A TCN–BiLSTM–Logarithmic Attention Hybrid Model for Predicting TBM Cutterhead Torque in Excavation
Abstract
1. Introduction
2. Project Overview
3. Principles of the Prediction Algorithms
3.1. TCN
3.2. BiLSTM
- it, ft, ot, Ct, and ht denote the outputs of the input gate, forget gate, output gate, cell state, and hidden state, respectively.
- Wf, Wi, Wc, and Wo are the weight matrices for the corresponding gates.
- bf, bi, bc, and bo are the bias vectors.
- σ(·) and tanh(·) represent the sigmoid and hyperbolic tangent activation functions, respectively.
3.3. Logarithmic Attention
- H is the input feature sequence.
- WQ, WK, WV are the corresponding learnable weight matrices.
- Softplus(·) is the positivization activation function, defined as Softplus(x) = ln(1 + ex).
- ε is a minimal constant added for numerical stability.
- log(·) denotes the natural logarithm, applied element-wise to tensors.
- ϕ(·) and ψ(·) are learnable linear transformation layers.
- Alog is the attention score matrix computed in the logarithmic space.
- The Softmax(·) function is applied to each row of Alog to produce a probability distribution.
- dk is the dimension of the key vectors, used as a scaling factor.
4. Establishment of a Hybrid Prediction Model for TBM Cutterhead Torque
4.1. Feature Parameter Selection
4.1.1. Machine Control Setting Parameters
4.1.2. Rock–Machine Interaction Parameters
4.1.3. Geological Feature Parameters
- (1)
- Soft-Hard Rock Ratio
- (2)
- Equivalent Strength Parameter of Composite Strata
- Is is the uncorrected point load strength index (MPa).
- P is the failure load (N).
- is the equivalent core diameter (mm).
- W is the average width of the minimum cross-section through the two loading points (mm).
- D is the distance between loading points (mm).
- Is(50) is the point load strength index for a standard specimen with a diameter of 50 mm (MPa).
- F is the size effect correction factor.
- σeq is the equivalent strength of the composite strata.
- H is the thickness of the rock layer.
- n is the number of rock types.
- (3)
- Surrounding Rock Integrity
4.1.4. Parameters Characterizing Rock Mass Excavatability
- (1)
- Field Penetration Index (FPI)
- (2)
- Torque Penetration Index (TPI)
- Th is the cutterhead thrust.
- T is the cutterhead torque.
- Fn is the thrust per cutter.
- Fr is the rolling force per cutter.
- Nct is the number of cutters.
- Dt is the cutterhead diameter (m).
- Fnm, Frm, and PRevm are the average values of thrust per cutter, rolling force per cutter, and penetration per revolution, respectively, over the sampling interval.
4.2. Data Preprocessing
4.2.1. Outlier Treatment
4.2.2. Noise Reduction Using Savitzky–Golay Filter
- m is the window size (an odd integer).
- M is the half-length of the window.
- xt+i are the original observed data points.
- n is the order of the polynomial.
- are the polynomial coefficients.
- are the optimal coefficients obtained from the least-squares fit.
- is the smoothed output value at time t.
