Sign in to use this feature.

Years

Between: -

Subjects

remove_circle_outline
remove_circle_outline
remove_circle_outline
remove_circle_outline
remove_circle_outline
remove_circle_outline
remove_circle_outline
remove_circle_outline
remove_circle_outline

Journals

Article Types

Countries / Regions

Search Results (183)

Search Parameters:
Keywords = fructooligosaccharides (FOS)

Order results
Result details
Results per page
Select all
Export citation of selected articles as:
14 pages, 1419 KB  
Article
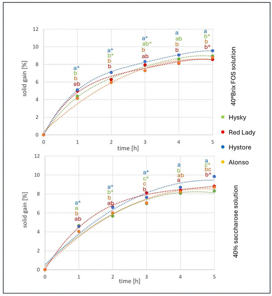
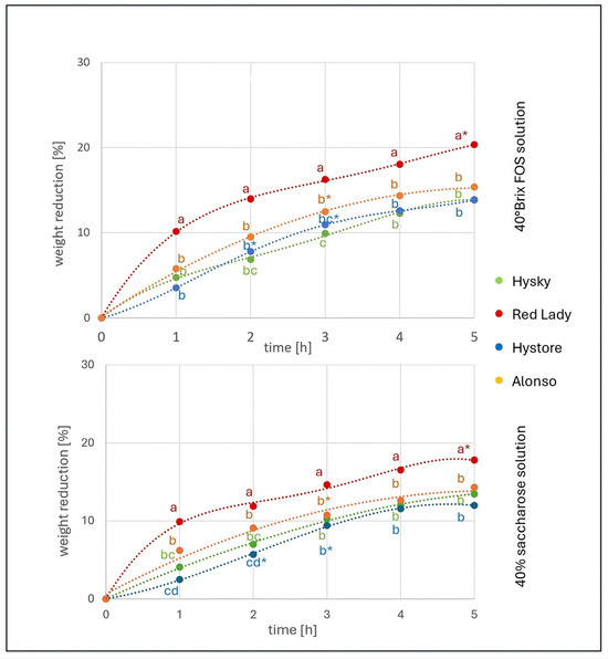
Osmoconcentration as a Method of Supplementing the Loss of Fructooligosaccharides in Long-Stored Onions
by Andrzej Czarnecki, Katarzyna Grzelak-Błaszczyk and Robert Klewicki
Appl. Sci. 2026, 16(7), 3384; https://doi.org/10.3390/app16073384 - 31 Mar 2026
Viewed by 157
Abstract
Onion bulbs are a primary source of health-promoting fructooligosaccharides (FOS), which significantly degrade during long-term storage. This study investigated the potential of osmotic dehydration in a concentrate containing FOS (55.3% DM) to restore FOS levels in stored onions. The available data lack information [...] Read more.
Onion bulbs are a primary source of health-promoting fructooligosaccharides (FOS), which significantly degrade during long-term storage. This study investigated the potential of osmotic dehydration in a concentrate containing FOS (55.3% DM) to restore FOS levels in stored onions. The available data lack information on the use of osmoconcentration for this purpose. Four cultivars (Alonso F1, Hysky F1, Hystore F1, and Red Lady F1) were evaluated after four months of storage. Two 40% hypertonic solutions, a saccharose control and a fructooligosaccharide concentrate were used. Mass migration indicators, including water loss, weight reduction, and solid gain, were determined alongside HPLC-RI analysis of the saccharide profile. Results showed that storage caused an approximately 50% reduction in the initial FOS content (approx. 4 g/100 g). Osmotic dehydration using the FOS concentrate increased FOS levels approximately threefold compared to the saccharose treatment, effectively restoring or exceeding post-harvest concentrations. Red Lady demonstrated the highest water loss (28.9%), while Hystore exhibited the greatest solid gain (9.8%). In conclusion, osmotic dehydration with FOS-rich solutions is an effective method for the functionalization of stored onion raw material. This approach successfully compensates for physiological losses during storage and allows for precise modification of the nutritional profile of the bulbs without compromising osmoconcentration efficiency. Full article
(This article belongs to the Section Food Science and Technology)
Show Figures

