Sign in to use this feature.

Years

Between: -

Subjects

remove_circle_outline
remove_circle_outline
remove_circle_outline
remove_circle_outline
remove_circle_outline
remove_circle_outline
remove_circle_outline
remove_circle_outline
remove_circle_outline

Journals

remove_circle_outline
remove_circle_outline
remove_circle_outline
remove_circle_outline
remove_circle_outline
remove_circle_outline

Article Types

Countries / Regions

remove_circle_outline
remove_circle_outline
remove_circle_outline

Search Results (611)

Search Parameters:
Keywords = gene/function transmission

Order results
Result details
Results per page
Select all
Export citation of selected articles as:
12 pages, 6639 KB  
Article
Comprehensive Analysis of Exosomal microRNAs in Buffalo Milk Across the Early Postpartum Transition
by Jiazheng Zhu, Rongchun Huang, Pingbai Liu, Yuan Yang, Yue Zhang, Shengfei Yan, Gan Liang, Meiting Chen, Mengyuan Zhou, Guangsheng Qin and Qiang Fu
Molecules 2026, 31(8), 1332; https://doi.org/10.3390/molecules31081332 (registering DOI) - 18 Apr 2026
Abstract
Milk-derived exosomes (MDEs) are bioactive nanocarriers rich in microRNAs (miRNAs) that play critical roles in post-transcriptional regulation during neonatal development and immune adaptation. However, the dynamic changes in miRNA expression across lactation stages and their biological functions remain insufficiently explored. We hypothesized that [...] Read more.
Milk-derived exosomes (MDEs) are bioactive nanocarriers rich in microRNAs (miRNAs) that play critical roles in post-transcriptional regulation during neonatal development and immune adaptation. However, the dynamic changes in miRNA expression across lactation stages and their biological functions remain insufficiently explored. We hypothesized that the miRNA cargo of buffalo MDEs exhibits temporal specificity, thereby dynamically matching the immune requirements of the neonatal calves. Therefore, the present study aimed to systematically characterize the miRNA expression profiles of MDEs derived from colostrum, transitional milk, and mature milk. MDEs were isolated, purified using differential ultracentrifugation, and characterized via transmission electron microscopy, Western blotting, and nanoparticle-tracking analysis. A total of 370 miRNAs were identified in the MDEs, with 220 (59.5%) co-expressed across colostrum, transitional milk, and mature milk. Comparative analysis revealed that colostrum MDEs exhibited the greatest miRNA diversity. Expression patterns of miRNAs showed distinct stage-specific clustering as lactation progressed. Compared to mature milk, 100 differentially expressed miRNAs (DE-miRNAs) were identified in colostrum MDEs, including 39 upregulated and 61 downregulated miRNAs. Bioinformatics analyses indicated that predicted target genes were associated with transmembrane transport, immune response, cell development, and apoptosis. Kyoto Encyclopedia of Genes and Genomes (KEGG) pathway enrichment analysis identified pathways involved in immune regulation, inflammation, and apoptosis. Moreover, macrophages incubated with buffalo colostrum MDEs showed upregulation of proliferation-related genes and downregulation of pro-inflammatory factors, suggesting an anti-inflammatory effect through activation of the phosphoinositide 3-kinase-protein kinase B (PI3K-Akt) signaling pathway. These findings offer new insights into miRNA profiles of buffalo MDEs across the early postpartum transition and provide a preliminary basis for exploring immunomodulatory potential of buffalo MDEs. Full article
(This article belongs to the Special Issue Health Promoting Compounds in Milk and Dairy Products, 2nd Edition)
Show Figures

Figure 1

26 pages, 5488 KB  
Article
Molecular Characterization of Tomato Brown Rugose Fruit Virus in Portugal and Its Global Phylogenetic Context
by Joana Amaro Ribeiro, André Albuquerque, Cinthia Nunes, Maria Doroteia Campos, Margarida Basaloco, Mariana Patanita, Filipa Santos, Carla Varanda, Patrick Materatski and Maria do Rosário Félix
Plants 2026, 15(8), 1240; https://doi.org/10.3390/plants15081240 - 17 Apr 2026
Abstract
Plant viruses pose serious threats to global crop production, and members of the genus Tobamovirus are particularly problematic due to their environmental stability, efficient mechanical transmission and rapid global spread. Tomato brown rugose fruit virus (ToBRFV) has emerged as one of the most [...] Read more.
Plant viruses pose serious threats to global crop production, and members of the genus Tobamovirus are particularly problematic due to their environmental stability, efficient mechanical transmission and rapid global spread. Tomato brown rugose fruit virus (ToBRFV) has emerged as one of the most damaging tobamovirus affecting tomato, a crop of major economic importance worldwide. ToBRFV has been reported in more than 45 countries, including Portugal. However, to date, no peer-reviewed molecular characterization of local isolates has been published, and official records classify its presence in Portugal as transient. This study confirms the occurrence of ToBRFV and provides the first comprehensive genomic and phylogenetic characterization of local virus isolates in Portugal. RNA-seq generated 192,852,438 reads, of which 103,882,115 (58.9%) mapped to ToBRFV, allowing reconstruction of a complete 6393 nt viral genome. A second full-length consensus sequence was independently obtained from the same composite sample using an overlapping Sanger sequencing strategy, differing by only two SNPs. Comparative genomic, functional, structural, and phylogenetic analysis revealed low diversity, with most variation located in replicase-coding regions, while movement and coat protein genes remained highly conserved. Nucleotide-based phylogenies resolved geographically structured clades, although the Portuguese sequences formed a strongly supported subclade with a Chinese isolate. These findings support recent global dissemination of ToBRFV and reinforce the importance of integrated surveillance and genomic monitoring for effective virus management. Full article
Show Figures

