle_outline
remove_circle_outline
remove_circle_outline
remove_circle_outline
remove_circle_outline
remove_circle_outline
remove_circle_outline
remove_circle_outline

Article Types

Countries / Regions

remove_circle_outline
remove_circle_outline
remove_circle_outline
remove_circle_outline
remove_circle_outline
remove_circle_outline
remove_circle_outline
remove_circle_outline
remove_circle_outline
remove_circle_outline

Search Results (2,770)

Search Parameters:
Keywords = geological indicators

Order results
Result details
Results per page
Select all
Export citation of selected articles as:
25 pages, 6661 KB  
Article
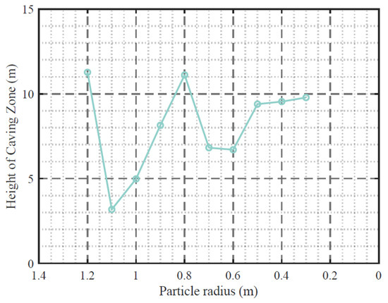
Rapid Prediction for Overburden Caving Zone of Underground Excavations
by Zihan Zhang, Chaoshui Xu, Zhao Feng Tian, Feng Xiong and John Centofonti
Geotechnics 2026, 6(1), 14; https://doi.org/10.3390/geotechnics6010014 (registering DOI) - 2 Feb 2026
Abstract
Underground coal gasification (UCG) is an emerging energy technology that involves the in situ conversion of coal into syngas through controlled combustion within a subsurface excavation. The geomechanical processes associated with UCG can lead to significant overburden caving and surface subsidence, posing risks [...] Read more.
Underground coal gasification (UCG) is an emerging energy technology that involves the in situ conversion of coal into syngas through controlled combustion within a subsurface excavation. The geomechanical processes associated with UCG can lead to significant overburden caving and surface subsidence, posing risks to surface infrastructure and groundwater systems. To accurately predict the size of overburden caving zones and associated surface subsidence, a prediction model was developed based on simulation results using discrete element method (DEM) numerical models. The main purpose of developing such a model is to establish a systematic and computationally efficient method for the rapid prediction of the height of overburden caving and its associated surface subsidence induced by underground excavation. The model is broadly applicable to different types of underground excavations, and UCG is used in this study as a representative application scenario to demonstrate the relevance and performance of the model. Sensitivity analysis indicates that excavation span, tensile strength, and burial depth are the primary controls on the height of the caving zone within the ranges of parameters investigated. Rock density is retained as a secondary background parameter to represent gravitational loading and its contribution to the in situ stress level. The derived model was validated using published numerical, experimental, and field measurement data, showing good agreement within practical ranges. To further demonstrate the application of the model developed, the predicted caving geometries were incorporated into finite element method (FEM) models to simulate surface subsidence under different geological conditions. The results highlight that the arch structure formed by overburden caving can help redistribute stresses and thereby reduce surface deformation. The proposed model provides a practical, parameter-driven tool to assist in underground excavation design, environmental risk evaluation, and ground stability management. Full article
Show Figures