Figure 1

15 pages, 1227 KB  
Article
Development of Probiotic Dark Chocolate Enriched with Encapsulated Saccharomyces boulardii: Storage Stability and In Vitro Gastrointestinal Survival
by Eda Kılıç Kanak and Suzan Öztürk Yılmaz
Fermentation 2026, 12(3), 145; https://doi.org/10.3390/fermentation12030145 - 11 Mar 2026
Viewed by 680
Abstract
This study investigated the development of a sugar-free prebiotic and probiotic dark chocolate formulated with 39.76% cocoa mass, 41.856% cocoa butter, 14.8% inulin, and 1.6% stevioside. To enhance the stability of the probiotic yeast Saccharomyces boulardii, a microencapsulation technique using a cocoa [...] Read more.
This study investigated the development of a sugar-free prebiotic and probiotic dark chocolate formulated with 39.76% cocoa mass, 41.856% cocoa butter, 14.8% inulin, and 1.6% stevioside. To enhance the stability of the probiotic yeast Saccharomyces boulardii, a microencapsulation technique using a cocoa powder, Na-alginate, and fructooligosaccharides (10:1:1 ratio) matrix was employed. The physicochemical properties and probiotic viability were monitored over a 120-day storage period at 25 °C. A significant increase in pH values was observed during storage (p < 0.05), while water activity (aw) values significantly decreased (p < 0.05). Encapsulation provided superior protection, with encapsulated samples retaining 2.51 log CFU/g more probiotics than unencapsulated samples after 120 days. Furthermore, in vitro gastrointestinal digestion assays conducted after one day of storage demonstrated the protective efficacy of the matrix; while unencapsulated probiotics suffered a drastic reduction of 6.42 log CFU/g under gastric conditions (pH 3, 2 h), the encapsulated probiotics showed a significantly lower reduction of only 3.99 log CFU/g. These results confirm that the Na-alginate/FOS-based encapsulation significantly improves the resilience of S. boulardii against both storage conditions and gastrointestinal stress, making this sugar-free prebiotic chocolate an effective delivery vehicle for probiotic yeasts. Full article
Show Figures

Figure 1

18 pages, 3120 KB  
Article
Use of Demerara and VHP Sugars Combined with Various Nitrogen Sources for Enhanced Fructosyltransferase Production in Aspergillus oryzae IPT-301
by Amanda P. S. Cavini, Mariana F. M. Cardoso, Ana Carolina Vieira, Marta Filipa Simões, Alex Fernando de Almeida, Maria L. A. N. Teixeira, Sergio A. V. Morales, Alfredo E. Maiorano, Rafael F. Perna and Cristiane A. Ottoni
Processes 2026, 14(5), 840; https://doi.org/10.3390/pr14050840 - 5 Mar 2026
Viewed by 380
Abstract
This study investigated the effect of low-cost carbon and nitrogen sources on fructosyltransferase (FTase) production by Aspergillus oryzae IPT-301, aiming to optimize the enzymatic synthesis of fructooligosaccharides (FOS), prebiotic compounds valued for their bifidogenic effects. FTase is a key enzyme in transfructosylation, the [...] Read more.
This study investigated the effect of low-cost carbon and nitrogen sources on fructosyltransferase (FTase) production by Aspergillus oryzae IPT-301, aiming to optimize the enzymatic synthesis of fructooligosaccharides (FOS), prebiotic compounds valued for their bifidogenic effects. FTase is a key enzyme in transfructosylation, the central step in FOS production. To reduce production costs, Very High Polarization (VHP) and Demerara (DM) sugars were evaluated as carbon sources, while sodium nitrate (NaNO3), ammonium sulfate (NH4)2SO4, and urea were tested as nitrogen sources. FTase production, both extracellular and intracellular, was conducted under submerged fermentation at 30 °C and 200 rpm for 72 h. DM sugar outperformed VHP, increasing extracellular and intracellular transfructosylation activity (AT) by 2.3-fold and 2.1-fold, respectively. Among nitrogen sources, NaNO3 was most effective in DM-containing media, yielding 1.6–2.0 times higher extracellular AT and up to 4.7 times greater intracellular activity compared to other nitrogen sources. These findings suggest that the combination of DM sugar and NaNO3 significantly enhances FTase yield, providing a cost-effective strategy for industrial-scale FOS production. Full article
Show Figures

