Sign in to use this feature.

Years

Between: -

Subjects

remove_circle_outline
remove_circle_outline
remove_circle_outline
remove_circle_outline
remove_circle_outline
remove_circle_outline
remove_circle_outline
remove_circle_outline
remove_circle_outline

Journals

remove_circle_outline
remove_circle_outline
remove_circle_outline

Article Types

Countries / Regions

remove_circle_outline
remove_circle_outline
remove_circle_outline
remove_circle_outline

Search Results (265)

Search Parameters:
Keywords = fungal evolution

Order results
Result details
Results per page
Select all
Export citation of selected articles as:
21 pages, 698 KB  
Review
Experimental Evolution of Pathogenic Candida spp.: Insights into Adaptive Processes and Evolutionary Dynamics
by Gonçalo Sousa, Inês Correia and Ana Rita Bezerra
Microorganisms 2026, 14(2), 273; https://doi.org/10.3390/microorganisms14020273 - 24 Jan 2026
Viewed by 106
Abstract
Among Candida species, several are major opportunistic fungal pathogens capable of causing a wide spectrum of infections, ranging from superficial mucosal conditions to severe systemic diseases. Their success as human pathogens is largely due to their ability to rapidly adapt to diverse host [...] Read more.
Among Candida species, several are major opportunistic fungal pathogens capable of causing a wide spectrum of infections, ranging from superficial mucosal conditions to severe systemic diseases. Their success as human pathogens is largely due to their ability to rapidly adapt to diverse host environments and develop resistance to antifungal agents. Experimental evolution provides a powerful framework for understanding these adaptive processes by observing evolutionary change in real-time. Although most studies rely on in vitro systems and a limited set of Candida species, there is strong evidence that genome plasticity, including aneuploidy, loss of heterozygosity, and copy number variation, plays a central role in driving rapid adaptation. Experimental evolution has also been applied to study the dynamics of antifungal resistance, particularly to azoles, although relatively fewer studies have explored resistance to echinocandins and polyenes. This review summarizes current knowledge on experimental evolution in pathogenic Candida species, with a focus on genome plasticity, adaptation to host-imposed stress, and particularly on the emergence of antifungal resistance. It also identifies critical research gaps, including the need for broader species coverage, investigation of underexplored antifungal classes, and evaluation of combined therapies. A deeper understanding of these dynamics is essential to improve antifungal strategies and counter the growing threat of drug-resistant Candida spp. infections. Full article
(This article belongs to the Section Medical Microbiology)
Show Figures

Figure 1

17 pages, 1647 KB  
Article
Novel Genetic Diversity and Geographic Structures of Aspergillus fumigatus (Order Eurotiales, Family Aspergillaceae) in the Karst Regions of Guizhou, China
by Duanyong Zhou, Yixian Liu, Qifeng Zhang, Ying Zhang and Jianping Xu
Microorganisms 2026, 14(1), 237; https://doi.org/10.3390/microorganisms14010237 - 20 Jan 2026
Viewed by 183
Abstract
Aspergillus fumigatus is the primary pathogen causing aspergillosis. Recent molecular population genetic studies have demonstrated that A. fumigatus exhibits high local genetic diversity, with evidence for limited differentiation among geographic populations. However, research on the impacts of geomorphological factors on shaping the population [...] Read more.
Aspergillus fumigatus is the primary pathogen causing aspergillosis. Recent molecular population genetic studies have demonstrated that A. fumigatus exhibits high local genetic diversity, with evidence for limited differentiation among geographic populations. However, research on the impacts of geomorphological factors on shaping the population genetic diversity patterns of this species remains scarce. In this study, large-scale sampling and in-depth population genetic analysis were performed on soil-derived A. fumigatus from Guizhou Province, a representative karst landscape in southern China. This area is dominated by plateaus and mountains (accounting for 92.5% of the total area) and represents a classic example of conical karst landscapes. A total of 206 A. fumigatus strains were isolated from 9 sampling sites across Guizhou. Genetic diversity, genetic differentiation, and population structure of these strains were analyzed based on short tandem repeats (STRs) at 9 loci. The results revealed that A. fumigatus in the karst region of Guizhou harbors abundant novel alleles and genotypes, with high genetic diversity. Gene flow among geographical populations was infrequent, and significant genetic differentiation was detected between 30 of the 36 pairs of geographical populations where mountain ranges played a very important role, with the overall regional genetic differentiation reaching PhiPT = 0.061 (p = 0.001). Furthermore, the Guizhou populations showed significant differences from those reported in other regions worldwide. Surprisingly, only one of the 206 (0.49%) A. fumigatus isolates from this region exhibited resistance to the two medical triazoles commonly used for treating aspergillosis, and this resistance frequency was far lower than those reported in previous studies from other regions. We discuss the implications of our results for evolution and environmental antifungal resistance management in this important human fungal pathogen. Full article
(This article belongs to the Special Issue Ecology and Genetics of Medically Important Fungi)
Show Figures