Figure 1

31 pages, 6852 KB  
Article
Digital Governance and Geohazard Mitigation in Post-Earthquake Reconstruction: The 2018 Etna Case Study
by Giovanni Scapellato, Giuseppe Licciardello, Giuseppe Lorenzo Maria Blanco, Francesco Campione, Maria Letizia Carbone, Salvatore Castorina, Antonio Mirko Londino, Mariangela Riggio, Giuseppe Sapienza, Giuseppe Scrofana, Salvatore Tomarchio, Salvatore Scalia and Marco Neri
GeoHazards 2026, 7(1), 16; https://doi.org/10.3390/geohazards7010016 (registering DOI) - 1 Feb 2026
Abstract
Post-disaster reconstruction requires instruments capable of ensuring procedural consistency, administrative transparency, and the systematic integration of geohazards, all of which are essential for safeguarding communities. This study presents the digital platform established under Italian Law 55/2019 for the reconstruction of the areas on [...] Read more.
Post-disaster reconstruction requires instruments capable of ensuring procedural consistency, administrative transparency, and the systematic integration of geohazards, all of which are essential for safeguarding communities. This study presents the digital platform established under Italian Law 55/2019 for the reconstruction of the areas on Mt. Etna affected by the Mw 4.9 earthquake of 26 December 2018, emphasizing its innovative contribution to current international approaches to reconstruction governance. The platform standardizes the entire administrative workflow and is centered on the Parametric Form, which enables an objective calculation of eligible reconstruction grants based on damage indicators, vulnerability metrics, and parametric cost functions. A defining feature of the Etna model is the structural integration between administrative procedures and geohazard mitigation, achieved through updated hazard maps and protocols that incorporate geological, hydrogeological, and geomorphological conditions. This approach reframes reconstruction as an opportunity to reduce overall territorial vulnerability. The system also includes public monitoring tools (WebGIS and dashboards) that enhance traceability, compliance, and stakeholder engagement. Expected outcomes include shorter administrative timelines, improved interinstitutional coordination, and the potential transferability of the model to other emergency contexts. In comparison with international cases, the Etna experience represents an original integration of digitalization, parametric assessment, and site-specific hazard mitigation. Full article
Show Figures

Graphical abstract

29 pages, 3650 KB  
Article
Decoding LSTM to Reveal Baseflow Contributions in Fractured and Sedimentary Mountain Basins: A Case Study in the Sangre de Cristo Mountains, Southwestern United States
by Michael Rosati, Yeo H. Lim, Katie Zemlick and Kamran Syed
Hydrology 2026, 13(2), 51; https://doi.org/10.3390/hydrology13020051 (registering DOI) - 1 Feb 2026
Abstract
This study investigates how a Long Short-Term Memory (LSTM) model internally represents baseflow contributions in snowmelt-driven, semi-arid mountain basins with heterogeneous geologic characteristics. Five basins in the Sangre de Cristo Mountains of northern New Mexico, spanning fractured Precambrian bedrock and sedimentary-volcanic terrain, were [...] Read more.
This study investigates how a Long Short-Term Memory (LSTM) model internally represents baseflow contributions in snowmelt-driven, semi-arid mountain basins with heterogeneous geologic characteristics. Five basins in the Sangre de Cristo Mountains of northern New Mexico, spanning fractured Precambrian bedrock and sedimentary-volcanic terrain, were used to evaluate both model performance and interpretability. Baseflow dynamics were inferred post hoc using the Baseflow Index (BFI) and a two-reservoir HEC-HMS (Hydrologic Engineering Center’s Hydrologic Modeling System) model. Although baseflow components were not explicitly included in model training, internal cell state activations exhibited strong correlations with both shallow and deep baseflow components derived from the HEC-HMS model. To better understand how these relationships may change under climatic stress, BFI-based baseflow patterns were further analyzed under pre-drought and drought conditions. Results indicate that the internal LSTM states differentiated patterns consistent with short- and long-residence flow paths, reflecting physically interpretable hydrologic behavior. This work demonstrates the potential of LSTM models to provide valuable insights into baseflow generation and groundwater–surface water interactions, which is especially critical in water-scarce regions facing increasing drought frequency. Full article
Show Figures

