Sign in to use this feature.

Years

Between: -

Subjects

remove_circle_outline
remove_circle_outline
remove_circle_outline
remove_circle_outline
remove_circle_outline
remove_circle_outline
remove_circle_outline
remove_circle_outline
remove_circle_outline

Journals

remove_circle_outline
remove_circle_outline
remove_circle_outline
remove_circle_outline
remove_circle_outline
remove_circle_outline
remove_circle_outline
remove_circle_outline
remove_circle_outline
remove_circle_outline
remove_circle_outline
remove_circle_outline
remove_circle_outline
remove_circle_outline

Article Types

Countries / Regions

remove_circle_outline
remove_circle_outline
remove_circle_outline
remove_circle_outline
remove_circle_outline

Search Results (1,856)

Search Parameters:
Keywords = fuzzy predictive

Order results
Result details
Results per page
Select all
Export citation of selected articles as:
19 pages, 3822 KB  
Article
Comparison of Artificial Neural Network-Based Fuzzy Logic Model and Analytical Model for the Prediction of Optimum Material Parameters in a Heat-Generating, Functionally Graded Solid Cylinder
by Ali Öztürk and Mustafa Tınkır
Appl. Sci. 2025, 15(24), 13259; https://doi.org/10.3390/app152413259 (registering DOI) - 18 Dec 2025
Abstract
This study presents an artificial intelligence-based predictive framework as an efficient alternative to conventional analytical procedures for evaluating elastic–plastic thermal stresses in long functionally graded solid cylinders (FGSCs) subjected to uniform internal heat generation. A hybrid artificial neural network-based fuzzy logic (ANNBFL) model [...] Read more.
This study presents an artificial intelligence-based predictive framework as an efficient alternative to conventional analytical procedures for evaluating elastic–plastic thermal stresses in long functionally graded solid cylinders (FGSCs) subjected to uniform internal heat generation. A hybrid artificial neural network-based fuzzy logic (ANNBFL) model is developed to estimate dimensionless thermal load parameters at both the cylinder center and outer surface by learning from validated analytical reference solutions. The material properties, including yield strength, elastic modulus, thermal conductivity, and thermal expansion coefficient, are assumed to vary radially following a parabolic gradation law. Eight influential material parameters are incorporated as input variables to describe the coupled thermo-mechanical behavior of the FGSC. Multiple ANNBFL subnetworks are trained using analytically generated datasets and subsequently integrated into a unified prediction framework, enabling rapid and accurate stress field estimation without repeated analytical calculations. Model performance is systematically assessed by direct comparison with analytical solutions, demonstrating an overall prediction consistency of approximately 98.2%. The results confirm that the proposed ANNBFL approach provides a reliable, computationally efficient surrogate modeling tool for parametric evaluation and optimum material design of functionally graded cylindrical structures under thermal loading. Full article
Show Figures