Figure 1

16 pages, 1284 KB  
Article
Evaluation of an Electronic Nose Coupled with In Vitro Fecal Fermentation as a Screening Tool for Fecal Odor in Cats
by Koramit Jenjirawatn, Attawit Kovitvadhi, Songyos Chotchutima, Pipatpong Chundang, Sathita Areerat, Kunaporn Homyog and Nattaphong Akrimajirachoote
Animals 2026, 16(5), 801; https://doi.org/10.3390/ani16050801 - 4 Mar 2026
Viewed by 501
Abstract
In vitro fecal inoculation coupled with gas chromatography–mass spectrometry (GC-MS) has been used for evaluating fecal deodorants. However, high cost and complex data interpretation limit its routine application. An electronic nose (eNose) offers a rapid, cost-effective alternative. This study aimed to evaluate the [...] Read more.
In vitro fecal inoculation coupled with gas chromatography–mass spectrometry (GC-MS) has been used for evaluating fecal deodorants. However, high cost and complex data interpretation limit its routine application. An electronic nose (eNose) offers a rapid, cost-effective alternative. This study aimed to evaluate the eNose as a screening tool for fecal odor compared with solid-phase microextraction gas chromatography–mass spectrometry (SPME GC-MS) and to examine the in vitro effects of fecal deodorant supplements on fecal odor profiles. Feces from ten healthy cats were serially diluted (1:1 to 1:8) and analyzed using both instruments. Four dietary supplements—Yucca schidigera extract (YSE), Quillaja saponaria extract (QSE), fructooligosaccharides (FOS), and oat beta-glucans (OBG)—were tested at concentrations of 0.0, 0.2, 0.4, and 0.8 g/100 mL. The eNose showed comparable performance to GC-MS in discriminating among sample dilutions. In vitro fermentation showed that FOS and OBG significantly increased volatile fatty acid (VFA)-related sensor responses while signals linked to ammonia and sulfur compounds were reduced. QSE had minimal effect, whereas YSE produced moderate changes. The total sensor response intensities did not differ between treatments. These findings indicate that prebiotic supplements exert stronger effects than saponin-based supplements and highlight the potential of eNoses with in vitro fermentation for rapid screening of fecal deodorants. Full article
(This article belongs to the Section Animal Nutrition)
Show Figures

Figure 1

19 pages, 15641 KB  
Article
Application of Enzyme Engineering and Synthetic Biology for Modulated Transformation of Fructooligosaccharides (FOSs) to Elucidate the Catalytic Mechanism of Fructofuranosidases
by Gan-Lin Chen, Jing Chen, Ling-Zhi Zhao, Bo Lin, Feng-Jin Zheng, Krishan K. Verma and Li-Fang Yang
Foods 2026, 15(5), 843; https://doi.org/10.3390/foods15050843 - 3 Mar 2026
Viewed by 338
Abstract
Fructooligosaccharides (FOSs) are plant-based prebiotics widely utilized in the food and pharmaceutical industries. As a major sugar-producing region, Guangxi holds significant potential for enzymatic production of FOS from sucrose. This study engineered a mutant enzyme, 142P-242K, to address the low catalytic activity characteristic [...] Read more.
Fructooligosaccharides (FOSs) are plant-based prebiotics widely utilized in the food and pharmaceutical industries. As a major sugar-producing region, Guangxi holds significant potential for enzymatic production of FOS from sucrose. This study engineered a mutant enzyme, 142P-242K, to address the low catalytic activity characteristic of wild-type enzymes. The mutation upregulated the FOS conversion efficiency from 29 to 52%, respectively. Optimal enzymatic activity was observed at 45 °C, pH 6.0, and in the presence of 1 mM Na+. Mechanistic investigations revealed that modifications to the catalytic domain pocket and shifts in substrate affinity were the primary factors driving enhanced FOS production. The accumulation of 1-Kestose (GF2) was attributed to the enhanced flexibility of the 142P-242K loop, which facilitates substrate access to the active site. However, the synthesis of nystose (GF3) from GF2 is hindered by the hydrophobic nature of the active site and strong hydrogen bonds binding GF2. Comparing the enzyme’s ability to produce FOS using sugarcane juice, sugarcane molasses, and adsorption-heating sugarcane molasses, it was determined that heat-adsorbed molasses yielded the highest FOS concentration (30.77%). This study offers a practical and cost-effective strategy for enzyme modification and efficient valorization of molasses. Full article
(This article belongs to the Special Issue Advances in Food Biotechnology and Enzyme Engineering)
Show Figures

Figure 1

12 pages, 2434 KB  
Article
4-Galactosylkojibiose Extends the Lifespan of Drosophila melanogaster
by Haruki Kato, Akari Hara, Rinka Ota, Riho Kobayashi, Ryo Miyake, Rabia Garibağaoğlu, Jun Tomita, Misato Tsuboi, Chisato Oba, Kentaro Nakamura and Kazuhiko Kume
Nutrients 2026, 18(4), 604; https://doi.org/10.3390/nu18040604 - 12 Feb 2026
Viewed by 549
Abstract
Background/Objectives: Oligosaccharides, such as fructooligosaccharides (FOS), have long been used to promote human health due to their beneficial effects on the intestinal environment and their anti-inflammatory properties. Recent advances in manufacturing technologies have enabled the production of novel oligosaccharides derived from rare sugars. [...] Read more.
Background/Objectives: Oligosaccharides, such as fructooligosaccharides (FOS), have long been used to promote human health due to their beneficial effects on the intestinal environment and their anti-inflammatory properties. Recent advances in manufacturing technologies have enabled the production of novel oligosaccharides derived from rare sugars. These compounds may exert unique health benefits; however, their physiological functions remain largely unexplored. Because sleep is a conserved, lifespan-linked physiological phenotype governed by metabolic and stress-response pathways that oligosaccharides can influence, we evaluated sleep alongside lifespan to capture systemic functional effects. Methods: Using the model organism Drosophila melanogaster, we investigated the effects of 4-galactosylkojibiose (4-GK), a promising new oligosaccharide, on sleep and lifespan. We also conducted RNA sequencing following 4-GK or FOS application. Results: Our results demonstrated that both 4-GK and FOS extended lifespan, with 4-GK showing comparable or numerically greater efficacy than FOS. While the addition of 4-GK or FOS to sucrose diet did not affect overall sleep or activity levels, 4-GK alone without sucrose decreased sleep compared to sucrose alone. Furthermore, RNA-seq analysis revealed upregulation of gene groups associated with longevity in both the 4-GK and FOS treatment groups, particularly genes encoding heat shock proteins. Conclusions: 4-GK promotes longevity in D. melanogaster and activates stress-response programs, suggesting a health-promoting role comparable to FOS. Sleep effects were diet-context dependent, unchanged when added to sucrose but reduced when given without sucrose. These findings suggest a novel potential role for 4-GK in promoting longevity. Full article
(This article belongs to the Section Carbohydrates)
Show Figures