Figure 1

39 pages, 9691 KB  
Review
Advances in Targeting BCR-ABLT315I Mutation with Imatinib Derivatives and Hybrid Anti-Leukemic Molecules
by Aleksandra Tuzikiewicz, Wiktoria Wawrzyniak, Andrzej Kutner and Teresa Żołek
Molecules 2026, 31(2), 341; https://doi.org/10.3390/molecules31020341 - 19 Jan 2026
Viewed by 136
Abstract
Resistance to imatinib remains a therapeutic challenge, largely driven by point mutations within the kinase domain of the BCR-ABL, among which the T315I substitution constitutes the most clinically significant barrier. Ponatinib effectively inhibits this mutant form but is limited by dose-dependent cardiovascular [...] Read more.
Resistance to imatinib remains a therapeutic challenge, largely driven by point mutations within the kinase domain of the BCR-ABL, among which the T315I substitution constitutes the most clinically significant barrier. Ponatinib effectively inhibits this mutant form but is limited by dose-dependent cardiovascular toxicity, prompting efforts to develop safer and more selective agents. Recent advances highlight aminopyrimidine-derived scaffolds and their evolution into thienopyrimidines, oxadiazoles, and pyrazines with improved activity against BCR-ABLT315I. Further progress has been achieved with benzothiazole–picolinamide hybrids incorporating a urea-based pharmacophore, which benefit from strategic hinge-region substitutions and phenyl linkers that enhance potency. Parallel research into dual-mechanism inhibitors, including Aurora and p38 kinase modulators, demonstrates additional opportunities for overcoming resistance. Combination strategies, such as vorinostat with ponatinib, provide complementary therapeutic avenues. Natural-product-inspired approaches utilizing fungal metabolites provided structurally diverse scaffolds that could engage sterically constrained mutant kinases. Hybrid molecules derived from approved TKIs, including GNF-7, olverembatinib, and HG-7-85-01, exemplify rational design trends that balance efficacy with improved safety. Molecular modeling continues to deepen understanding of ligand engagement within the T315I-mutated active site, supporting the development of next-generation inhibitors. In this review, we summarized recent progress in the design, optimization, and biological evaluation of small molecules targeting the BCR-ABLT315I mutation. Full article
Show Figures