Figure 1

20 pages, 8586 KB  
Article
Multi-Objective Optimization for Irrigation Canal Water Allocation and Intelligent Gate Control Under Water Supply Uncertainty
by Qingtong Cai, Xianghui Xu, Mo Li, Xingru Ye, Wuyuan Liu, Hongda Lian and Yan Zhou
Water 2025, 17(24), 3585; https://doi.org/10.3390/w17243585 - 17 Dec 2025
Abstract
Open-channel irrigation systems often face constraints due to water supply uncertainty and insufficient gate control precision. This study proposes an integrated framework for canal water allocation and gate control that combines interval-based uncertainty analysis with intelligent optimization to address these challenges. First, we [...] Read more.
Open-channel irrigation systems often face constraints due to water supply uncertainty and insufficient gate control precision. This study proposes an integrated framework for canal water allocation and gate control that combines interval-based uncertainty analysis with intelligent optimization to address these challenges. First, we predict the inflow process using an Auto-Regressive Integrated Moving Average (ARIMA) model and quantify the range of water supply uncertainty through Maximum Likelihood Estimation (MLE). Based on these results, we formulate a bi-objective optimization model to minimize both main canal flow fluctuations and canal network seepage losses. We solve the model using the Non-dominated Sorting Genetic Algorithm II (NSGA-II) to obtain Pareto-optimal water allocation schemes under uncertain inflow conditions. This study also designs a Fuzzy Proportional–Integral–Derivative (Fuzzy PID) controller. We adaptively tune its parameters using the Particle Swarm Optimization (PSO) algorithm, which enhances the dynamic response and operational stability of open-channel gate control. We apply this framework to the Chahayang irrigation district. The results show that total canal seepage decreases by 1.21 × 107 m3, accounting for 3.9% of the district’s annual water supply, and the irrigation cycle is shortened from 45 days to 40.54 days, improving efficiency by 9.91%. Compared with conventional PID control, the PSO-optimized Fuzzy PID controller reduces overshoot by 4.84%, and shortens regulation time by 39.51%. These findings indicate that the proposed method can significantly improve irrigation water allocation efficiency and gate control performance under uncertain and variable water supply conditions. Full article
(This article belongs to the Section Water, Agriculture and Aquaculture)
Show Figures

Figure 1

21 pages, 1543 KB  
Article
Understanding Patient Adherence Through Sensor Data: An Integrated Approach to Chronic Disease Management
by David Díaz-Jiménez, José L. López Ruiz, Juan F. Gaitán-Guerrero and Macarena Espinilla Estévez
Appl. Sci. 2025, 15(24), 13226; https://doi.org/10.3390/app152413226 - 17 Dec 2025
Abstract
Treatment adherence in chronic diseases is addressed here as a measurable construct that can be formally defined and computed from heterogeneous IoT data streams. The central contribution of this work lies in establishing a mathematical formulation of adherence that integrates both explicit treatment-related [...] Read more.
Treatment adherence in chronic diseases is addressed here as a measurable construct that can be formally defined and computed from heterogeneous IoT data streams. The central contribution of this work lies in establishing a mathematical formulation of adherence that integrates both explicit treatment-related activities and behavioural indicators derived from sensor observations. The methodology specifies how raw data from wearables, BLE beacons, and ambient devices can be transformed into clinically meaningful activities through fuzzy logic, enabling the representation of uncertainty, temporal variability, and partial evidence. This framework also accommodates activity labels generated by machine learning models, providing a mechanism to adapt their outputs—originally expressed as probabilistic or categorical predictions—into fuzzy memberships suitable for adherence computation. By unifying sensor-driven activity extraction and model-based activity recognition under a common fuzzy representation, the proposed formulation delivers a coherent pathway for calculating adherence across multiple dimensions and contexts, thereby supporting robust and interpretable evaluation of patient behaviour. By integrating these elements, the methodology provides a comprehensive and interpretable profile of adherence, moving from isolated measures to a unified characterisation of patient behaviour. The framework enables healthcare professionals and patients to better monitor progress, anticipate risks, and support long-term disease management. Full article
(This article belongs to the Special Issue Applications of Artificial Intelligence in the IoT)
Show Figures