4.3. Model Training
4.3.1. TCN–BiLSTM–Logarithmic Attention Architecture
- (1)
- TCN Encoder
- (2)
- BiLSTM Encoder
- (3)
- Logarithmic Attention
- (4)
- TCN Decoder
4.3.2. Model Hyperparameter Configuration
4.4. Evaluation Metrics
- (1)
- Mean Absolute Percentage Error (MAPE):
- (2)
- Root Mean Square Error (RMSE):
5. Results of the Predictive Model
5.1. Model Loss Results
5.2. Comparison of Prediction Performance Results
5.2.1. Intact Rock (Class 1)
5.2.2. Fractured Rock (Class 4)
5.2.3. Transition Rock (Class 3–4)
5.3. Feature Importance
6. Discussion and Conclusions
6.1. Discussion
6.1.1. Ablation Analysis of the Hybrid Model
- (1)
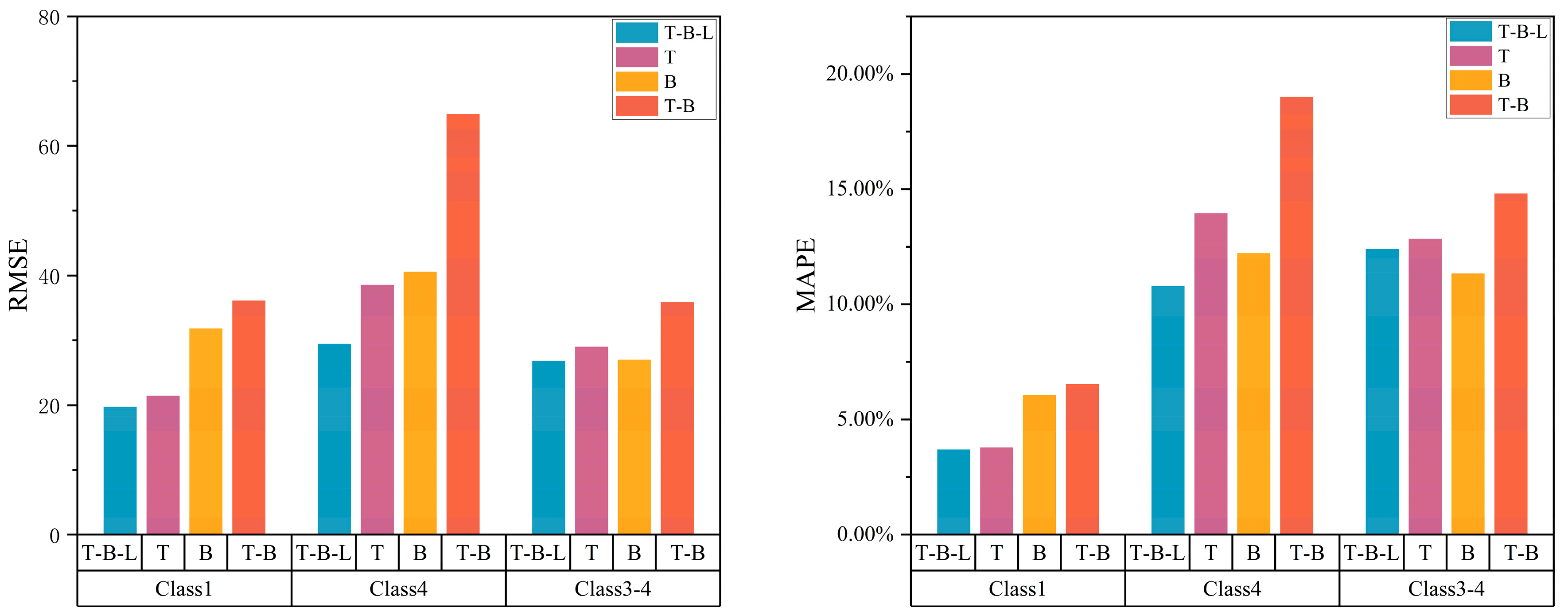
- As shown in Figure 15, the complete T-B-L model achieves the best prediction performance across all rock mass classes. In particular, under the most geologically complex conditions (Class 4), it significantly outperforms the other models, with a prediction error reduction of more than 50% compared to the T-B model without the attention mechanism. These results indicate that the rational introduction of feature selection and fusion mechanisms is critical for improving torque prediction accuracy in complex heterogeneous strata.
- (2)
- The standalone TCN model exhibits relatively stable prediction performance in intact rock masses; however, its performance degrades markedly in fractured and transitional rock masses. This indicates that while TCN is effective in extracting local transient features, it struggles to independently capture long-range temporal dependencies induced by the combined effects of lithological variation and excavation disturbance under complex geological conditions. In contrast, the BiLSTM model performs comparatively well in transitional rock masses, highlighting its strength in modeling long-term temporal dependencies. Nevertheless, its ability to respond to local abrupt variations remains limited.
- (3)
- The simple combination of TCN and BiLSTM in the T-B model fails to achieve effective synergy under varying geological conditions. In fractured rock masses, the prediction error even increases substantially, suggesting that direct feature concatenation without appropriate feature selection and weighting mechanisms may introduce redundancy or conflicts, thereby degrading overall model performance.