Figure 1

22 pages, 421 KB  
Review
From the Ground to the Clinic: The Evolution and Adaptation of Fungi
by Dario Corrêa-Junior, Daniel Zamith-Miranda, Susana Frases and Joshua D. Nosanchuk
J. Fungi 2026, 12(1), 8; https://doi.org/10.3390/jof12010008 - 23 Dec 2025
Viewed by 687
Abstract
Fungi constitute a diverse kingdom of eukaryotic organisms with remarkable adaptability, ranging from saprophytic decomposers to lethal human pathogens. This review synthesizes current insights into fungal adaptations that underline pathogenesis, focusing on enzymatic strategies including hydrolytic enzymes, metabolic and physiological plasticity such as [...] Read more.
Fungi constitute a diverse kingdom of eukaryotic organisms with remarkable adaptability, ranging from saprophytic decomposers to lethal human pathogens. This review synthesizes current insights into fungal adaptations that underline pathogenesis, focusing on enzymatic strategies including hydrolytic enzymes, metabolic and physiological plasticity such as thermotolerance and nutrient flexibility, and evasion of host immunity via mechanisms like melanin production and biofilm formation. We detail fungal survival tactics including spore formation and genomic and epigenetic plasticity, which contribute to resilience and evolution under environmental and host-imposed stresses. The escalating emergence of antifungal resistance and the global impact of environmental changes underscore urgent clinical challenges. Advances in diagnostics, novel therapeutics incorporating AI-assisted drug discovery, and integrated One Health approaches are poised to combat this growing threat. This comprehensive overview aims to guide future research and inform clinical management of fungal infections in an era of dynamic microbial evolution and environmental upheaval. Full article
30 pages, 6128 KB  
Article
Sustainable Synthesis of Copper Oxide Nanoparticles: Data-Driven Photocatalysis, Pt-Free Hydrogen Production, and Antibacterial Assessment
by Umar Farooq, Mohammad Ehtisham Khan, Akbar Mohammad, Nazim Hasan, Abdullah Ali Alamri and Mukul Sharma
Catalysts 2025, 15(12), 1163; https://doi.org/10.3390/catal15121163 - 11 Dec 2025
Viewed by 676
Abstract
This study reports the green synthesis of copper oxide nanoparticles (CuO NPs) using Oxystelma esculentum extract as a reducing and stabilizing agent. The state-of-the-art analysis confirmed their spherical morphology, with an average particle size ranging from 20 to 25 nm, while XRD indicated [...] Read more.
This study reports the green synthesis of copper oxide nanoparticles (CuO NPs) using Oxystelma esculentum extract as a reducing and stabilizing agent. The state-of-the-art analysis confirmed their spherical morphology, with an average particle size ranging from 20 to 25 nm, while XRD indicated a crystalline structure consistent with the standard JCPDS card. The photocatalytic degradation of norfloxacin (NOR) was optimized using Response Surface Methodology (RSM), which identified the optimal conditions as a reaction time = 47.51 min, CuO-NPs dose = 48.46 mg, NOR dose = 35.90 ppm, and pH = 5.23. Under these optimized conditions, the CuO NPs achieved an initial degradation efficiency of 90%. In addition to photocatalytic degradation, the hydrogen (H2) evolution performance of the CuO NPs was evaluated, yielding a H2 production rate of 19.52 mmol g−1 h−1 under visible light. Moreover, the antimicrobial activity of the CuO NPs was assessed, showing significant antibacterial effects with inhibition zones of 8 mm and 9 mm against Klebsiella and Bacillus species. The CuO NPs also exhibited potent anticancer activity with an IC50 value of 15.3 ± 1.40 μM against the HeLa cell line and notable antifungal activity with inhibition rates ranging from 70% to 90% against various fungal species. Full article
(This article belongs to the Special Issue Advanced Catalysis for Energy and a Sustainable Environment)
Show Figures