Figure 1

24 pages, 3603 KB  
Article
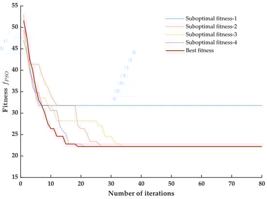
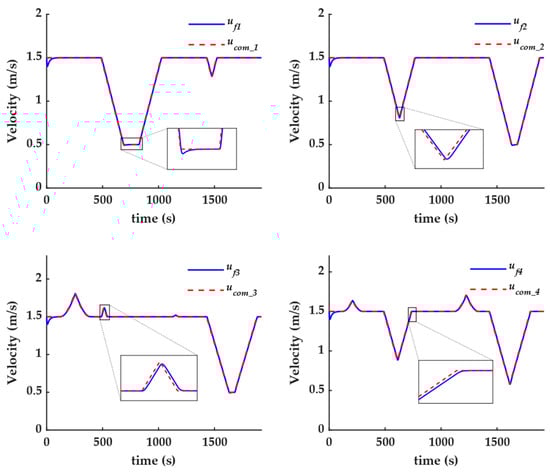
Research on Multi-UUVs Dynamic Formation Reconfiguration Considering Underwater Acoustic Communication Characteristics
by Chuang Wan, Tao Chen, Zhenghong Liu and Yunyao Fan
J. Mar. Sci. Eng. 2025, 13(12), 2388; https://doi.org/10.3390/jmse13122388 - 16 Dec 2025
Abstract
This study investigates the dynamic formation reconfiguration problem for multi-UUV (multi-Unmanned Underwater Vehicle) systems, with a particular focus on the challenges posed by underwater acoustic communication. A two-dimensional grid model is established in the horizontal plane, taking the leader vehicle as a reference [...] Read more.
This study investigates the dynamic formation reconfiguration problem for multi-UUV (multi-Unmanned Underwater Vehicle) systems, with a particular focus on the challenges posed by underwater acoustic communication. A two-dimensional grid model is established in the horizontal plane, taking the leader vehicle as a reference point. Based on this model, fundamental motion strategies for formation reconfiguration are proposed. To facilitate reconfiguration, the Particle Swarm Optimization (PSO) algorithm is utilized to assign desired position points to the follower UUVs within the new formation, enabling dynamic target point planning during reconfiguration. Furthermore, the process of generating motion guidance commands and the impact of acoustic communication delays during command transmission are analyzed. To address these delays, a fuzzy logic-based delay compensation method is proposed. Simulation experiments were conducted to validate the proposed approach. The results demonstrate that the formation reconfiguration planning method and the centralized command communication compensation strategy are both effective and practical for multi-UUV systems. Full article
(This article belongs to the Section Ocean Engineering)
Show Figures

Figure 1

28 pages, 11338 KB  
Article
Quantitative Prediction and Assessment of Copper Deposits in Northwestern Hubei Based on the Fuzzy Weight-of-Evidence Model
by Hongtao Shi, Shuyun Xie, Hong Luo and Xiang Wan
Minerals 2025, 15(12), 1313; https://doi.org/10.3390/min15121313 - 16 Dec 2025
Abstract
The northwestern Hubei region, primarily encompassing Shiyan City and Yunxi County in Hubei Province, constitutes a crucial component of the South Qinling Tectonic Belt. The Neoproterozoic Wudang Group in the study area exhibits Cu element enrichment, with ore deposit formation closely associated with [...] Read more.
The northwestern Hubei region, primarily encompassing Shiyan City and Yunxi County in Hubei Province, constitutes a crucial component of the South Qinling Tectonic Belt. The Neoproterozoic Wudang Group in the study area exhibits Cu element enrichment, with ore deposit formation closely associated with stratigraphic and structural features. This study evaluates copper mineral resource distribution and metallogenic potential in northwestern Hubei by employing factor analysis, concentration-area fractal modeling, and the fuzzy weights-of-evidence method based on stream sediment data, aiming to construct a metallogenic potential model. Factor analysis was applied to process 2002 stream sediment samples of 32 elements to identify principal factors related to copper mineralization. Inverse distance interpolation was used to generate element distribution maps of principal factors, which were integrated with geological and structural data to establish a model using the fuzzy weights of evidence method. Prediction results indicate that most known copper deposits are located within posterior favourability ranges of 0.0027–0.272, constrained by stratigraphic and fault controls. The central northwestern Hubei region is identified as a priority target for future copper exploration. This research provides methodological references for conducting mineral resource potential assessments in north-western Hubei using innovative evaluation approaches. Full article
(This article belongs to the Section Mineral Exploration Methods and Applications)
Show Figures