Figure 1

26 pages, 4464 KB  
Article
A TCN–BiLSTM–Logarithmic Attention Hybrid Model for Predicting TBM Cutterhead Torque in Excavation
by Jinliang Li, Sulong Liu, Bin Liu, Xing Huang and Bin Song
Appl. Sci. 2026, 16(3), 1425; https://doi.org/10.3390/app16031425 - 30 Jan 2026
Cited by 1 | Viewed by 65
Abstract
To enhance intelligent decision-making for tunneling operations in complex geological conditions, this study proposes a high-precision prediction method for TBM cutterhead torque using engineering data from the west return-air roadway of the Shoushan No. 1 Mine in Pingdingshan, Henan (China). A multisource dataset [...] Read more.
To enhance intelligent decision-making for tunneling operations in complex geological conditions, this study proposes a high-precision prediction method for TBM cutterhead torque using engineering data from the west return-air roadway of the Shoushan No. 1 Mine in Pingdingshan, Henan (China). A multisource dataset integrating geological exploration data, TBM electro-hydraulic parameters, and surrounding rock–TBM interaction indicators was constructed and preprocessed through outlier removal, interpolation restoration, and Savitzky–Golay filtering to extract high-quality steady-state features. To capture the mechanical properties of composite strata, the equivalent strength parameter of composite strata and an integrity-classification index were introduced as key predictors. Based on these inputs, a hybrid TCN–BiLSTM–Logarithmic Attention model was developed to jointly extract local temporal patterns, model global dependencies, and emphasize critical operating responses. Testing results show that the proposed model consistently outperforms TCN, BiLSTM, and TCN-BiLSTM baselines under intact, transitional, and fractured rock conditions. It achieves an RMSE (19.85) and MAPE (3.72%) in intact strata, while in fractured strata RMSE (29.55) and MAPE (10.82%) are reduced by 23.5% and 22.7% relative to TCN. Performance in transitional strata is likewise superior. Overall, the TCN–BiLSTM–Logarithmic Attention model demonstrates the highest prediction accuracy across intact, transitional, and fractured strata; effectively captures the mechanical characteristics of composite formations; and achieves robust and high-precision prediction of TBM cutterhead torque in complex geological environments. Full article
(This article belongs to the Special Issue Tunnel Construction and Underground Engineering)
16 pages, 6876 KB  
Article
GIS-Based Preliminary Evaluation for Exploration and Development of Hot Dry Rock Resources in the Central-Southern Subei Basin
by Hong Xiang, Jian Song, Yahui Yao, Wenhao Xu, Yongbiao Yang, Jun Chen and Junyan Cui
Energies 2026, 19(3), 742; https://doi.org/10.3390/en19030742 - 30 Jan 2026
Viewed by 66
Abstract
Hot dry rock (HDR), characterized by high temperature, vast reserves, and significant development potential, is one of the most important clean energy sources for the future. This study focuses on the Jianhu Uplift and Dongtai Depression in the southern part of the Subei [...] Read more.
Hot dry rock (HDR), characterized by high temperature, vast reserves, and significant development potential, is one of the most important clean energy sources for the future. This study focuses on the Jianhu Uplift and Dongtai Depression in the southern part of the Subei Basin as the research area, conducting systematic target optimization research on HDR geothermal resources within the Cambrian–Ordovician carbonate strata. By systematically compiling regional geothermal geological data, an evaluation index system for target optimization of geothermal resources was established, incorporating two categories of indicators: resource conditions (thermal reservoir temperature and roof burial depth) and environmental impact (urban area safety distance and fault safety distance). Using the Analytic Hierarchy Process (AHP) and GIS spatial overlay analysis, the study area was evaluated for HDR geothermal resource exploration zoning, ultimately delineating three levels of preferred zones. The evaluation results indicate that the target area of the Cambrian–Ordovician geothermal reservoir is extensive, with the Dongtai Depression exhibiting a larger distribution of preferred zones. This study provides a reference for the optimization of target areas in geothermal resource exploration and development. Full article
Show Figures