Graphical abstract

11 pages, 660 KB  
Article
In Vitro Fungistatic Bioactivity of a Biostimulant Based on Pine Bark Extract Against Phytopathogenic Fungi
by Marika Lamendola, Giacomo Fiore, Piotr Gulczynski, Marzenna Maria Smolenska and Livio Torta
Horticulturae 2025, 11(11), 1375; https://doi.org/10.3390/horticulturae11111375 - 14 Nov 2025
Viewed by 489
Abstract
The use of biostimulants and corroborants is increasing worldwide. Laboratory and field assays show their effectiveness in improving the vegetative performance of plants and their tolerance to abiotic stresses. This study aims to evaluate the in vitro activity of a biostimulant, based on [...] Read more.
The use of biostimulants and corroborants is increasing worldwide. Laboratory and field assays show their effectiveness in improving the vegetative performance of plants and their tolerance to abiotic stresses. This study aims to evaluate the in vitro activity of a biostimulant, based on pine bark extract, against some fungal phytopathogens. This research was carried out at the Laboratory of Plant Pathology (SAAF Department, University of Palermo, Italy), employing the poison food technique. Artificial agar media (Potato Dextrose Agar, PDA), simple or added with different concentrations of the biostimulant, were used to evaluate the differences in diametral growth of the fungi Aspergillus niger, Aspergillus tubingensis, Botrytis cinerea, Coriolopsis gallica, Fomitiporia mediterranea, Fusarium oxysporum, Pleurostoma richardsiae and Pleurotus ostreatus. The biostimulant was shown to contain the growth of most of the tested fungi, with the greatest effectiveness on A. tubingensis, C. gallica, F. mediterranea and P. richardsiae at the highest concentration, moderate effects on A. niger, F. oxysporum and P. ostreatus and no effect on B. cinerea. The observed fungistatic effects suggest that this biostimulant could contribute to integrated disease management while supporting more sustainable crop protection practices. In vivo tests aimed at evaluating the efficacy of these products on the evolution of different diseases in the field are ongoing, and preliminary results are promising but they are part of future work. Full article
(This article belongs to the Section Plant Pathology and Disease Management (PPDM))
Show Figures

Graphical abstract

19 pages, 2327 KB  
Article
Transcriptomic Analysis of Copper Resistance in Saccharomyces cerevisiae: Insights into Adaptive Evolution and Potential Implications for Wood Preservative Treatments
by Kusung Chung and Tae-Jong Kim
Antibiotics 2025, 14(11), 1152; https://doi.org/10.3390/antibiotics14111152 - 14 Nov 2025
Viewed by 542
Abstract
Background/Objectives: Copper-based wood preservatives are widely used to protect timber from fungal decay; however, the emergence of copper-tolerant fungi reduces their long-term effectiveness. This study aimed to elucidate the molecular mechanisms underlying copper resistance in Saccharomyces cerevisiae through adaptive evolution and transcriptomic [...] Read more.
Background/Objectives: Copper-based wood preservatives are widely used to protect timber from fungal decay; however, the emergence of copper-tolerant fungi reduces their long-term effectiveness. This study aimed to elucidate the molecular mechanisms underlying copper resistance in Saccharomyces cerevisiae through adaptive evolution and transcriptomic profiling. Methods: A copper-resistant mutant was developed via stepwise exposure to CuSO4·5H2O, and its gene expression profile was compared to the wild-type strain under copper stress and non-stress conditions using Affymetrix GeneChip Yeast Genome 2.0 arrays. Results: Differential expression analysis revealed upregulation of key genes involved in copper transport (ATX1 and CTR1), the oxidative stress response (RCK1 and SOD1), and metal ion detoxification (FRE3 and SLF1). Functional enrichment analysis highlighted the significant activation of pathways related to protein folding, mitochondrial function, and transcriptional regulation. Conclusions: These findings provide insights into the adaptive strategies employed by S. cerevisiae to tolerate copper stress and suggest potential gene targets for the development of more effective wood preservatives capable of mitigating fungal resistance. Full article
(This article belongs to the Section Mechanism and Evolution of Antibiotic Resistance)
Show Figures