Figure 1

19 pages, 6589 KB  
Article
Cross-Host Adaptation of Campylobacter jejuni Is Shaped by Chromosomal Backgrounds and Mobile Gene Acquisition, with Human-Associated Traits Emerging Under Limited Mutational Diversification
by Yingdong Li, Zhifeng Ma, Jing Chi, Yinqiu Wang, Minjie Li, Qianru Wang, Lei Lei and Qingliang Chen
Microorganisms 2026, 14(4), 874; https://doi.org/10.3390/microorganisms14040874 - 13 Apr 2026
Viewed by 255
Abstract
Campylobacter jejuni is a major zoonotic pathogen that circulates among birds, livestock, humans, and environmental reservoirs, yet the genomic mechanisms that enable persistence and transmission across divergent hosts remain incompletely understood. Here, we sequenced 61 C. jejuni isolates recovered from multiple host-associated sources [...] Read more.
Campylobacter jejuni is a major zoonotic pathogen that circulates among birds, livestock, humans, and environmental reservoirs, yet the genomic mechanisms that enable persistence and transmission across divergent hosts remain incompletely understood. Here, we sequenced 61 C. jejuni isolates recovered from multiple host-associated sources in Shenzhen, China, from 2016 to 2023, and analyzed them together with 312 dereplicated publicly available high-quality reference genomes. Phylogenomic analyses resolved three major clades, including one avian-restricted clade and two clades showing frequent cross-host occurrence. Human-associated isolates displayed lower coding density than mammal-associated isolates and significantly higher proteome-level carbon and nitrogen demands than avian-associated isolates. Comparative genomic analyses further revealed strong host-associated divergence in chromosome-encoded, plasmid-encoded, and horizontally acquired gene repertoires. In human-derived isolates, 11 dataset-specific human-unique KEGG genes and 48 human-unique virulence-associated genes were identified, and human-associated strains showed the strongest multidrug-resistance signal across both chromosome-encoded and mobile-gene compartments. Resistance-associated functions enriched in human-associated genomes included antibiotic inactivation, efflux-mediated resistance, target protection/replacement/alteration, reduced permeability, and nutrient-acquisition-associated resistance. By contrast, core host-interaction loci remained under strong purifying selection, indicating that major human-associated traits were linked more closely to mobile gene acquisition than to extensive mutation-driven diversification. Together, these findings support a proposed genome-partition framework of host adaptation in C. jejuni, in which relatively stable chromosomal backgrounds are complemented by rapid plasmid- and horizontal-transfer-mediated acquisition of high-impact accessory genes. Full article
(This article belongs to the Special Issue Microbiota in Human Health and Disease, 2nd Edition)
Show Figures

Figure 1

29 pages, 9473 KB  
Article
Identifying and Evaluating Cultural Genes in the Historic Centre of Macao: A Multi-Stakeholder Perspective
by Yifan Ge, Kexin Wei, Ziyang Wang, Yuhao Huang and Rong Zhu
Buildings 2026, 16(8), 1517; https://doi.org/10.3390/buildings16081517 - 13 Apr 2026
Viewed by 133
Abstract
Under the dual pressures of urbanization and tourism development, the Historic Centre of Macao, as a World Cultural Heritage site, faces challenges including the inadequate transmission of cultural elements and the excessive commercialisation of tourism development. To systematically identify and safeguard its cultural [...] Read more.
Under the dual pressures of urbanization and tourism development, the Historic Centre of Macao, as a World Cultural Heritage site, faces challenges including the inadequate transmission of cultural elements and the excessive commercialisation of tourism development. To systematically identify and safeguard its cultural characteristics, this study introduces the theory of cultural genes, constructing a dual-strand identification model encompassing both tangible and intangible cultural genes. This model integrates architectural function, structure, and ornamentation, alongside indigenous religions, arts, and folklore, thereby achieving a comprehensive extraction of cultural elements. Building upon this foundation, the study employed the AHP-fuzzy comprehensive evaluation method to quantitatively assess the degree of identification with various cultural elements, integrating perspectives from three distinct groups: tourists, residents, and third-party experts. The findings revealed significant disparities in cultural identification across these groups. For instance, residents demonstrated the highest level of identification with beliefs and folk customs, whilst tourists favoured more tangible aspects such as decorative elements and cuisine, exhibiting generally weaker identification with architectural structures. The findings demonstrate that this study, through the establishment of a systematic framework for identifying cultural genes and a multi-stakeholder evaluation system, has accurately discerned the characteristics of various cultural genes and the public’s level of identification with them. This provides a scientific basis for evidence-based, differentiated, and precise governance of the Historic Centre of Macao, offering significant reference value for the conservation and revitalisation of similar cultural heritage sites. Full article
(This article belongs to the Section Architectural Design, Urban Science, and Real Estate)
Show Figures