Figure 1

26 pages, 9911 KB  
Article
Origins, Distribution, and Migration of Alkali Metals in High-Sodium Naomaohu Coal During Fixed-Bed Gasification
by Yaofeng Hu, Xin Guo, Yuegang Tang and Haonan Zhang
Minerals 2026, 16(2), 161; https://doi.org/10.3390/min16020161 - 30 Jan 2026
Viewed by 153
Abstract
Naomaohu coal from the Santanghu Basin, Xinjiang, is characterized by anomalously high Na and Ca contents, which strongly affect its gasification behavior and slagging tendency. However, the genetic linkage between geological alkali enrichment and their transformation during thermal processes remains insufficiently constrained. In [...] Read more.
Naomaohu coal from the Santanghu Basin, Xinjiang, is characterized by anomalously high Na and Ca contents, which strongly affect its gasification behavior and slagging tendency. However, the genetic linkage between geological alkali enrichment and their transformation during thermal processes remains insufficiently constrained. In this study, an integrated investigation combining coal seam profile analysis, coal petrography, mineralogical characterization, and fixed-bed gasification experiments was conducted to elucidate the enrichment mechanisms and transformation pathways of alkali and alkaline earth metals (AAEMs). A total of forty six samples were collected along a vertical seam profile to determine the depositional control of alkali and alkaline earth metals (AAEMs), and seven representative samples were further subjected to pressurized fixed-bed gasification. Alkali migration and mineral phase evolution were systematically analyzed using XRD, XRF, and SEM-EDS. The results indicate that Na enrichment is mainly controlled by groundwater infiltration and weak paleoweathering, while Ca accumulation reflects deposition in humid, Ca-rich mire environments. During gasification, Na volatilizes and recondenses as Na-feldspars (NaAlSi2O6) and NaCl, whereas Ca decomposes into gehlenite (Ca2Al2SiO7) and brownmillerite (Ca2AlFeO5). The formation of these low-melting Na–Al–Si phases and Ca–Fe–Al phases dominate the ash fusion and slagging behavior. This study establishes a coupled geological–thermal transformation model for AAEMs in high-Na coal, providing mechanistic insight into mineralogical inheritance and offering guidance for mitigating alkali-induced slagging during gasification. Full article
(This article belongs to the Section Mineral Geochemistry and Geochronology)
Show Figures

Figure 1

18 pages, 3239 KB  
Article
Monitoring-Based Assessment of Deformation Behavior and Support Effectiveness in a Deep Hard Rock Drift
by Shaolong Qin, Xingdong Zhao, Jingyi Song, Shuzhao Ma, Fan Wang, Chenxi Wang and Yingjie Wang
Appl. Sci. 2026, 16(3), 1388; https://doi.org/10.3390/app16031388 - 29 Jan 2026
Viewed by 179
Abstract
To reveal the real deformation behavior and control mechanism of surrounding rock in hard rock drifts under deep high-stress conditions, a systematic study was conducted involving engineering geological investigation, in situ monitoring of surrounding rock microstrain, and numerical simulation, taking the −1465 m [...] Read more.
To reveal the real deformation behavior and control mechanism of surrounding rock in hard rock drifts under deep high-stress conditions, a systematic study was conducted involving engineering geological investigation, in situ monitoring of surrounding rock microstrain, and numerical simulation, taking the −1465 m deep main drift of Shaling Gold Mine as the engineering background. Joint and fissure characteristics of the surrounding rock were acquired via the traverse method, and dominant joint sets were identified to evaluate rock mass integrity, providing a geological basis for deformation analysis. On this premise, vibrating wire microstrain sensors were employed to continuously monitor the time-dependent deformation of surrounding rock at different depths in the drift roof and two sidewalls. The strain evolution law of deep hard rock surrounding rock under the combined action of excavation disturbance and high ground stress was systematically analyzed. The results demonstrate that the surrounding rock is dominated by compressive strain in the early stage after excavation, which gradually transforms into tensile strain over time, exhibiting distinct time-dependent deformation characteristics. The deformation magnitude of the surrounding rock decreases significantly with increasing distance from the drift exposure surface, and the overall deformation amplitude of the roof is greater than that of the two sidewalls. Integrating the monitoring results with the surrounding rock structural characteristics, a combined support scheme of “resin rock bolt + wire mesh + shotcrete” was proposed, and its control effect was verified using RS2 numerical simulation. The simulation results indicate that this support system can effectively constrain the near-surface surrounding rock deformation, reduce the degree of stress concentration, and significantly improve drift stability. The research findings provide engineering references for understanding the surrounding rock deformation and optimizing support parameters of deep hard rock drifts in metal mines. Full article
Show Figures