Figure 1

20 pages, 6183 KB  
Article
Multi-Parameter Assessment and Validation of Cable Insulation Using Game Theory and Fuzzy Comprehensive Evaluation
by Qianqiu Shao, Songhai Fan, Zongxi Zhang, Fenglian Liu, Jinkui Lu, Zhengzheng Fu and Pinlei Lv
Energies 2025, 18(24), 6565; https://doi.org/10.3390/en18246565 - 16 Dec 2025
Abstract
Accurate assessment of high-voltage cable insulation condition is essential for safe operation in complex tunnel environments. Traditional methods relying on single diagnostic indicators and fixed weighting schemes often suffer from limited accuracy and adaptability. This paper proposes a multi-parameter assessment method integrating game [...] Read more.
Accurate assessment of high-voltage cable insulation condition is essential for safe operation in complex tunnel environments. Traditional methods relying on single diagnostic indicators and fixed weighting schemes often suffer from limited accuracy and adaptability. This paper proposes a multi-parameter assessment method integrating game theory with fuzzy comprehensive evaluation. Five types of online monitoring data, namely cable surface temperature, sheath grounding current, partial discharge, tunnel humidity, and ambient temperature, are selected as diagnostic parameters. Subjective and objective weights are first derived using the analytic hierarchy process and the entropy weight method, and then optimally integrated through a game-theoretic framework. Fuzzy membership functions are applied to construct an evaluation matrix, enabling quantitative and graded assessment of insulation condition. A case study on 110 kV tunnel high-voltage land cables in Zhejiang, China, verifies the effectiveness of the approach. Results show that the proposed method more accurately reflects actual operating conditions and provides higher diagnostic precision and robustness compared with single-feature and traditional weighting methods. By combining expert knowledge with real monitoring data, this study develops a scientific and practical framework for insulation condition assessment, offering reliable support to real-time insulation monitoring and predictive maintenance applications of high-voltage power transmission systems. Full article
(This article belongs to the Section F: Electrical Engineering)
Show Figures

Figure 1

18 pages, 6849 KB  
Article
Neuro-Fuzzy Framework with CAD-Based Descriptors for Predicting Fabric Utilization Efficiency
by Anastasios Tzotzis, Prodromos Minaoglou, Dumitru Nedelcu, Simona-Nicoleta Mazurchevici and Panagiotis Kyratsis
Eng 2025, 6(12), 368; https://doi.org/10.3390/eng6120368 - 16 Dec 2025
Viewed by 53
Abstract
This study presents an intelligent modeling framework for predicting fabric nesting efficiency (NE) based on geometric descriptors of garment patterns, offering a rapid alternative to conventional nesting software. A synthetic dataset of 1000 layouts was generated using a custom Python algorithm that simulates [...] Read more.
This study presents an intelligent modeling framework for predicting fabric nesting efficiency (NE) based on geometric descriptors of garment patterns, offering a rapid alternative to conventional nesting software. A synthetic dataset of 1000 layouts was generated using a custom Python algorithm that simulates realistic garment-like shapes within a fixed fabric size. Each layout was characterized by five geometric descriptors: number of pieces (NP), average piece area (APA), average aspect ratio (AAR), average compactness (AC), and average convexity (CVX). The relationship between these descriptors and NE was modeled using a Sugeno-type Adaptive Neuro-Fuzzy Inference System (ANFIS). Various membership function (MF) structures were examined, and the configuration 3-3-2-2-2 was identified as optimal, yielding a mean relative error of −0.1%, with high coefficient of determination (R2 > 0.98). The model was validated through comparison between predicted NE values and results obtained from an actual nesting process performed with Deepnest.io, demonstrating strong agreement. The proposed method enables efficient estimation of NE directly from CAD-based parameters, without requiring computationally intensive nesting simulations. This approach provides a valuable decision-support tool for fabric and apparel designers, facilitating rapid assessment of material utilization and supporting design optimization toward reduced fabric waste. Full article
(This article belongs to the Special Issue Artificial Intelligence for Engineering Applications, 2nd Edition)
Show Figures