Figure 1

16 pages, 902 KB  
Article
Molecular Detection and Characterization of Chelonid Alphaherpesvirus 5 (Scutavirus chelonidalpha5) Associated with Fibropapillomatosis in Sea Turtles Rescued in Santa Marta, Colombia: Implications for Disease Surveillance and Marine Turtle Conservation
by Angel Oviedo, Edgar Zambrano, Jean Posso-Avendaño, Daniel B. Ramírez-Osorio, Jose A. Usme-Ciro and Lyda R. Castro
Conservation 2026, 6(2), 45; https://doi.org/10.3390/conservation6020045 - 13 Apr 2026
Viewed by 186
Abstract
Fibropapillomatosis, a disease associated with Scutavirus chelonidalpha5, commonly known as Chelonid alphaherpesvirus 5 (ChHV5), manifests as benign tumors that impair the motor, visual, and physiological functions of affected sea turtles. In this study, blood and tissue samples were collected from turtles exhibiting [...] Read more.
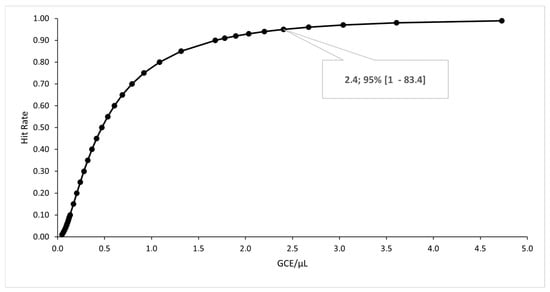
Fibropapillomatosis, a disease associated with Scutavirus chelonidalpha5, commonly known as Chelonid alphaherpesvirus 5 (ChHV5), manifests as benign tumors that impair the motor, visual, and physiological functions of affected sea turtles. In this study, blood and tissue samples were collected from turtles exhibiting fibropapilloma-like lesions as well as from clinically healthy individuals. A nested PCR approach was employed to amplify the viral UL30 and UL28 genes for the detection and characterization of the virus variants. The mitochondrial control region was used to assess the relationship between the turtle population and the viral variant. Among the 19 turtles analyzed, six tested positive for ChHV5, including both symptomatic and asymptomatic turtles. Phylogenetic analysis revealed that three positive samples belonged to the Western Atlantic/Caribbean clade, whereas the other three grouped within the Atlantic clade. New oligonucleotides and probes were designed for ChHV5 qPCR detection, accounting for the globally accumulated genetic variability. The qPCR test parameters demonstrated an optimized assay with an efficiency of 101.4% and a detection limit of 2.4 genome copy equivalents (GCE)/μL. This study confirms the presence of two ChHV5 viral variants in rescued turtles from the Caribbean region of Colombia, including both clinically affected and asymptomatic individuals. Therefore, these results support the association between ChHV5 and fibropapillomatosis. Furthermore, analysis of the mitochondrial control region supports the hypothesis of horizontal transmission of the virus. A novel qPCR protocol with a synthetic control is proposed to improve early diagnosis and strengthen conservation and prevention strategies. Full article
Show Figures