Graphical abstract

17 pages, 2812 KB  
Article
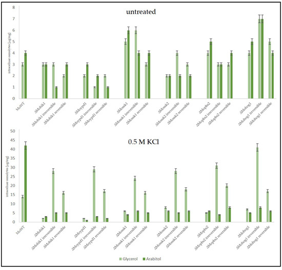
Directed Experimental Adaptive Evolution of Osmoregulation in Fungal Pathogen Magnaporthe oryzae Is Independent of Glycerol Metabolism-Associated Genes
by Katharina Bersching, Christiane Grünewald and Stefan Jacob
Biology 2025, 14(11), 1545; https://doi.org/10.3390/biology14111545 - 4 Nov 2025
Viewed by 668
Abstract
Directed experimental adaptive evolution in fungal pathogens is largely unexplored. In the phytopathogenic fungus Magnaporthe oryzae, long-term cultivation under osmotic stress was found to lead to individuals arising as suppressor strains out of osmosensitive “loss-of-function” mutants, in which the high osmolarity glycerol [...] Read more.
Directed experimental adaptive evolution in fungal pathogens is largely unexplored. In the phytopathogenic fungus Magnaporthe oryzae, long-term cultivation under osmotic stress was found to lead to individuals arising as suppressor strains out of osmosensitive “loss-of-function” mutants, in which the high osmolarity glycerol (HOG) pathway was inactivated. The underlying mechanisms of reestablished osmoregulation in the suppressor strains are not known. Here, we found that two different types emerged from the mycelium parts of each ∆Mohik1, ∆Moypd1, ∆Mossk1, ∆Mossk2, ∆Mopbs2, and ∆Mohog1: reversible suppressors, which still struggle with osmotic stress, and irreversible suppressors, which can cope with the same stress situations. This phenomenon only takes place in lof mutants, which are related to the HOG pathway and are not in other osmosensitive mutants. Both suppressor types produce glycerol as a stress response instead of arabitol as it is in the wildtype strain. Glycerol production was found to be almost twice as high in the irreversible strains as compared to the reversible strains. Thus, glycerol metabolism (gm) was assumed to be involved in the molecular mechanism of this adaptive-driven evolution. We generated a set of double mutant strains in which we deleted different gm-related genes within the HOG lof-mutants. Since suppressors originate from these double lof-mutants upon long-term stress, we exclude gm-associated genes acting as drivers for adaptive-driven evolution. Full article
(This article belongs to the Section Microbiology)
Show Figures

Figure 1

27 pages, 1563 KB  
Review
Microbial Degradation of Herbicide Residues in Australian Soil: An Overview of Mechanistic Insights and Recent Advancements
by Imtiaz Faruk Chowdhury, Gregory S. Doran, Benjamin J. Stodart, Chengrong Chen and Hanwen Wu
Toxics 2025, 13(11), 949; https://doi.org/10.3390/toxics13110949 - 3 Nov 2025
Cited by 1 | Viewed by 2647
Abstract
Herbicides are chemical compounds that are toxic to weed plants. Modern agriculture relies heavily on herbicides for the control of weeds to maximize crop yields. Herbicide usage in the Australian grains industry is estimated to have increased by more than 65% from 2014 [...] Read more.
Herbicides are chemical compounds that are toxic to weed plants. Modern agriculture relies heavily on herbicides for the control of weeds to maximize crop yields. Herbicide usage in the Australian grains industry is estimated to have increased by more than 65% from 2014 to 2024, which equates to more than AUD 2.50 billion dollars per year. The increased popularity of herbicides in farming systems has raised concerns about their negative impacts on the environment, human health and agricultural sustainability due to the rapid evolution of herbicide resistance, as well as their behaviour and fate in the soil. Due to excessive use of herbicides, soil and water pollution, reduced biodiversity and depression in soil heterotrophic bacteria (including denitrifying bacteria) and fungi are becoming increasingly common. Biological degradation governed by microorganisms serves as a major natural remediation process for a variety of pollutants including herbicides. This review provides a brief overview of the present status of herbicide residues in Australian farming systems, with a focus on the microbial degradation of herbicides in soil. It highlights key bacterial and fungal strains involved and the environmental factors influencing the biodegradation process. Recent advancements, including the application of omics technologies, are outlined to provide a comprehensive understanding of the biodegradation process. Full article
Show Figures