Figure 1

24 pages, 741 KB  
Article
Combining Fuzzy Cognitive Maps and Metaheuristic Algorithms to Predict Preeclampsia and Intrauterine Growth Restriction
by María Paula García, Jesús David Díaz-Meza, Kenia Hoyos, Bethia Pacheco, Rodrigo García and William Hoyos
Informatics 2025, 12(4), 141; https://doi.org/10.3390/informatics12040141 - 15 Dec 2025
Viewed by 151
Abstract
Preeclampsia (PE) and intrauterine growth restriction (IUGR) are obstetric complications associated with placental dysfunction, which represent a public health problem due to high maternal and fetal morbidity and mortality. Early detection is crucial for timely interventions. Therefore, this study proposes the development of [...] Read more.
Preeclampsia (PE) and intrauterine growth restriction (IUGR) are obstetric complications associated with placental dysfunction, which represent a public health problem due to high maternal and fetal morbidity and mortality. Early detection is crucial for timely interventions. Therefore, this study proposes the development of models based on fuzzy cognitive maps (FCM) optimized with metaheuristic algorithms (particle swarm optimization (PSO) and genetic algorithms (GA)) for the prediction of PE and IUGR. The results showed that FCM-PSO applied to the PE dataset achieved excellent performance (accuracy, precision, recall, and F1-Score = 1.0). The FCM-GA model excelled in predicting IUGR with an accuracy and F1-Score of 0.97. Our proposed models outperformed those reported in the literature to predict PE and IUGR. Analysis of the relationships between nodes allowed for the identification of influential variables such as sFlt-1, sFlt-1/PlGF, and uterine Doppler parameters, in accordance with the pathophysiology of placental disorders. FCM optimized with PSO and GA offer a viable clinical alternative as a medical decision support system due to their ability to explore nonlinear relationships and interpretability of variables. In addition, they are suitable for scenarios where low computational resource consumption is required. Full article
Show Figures

Figure 1

51 pages, 3324 KB  
Review
Application of Artificial Intelligence in Control Systems: Trends, Challenges, and Opportunities
by Enrique Ramón Fernández Mareco and Diego Pinto-Roa
AI 2025, 6(12), 326; https://doi.org/10.3390/ai6120326 - 14 Dec 2025
Viewed by 427
Abstract
The integration of artificial intelligence (AI) into intelligent control systems has advanced significantly, enabling improved adaptability, robustness, and performance in nonlinear and uncertain environments. This study conducts a PRISMA-2020-compliant systematic mapping of 188 peer-reviewed articles published between 2000 and 15 January 2025, identified [...] Read more.
The integration of artificial intelligence (AI) into intelligent control systems has advanced significantly, enabling improved adaptability, robustness, and performance in nonlinear and uncertain environments. This study conducts a PRISMA-2020-compliant systematic mapping of 188 peer-reviewed articles published between 2000 and 15 January 2025, identified through fully documented Boolean queries across IEEE Xplore, ScienceDirect, SpringerLink, Wiley, and Google Scholar. The screening process applied predefined inclusion–exclusion criteria, deduplication rules, and dual independent review, yielding an inter-rater agreement of κ = 0.87. The resulting synthesis reveals three dominant research directions: (i) control model strategies (36.2%), (ii) parameter optimization methods (45.2%), and (iii) adaptability mechanisms (18.6%). The most frequently adopted approaches include fuzzy logic structures, hybrid neuro-fuzzy controllers, artificial neural networks, evolutionary and swarm-based metaheuristics, model predictive control, and emerging deep reinforcement learning frameworks. Although many studies report enhanced accuracy, disturbance rejection, and energy efficiency, the analysis identifies persistent limitations, including overreliance on simulations, inconsistent reporting of hyperparameters, limited real-world validation, and heterogeneous evaluation criteria. This review consolidates current AI-enabled control technologies, compares methodological trade-offs, and highlights application-specific outcomes across renewable energy, robotics, agriculture, and industrial processes. It also delineates key research gaps related to reproducibility, scalability, computational constraints, and the need for standardized experimental benchmarks. The results aim to provide a rigorous and reproducible foundation for guiding future research and the development of next-generation intelligent control systems. Full article
Show Figures