Figure 1

18 pages, 5689 KB  
Article
Foundation for Bioproduction: Secretory Stages, Metabolite Profiles and Gene Function of Glandular Trichomes in Cucumber
by Yuming Dong, Jiancai Mao, Xue Feng, Zhigang Tang, Li Shan, Sen Li, Yaru Wang, Yongdong Sun, Huazhong Ren and Xingwang Liu
Int. J. Mol. Sci. 2026, 27(7), 3276; https://doi.org/10.3390/ijms27073276 - 4 Apr 2026
Viewed by 242
Abstract
Glandular trichomes (GTs) are epidermal outgrowths that function as “natural cell factories” for the synthesis of specialized metabolites. Beyond their traditional understanding, GTs on cucumber fruits can form an undesirable trait known as bloom, which negatively affects market value. However, the secretory process, [...] Read more.
Glandular trichomes (GTs) are epidermal outgrowths that function as “natural cell factories” for the synthesis of specialized metabolites. Beyond their traditional understanding, GTs on cucumber fruits can form an undesirable trait known as bloom, which negatively affects market value. However, the secretory process, metabolite profiles, and genetic regulation underlying GT development in cucumber remain largely unclear. In this study, we employed scanning electron microscopy (SEM), transmission electron microscopy (TEM), histochemical staining, multi-omics analyses, and liquid chromatography–mass spectrometry (LC-MS) to systematically investigate GT development. The secretory process was classified into four distinct stages via SEM observations: morphogenesis, active metabolism, head sunken, and metabolite release. TEM revealed progressive ultrastructural changes, including increased organelle abundance and expansion of the periplasmic space, which facilitate metabolite transport and release. This process occurs through an autonomous mechanism involving osmiophilic substances and eventual cell rupture. LC-MS analysis identified 744 metabolites belonging to 11 classes, with phenylpropanoids/polyketides—particularly flavonoids—being the most abundant. While metabolite classes are conserved between European greenhouse and North China ecotypes, specific metabolite contents vary significantly. Multi-transcriptome analysis identified 60 candidate genes associated with GT development. Among these, CsaV4_3G003418 was functionally validated through virus-induced gene silencing (VIGS) to be involved in early GT development. Collectively, this work elucidates the secretory mechanism and metabolic characteristics of cucumber GTs, providing a foundation for future functional studies and biotechnological applications of secondary metabolites. Full article
(This article belongs to the Section Molecular Plant Sciences)
Show Figures

Figure 1

26 pages, 920 KB  
Review
Nuclear Lamins: A Molecular Bridge Coupling Extracellular Mechanical Cues to Intranuclear Signal Transduction and Gene Regulation
by Shili Yang, Huaiquan Liu, Haiyang Kou, Lingyan Lai, Xinyan Zhang, Yunling Xu, Yu Sun and Bo Chen
Int. J. Mol. Sci. 2026, 27(7), 3258; https://doi.org/10.3390/ijms27073258 - 3 Apr 2026
Viewed by 468
Abstract
Nuclear lamins are the core molecular bridge linking the extracellular mechanical microenvironment to intranuclear gene regulation, and play a central regulatory role in cellular mechanosensation and mechanotransduction. Here, we systematically integrate the latest global research progress on nuclear lamins, delineating the cascade regulatory [...] Read more.
Nuclear lamins are the core molecular bridge linking the extracellular mechanical microenvironment to intranuclear gene regulation, and play a central regulatory role in cellular mechanosensation and mechanotransduction. Here, we systematically integrate the latest global research progress on nuclear lamins, delineating the cascade regulatory mechanism by which lamins mediate the transmission of mechanical signals across the nuclear envelope and the subsequent regulation of chromatin remodeling and epigenetic modification, with a focus on the molecular characteristics and functional specificity of distinct nuclear lamin subtypes and their interaction modes with the Linker of Nucleoskeleton and Cytoskeleton complex (LINC complex) and chromatin. Existing studies have established that nuclear lamins are mainly divided into three categories: A-type lamins (Lamin A/C), B-type lamins (Lamin B1, B2), and germ cell-specific subtypes. Among these, A-type lamins directly determine the mechanical stiffness of the nucleus and serve as the core mediators of intranuclear mechanical signal transduction. Each subtype of B-type nuclear lamins has a well-defined, non-redundant functional division: Lamin B1 and Lamin B2 indirectly maintain nuclear structural stability and regulate epigenetic status by anchoring facultative heterochromatin and constitutive heterochromatin, respectively. Notably, Lamin A/C distributed in the nucleoplasm also bears significant mechanical tension, which challenges the long-standing view that the mechanical functions of nuclear lamins are restricted to the nuclear envelope region. After mechanical force is transmitted across the nuclear envelope to nuclear lamins via the LINC complex, it can regulate the spatial conformation of chromatin and epigenetic modifications, thereby determining core cellular life activities including proliferation, differentiation, and migration. Dysregulation of this pathway is closely associated with a wide spectrum of human diseases, including cardiovascular diseases, progeria, muscular dystrophy, and neurodevelopmental disorders. Taken together, this review systematically delineates the hierarchical regulatory network of the “LINC complex–nuclear lamina–chromatin” axis, advances our understanding of the fundamental principles of cellular mechanobiology, and provides a theoretical framework for deciphering the pathological mechanisms and developing targeted therapeutic drugs for related diseases. Full article
(This article belongs to the Section Molecular Biophysics)
Show Figures