Figure 1

14 pages, 2811 KB  
Article
Fermentation by Wickerhamomyces anomalus Improved Production Yield of Fructooligosaccharides Through Transglycosidation of β-Fructofuranosidase
by Hong Liu, Qiaojuan Yan, Susu Han, Xiaoxiao Wang, Yanxiao Li and Zhengqiang Jiang
Foods 2026, 15(3), 592; https://doi.org/10.3390/foods15030592 - 6 Feb 2026
Viewed by 367
Abstract
Fructooligosaccharides (FOS), an important prebiotic, are widely used in the food industry. β-Fructofuranosidases are commonly used for FOS production with yield of 55~60% (crude FOS syrup). The by-products glucose and fructose are produced during enzymatic conversion of FOS. Thus, the strategy for FOS [...] Read more.
Fructooligosaccharides (FOS), an important prebiotic, are widely used in the food industry. β-Fructofuranosidases are commonly used for FOS production with yield of 55~60% (crude FOS syrup). The by-products glucose and fructose are produced during enzymatic conversion of FOS. Thus, the strategy for FOS production with high content (higher than 95%) has long been a topic of concern. In this study, a novel yeast Wickerhamomyces anomalus CAU331 was isolated from Daqu and applied for fermentation of crude FOS syrup. Impurities of glucose and fructose in the syrup were metabolized, which yielded a FOS content of 87.6%. Subsequently, the β-fructofuranosidase (AnFTase70) was added and synergistically worked with W. anomalus CAU331. A maximum FOS content of 95.1% with a concentration of 288.1 g/L and productivity of 6.26 g/L/h was obtained through the sequential action of β-fructofuranosidase and W. anomalus CAU331 in a 200 L fermenter. Moreover, the FOS components were composed of 19.2 g/L 1-kestose (GF2), 127.8 g/L nystose (GF3), 115.8 g/L 1F-fructofuranosylnystose (GF4), and 25.5 g/L kestohexaose (GF5). The findings gained in this study might provide a cost-effective approach for the production of FOS with high purity and expand their applications as functional food materials. Full article
(This article belongs to the Section Food Biotechnology)
Show Figures

Figure 1

16 pages, 6041 KB  
Article
Dual-Enzyme Co-Catalysis Strategy for Fructooligosaccharides (FOS) Biocatalytic Synthesis for Valorization of Low-Cost Byproduct Sugarcane Molasses
by Gan-Lin Chen, Jing Chen, Jia-Xuan Dai, Xiao-Hua Dai, Feng-Jin Zheng, Krishan K. Verma and Li-Fang Yang
Foods 2026, 15(3), 589; https://doi.org/10.3390/foods15030589 - 6 Feb 2026
Viewed by 431
Abstract
Fructooligosaccharides (FOS) represent a major source of prebiotic compounds. They are widely used in functional foods for their ability to modify intestinal microbiota in animals and humans. To address the significant issue of fructooligosaccharide production being influenced by glucose concentration, this study designed [...] Read more.
Fructooligosaccharides (FOS) represent a major source of prebiotic compounds. They are widely used in functional foods for their ability to modify intestinal microbiota in animals and humans. To address the significant issue of fructooligosaccharide production being influenced by glucose concentration, this study designed a dual-enzymatic co-catalysis system for glucose isomerase (GI) and a mutant FTase (FTase142P-242K). This system successfully increased the FOS synthesis rate (42.31 to 55.51%, w/w). Glucose isomerase catalyzes the isomerization of glucose to fructose, and the subsequent release of fructose from the active site permits the enzyme to re-enter its catalytic cycle. The optimal conditions for catalysis were found at 45 °C, pH 5.5, and 1 mM Ba2+. In contrast, the optimal fermentation process was established at 25 °C and induction with 1 mM IPTG. Finally, the efficient production of FOS using low-cost byproduct molasses was achieved. Fermentation optimization of the dual-enzyme system resulted in FOS yield of 53.92% (w/w), a significant increase (44.54%, w/w) from the yield obtained using single-enzyme catalysis. Based on the research, a novel and sustainable approach for high-yield synthesis of Fructooligosaccharides involves minimizing the inhibitory effect of glucose produced during sucrose transformation. Full article
Show Figures