Graphical abstract

21 pages, 1307 KB  
Review
Multilayered Regulation of Fungal Phosphate Metabolism: From Molecular Mechanisms to Ecological Roles in the Global Phosphorus Cycle
by Yanan Tan, Yanda Ning, Siyi Wang, Faqin Li, Xuewei Cao, Qin Wang and Ang Ren
Life 2025, 15(11), 1676; https://doi.org/10.3390/life15111676 - 28 Oct 2025
Cited by 1 | Viewed by 967
Abstract
Phosphates are essential nutrients for living organisms, and they are involved in various biological processes, including lipid metabolism, energy synthesis, and signal regulation. Recent studies have elucidated the fundamental components and transport proteins of phosphate signaling pathways, thereby providing a more profound understanding [...] Read more.
Phosphates are essential nutrients for living organisms, and they are involved in various biological processes, including lipid metabolism, energy synthesis, and signal regulation. Recent studies have elucidated the fundamental components and transport proteins of phosphate signaling pathways, thereby providing a more profound understanding of phosphate metabolism in fungi. In this review, we concentrate on synthesizing the recent findings concerning phosphate metabolism in fungi over the past five years. These findings include the role of phosphates in the global phosphorus cycle, their effect on fungal growth and development, the variations in PHO signaling pathways among different species, and their pivotal role in symbiosis with plants. A mounting body of research substantiates the notion that phosphates play a pivotal role in regulating fungal life activities through a multifaceted mechanism. This regulatory function encompasses the promotion of growth and development, adaptation to environmental variations among different fungal species, and the evolution of distinct regulatory factors and transport proteins. Consequently, this fosters fungal diversity. Full article
(This article belongs to the Section Microbiology)
Show Figures

Figure 1

24 pages, 4698 KB  
Article
Cross-Kingdom Enzymatic Strategies for Deoxynivalenol Detoxification: Computational Analysis of Structural Mechanisms and Evolutionary Adaptations
by Francisco J. Enguita and Ana Lúcia Leitão
Microorganisms 2025, 13(10), 2384; https://doi.org/10.3390/microorganisms13102384 - 16 Oct 2025
Viewed by 1079
Abstract
Deoxynivalenol (DON) is a trichothecene mycotoxin produced by Fusarium species that frequently contaminates cereal crops, representing a major threat to food safety, public health, and agricultural productivity. Its remarkable chemical stability during food processing presents significant challenges for effective detoxification. Among the available [...] Read more.
Deoxynivalenol (DON) is a trichothecene mycotoxin produced by Fusarium species that frequently contaminates cereal crops, representing a major threat to food safety, public health, and agricultural productivity. Its remarkable chemical stability during food processing presents significant challenges for effective detoxification. Among the available mitigation strategies, biological approaches have emerged as particularly promising, as they exploit enzymatic systems capable of converting DON into metabolites with substantially reduced toxicity. In this study, we provide a comprehensive analysis of the structural and evolutionary mechanisms underlying DON detoxification across three kingdoms of life. We investigated the fungal glutathione S-transferase Fhb7, the bacterial DepA/DepB epimerization pathway, and the plant SPG glyoxalase using integrative bioinformatics, phylogenetics, molecular modeling, and docking simulations. The selected enzymatic systems employ distinct yet complementary strategies: Fhb7 conjugates DON with glutathione and disrupts its epoxide ring, DepA/DepB converts it into the less toxic 3-epi-DON through stereospecific epimerization, and SPG glyoxalase mediates DON isomerization. Despite their mechanistic differences, these enzymes share key adaptive features that enable efficient DON recognition and detoxification. This work provides an integrative view of cross-kingdom enzymatic strategies for DON degradation, offering insights into their evolution and functional diversity. These findings open avenues for biotechnological applications, including the development of DON-resistant crops and innovative solutions to reduce mycotoxin contamination in the food chain. Full article
(This article belongs to the Special Issue Secondary Metabolism of Microorganisms, 3rd Edition)
Show Figures