Figure 1

16 pages, 459 KB  
Systematic Review
When Trauma Crosses Generations: Mechanisms, Clinical Patterns and Therapeutic Implications of Transgenerational Trauma—A Systematic Review
by Oliwia Froń, Kamila Chwesiuk, Dominika Jabłonka and Agnieszka Kułak-Bejda
Cells 2026, 15(7), 609; https://doi.org/10.3390/cells15070609 - 30 Mar 2026
Viewed by 797
Abstract
Background: Transgenerational trauma (TT)/Intergenerational trauma (IT) is the transmission of the effects of traumatic experiences of parents to their children, who have not themselves experienced traumatic events. This transmission occurs through neurobiological and metabolic changes and the environment in which they were raised. [...] Read more.
Background: Transgenerational trauma (TT)/Intergenerational trauma (IT) is the transmission of the effects of traumatic experiences of parents to their children, who have not themselves experienced traumatic events. This transmission occurs through neurobiological and metabolic changes and the environment in which they were raised. Methods: A systematic review was conducted in accordance with the PRISMA 2020 guidelines. PubMed and Google Scholar databases were searched from 2005 to 2025. Studies focusing on adult offspring, exposure to ancestral trauma, biological markers (DNA methylation, cortisol), and psychological outcomes were included. Results: The main study results are as follows: identification of sex-specific DNA methylation patterns in the NR3C1 gene and accelerated biological aging (GrimAge) in offspring; role of parental reflective functioning (PRF) and impaired mentalization as major psychological channels of trauma transmission; and evidence confirming the impact on three generations, manifested by treatment-resistant depressive disorders, anxiety, and neuroendocrine dysregulation (low cortisol levels). Conclusions: This article highlights the intergenerational impact of trauma and highlights its epigenetic significance. The primary goal was to explore universal epigenetic mechanisms. Early understanding of ancestral history is crucial for personalized psychiatric care. Full article
Show Figures

Graphical abstract

22 pages, 6139 KB  
Article
Mechanistic Insights into Piperine-Driven Oxidative Stress, Autophagy Activation and Anti-Migration Effects in Caco-2 Cells
by Hla Sudan, Sofia Passaponti, Ilenia Casini, Roberta Romagnoli, Laura Cresti, Mariangela Gentile, Maria Frosini and Anna Maria Aloisi
Molecules 2026, 31(7), 1106; https://doi.org/10.3390/molecules31071106 - 27 Mar 2026
Viewed by 392
Abstract
Background: Piperine, an alkaloid from Piper nigrum, modulates oxidative stress, proliferation, and survival pathways in several cancer models; however, its mechanistic effects in colorectal epithelial Caco-2 cells remain insufficiently defined. Objective: This study aimed to investigate the cytotoxic, antiproliferative, oxidative, [...] Read more.
Background: Piperine, an alkaloid from Piper nigrum, modulates oxidative stress, proliferation, and survival pathways in several cancer models; however, its mechanistic effects in colorectal epithelial Caco-2 cells remain insufficiently defined. Objective: This study aimed to investigate the cytotoxic, antiproliferative, oxidative, autophagic, and anti-migratory effects of piperine in Caco-2 cells. Methods: Caco-2 cells were treated with piperine (0.001–0.1 mg/mL) for up to 72 h. Cell viability, proliferation, and migration were assessed using SRB and scratch assays. Oxidative stress, apoptosis, autophagy, and tight junction integrity were evaluated through ROS quantification, Western blotting, gene expression analysis, confocal microscopy, and transmission electron microscopy (TEM). NACET was used to determine the contribution of oxidative stress to piperine-induced cytotoxicity and autophagy. Results: Piperine induced a time- and dose-dependent reduction in viability, with viability decreasing to 53.0 ± 2.88% at 0.1 mg/mL after 72 h. Proliferation decreased to 51% of control levels (p < 0.001), accompanied by p21 upregulation (p < 0.05), indicating G2/M cell cycle arrest. Piperine markedly increased intracellular ROS (p < 0.001), downregulated NRF2 (p < 0.05), and suppressed GSTA1 expression (p < 0.001), while NACET co-treatment restored viability (p < 0.001). No activation of caspase-dependent apoptosis was observed. Piperine significantly enhanced autophagic flux, as shown by the increased LC3B-II/LC3B-I ratio (p < 0.01), elevated LC3B-II/LAMP-1 co-localization (p < 0.01), and chloroquine-induced accumulation of LC3B-II and p62 (p < 0.01), with preserved lysosomal function. TEM analysis confirmed a marked increase in double-membrane autophagosomes in piperine-treated cells compared with controls. NACET reduced LC3B-II/LC3B-I levels, increased p21 expression, and significantly improved cell viability, indicating that piperine-induced autophagy is cytotoxic and driven by oxidative stress. Additionally, piperine upregulated occludin (p < 0.01) and reduced cell migration independently of proliferation (p < 0.01). Conclusions: Piperine exerts antiproliferative effects in Caco-2 cells through ROS-mediated stress, p21-dependent G2/M arrest, and activation of cytotoxic autophagy. Its ability to impair migration and enhance tight junction integrity further supports its potential as a complementary therapeutic agent in colon cancer. Full article
Show Figures