Graphical abstract

25 pages, 12788 KB  
Article
The Effect of Fructooligosaccharide and Inulin Addition on the Functional, Mechanical, and Structural Properties of Cooked Japonica Rice
by Bing Dai, Ruijun Chen, Shiyu Chang, Zheng Wei, Xiaohong Luo, Jiangzhang Wu and Xingjun Li
Gels 2026, 12(1), 48; https://doi.org/10.3390/gels12010048 - 1 Jan 2026
Viewed by 595
Abstract
To test whether fructooligosaccharide (FOS) and inulin (INU) molecules can improve the hardness of cooked rice through forming a hydrogel network, we added FOS or INU at 0%, 3%, 5%, 7%, and 10% concentrations to two cooking japonica rice and compared the cooking [...] Read more.
To test whether fructooligosaccharide (FOS) and inulin (INU) molecules can improve the hardness of cooked rice through forming a hydrogel network, we added FOS or INU at 0%, 3%, 5%, 7%, and 10% concentrations to two cooking japonica rice and compared the cooking and textural parameters, the pasting, thermal, and thermo-mechanical properties, and the microstructure of the cooked rice. General Linear Model Univariate (GLMU) analysis revealed that, compared with no oligofructose addition, both FOS and INU addition reduced the rice cooking time and increased the gruel solid loss. The addition of these dietary fibers (DFs) to cooking rice lowered the hardness, adhesiveness, springiness, gumminess, and chewiness of the rice, but maintained the cohesiveness and increased the resilience. Compared with no oligofructose addition, FOS and INU addition improved the smell, taste, and total sensory score of cooked rice. The addition of these DFs significantly decreased the trough, peak, final, breakdown, and setback viscosities, but increased the pasting temperature and peak time. Both FOS and INU addition decreased the enthalpy of gelatinization but increased the peak and conclusion temperature of gelatinization of rice flour paste. After the retrograded flour pastes were kept at 4 °C for 21 days, both FOS and INU significantly increased amylopectin aging compared with no oligofructose addition. The FOS-added and INU-added rice doughs had a higher dough development time and stability time, gelatinization peak torque, setback torque, and gelatinization speed, with a lower protein weakening degree, amylase activity, breakdown torque, heating speed, and enzymatic hydrolysis speed. Compared with no oligofructose addition, both FOS and INU addition reduced the amorphous region of starch and β-sheet percentage, but increased the percentages of random coils, α-helixes, and β-turns in cooked rice. Principal component analysis (PCA) further demonstrated that the gruel solid loss, cooked rice hardness, chewiness, gumminess, taste, and the peak, trough, breakdown, final, and setback viscosities were sensitive parameters for evaluating the effects of species and the amount of oligofructose addition on rice quality. The microstructure showed that FOS or INU addition induced thickening of the matrix walls and an increase in the pore size, forming a soft and evenly swollen structure. These results suggest that FOS or INU addition inhibits amylose recrystallization but maintains amylopectin recrystallization in cooked rice, with INU addition producing greater improvements in the texture and sensory scores of cooked rice compared withFOS addition. This study provides evidence of the advantages of adding DFs and probiotics such as INU and FOS to cooked rice. Full article
(This article belongs to the Special Issue Application of Composite Gels in Food Processing and Engineering)
Show Figures

Figure 1

6 pages, 443 KB  
Proceeding Paper
Preliminary Studies on the Biosynthesis of Microbial Inulinase by Aspergillus niger ICCF 92
by Mariana Gratiela Vladu, Mihaela Carmen Eremia, Dana Maria Miu, Gabriela Valeria Savoiu and Maria Monica Petrescu
Chem. Proc. 2025, 18(1), 48; https://doi.org/10.3390/ecsoc-29-26690 - 11 Nov 2025
Viewed by 331
Abstract
Modern diets are high in fructans, which may lead to abdominal discomfort, particularly in sensitive individuals. Microbial inulinase, an enzyme that hydrolyzes inulin into fructose and fructo-oligosaccharides (FOS), has significant prebiotic potential and may contribute to the prevention of metabolic disorders by enhancing [...] Read more.
Modern diets are high in fructans, which may lead to abdominal discomfort, particularly in sensitive individuals. Microbial inulinase, an enzyme that hydrolyzes inulin into fructose and fructo-oligosaccharides (FOS), has significant prebiotic potential and may contribute to the prevention of metabolic disorders by enhancing fructan digestion. This study investigates inulinase production by the Aspergillus niger ICCF 92 strain under various growth conditions. Three carbon sources (inulin, molasses, and carob pod decoction), the time required for biosynthesis processes, and stirring speed were evaluated for their influence on inulinase activity. Nitrogen sources included yeast extract, ammonium nitrate, and ammonium phosphate. Process monitoring included pH measurement, protein quantification via the Bradford assay, and inulinase activity assessment using the 3,5-dinitrosalicylic acid method. The highest inulinase production (38.29 U/mL) and protein concentration (0.7548 mg/mL) were achieved after 14 days of static fermentation with carob pod decoction as the carbon source. Full article
Show Figures