Figure 1

23 pages, 5413 KB  
Article
Hardware/Software Partitioning Based on Area and Memory Metrics: Application to a Fuzzy Controller Algorithm for a DC Motor
by Diego Hernán Gaytán Rivas, Jorge Rivera and Susana Ortega-Cisneros
Electronics 2025, 14(24), 4908; https://doi.org/10.3390/electronics14244908 - 13 Dec 2025
Viewed by 118
Abstract
In hardware/software (HW/SW) partitioning, the most commonly established objectives are execution time, power consumption, and hardware area. Surprisingly, memory usage, a critical resource in embedded systems, has received limited attention as a primary optimization objective. Moreover, the few studies that consider memory rarely [...] Read more.
In hardware/software (HW/SW) partitioning, the most commonly established objectives are execution time, power consumption, and hardware area. Surprisingly, memory usage, a critical resource in embedded systems, has received limited attention as a primary optimization objective. Moreover, the few studies that consider memory rarely provide an explicit, design-time estimation method. This work proposes a methodology for obtaining memory usage as a design metric, along with an objective function tailored to evaluate memory usage in systems-on-chip featuring a hard processor core and a Field-Programmable Gate Array suitable for a HW/SW partitioning problem. To validate the proposed methodology, HW/SW partitioning was carried out for a PD-type fuzzy control algorithm targeting a DC motor. The optimization problem was solved using the Non-dominated Sorting Genetic Algorithm II. The results demonstrate the feasibility and accuracy of the proposed approach, achieving more than 97.5% accuracy in predicting memory and hardware resource consumption. Additionally, the functional performance of the selected partition configuration was validated in real-time, where the tracking of different reference signals for the velocity of the motor was successfully achieved. Full article
Show Figures

Figure 1

30 pages, 4743 KB  
Article
A Lifestyle-Based Fuzzy-Enhanced ANN Model for Early Prediction of Type 2 Diabetes and Personalized Management in the North Indian Population
by Shahid Mohammad Ganie and Majid Bashir Malik
Diagnostics 2025, 15(24), 3139; https://doi.org/10.3390/diagnostics15243139 - 10 Dec 2025
Viewed by 258
Abstract
Background: Type 2 Diabetes Mellitus (T2DM) continues to rise rapidly in Indian communities, affecting millions and posing a major public health challenge. Early identification of risk and timely lifestyle intervention are crucial for prevention. This study aims to develop a lifestyle-driven, fuzzy-enhanced Artificial [...] Read more.
Background: Type 2 Diabetes Mellitus (T2DM) continues to rise rapidly in Indian communities, affecting millions and posing a major public health challenge. Early identification of risk and timely lifestyle intervention are crucial for prevention. This study aims to develop a lifestyle-driven, fuzzy-enhanced Artificial Neural Network (ANN) model for early T2DM prediction and to design a personalized recommendation framework tailored to the North Indian population. Methods: A comprehensive exploratory data analysis, including statistical significance testing and age-cohort assessment, was conducted to evaluate data quality and identify key lifestyle associations. The ANN model was trained on 1939 lifestyle profiles and classified individuals into four risk categories: low, moderate, high-risk, and diabetic. A monotonic spline-based calibration method was used to refine predicted probabilities. Additionally, a web-based system, the Personalized Care and Intelligence System for Early Diabetes Assessment (PCISEDA), was developed to deliver individualized diet and physical activity recommendations. Cost-effective lifestyle options were curated via a structured web-scraping pipeline. Results: The proposed fuzzy-enhanced ANN model achieved an accuracy of 93.64%, precision of 94.00%, recall of 93.50%, F1-score of 93.50%, and a multiclass ROC–AUC of 94.07%, demonstrating strong discriminative performance. Feature importance analysis revealed age, weight, urination frequency, and thirst as the most influential lifestyle predictors of T2DM risk. The PCISEDA system successfully generated personalized and economically feasible lifestyle recommendations for each risk category. Conclusions: This lifestyle-based AI framework demonstrates substantial potential for early T2DM risk stratification and tailored lifestyle management. The integration of fuzzy calibration and personalized recommendations offers an accurate, scalable, and cost-effective solution that may support diabetes prevention and management in resource-constrained healthcare settings. Full article
(This article belongs to the Section Machine Learning and Artificial Intelligence in Diagnostics)
Show Figures