Figure 1

16 pages, 2790 KB  
Article
Selection, Isolation, and Characterization of Bacteriophage MA9V-3 from Chryseobacterium indologenes MA9
by Jinmei Chai, Qian Zhou, Yangjian Xiang, He Zou and Yunlin Wei
Viruses 2026, 18(4), 413; https://doi.org/10.3390/v18040413 - 27 Mar 2026
Viewed by 464
Abstract
Chryseobacterium indologenes MA9 is a causative agent of root rot disease in Panax notoginseng (P. notoginseng), with its high incidence being a major manifestation of continuous cropping barriers, severely hindering the sustainable development of the P. notoginseng industry. In this study, a [...] Read more.
Chryseobacterium indologenes MA9 is a causative agent of root rot disease in Panax notoginseng (P. notoginseng), with its high incidence being a major manifestation of continuous cropping barriers, severely hindering the sustainable development of the P. notoginseng industry. In this study, a novel lytic bacteriophage, MA9V-3, was isolated from wastewater, targeting C. indologenes MA9. The phage produced clear plaques, ranging from 1 to 3 mm in diameter, with a surrounding halo. Phage MA9V-3 achieved an adsorption rate of up to 80% after 30 min of contact with C. indologenes MA9, a latent period of approximately 40 min, and an average burst-size if 160 PFU/cell. Transmission electron microscopy revealed that phage MA9V-3 possesses an icosahedral head and a contractile tail, exhibiting a typical myovirus-like morphology. According to the latest ICTV taxonomy, MA9V-3 belongs to the class Caudoviricetes, and the phage’s biocontrol efficacy and inhibitory capacity were evaluated at different multiplicity of infection (MOI s). The results showed that the highest titer recorded at 1.6 × 1010 PFU/mL. Whole-genome sequencing revealed that MA9V-3 is a double-stranded circular DNA virus, with a genome length of 103,203 bp, GC content of 34.29%, and 150 open reading frames (ORFs), one of which is related to tRNA. Only 13 of these ORFs encode known functional sequences, likely due to the limited available gene data for such phages in the database, with additional details on hypothetical proteins yet to be uncovered. Comparative database analysis confirmed that the phage genome contains no antibiotic resistance or toxin-related genes. Phage therapy experiments were performed using MA9V-3 and two other phages screened in our laboratory. The experimental results showed that phage MA9V-3 may be a potential candidate for effectively controlling the infection of Panax notoginseng by C. indologenes MA9, and offering valuable insights into the potential application of phage therapy for managing bacterial plant diseases. Full article
(This article belongs to the Section Bacterial Viruses)
Show Figures

Figure 1

18 pages, 1632 KB  
Article
Leuprolide Acetate Promotes Sensory Recovery and Modulates Dorsal Root Ganglion Responses After Sciatic Nerve Transection in Rats
by Irma Hernández-Jasso, Denisse Calderón-Vallejo, José Ávila-Mendoza, David Epardo, Jerusa E. Balderas-Márquez, Carlos Arámburo, J. Luis Quintanar and Carlos G. Martínez-Moreno
Brain Sci. 2026, 16(3), 332; https://doi.org/10.3390/brainsci16030332 - 20 Mar 2026
Viewed by 393
Abstract
Background/Objectives: Sciatic nerve injuries are among the most common classes of peripheral nerve harm and have a strong impact on quality of life, as well as a significant negative economic impact for patients, society, and governments, since they represent a frequent cause [...] Read more.
Background/Objectives: Sciatic nerve injuries are among the most common classes of peripheral nerve harm and have a strong impact on quality of life, as well as a significant negative economic impact for patients, society, and governments, since they represent a frequent cause of work-related disabilities and sick leave applications. Following nerve injury, neurons, Schwann, and satellite cells undergo marked changes in phenotype, metabolic activity, neuronal survival, nervous transmission, and an exacerbated activation of the inflammatory response. Leuprolide acetate (LA), a clinically available agonist of gonadotropin-releasing hormone (GnRH), has shown clear neurotrophic properties and is considered a novel potential candidate for treating neural injuries, including sciatic nerve pathologies. This study aimed to analyze the effect of LA treatment on sensory function and dorsal root ganglia (DRG) changes in a rat sciatic nerve full-transection (SNT) model. Methods: Variations in cold and heat sensitivity were assessed using the thermal plate test, while DRG tissue sections were examined for modifications in reactive gliosis by immunofluorescence analysis, and axonal transport using a retrograde tracer. Also, changes in the expression of pro-regenerative genes Stat3, Socs3, Fos, Jun, Atf4, and Limk1 were quantified by qPCR. Results: Our results showed that LA treatment exerted a distinct neurotrophic effect, since it promoted the specific recovery of cold sensitivity, improved axonal transport, regulated the inflammatory response, and modulated the exacerbated expression of pro-regenerative genes in the SNT model. Conclusions: These findings indicate that LA therapy may have the potential to improve sensory recovery in patients with sciatic nerve injuries. Full article
(This article belongs to the Section Molecular and Cellular Neuroscience)
Show Figures