Figure 1

29 pages, 16647 KB  
Article
A Specific Ratio of Dietary Short-Chain and Long-Chain Fructo-Oligosaccharides Shifts the Immune Response Away from Type 2 in a Murine Model for House Dust Mite-Induced Asthma
by Roos E. M. Verstegen, Marit Zuurveld, Suzan Thijssen, Marjolein J. W. de Bruijn, Ingrid van Ark, Mara A. P. Diks, Johan Garssen, Gert Folkerts, Atanaska I. Kostadinova, Rudi W. Hendriks and Linette E. M. Willemsen
Nutrients 2025, 17(22), 3520; https://doi.org/10.3390/nu17223520 - 11 Nov 2025
Viewed by 1244
Abstract
Background/Objectives: The gut microbiome has an important role in immune regulation, and dietary interventions that support a balanced microbiota may help to prevent the development of allergic asthma. Dietary fibers can beneficially affect the intestinal microbiome, but due to the diversity of [...] Read more.
Background/Objectives: The gut microbiome has an important role in immune regulation, and dietary interventions that support a balanced microbiota may help to prevent the development of allergic asthma. Dietary fibers can beneficially affect the intestinal microbiome, but due to the diversity of fiber types, the effects differ. In this study, we investigate the preventive effects of two mixes of short-chain and long-chain (1:1 and 9:1 ratio) fructo-oligosaccharides (FOS) in a mouse model of house dust mite (HDM)-induced allergic asthma. Methods: BALB/c mice received FOS-supplemented (1% w/w) diets before and during intranasal exposures to HDM. Endpoint airway hyperreactivity measurements were performed, followed by the collection of bronchoalveolar lavage fluid (BALF), lung, serum and cecum content. Fecal microbiome composition was determined by DNA sequencing and short-chain fatty acid (SCFA) levels were determined in the cecum, serum and lung. Results: Fecal microbiome analyses revealed an increased abundance of Prevotellaceae after FOS1:1 supplementation in HDM-allergic mice. Additionally, FOS1:1 protected against an HDM-induced increase in basal airway resistance. Both FOS1:1 and FOS9:1 restored the systemic acetate levels in HDM-allergic mice. The two FOS supplementations did not affect HDM-induced inflammatory cell influx in the BALF. However, FOS1:1 increased the frequency of Th1-cells and prevented an HDM-induced increase in the Th2/Th1 balance. Upon ex vivo restimulation with HDM, lung cell suspensions of FOS1:1-fed mice produced less type 2-related cytokines compared to control-supplemented mice, and FOS9:1 followed a similar pattern. Conclusions: Specific short-chain and long-chain FOS ratios differentially affect the microbiome and immune system in a mouse model with HDM-induced allergic airway inflammation. Dietary supplementation with FOS1:1 shifts the immune response away from type 2, suggesting that dietary fibers like FOS1:1 may contribute as a part of a broader strategy to modulate HDM-induced allergic asthma. Full article
Show Figures