- (4)
- By incorporating a Logarithmic Attention mechanism, the T-B-L model maps the temporal features generated by the BiLSTM into the logarithmic domain, enabling the attention computation to emphasize the relative magnitude of key feature variations rather than absolute differences. This design allows the model to sensitively capture subtle yet critical rock–machine interaction signals and facilitates the effective integration of local transient features extracted by TCN with long-range temporal dependencies modeled by BiLSTM. As a result, the model achieves improved prediction accuracy and enhanced robustness in fractured strata and lithologically complex transitional zones.
6.1.2. Sensitivity Analysis of Input Features
- (1)
- To analyze the sensitivity of the model to variations in different input features, namely the impact of feature perturbations on prediction stability, the permutation importance method was employed.
- (2)
- Historical cutterhead torque exhibits the highest importance, which is consistent with the strong temporal autocorrelation inherent in TBM operational data. Total thrust and penetration per revolution (PRev) also show significant contributions. In addition, the newly introduced geological parameters—including the soft-to-hard rock ratio, equivalent strength, and rock mass integrity—demonstrate quantifiable contributions, confirming their effectiveness in capturing variations in geological conditions.
- (3)
- The overall importance values of individual features are relatively low, which can be attributed to the proposed TCN–BiLSTM–Logarithmic Attention hybrid model. This architecture achieves adaptive feature weighting through multi-module fusion; consequently, perturbations in any single feature exert a limited influence on the overall prediction performance, reflecting the robustness of the model.
- (4)
- The relatively low importance of machine performance indicators (FPI and TPI) suggests that, under the current composite strata dominated by geological–mechanical interactions, their contribution to instantaneous torque prediction is limited.
6.1.3. Research Limitations and Future Work
- (1)
- Although the model is based on field tunneling data acquired in real time, the data are currently stored locally and the model is developed and validated in an offline environment using historical records. Real-time deployment and integration into an actual TBM control system have not yet been realized. Future work will focus on implementing the proposed model in practical engineering applications, addressing challenges related to system compatibility, real-time data stream processing, and safety verification under actual tunneling conditions.
- (2)
- The generalizability of the proposed model across different TBM types (e.g., earth pressure balance TBMs versus open TBMs), machine diameters, and diverse geological conditions has yet to be systematically evaluated. Due to the difficulty of acquiring large-scale, consistent datasets spanning different excavation modes and geological environments, model validation in this study is limited to the specific engineering case presented. Future research should prioritize the collection and integration of multi-project datasets to enhance the model’s transferability and robustness across varied tunneling scenarios.
- (3)
- Future studies may further explore extending the prediction horizon to medium- and long-term scales by incorporating additional dynamic operational and geological indicators, and by evaluating model performance under extreme or previously unseen geological conditions.
6.2. Conclusions
- (1)
- A TBM tunneling time-series dataset was constructed. Both the denoising procedure and the introduction of equivalent strength parameters for composite strata improved prediction accuracy. After denoising, the T-B-L model exhibited faster convergence and lower training fluctuations. The equivalent strength parameter enhanced the model’s ability to represent the mechanical characteristics of composite formations, enabling stable performance even in transitional strata (Class 3–4).
- (2)
- This study proposes a TCN–BiLSTM–Logarithmic Attention (T-B-L) hybrid model. The model leverages TCN for local pattern extraction, BiLSTM for temporal dependency modeling, and a Logarithmic Attention mechanism to dynamically focus on critical temporal information. The results show that this attention mechanism enhances the model’s capability to identify and weight key features, reducing the prediction error of the TCN-BiLSTM model by more than 50% in transitional and fractured rock masses.
- (3)
- The proposed model achieves the highest prediction accuracy among all comparison models across intact, transitional, and fractured rock masses, demonstrating good generalization capability. In relatively simple intact rock conditions (Class 1), the model achieves an RMSE of 19.85 and a MAPE as low as 3.72%. Even in fractured rock (Class 4), the RMSE reaches 29.55 and the MAPE is 10.82%, outperforming the next-best TCN model by approximately 23.5%. Overall, the T-B-L model reduces the average RMSE (25.45) and MAPE (8.99%) by 14.5% to 23.4% compared with mainstream baseline models (TCN and BiLSTM), confirming its cross-scenario adaptability.