Graphical abstract

20 pages, 3862 KB  
Article
Hybrid ANFIS–MPA and FFNN–MPA Models for Bitcoin Price Forecasting
by Ceren Baştemur Kaya, Ebubekir Kaya and Eyüp Sıramkaya
Biomimetics 2025, 10(12), 827; https://doi.org/10.3390/biomimetics10120827 - 10 Dec 2025
Viewed by 251
Abstract
This study introduces two hybrid forecasting models that integrate the Marine Predators Algorithm (MPA) with Adaptive Neuro-Fuzzy Inference Systems (ANFIS) and Feed-Forward Neural Networks (FFNN) for short-term Bitcoin price prediction. Daily Bitcoin data from 2022 were converted into supervised time-series structures with multiple [...] Read more.
This study introduces two hybrid forecasting models that integrate the Marine Predators Algorithm (MPA) with Adaptive Neuro-Fuzzy Inference Systems (ANFIS) and Feed-Forward Neural Networks (FFNN) for short-term Bitcoin price prediction. Daily Bitcoin data from 2022 were converted into supervised time-series structures with multiple input configurations. The proposed hybrid models were evaluated against six well-known metaheuristic algorithms commonly used for training intelligent forecasting systems. The results show that MPA consistently yields lower prediction errors, faster convergence, and more stable optimization behavior compared with alternative algorithms. Both ANFIS-MPA and FFNN-MPA maintained their advantage across all tested structures, demonstrating reliable performance under varying model complexities. All experiments were repeated multiple times, and the hybrid approaches exhibited low variance, indicating robust and reproducible behavior. Overall, the findings highlight the effectiveness of MPA as an optimizer for improving the predictive performance of neuro-fuzzy and neural network models in financial time-series forecasting. Full article
Show Figures

Figure 1

8 pages, 1306 KB  
Proceeding Paper
Prediction and Optimisation of Cr (VI) Removal by Modified Cellulose Nanocrystals from Aqueous Solution Using Machine Learning (ANN and ANFIS)
by Banza Jean Claude, Vhahangwele Masindi and Linda L. Sibali
Eng. Proc. 2025, 117(1), 12; https://doi.org/10.3390/engproc2025117012 - 9 Dec 2025
Viewed by 78
Abstract
Cellulose nanocrystals (CNCs) have emerged as highly efficient adsorbents for heavy metal removal owing to their biodegradability, wide availability, and rich surface chemistry. Their abundant hydroxyl and other reactive functional groups provide a high density of active sites, significantly enhancing their affinity and [...] Read more.
Cellulose nanocrystals (CNCs) have emerged as highly efficient adsorbents for heavy metal removal owing to their biodegradability, wide availability, and rich surface chemistry. Their abundant hydroxyl and other reactive functional groups provide a high density of active sites, significantly enhancing their affinity and adsorption capacity for toxic metal ions such as chromium (VI). The green adsorbent was characterised using FTIR to identify the functional groups. The optimum conditions were pH 6, concentration 140 mg/L, time 120 min, and adsorbent dosage 6 g/L, with a percentage removal of 95%. Deep machine learning was employed to predict the removal capacity of green and biodegradable adsorbents for chromium (VI) removal from wastewater. The findings show that adaptive neuro-fuzzy inference systems effectively model the prediction of Chromium (VI) adsorption. The Levenberg–Marquardt algorithm (LM) was used to train the network through feedforward propagation. In the training dataset, R2 was 0.966, Mean Square Error (MSE) 0.042, Absolute average relative error (AARE) 0.053, Root means square error (RMSE) 0.077, and average relative error (ARE) 0.053 for the artificial neural network. The RMSE of 0.021, AARE of 0.015, ARE of 0.01, MSE of 0.017, and R2 of 0.998 for the adaptive neuro-fuzzy inference system. These findings confirm the strong adsorption potential of CNCs and the suitability of advanced machine learning models for forecasting heavy metal removal efficiency. Full article
Show Figures