Figure 1

25 pages, 452 KB  
Review
Polysaccharide-Enriched Bakery and Pasta Products: Advances, Functional Benefits, and Challenges in Modern Food Innovation
by Jovana Petrović, Jana Zahorec, Dragana Šoronja-Simović, Ivana Lončarević, Ivana Nikolić, Biljana Pajin, Milica Stožinić, Drago Šubarić, Đurđica Ačkar and Antun Jozinović
Appl. Sci. 2025, 15(21), 11839; https://doi.org/10.3390/app152111839 - 6 Nov 2025
Cited by 1 | Viewed by 2252
Abstract
The increasing consumer demand for healthier food choices has stimulated research into functional bakery products enriched with bioactive ingredients. This review summarizes recent developments in the application of key polysaccharides—such as inulin and fructooligosaccharides (FOS), β-glucan, arabinoxylan, pectin, cellulose derivatives, resistant starch, maltodextrins, [...] Read more.
The increasing consumer demand for healthier food choices has stimulated research into functional bakery products enriched with bioactive ingredients. This review summarizes recent developments in the application of key polysaccharides—such as inulin and fructooligosaccharides (FOS), β-glucan, arabinoxylan, pectin, cellulose derivatives, resistant starch, maltodextrins, and dextrins—in bread, pasta, and fine bakery systems. Their incorporation affects dough rheology, fermentation behavior, and gas retention, leading to modifications in texture, volume, and shelf-life stability. Technologically, polysaccharides function as hydrocolloids, fat and sugar replacers, or water-binding agents, influencing gluten network formation and starch gelatinization. Nutritionally, they contribute to higher dietary fiber intake, improved postprandial glycemic response, enhanced satiety, and favorable modulation of gut microbiota. From a sensory perspective, optimized formulations can maintain or even improve product acceptability despite structural changes. However, challenges remain related to dosage optimization, interactions with the gluten–starch matrix, and gastrointestinal tolerance (particularly in FODMAP-sensitive individuals). This review summarizes current knowledge and future opportunities for creating innovative bakery products that unite technological functionality with nutritional and sensory excellence. Full article
(This article belongs to the Section Food Science and Technology)
24 pages, 2872 KB  
Article
Moisture Sorption Isotherms of Fructooligosaccharide and Inulin Powders and Their Gelling Competence in Delaying the Retrogradation of Rice Starch
by Bing Dai, Ruijun Chen, Zheng Wei, Jianzhang Wu and Xingjun Li
Gels 2025, 11(10), 817; https://doi.org/10.3390/gels11100817 - 12 Oct 2025
Cited by 3 | Viewed by 1242
Abstract
The accurate determination of the equilibrium moisture content (EMC) of gel-related powdery samples requires strictly controlled conditions and a long time period. In this study, the adsorption and desorption isotherms of two fructooligosaccharide (FOS) powders and three inulin powders were determined using a [...] Read more.
The accurate determination of the equilibrium moisture content (EMC) of gel-related powdery samples requires strictly controlled conditions and a long time period. In this study, the adsorption and desorption isotherms of two fructooligosaccharide (FOS) powders and three inulin powders were determined using a dynamic moisture sorption analyzer at 0.1–0.9 water activity (aw) and 20–35 °C, respectively. The adsorption and desorption isotherms all exhibited type IIa sigmoidal curves; the desorptive isotherm was smooth, the FOS adsorption curves had three inflection points, and the inulin adsorption curves had five inflection points. Large hysteresis between the adsorption and desorption isotherms occurred at 0.1–0.7 aw for FOS and 0.1–0.6 aw for inulin. Seven equations, Boquet, Ferro–Fontan, Guggenheim–Anderson–de Boer (GAB), Generalized D’Arcy and Watt (GDW), modified GAB (MGAB), Peleg, and our developed Polynomial, were found to fit the isotherms of the FOS and inulin samples; for adsorption, the best equations were Ferro–Fontan and GDW, and for desorption, the best equations were Polynomial and MGAB. The GDW and MGAB equations could not distinguish the effect of temperature on the isotherms, while the Polynomial equation could. The mean adsorptive monolayer moisture content (M0) values in FOS and inulin samples were predicted as 7.29% and 7.94% wet basis, respectively. The heat of moisture sorption of FOS and inulin approached that of pure water at about 32.5% and 22.5% wet basis (w.b.) moisture content (MC), respectively. Fourier Transform Infrared Spectroscopy (FTIR) showed that the peaks in inulin with absorbance values above 0.52 and in FOS with absorbance values above 0.35 were at 1020, 1084, and 337 cm−1; these could represent the amorphous structure (primary alcohol C-OH), C-O group, and hydroxyl functional group, respectively. Microscopic structure analysis showed that inulin powder particles were more round-shaped and adhered together, resulting in hygroscopic and sticky characteristics, with a maximum equilibrium moisture content (EMC) of 34% w.b. In contrast, the FOS powders exhibited irregular amorphous particles and a maximum EMC of 60% w.b. As hydrogels, 3–10% FOS or inulin addition reduced the peak, trough, final, breakdown, and setback viscosities of rice starch pasting, but increased the peak time and pasting temperature. FOS addition gave stronger reduction in the setback viscosity and in amylose retrogradation of rice starch pasting than inulin addition. The differential scanning calorimeter (DSC) showed 3–10% FOS addition reduced the amylopectin aging of retrograded paste of rice starch, but 5–7% inulin addition tended to reduce. These results suggest that FOS and inulin have strong hygroscopic properties and can be used to maintain the freshness of starch-based foods. These data can be used for drying, storage, and functional food design of FOS and inulin products. Full article
(This article belongs to the Special Issue Modification of Gels in Creating New Food Products (2nd Edition))
Show Figures