Author Contributions
Funding
Institutional Review Board Statement
Informed Consent Statement
Data Availability Statement
Conflicts of Interest
References
- Wo, X.; Li, G.; Sun, Y.; Li, J.; Yang, S.; Hao, H. The Changing Tendency and Association Analysis of Intelligent Coal Mines in China: A Policy Text Mining Study. Sustainability 2022, 14, 11650. [Google Scholar] [CrossRef]
- Wang, G.; Ren, H.; Zhao, G.; Zhang, D.; Wen, Z.; Meng, L.; Gong, S. Research and Practice of Intelligent Coal Mine Technology Systems in China. Int. J. Coal Sci. Technol. 2022, 9, 24. [Google Scholar] [CrossRef]
- Yu, B.; Wang, B.; Zhang, Y. Application of Artificial Intelligence in Coal Mine Ultra-Deep Roadway Engineering—A Review. Artif. Intell. Rev. 2024, 57, 262. [Google Scholar] [CrossRef]
- Ning, B.; Liu, F.; Liu, H.; Xia, Y. Experimental Study on Rock Breaking Using a Microwave-Assisted Tunnel Boring Machine Cutter. Bull. Eng. Geol. Environ. 2024, 83, 114. [Google Scholar] [CrossRef]
- Zhang, Y.; Zhou, J.; Qiu, Y.; Armaghani, D.J.; Xie, Q.; Yang, P.; Xu, C. A Visual Survey of Tunnel Boring Machine (TBM) Performance in Tunneling Excavation: Mainstream Direction, Brief Review and Future Prospects. Appl. Sci. 2024, 14, 4512. [Google Scholar] [CrossRef]
- Loy-Benitez, J.; Song, M.K.; Choi, Y.-H.; Lee, J.-K.; Lee, S.S. Breaking New Ground: Opportunities and Challenges in Tunnel Boring Machine Operations with Integrated Management Systems and Artificial Intelligence. Autom. Constr. 2024, 158, 105199. [Google Scholar] [CrossRef]
- Guo, D.; Li, J.; Jiang, S.-H.; Li, X.; Chen, Z. Intelligent Assistant Driving Method for Tunnel Boring Machine Based on Big Data. Acta Geotech. 2022, 17, 1019–1030. [Google Scholar] [CrossRef]
- Loy-Benitez, J.; Lee, H.-K.; Kyu Song, M.; Choi, Y.; Seungwon Lee, S. Transfer Component Analysis-Driven Domain Adaptation Approach for Estimating the Life of Tunnel Boring Machine Disc Cutters. Tunn. Undergr. Space Technol. 2024, 147, 105714. [Google Scholar] [CrossRef]
- Zhou, X.-P.; Zhai, S.-F. Estimation of the Cutterhead Torque for Earth Pressure Balance TBM under Mixed-Face Conditions. Tunn. Undergr. Space Technol. 2018, 74, 217–229. [Google Scholar] [CrossRef]
- Shen, B. Coal Mine Roadway Stability in Soft Rock: A Case Study. Rock Mech. Rock Eng. 2014, 47, 2225–2238. [Google Scholar] [CrossRef]
- Wang, H.; Zhou, C.; Bi, Q.; Zhu, H.; Ding, Z.; Zhang, C. Adaptive Modification of TBM Tunneling in Coal Mine Roadway and Disaster Control Technology for Complex Geological Conditions. Processes 2023, 11, 1389. [Google Scholar] [CrossRef]
- He, F.; Lu, Y.; Tian, Y.; Wu, F.; Pan, S.; Zhang, S.; Chen, Z. Application of TBM in Coal Mine Adaptability Type Selection Analysis and New Technology Development. Coal Sci. Technol. 2023, 51, 351–361. [Google Scholar]
- Wang, L.; Gong, G.; Shi, H.; Yang, H. A New Calculation Model of Cutterhead Torque and Investigation of Its Influencing Factors. Sci. China Technol. Sci. 2012, 55, 1581–1588. [Google Scholar] [CrossRef]
- Khademi Hamidi, J.; Shahriar, K.; Rezai, B.; Rostami, J. Performance Prediction of Hard Rock TBM Using Rock Mass Rating (RMR) System. Tunn. Undergr. Space Technol. 2010, 25, 333–345. [Google Scholar] [CrossRef]