Figure 1

20 pages, 4104 KB  
Article
Design and Characterization of an HRC-Derived Peptide Inhibitor of Canine Coronavirus Spike-Mediated Fusion
by Valentina Iovane, Rosa Giugliano, Antonio Gentile, Roberta Della Marca, Laura Di Clemente, Annalisa Chianese, Serena Montagnaro, Anna De Filippis, Massimiliano Galdiero and Carla Zannella
Pathogens 2026, 15(3), 315; https://doi.org/10.3390/pathogens15030315 - 14 Mar 2026
Viewed by 518
Abstract
Canine coronavirus (CCoV), an alphacoronavirus belonging to the Coronaviridae family, is primarily associated with enteric infections in dogs. The ongoing evolution of coronaviruses through genetic recombination and mutation leads to the emergence of novel strains with increased pathogenicity, thereby raising the risk of [...] Read more.
Canine coronavirus (CCoV), an alphacoronavirus belonging to the Coronaviridae family, is primarily associated with enteric infections in dogs. The ongoing evolution of coronaviruses through genetic recombination and mutation leads to the emergence of novel strains with increased pathogenicity, thereby raising the risk of cross-species transmission and spillover events. In this context, viral entry inhibitors represent a promising strategy, as they can serve as pivotal tools to prevent initial infection and subsequent viral replication. The S2 subunit of the spike (S) glycoprotein contains two heptad repeat regions (HRN and HRC), which play essential roles in the conformational changes required for viral fusion. In this study, we describe the design, synthesis, and functional evaluation of a peptide derived from the HRC domain of the CCoV S glycoprotein. First, we assessed the cytotoxicity of the CCoV-HRC peptide in two cell lines, HE293T and A72, and determined CC50 values > 100 μM. At non-toxic concentrations, the peptide effectively blocked membrane fusion mediated by the CCoV S glycoprotein and significantly reduced viral infection, as demonstrated both in cell–cell fusion assays and in live virus experiments. These findings were supported by in silico docking and molecular dynamics simulations, which provided structural insight into the interaction between CCoV-HRC and the S fusion core. Then, molecular analyses were conducted to evaluate the expression of the gene encoding the viral S protein, confirming the antiviral potential of CCoV-HRC peptide. Overall, these findings provide a solid foundation for the development of peptide-based therapeutics to treat or prevent CCoV infections. Full article
(This article belongs to the Special Issue Current Challenges in Veterinary Virology)
Show Figures

Figure 1

17 pages, 3272 KB  
Article
Nucleic Acids on the Surface and Lumen of Tumor-Derived Small Extracellular Vesicles as Potential Cancer Biomarkers
by Alicja Gluszko, Daria Kania, Chang-Sook Hong, Monika Pietrowska, James F. Conway and Theresa L. Whiteside
Cells 2026, 15(6), 512; https://doi.org/10.3390/cells15060512 - 13 Mar 2026
Viewed by 544
Abstract
Background: Tumor-derived small extracellular vesicles (sEV), which we call TEX, carry a cargo of molecules that resembles the producer tumor cells. Circulating freely in body fluids, TEX potentially serve as a liquid tumor biopsy. TEX horizontally transfer their cargo to various recipient [...] Read more.
Background: Tumor-derived small extracellular vesicles (sEV), which we call TEX, carry a cargo of molecules that resembles the producer tumor cells. Circulating freely in body fluids, TEX potentially serve as a liquid tumor biopsy. TEX horizontally transfer their cargo to various recipient cells, imparting to them pro-tumor activity. Mechanisms of TEX-driven reprogramming might involve nucleic acids, especially double-stranded (ds)DNA. Methods: TEX isolated from supernatants of human tumor cells were identified as sEV, based on their size, endocytic origin and morphology. TEX treated with DNase/RNase cocktail were examined by transmission and cryo-electron microscopy and tested for biologic activity. DNA was extracted from enzyme-treated TEX, quantified by Qubit and analyzed for fragment sizes. The presence of genomic DNA in TEX was confirmed by PCR, and sequencing of the TP53 gene fragment for a mutational signature was performed. Results: Enzymatic and microscopic studies of TEX showed that nucleic acids are present in the biocorona on the outer surface. Their removal interfered with the biocorona integrity. A short TEX exposure to DNase/RNase altered their morphology without impairing vesicle functions; longer treatments induced TEX re-organization into smaller membrane-bound vesicles. The TEX lumen contained long fragments of protected genomic DNA with a mutational signature reflecting that of the tumor. Conclusions: Nucleic acids present on the TEX surface support the vesicular integrity. The TEX lumen contains membrane-protected large (ds)DNA fragments with the mutational signature of the parent tumor. The presence of surface and luminal nucleic acids in TEX, and especially their mutational signature, suggests that TEX may serve as highly promising cancer-specific biomarkers. Full article
(This article belongs to the Special Issue Translating Extracellular Vesicle Science)
Show Figures