Figure 1

17 pages, 560 KB  
Article
Development of Fructooligosaccharide-Rich Sugarcane Juice by Enzymatic Method and Enhancement of Its Microbial Safety Using High-Pressure Processing
by Tanyawat Kaewsalud, Jessica Michelle Liony, Sitthidat Tongdonyod, Suphat Phongthai and Wannaporn Klangpetch
Foods 2025, 14(19), 3417; https://doi.org/10.3390/foods14193417 - 3 Oct 2025
Cited by 2 | Viewed by 1656
Abstract
Sugarcane juice (SJ) is a naturally sweet beverage rich in sucrose but prone to microbial contamination, raising concerns among health-conscious consumers. This study aimed to develop a functional SJ enriched with fructooligosaccharides (FOS) using enzymatic treatment, followed by high-pressure processing (HPP) to enhance [...] Read more.
Sugarcane juice (SJ) is a naturally sweet beverage rich in sucrose but prone to microbial contamination, raising concerns among health-conscious consumers. This study aimed to develop a functional SJ enriched with fructooligosaccharides (FOS) using enzymatic treatment, followed by high-pressure processing (HPP) to enhance its safety and quality. The enzymatic conversion of sucrose to FOS was achieved using Pectinex® Ultra SP-L (commercial enzyme), with varying enzyme concentrations, temperatures and incubation times to identify the optimal conditions via response surface methodology (RSM). Under optimal conditions (1000 U/g enzyme concentration, 48 °C, 13 h), sucrose in raw SJ (124.33 g/L) decreased by 59.17 g/L, resulting in maximum reducing sugars (16.02 ± 0.58 g/L) and enhanced FOS yields, notably kestose (2.37 g/L) and nystose (9.35 g/L). After being treated with HPP at 600 MPa for 3 min, E. coli K12 and L. innocua were effectively inactivated by achieving > 5 log reduction, meeting USFDA standards. Furthermore, it was also observed that HPP could reduce yeast (6.56 × 102 CFU/mL). Meanwhile, mold, E. coli, and coliforms were not detected. Additionally, HPP maintained the juice’s physicochemical properties, outperforming thermal pasteurization (85 °C for 10 min) in quality preservation. This study highlights the potential of enzymatic treatment and HPP in improving SJ safety and functionality. Full article
Show Figures

Graphical abstract

19 pages, 531 KB  
Systematic Review
A Systematic Review Evaluating the Impact of Fibre Supplementation on Gut Health and Other Clinical Outcomes in Adults with Haematological Malignancies During Haematopoietic Stem Cell Transplantation
by Fiona McCullough, Janice Cheung and Laura J. Miller
Nutrients 2025, 17(18), 2973; https://doi.org/10.3390/nu17182973 - 16 Sep 2025
Cited by 1 | Viewed by 1537
Abstract
Background: Gut health is often disrupted in adults with haematological malignancies (HMs) receiving chemotherapy and haematopoietic stem cell transplantation (HCT). Microbial diversity is reduced, and both infection risk and inflammation increased. The role of dietary fibre in enhancing gut health, immune regulation, reducing [...] Read more.
Background: Gut health is often disrupted in adults with haematological malignancies (HMs) receiving chemotherapy and haematopoietic stem cell transplantation (HCT). Microbial diversity is reduced, and both infection risk and inflammation increased. The role of dietary fibre in enhancing gut health, immune regulation, reducing complications, and improving clinical outcomes for people with HMs shows promise but the extent of their role remains unclear. Objectives: This systematic review evaluated the role of dietary fibre supplementation in adults with HMs undergoing HCT on gut health, immune function, and gastrointestinal health. This included assessment of differences between fibre types. Methods: A systematic search of PubMed and EMBASE was conducted following PRISMA guidelines, independently by two reviewers. Study quality was assessed using the Newcastle–Ottawa scale (NOS). Results: Of the 5023 studies after de-duplication, 63 remained after abstract and title screening, 59 studies were full-text screened, 56 studies were excluded due to language (n = 6), wrong intervention (n = 25), wrong population (n = 4), or reporting on unrelated outcomes (n = 21), and 3 studies met all inclusion criteria. Interventions included fructooligosaccharides (FOS), resistant starch (RS), and a glutamine, fibre, and oligosaccharide (GFO) prebiotic blend. Despite heterogeneity in measured outcomes, positive impacts on gut health, immune function, and gastrointestinal health were shown. Conclusions: Fibre supplementation represents a promising adjunctive strategy to improve clinical outcomes in adults with HMs undergoing HCT, by improving microbial diversity, increasing short-chain fatty acid (SCFA) production, and reducing incidence of acute GVHD. Further research is needed to establish specific recommendations for fibre in the nutritional management of patients with HM. Full article
(This article belongs to the Special Issue Diet, Gut Health, and Clinical Nutrition)
Show Figures

Figure 1

Back to TopTop