Figure 1

28 pages, 2329 KB  
Article
Calculation of Buffer Zone Size for Critical Chain of Hydraulic Engineering Considering the Correlation of Construction Period Risk
by Shengjun Wang, Junqiang Ge, Jikun Zhang, Shengwei Su, Zihang Hu, Jianuo Gu and Xiangtian Nie
Buildings 2026, 16(3), 557; https://doi.org/10.3390/buildings16030557 - 29 Jan 2026
Viewed by 115
Abstract
Due to their large scale, long duration, complex geological conditions, and multiple stakeholders, water conservancy engineering projects are subject to diverse, interrelated, and uncertain risk factors that affect the construction timeline. Traditional critical chain buffer calculation methods, such as the cut-and-paste method and [...] Read more.
Due to their large scale, long duration, complex geological conditions, and multiple stakeholders, water conservancy engineering projects are subject to diverse, interrelated, and uncertain risk factors that affect the construction timeline. Traditional critical chain buffer calculation methods, such as the cut-and-paste method and the root variance method, typically assume the independence of risks, which limits their effectiveness in addressing schedule delays caused by correlated risk events. To overcome this limitation, this paper proposes a novel critical chain buffer calculation approach that explicitly incorporates risk correlation analysis. A fuzzy DEMATEL-ISM-BN model is employed to systematically identify the interrelationships and influence pathways among schedule risk factors. Bayesian network inference is then used to quantify the overall occurrence probability while accounting for risk correlations. By integrating critical chain management theory, risk impact coefficients are introduced to improve the traditional root variance method, resulting in a buffer calculation model that captures interdependencies among schedule risks. The effectiveness of the proposed model is validated through a case study of the X Pumped Storage Power Station. The results indicate that, compared with conventional methods, the proposed approach significantly enhances the robustness of project schedule planning under correlated risk conditions while appropriately increasing buffer sizes. Consequently, the adaptability and reliability of schedule control are improved. This study provides novel theoretical tools and practical insights for schedule risk management in complex engineering projects. Full article
(This article belongs to the Topic Sustainable Building Materials)
Show Figures

Figure 1

19 pages, 4841 KB  
Article
Spatial Patterns of Geodiversity and Their Relevance to Land Management in Mount Cangshan Global Geopark
by Benyan Xu, Jianfeng Yang, Yun Yu, Yuesheng Han and Ruiliang Wang
Land 2026, 15(2), 223; https://doi.org/10.3390/land15020223 - 29 Jan 2026
Viewed by 170
Abstract
Geodiversity assessment has become an important tool for understanding the spatial heterogeneity of abiotic elements and supporting conservation and land-use planning in protected areas. This study presents a comprehensive geodiversity assessment of the Mount Cangshan Global Geopark in Dali, Yunnan Province, China. The [...] Read more.
Geodiversity assessment has become an important tool for understanding the spatial heterogeneity of abiotic elements and supporting conservation and land-use planning in protected areas. This study presents a comprehensive geodiversity assessment of the Mount Cangshan Global Geopark in Dali, Yunnan Province, China. The primary objective was to develop a quantitative geodiversity evaluation model based on spatial density metrics, addressing existing gaps in subjective and non-reproducible assessment methods. The study integrates four key dimensions of geodiversity: geological units, structural geomorphology, hydrogeology, and soils and land cover. By employing a hybrid AHP-CRITIC method to assign both subjective and objective weights to indicators, the study computes the Geodiversity Index (GDI) to quantify and map geodiversity across the geopark. Results show significant spatial heterogeneity, with high-geodiversity areas concentrated in the central and northern regions, primarily driven by tectonic and geological complexity and glacial, fluvial, and hydrological processes. The results indicate that the GDI can be used as a reliable tool for geosite delineation, heritage management, and sustainable tourism development. The findings provide a framework for geodiversity assessment and support landscape-level land-use zoning, conservation prioritization and sustainable land management in mountain geoparks. Full article
Show Figures