Figure 1

20 pages, 10097 KB  
Article
It’s a Question at the ‘Root’ of the Problem: Fungal Associations of Dionaea muscipula (Venus’ Flytrap) Roots in Its Native Habitat
by Anna A. Carnaggio and Michelle M. Barthet
Microorganisms 2025, 13(10), 2269; https://doi.org/10.3390/microorganisms13102269 - 27 Sep 2025
Viewed by 1206
Abstract
Carnivorous plants survive in harsh habitats with limited nutrients and a low pH. Much focus has been placed on carnivorous trap evolution as the primary mechanism to increase nutrient acquisition through insect digestion. Soil microbiome, however, may also play a pertinent role in [...] Read more.
Carnivorous plants survive in harsh habitats with limited nutrients and a low pH. Much focus has been placed on carnivorous trap evolution as the primary mechanism to increase nutrient acquisition through insect digestion. Soil microbiome, however, may also play a pertinent role in nutrient acquisition influencing plant vigor and overall success. Dionaea muscipula, commonly known as the Venus’ flytrap, is endemic to rims of the Carolina Bays located in southeast North Carolina and northeast South Carolina, where D. muscipula survives in nutrient poor soils with a vestigial root system. We utilized a combination of microscopy, plating, and metagenomics, to investigate the presence/absence of fungal partners that may contribute to success and vigor of D. muscipula in its native habitat in order to further conservation of this carnivorous plant. Results support that D. muscipula forms both mycorrhizal and fungal endophytic associations, most likely to aid nutrient uptake from otherwise nutrient-poor soils, as well as aid in stress defense. Several ectomycorrhizal, endophytic, and saprophytic fungal species were identified from the surrounding rhizosphere of D. muscipula roots presenting a first glimpse into fungal communities that may influence D. muscipula physiology and compose the microbiome of the Carolina Bays ecosystem. Full article
(This article belongs to the Section Environmental Microbiology)
Show Figures

Figure 1

27 pages, 1507 KB  
Review
Progress in Gliotoxin Research
by Longqi Li, Yuxiu Liu, Qingmin Wang and Hongjian Song
Molecules 2025, 30(18), 3665; https://doi.org/10.3390/molecules30183665 - 9 Sep 2025
Cited by 3 | Viewed by 2332
Abstract
Gliotoxin, an important fungal secondary metabolite, belongs to the class of epidithiodiketopiperazines (ETPs) and exhibits various biological activities, including immunosuppression, induction of apoptosis, and antimicrobial, antiviral, and antitumor effects. Since the initial discovery of gliotoxin and its derivatives from various fungal species, significant [...] Read more.
Gliotoxin, an important fungal secondary metabolite, belongs to the class of epidithiodiketopiperazines (ETPs) and exhibits various biological activities, including immunosuppression, induction of apoptosis, and antimicrobial, antiviral, and antitumor effects. Since the initial discovery of gliotoxin and its derivatives from various fungal species, significant progress has been made in the development of isolation methods for these compounds. Understanding biosynthetic pathways and studying the functions of associated gene clusters have provided valuable mechanistic insights. To overcome the challenges of large-scale production, organic chemists have developed innovative strategies, including the construction of disulfide-containing diketopiperazine scaffolds, the synthesis of key intermediates, and the performance of enantioselective total synthesis. Recent research has further broadened our knowledge of their biological activities and molecular mechanisms, especially regarding apoptosis induction, immunomodulatory effects, antimicrobial and antitumor efficacy, structure–activity relationships, and pharmaceutical potential. This review systematically covers the evolution of gliotoxin research, from isolation techniques and biosynthetic gene cluster analysis to synthetic route development and pharmacological studies, emphasizing its diverse applications in biomedical and pesticide fields. Full article
(This article belongs to the Section Medicinal Chemistry)
Show Figures