Figure 1

18 pages, 951 KB  
Review
Strategies for Optimizing the Yield and Function of Recombinant Collagen in Different Expression Systems: A Review
by Menglei Cheng, Lisheng Jiang, Zejia Zhang, Liuzhu Ji, Zhiqiang Xiong, Guangqiang Wang, Lianzhong Ai and Xinxin Liu
Int. J. Mol. Sci. 2026, 27(6), 2563; https://doi.org/10.3390/ijms27062563 - 11 Mar 2026
Viewed by 624
Abstract
Collagen is the most abundant structural and functional protein in humans and other vertebrates. It possesses remarkable biological functions and is widely used in food, cosmetics, and healthcare. Currently, mainstream animal-derived collagen materials carry risks such as viral transmission and allergic reactions. However, [...] Read more.
Collagen is the most abundant structural and functional protein in humans and other vertebrates. It possesses remarkable biological functions and is widely used in food, cosmetics, and healthcare. Currently, mainstream animal-derived collagen materials carry risks such as viral transmission and allergic reactions. However, recombinant collagen, heterologously expressed using genetic recombination technology combined with high-density fermentation processes, offers greater biocompatibility, low immunogenicity, and consistent quality, offering promising development prospects. However, current research on recombinant collagen still faces challenges such as low yield and poor functionality. This article briefly describes the structure, types, and functions of collagen, discusses the advantages and limitations of different recombinant collagen expression systems, and highlights the strategies for improving the yield and optimizing the function of recombinant collagen, ranging from gene editing to fermentation optimization. In highlighting practical approaches to achieving high yield, we present a series of case examples to illustrate the successful application of these principles. This review aims to help researchers, engineers, and industry practitioners better understand research trends in the expression and production of recombinant collagen, and to promote its further development and commercialization across diverse application areas. Full article
(This article belongs to the Special Issue Advances in Yeast Engineering and Stress Responses)
Show Figures

Figure 1

12 pages, 936 KB  
Article
Comparative Genomics Reveals Unique Genetic Determinants of Biofilm Formation in Campylobacter
by Yiping He, Gretchen Dykes, Heather Koppenhöfer, Joseph Capobianco and Chin-Yi Chen
Int. J. Mol. Sci. 2026, 27(6), 2543; https://doi.org/10.3390/ijms27062543 - 10 Mar 2026
Viewed by 312
Abstract
A biofilm is a complex microbial community that protects bacterial cells from various stressors, including harsh environmental conditions, antimicrobial treatments, and host immune responses. This protective capability enhances Campylobacter survival during food processing and storage and facilitates transmission to humans. Despite their importance, [...] Read more.
A biofilm is a complex microbial community that protects bacterial cells from various stressors, including harsh environmental conditions, antimicrobial treatments, and host immune responses. This protective capability enhances Campylobacter survival during food processing and storage and facilitates transmission to humans. Despite their importance, the molecular mechanisms underlying Campylobacter biofilm formation and its impact on pathogen persistence remain poorly understood. In this study, we characterized the biofilm-forming ability of 18 C. jejuni and C. coli strains isolated from retail meat and performed whole-genome sequencing and comparative genomic analysis to identify strain-specific genes contributing to biofilm formation and maintenance. Phenotypic analysis revealed that C. jejuni strains YH001 and YH027 exhibited the strongest biofilm-forming capacity, producing the highest biomass among all isolates. Phylogenetic analysis indicated a close genetic relationship between these two strains, while pangenome analysis identified 19 unique genes/proteins specific to these strains. Functional annotation indicated their critical roles in adhesion, extracellular matrix production, and stress response. These findings demonstrate strain-specific biofilm formation in Campylobacter and highlight genetic determinants that may serve as targets for novel therapeutic approaches and intervention strategies to disrupt biofilms, improve food safety, and reduce persistent infections. Full article
(This article belongs to the Special Issue Mechanisms in Biofilm Formation, Tolerance and Control: 3rd Edition)
Show Figures

Figure 1

Back to TopTop