Figure 1

24 pages, 16529 KB  
Article
Geology, Mineralogy, and Age of Li-Bearing Pegmatites: Case Study of Alday Area (Eastern Kazakhstan)
by Natalya A. Zimanovskaya, Indira E. Mataibayeva, Gulizat B. Orazbekova, Seib Nadine and Arailym Zh. Amrenova
Minerals 2026, 16(2), 148; https://doi.org/10.3390/min16020148 - 28 Jan 2026
Viewed by 70
Abstract
This study investigates the geological, mineralogical, and geochemical features of the Alday ore occurrence (Central Kalba, East Kazakhstan) and aims to identify indicators of rare-metal mineralization, with lithium considered to be one of its principal components. In this study, the structural–stratigraphic position of [...] Read more.
This study investigates the geological, mineralogical, and geochemical features of the Alday ore occurrence (Central Kalba, East Kazakhstan) and aims to identify indicators of rare-metal mineralization, with lithium considered to be one of its principal components. In this study, the structural–stratigraphic position of the occurrence is refined; three series of albite–spodumene pegmatites are identified; the compositions of the ore-bearing schists and the granitoids of the Kunush and Kalba complexes are compared; and the role of metasomatic alteration in the concentration of Li, Ta, Nb, Be, and Sn is established. The plagiogranites and dikes of the Kunush complex are characterized by Li anomalies (up to 306 g/t), Ta (up to 64 g/t), and a fractionated REE spectrum (La/Yb up to 108). In addition, the following predictive criteria are formulated: the presence of tectonically disrupted dikes in the Kunush complex with Na2O/K2O > 4, the presence of albite and muscovite alteration zones, and the presence of ladder-type spodumene-bearing pegmatites controlled by northwest-trending faults. The 40Ar/39Ar muscovite age of the Alday pegmatites (~292 Ma) aligns with the age range of the Kalba granite complex. Based on the main principles of rare-metal pegmatite generation, it is determined that the Tochka pegmatites were formed during the fluid–magmatic fractionation of magma in large granitic reservoirs of the Kalba complex. The Karagoin–Saryozek zone—located between several large granite massifs of the Kalba complex, where host rocks function as a roof—may be promising for investigating rare-metal pegmatite mineralization. Full article
Show Figures