Figure 1

14 pages, 409 KB  
Article
Application of Adaptive Neuro-Fuzzy Inference System for EPS Prediction in the European Banking Sector
by Tamás Földi, Gergő Thalmeiner and Zoltán Zéman
J. Risk Financial Manag. 2025, 18(12), 680; https://doi.org/10.3390/jrfm18120680 - 1 Dec 2025
Viewed by 216
Abstract
Financial forecasting remains essential for supporting strategic decisions and risk oversight in the banking sector. This study examines whether Adaptive Neuro-Fuzzy Inference Systems (ANFISs) can enhance Earnings per Share (EPS) prediction for European banks by integrating four core financial indicators: Return on Assets, [...] Read more.
Financial forecasting remains essential for supporting strategic decisions and risk oversight in the banking sector. This study examines whether Adaptive Neuro-Fuzzy Inference Systems (ANFISs) can enhance Earnings per Share (EPS) prediction for European banks by integrating four core financial indicators: Return on Assets, Return on Equity, Capital Ratio, and Profit Margin. Using an annual panel of 25 institutions between 2013 and 2023, we benchmark multiple membership function shapes and granularities to identify robust model configurations. The empirical analysis combines chronological holdout testing with Leave-One-Out cross-validation to evaluate accuracy and stability. Findings highlight a sigmoid-based ANFIS specification with four fuzzy sets per input as the most consistent performer, offering interpretable rules that complement conventional forecasting techniques. Full article
(This article belongs to the Section Banking and Finance)
Show Figures

Figure 1

20 pages, 352 KB  
Article
A New Look at Vaccination Behaviors and Intentions: The Case of Influenza
by Valerie F. Reyna, Sarah M. Edelson, David M. N. Garavito, Michelle M. Galindez, Aadya Singh, Julia Fan and Jiwoo Suh
Behav. Sci. 2025, 15(12), 1645; https://doi.org/10.3390/bs15121645 - 30 Nov 2025
Viewed by 318
Abstract
Although viral outbreaks are increasing, vaccination rates are decreasing. Our aim was to explain this baffling behavior that seems to contradict rational self-interest, and, thus, be beyond the purview of rational choice theories. We integrated fuzzy-trace theory and major theoretical alternatives and applied [...] Read more.
Although viral outbreaks are increasing, vaccination rates are decreasing. Our aim was to explain this baffling behavior that seems to contradict rational self-interest, and, thus, be beyond the purview of rational choice theories. We integrated fuzzy-trace theory and major theoretical alternatives and applied them to influenza, testing theoretical predictions in two samples: young adults (who are major viral vectors), N = 722, and community members, N = 185. Controlling for prior knowledge and other psychosocial factors that influence vaccination, explained variance jumped significantly when key predictors from fuzzy-trace theory were added, reaching 62% and 80% for vaccination intentions and 37% and 59% for behavior for each sample, respectively. Single items assessing global gist perceptions of risks and benefits achieved remarkable levels of diagnosticity. Key predictors were intuitive in that they were gisty, imprecise, and non-analytical. In contrast, rational system 2 measures—numeracy and cognitive reflection—were not predictive. These results provide new insights into why individuals vaccinate or not and new avenues for interventions to improve shared clinical decision-making. Full article
(This article belongs to the Section Health Psychology)
Back to TopTop