Graphical abstract

14 pages, 2768 KB  
Article
Biosynthesis of the Siderophore Desferrioxamine E in Rouxiella badensis SER3 and Its Antagonistic Activity Against Fusarium brachygibbosum
by Luzmaria R. Morales-Cedeño, Sergio de los Santos Villalobos, Pedro D. Loeza-Lara, Debasis Mitra, Ajay Kumar, Ma. del Carmen Orozco-Mosqueda and Gustavo Santoyo
Appl. Microbiol. 2025, 5(3), 91; https://doi.org/10.3390/applmicrobiol5030091 - 26 Aug 2025
Viewed by 2040
Abstract
Iron is a limiting factor for plant and microbial growth because, in soil environments, it is predominantly present as oxyhydroxide minerals, rendering it unavailable to plants and microorganisms. Siderophores are chelating agents secreted to solubilize iron and facilitate its uptake. To understand the [...] Read more.
Iron is a limiting factor for plant and microbial growth because, in soil environments, it is predominantly present as oxyhydroxide minerals, rendering it unavailable to plants and microorganisms. Siderophores are chelating agents secreted to solubilize iron and facilitate its uptake. To understand the evolutionary and ecological dynamics of microbial communities, as well as the evolution of pathogens within hosts, it is essential to study the genes shared between microorganisms for environmental adaptation and survival. In this study, we conducted microbiological assays to evaluate the effect of the siderophore produced by Rouxiella badensis strain SER3 on the mycelial growth of fungal pathogens such as Fusarium brachygibbosum 4BF. Using spectrophotometric techniques and bioinformatics tools, we identified desferrioxamine E (nocardamine) in the culture supernatant, and the corresponding biosynthetic gene cluster in the SER3 genome was confirmed through antiSMASH analysis and synteny comparisons. Gene expression analysis by RT-PCR showed differential expression of biosynthetic precursors when strain SER3 was grown alone or in interaction with fungal pathogen. Finally, scanning electron microscopy revealed structural damage to F. brachygibbosum hyphae during co-culture with strain SER3. These results suggest that the production of desferrioxamine E may act as a biocontrol mechanism employed by R. badensis SER3 against F. brachygibbosum. Full article
(This article belongs to the Topic New Challenges on Plant–Microbe Interactions)
Show Figures

Figure 1

21 pages, 7223 KB  
Article
Microbial and Geochemical Diversity of Laguna Timone, an Extreme Hypersaline Crater Lake in Patagonia (52° S)
by Carolina Henríquez, José M. Pérez-Donoso, Nicolás Bruna, Mauricio Calderón, Leonardo Fadel Cury, Paulo Quezada, Gustavo Athayde, Poldie Oyarzún and Anelize Bahniuk
Microorganisms 2025, 13(8), 1957; https://doi.org/10.3390/microorganisms13081957 - 21 Aug 2025
Viewed by 1336
Abstract
Extreme environments, such as hypersaline habitats, hot springs, deep-sea hydrothermal vents, glaciers, and permafrost, provide diverse ecological niches for studying microbial evolution. However, knowledge of microbial communities in extreme environments at high southern latitudes remains limited, aside from Antarctica. Laguna Timone is a [...] Read more.
Extreme environments, such as hypersaline habitats, hot springs, deep-sea hydrothermal vents, glaciers, and permafrost, provide diverse ecological niches for studying microbial evolution. However, knowledge of microbial communities in extreme environments at high southern latitudes remains limited, aside from Antarctica. Laguna Timone is a hypersaline crater lake located in a Pleistocene maar of the Pali Aike Volcanic Field, southern Patagonia; the lake was formed during basaltic eruptions in a periglacial setting. Here, we report the first integrative characterization of microbial communities from biofilms and microbial mats in this lake using high-throughput 16S rRNA and ITS gene sequencing, along with mineralogical and hydrochemical analyses of water, sediments, and carbonates. Bacterial communities were dominated by the genera Enterobacterales ASV1, Pseudomonas, Oscillatoria, Nodularia, and Belliella, with site-specific assemblages. Fungal communities included Laetinaevia, Ilyonectria, Thelebolus, Plectosphaerella, and Acrostalagmus, each showing distinct distribution patterns. These baseline data contribute to understanding microbial dynamics in hypersaline maar environments and support future investigations. This integrative approach highlights key microbe–mineral relationships and underscores the potential of Laguna Timone as a natural laboratory for exploring biosignature formation and microbial adaptation in chemically extreme environments, both on early Earth and potentially beyond. Full article
(This article belongs to the Section Environmental Microbiology)
Show Figures

Figure 1

Back to TopTop