Figure 1

24 pages, 5323 KB  
Article
Deformation Characteristics and Support Optimization for Deep Excavations in Sandy Cobble Strata Considering Adjacent Sensitive Structures: A Case Study of a Deep Excavation Project in Sichuan Province
by Yang Zhou, Chenglong Zhang, Qilin Zou, Rui Liu, Xiaoping Chen, Huaping Yang, Junhu Shao and Shili Yang
Buildings 2026, 16(3), 541; https://doi.org/10.3390/buildings16030541 - 28 Jan 2026
Viewed by 93
Abstract
As China’s urban underground area grows, deep foundation pit projects in complex geological circumstances, particularly near critical infrastructure, must adhere to tight deformation control guidelines. However, limited research has been conducted on the deformation behavior of internal bracing systems in Sichuan’s sandy cobble [...] Read more.
As China’s urban underground area grows, deep foundation pit projects in complex geological circumstances, particularly near critical infrastructure, must adhere to tight deformation control guidelines. However, limited research has been conducted on the deformation behavior of internal bracing systems in Sichuan’s sandy cobble strata. This research centers on a deep excavation near civil defense facilities in Pujiang County, Chengdu. We investigated the deformation characteristics of retaining piles and internal bracing systems using field monitoring, finite element simulations, and parameter sensitivity analysis, and proposed optimization solutions for the support scheme. Road settlement, pile-head vertical displacement, building settlement, and deep lateral displacement of retaining piles were all monitored in the field at different phases of excavation. MIDAS/GTS was used to generate a 3D finite element model that included bored piles as a contiguous pile wall. The model was verified against monitored data and showed a maximum variation of 3.7%. Parametric studies were conducted to optimize the equivalent stiffness of the contiguous pile wall and the standardized internal bracing system. The findings indicate that the maximum lateral displacement of retaining piles is the primary optimization restriction. Reducing the equivalent stiffness to 0.6t (relative to the baseline thickness t) causes displacement to surpass the warning threshold (35 mm), whereas increasing it to 1.2t or 1.4t limits deformation without incurring significant costs. Case G of the standardized internal bracing system ensures that the maximum pile displacement (21.95 mm) remains below the warning criterion (24.5 mm) while improving constructability. This work elucidates the deformation characteristics of internal bracing systems in sandy cobble strata near sensitive buildings, offering theoretical and practical assistance for comparable projects. Full article
19 pages, 5764 KB  
Article
Preliminary Analysis of Ground Subsidence in the Linfen–Yuncheng Basin Based on Sentinel-1A and Radarsat-2 Time-Series InSAR
by Yuting Wu, Longyong Chen, Peiguang Jing, Wenjie Li, Chang Huan and Zhijun Li
Remote Sens. 2026, 18(3), 424; https://doi.org/10.3390/rs18030424 - 28 Jan 2026
Viewed by 188
Abstract
The Linfen–Yuncheng Basin is located on the southern edge of the Fenwei Fault Zone, influenced by intense tectonic activity, thick Quaternary sedimentation, and anthropogenic disturbance, it exhibits prominent characteristics of ground subsidence and fissure development. However, uncertainties still exist regarding the primary controlling [...] Read more.
The Linfen–Yuncheng Basin is located on the southern edge of the Fenwei Fault Zone, influenced by intense tectonic activity, thick Quaternary sedimentation, and anthropogenic disturbance, it exhibits prominent characteristics of ground subsidence and fissure development. However, uncertainties still exist regarding the primary controlling factors of subsidence. This study employs multi-temporal InSAR data, combined with small baseline subset (SBAS–InSAR) technology to invert the high-precision ground line of sight deformation fields, and conducts time-series decomposition analysis using the Seasonal Trend Decomposition (STL) method. The results show that from 2017 to 2025, subsidence was mainly concentrated in the central and southern regions of the basin, with a maximum cumulative subsidence exceeding 200 mm and an average annual subsidence rate of −40 mm/year. Its spatial distribution is highly consistent with major structural zones such as the Zhongtiao Mountain Front Fault and the Linyi Fault, indicating that fault activity exerts a significant controlling effect on subsidence patterns. Groundwater level fluctuations are positively correlated with overall ground subsidence, and the response rate of different monitoring points is constrained by differences in aquifer depth and permeability. Groundwater aquifer points exhibit rapid and reversible subsidence response, while confined aquifer points are affected by low-permeability or compressible layers, showing a significant lag effect. The research results indicate that time-series analysis based on InSAR can not only effectively reveal the subsidence evolution process at different scales, but also provide a scientific basis for groundwater resource regulation, geological disaster prevention and control, and sustainable regional land utilization. Full article
(This article belongs to the Special Issue Role of SAR/InSAR Techniques in Investigating Ground Deformation)
Show Figures

Figure 1

14 pages, 3376 KB  
Article
Assessing the Safety and Seismic Performance of Existing Masonry Buildings Under Overall Inclination
by Zhian Jiao, Liangfu Ma, Hanghang Liu, Yufei Guo and Dan Xu
Buildings 2026, 16(3), 533; https://doi.org/10.3390/buildings16030533 - 28 Jan 2026
Viewed by 104
Abstract
The purpose of this study was to evaluate the potential safety hazards pertaining to the overall inclination of existing masonry structures. Taking a six-story masonry residential building in Tongling as the research subject, we established a systematic safety assessment framework. Through structural entity [...] Read more.
The purpose of this study was to evaluate the potential safety hazards pertaining to the overall inclination of existing masonry structures. Taking a six-story masonry residential building in Tongling as the research subject, we established a systematic safety assessment framework. Through structural entity testing, settlement monitoring, and geological surveys, uneven foundation settlement was identified as the primary cause of the building’s inclination. A finite element model was established via SAP2000 (Version 14) software to examine and verify the bearing capacity and seismic performance of the inclined structure, and a 1:4 scale shaking table test was designed to validate the seismic performance of the structure following inclination correction. The findings indicate that the primary bearing capacity of the building’s superstructure complied with the relevant code provisions. Time–history analysis under rare six-degree earthquake conditions showed that the maximum inter-story drift angle—defined as the ratio of the maximum inter-floor horizontal displacement to the floor height under the action of the standard seismic value—was 1/2018, which is lower than the limit value of 1/900 specified for the “moderate damage” performance level of masonry structures. During the shaking table test, the natural vibration frequency of the structure remained unchanged under earthquake actions ranging from frequent to rare six-degree events, with no visible cracks or significant damage detected. This assessment system provides a technical reference for the safety performance evaluation and subsequent inclination correction of similar inclined masonry structures. Full article
(This article belongs to the Special Issue Advances in Building Structure Analysis and Health Monitoring)
Show Figures