- Yang, Z.; Yang, X.; Ding, Y.; Jiang, Y.; Qi, W.; Sun, Z.; Shao, X. Characteristics of Conditioned Sand for EPB Shield and Its Influence on Cutterhead Torque. Acta Geotech. 2022, 17, 5813–5828. [Google Scholar] [CrossRef]
- Li, Y.; Duan, J.; Jia, W.; Lan, H.; Zhong, Y. Analysis and calculation of cutterhead torque and thrust in large-diameter slurry shield tunneling. Constr. Mech. 2024, 45, 42–46. [Google Scholar] [CrossRef]
- Zhang, Q.; Qu, C.; Cai, Z.; Kang, Y.; Huang, T. Modeling of the Thrust and Torque Acting on Shield Machines during Tunneling. Autom. Constr. 2014, 40, 60–67. [Google Scholar] [CrossRef]
- Avunduk, E.; Copur, H. Empirical Modeling for Predicting Excavation Performance of EPB TBM Based on Soil Properties. Tunn. Undergr. Space Technol. 2018, 71, 340–353. [Google Scholar] [CrossRef]
- Shi, H.; Yang, H.; Gong, G.; Wang, L. Determination of the Cutterhead Torque for EPB Shield Tunneling Machine. Autom. Constr. 2011, 20, 1087–1095. [Google Scholar] [CrossRef]
- Shan, F.; He, X.; Jahed Armaghani, D.; Xu, H.; Liu, X.; Sheng, D. Real-Time Forecasting of TBM Cutterhead Torque and Thrust Force Using Aware-Context Recurrent Neural Networks. Tunn. Undergr. Space Technol. 2024, 152. [Google Scholar] [CrossRef]
- Xu, Q.; Huang, X.; Zhang, B.; Zhang, Z.; Wang, J.; Wang, S. TBM Performance Prediction Using LSTM-Based Hybrid Neural Network Model: Case Study of Baimang River Tunnel Project in Shenzhen, China. Undergr. Space 2023, 11, 130–152. [Google Scholar] [CrossRef]
- Li, X.; Li, H.; Du, S.; Jing, L.; Li, P. Cross-Project Utilisation of Tunnel Boring Machine (TBM) Construction Data: A Case Study Using Big Data from Yin-Song Diversion Project in China. Georisk Assess. Manag. Risk Eng. Syst. Geohazards 2023, 17, 127–147. [Google Scholar] [CrossRef]
- Yu, H.; Qin, C.; Tao, J.; Liu, C.; Liu, Q. A Multi-Channel Decoupled Deep Neural Network for Tunnel Boring Machine Torque and Thrust Prediction. Tunn. Undergr. Space Technol. 2023, 133, 104949. [Google Scholar] [CrossRef]
- Shi, G.; Qin, C.; Zhang, Z.; Yu, H.; Tao, J.; Liu, C. A Novel Decomposition and Hybrid Transfer Learning-Based Method for Multi-Step Cutterhead Torque Prediction of Shield Machine. Mech. Syst. Signal Process. 2024, 214, 111362. [Google Scholar] [CrossRef]
- Fu, T.; Zhang, T.; Song, X. A Novel Hybrid Transfer Learning Framework for Dynamic Cutterhead Torque Prediction of the Tunnel Boring Machine. Energies 2022, 15, 2907. [Google Scholar] [CrossRef]
- Yao, L.; Wang, H.; Hu, K.; Liao, J.; Lu, Y. Multistep Probabilistic Forecasting Approach for Tunnel Boring Machine Cutterhead Torque and Thrust Based on VMD-BDNN. Int. J. Geomech. 2025, 25, 04025112. [Google Scholar] [CrossRef]
- Li, J.; Li, P.; Guo, D.; Li, X.; Chen, Z. Advanced Prediction of Tunnel Boring Machine Performance Based on Big Data. Geosci. Front. 2021, 12, 331–338. [Google Scholar] [CrossRef]
- Huang, X.; Zhang, Q.; Liu, Q.; Liu, X.; Liu, B.; Wang, J.; Yin, X. A Real-Time Prediction Method for Tunnel Boring Machine Cutter-Head Torque Using Bidirectional Long Short-Term Memory Networks Optimized by Multi-Algorithm. J. Rock Mech. Geotech. Eng. 2022, 14, 798–812. [Google Scholar] [CrossRef]