Figure 1

24 pages, 13605 KB  
Article
Synergistic Stability Control of Gob-Side Roadways with Small Coal Pillars: Theory and Field Practice
by Guangwen Liu, Xuehui Li, Changhu Li, Yujie Wu, Xinshuai Shi and JianGuo Ning
Processes 2026, 14(3), 460; https://doi.org/10.3390/pr14030460 - 28 Jan 2026
Viewed by 111
Abstract
To address the instability of small coal pillars in gob-side entry driving under thick and hard roof conditions, this study proposes a synergistic control technology combining “pressure relief, bundle control, and strong support”. First, a segmented deflection curve model of the coal pillar [...] Read more.
To address the instability of small coal pillars in gob-side entry driving under thick and hard roof conditions, this study proposes a synergistic control technology combining “pressure relief, bundle control, and strong support”. First, a segmented deflection curve model of the coal pillar was established to quantify the correlation between pillar deformation and dominant controlling factors. Numerical simulations (FLAC3D) were then performed to optimize the roof cutting parameters, determining an optimal cutting height of 23.2 m and a cutting angle of 9°. Based on these findings, a comprehensive control scheme was implemented in the Fucun Coal Mine. Field monitoring results indicate that the proposed technology effectively controlled the lateral displacement of the coal pillar to 264 mm and maintained the stability of the roadway. This study provides a theoretical basis and practical reference for deformation control in similar geological conditions. Full article
Show Figures

Figure 1

30 pages, 10362 KB  
Article
Real-Time Updating of Geochemical and Geometallurgical Spatial Models with Multivariate Ensemble Kalman Filtering: Application to Golgohar Iron Deposit
by Sajjad Talesh Hosseini, Omid Asghari, Xavier Emery, Jörg Benndorf, Andisheh Alimoradi and Sara Mehrali
Minerals 2026, 16(2), 141; https://doi.org/10.3390/min16020141 - 28 Jan 2026
Viewed by 197
Abstract
This paper presents an updatable stochastic geometallurgical framework that integrates geochemical compositions and processing-related variables within a unified spatial modeling and data assimilation workflow. The framework combines multivariate geostatistical simulation with real-time updating based on the Ensemble Kalman Filter, allowing stochastic realizations to [...] Read more.
This paper presents an updatable stochastic geometallurgical framework that integrates geochemical compositions and processing-related variables within a unified spatial modeling and data assimilation workflow. The framework combines multivariate geostatistical simulation with real-time updating based on the Ensemble Kalman Filter, allowing stochastic realizations to be sequentially adjusted as new production data become available. The methodology accounts for geological uncertainty, compositional constraints, and multivariate dependencies. This is achieved by combining the isometric log-ratio transformation with flow anamorphosis within a multivariate Gaussian framework. As a result, compositional geochemical variables and metallurgical responses can be updated consistently while preserving their physical and statistical relationships. The framework is demonstrated using the Gol Gohar iron ore deposit as a case study. Exploration drill hole data and production-scale blast hole measurements are assimilated within an ore control context. The results indicate that the update-enabled simulation approach reduces prediction errors and spatial uncertainty, while capturing complex, non-linear relationships among geometallurgical variables. The framework is generic and can be applied to other deposits where real-time integration of geological, geochemical, and processing information is needed to support operational decision-making. Full article
(This article belongs to the Special Issue Geostatistical Methods and Practices for Specific Ore Deposits)
Show Figures

Figure 1

Back to TopTop