- Qin, Y.; Zhou, J.; Xiao, D.; Qin, C.; Qian, Q. High-Precision Cutterhead Torque Prediction for Tunnel Boring Machines Using an Attention-Based Embedded LSTM Neural Network. Measurement 2024, 224, 113888. [Google Scholar] [CrossRef]
- Liu, Z.; Li, L.; Fang, X.; Qi, W.; Shen, J.; Zhou, H.; Zhang, Y. Hard-Rock Tunnel Lithology Prediction with TBM Construction Big Data Using a Global-Attention-Mechanism-Based LSTM Network. Autom. Constr. 2021, 125, 103647. [Google Scholar] [CrossRef]



















| Parameter | Design Value |
|---|---|
| Shield type | Open-type |
| Total weight | 700 t |
| Total length | ~91 m |
| Excavation diameter | 6.03 m |
| Rated thrust | 12,200 kN |
| Rated torque | 1800 kN·m |
| Cutterhead speed | 0–8 rpm |
| Installed power | 4 × 360 kW |
| Advance stroke | ≥1.7 m |
| Number of cutters | 38 |
| Maximum advance rate | 60 mm/min |
| Geological Condition (Surrounding Rock Integrity) | Average Advance Rate (mm/min) | Average Cutterhead Torque (kN·m) | Torque Fluctuation Coefficient (Std Dev/Mean) | Construction Stability Evaluation |
|---|---|---|---|---|
| Intact | 51.5 | 438.2 | 0.11 | Excellent (Stable) |
| Moderately Intact | 52.9 | 182.7 | 0.25 | Good (Relatively Stable) |
| Moderately Fractured | 55.3 | 117.5 | 0.4 | Medium (Generally Stable) |
| Fractured | 59.3 | 114.3 | 0.41 | Poor (Frequent Interruptions) |
| Sampling Location | Rock Types | Number of Rocks/Block | Is(50)/MPa | UCS/MPa |
|---|---|---|---|---|
| 1 | Sandstone | 12 | 10.825 | 62.31 |
| 1 | Sandy mudstone | 10 | 5.846 | 39.252 |
| 1 | Mudstone | 10 | 1.20 | 11.977 |
| 2 | Sandstone | 10 | 10.411 | 60.513 |
| 2 | Sandy mudstone | 10 | 5.257 | 36.248 |
| 2 | Mudstone | 10 | 1.513 | 14.243 |
Disclaimer/Publisher’s Note: The statements, opinions and data contained in all publications are solely those of the individual author(s) and contributor(s) and not of MDPI and/or the editor(s). MDPI and/or the editor(s) disclaim responsibility for any injury to people or property resulting from any ideas, methods, instructions or products referred to in the content. |
© 2026 by the authors. Licensee MDPI, Basel, Switzerland. This article is an open access article distributed under the terms and conditions of the Creative Commons Attribution (CC BY) license.
Share and Cite
Li, J.; Liu, S.; Liu, B.; Huang, X.; Song, B. A TCN–BiLSTM–Logarithmic Attention Hybrid Model for Predicting TBM Cutterhead Torque in Excavation. Appl. Sci. 2026, 16, 1425. https://doi.org/10.3390/app16031425
Li J, Liu S, Liu B, Huang X, Song B. A TCN–BiLSTM–Logarithmic Attention Hybrid Model for Predicting TBM Cutterhead Torque in Excavation. Applied Sciences. 2026; 16(3):1425. https://doi.org/10.3390/app16031425
Chicago/Turabian StyleLi, Jinliang, Sulong Liu, Bin Liu, Xing Huang, and Bin Song. 2026. "A TCN–BiLSTM–Logarithmic Attention Hybrid Model for Predicting TBM Cutterhead Torque in Excavation" Applied Sciences 16, no. 3: 1425. https://doi.org/10.3390/app16031425
APA StyleLi, J., Liu, S., Liu, B., Huang, X., & Song, B. (2026). A TCN–BiLSTM–Logarithmic Attention Hybrid Model for Predicting TBM Cutterhead Torque in Excavation. Applied Sciences, 16(3), 1425. https://doi.org/10.3390/app16031425
