Sign in to use this feature.

Years

Between: -

Subjects

remove_circle_outline
remove_circle_outline
remove_circle_outline
remove_circle_outline
remove_circle_outline
remove_circle_outline
remove_circle_outline
remove_circle_outline
remove_circle_outline

Journals

remove_circle_outline
remove_circle_outline
remove_circle_outline
remove_circle_outline
remove_circle_outline
remove_circle_outline

Article Types

Countries / Regions

remove_circle_outline
remove_circle_outline
remove_circle_outline
remove_circle_outline

Search Results (865)

Search Parameters:
Keywords = freeze-thaw cycle effect

Order results
Result details
Results per page
Select all
Export citation of selected articles as:
16 pages, 3522 KB  
Article
Dietary Theabrownins Improve Freeze–Thaw Quality of Grass Carp (Ctenopharyngodon idella) Muscle by Inhibiting Ice Crystal Growth and Modulating Metabolism
by Wei Zeng, Xuexue Zhang, Bohua Wang, Song Lei, Huan Zhong, Yi Zhou and Zehong Wei
Foods 2026, 15(3), 462; https://doi.org/10.3390/foods15030462 - 28 Jan 2026
Abstract
Freezing is the most commonly used preservation method for aquatic products, but the freeze–thaw cycle leads to the formation and growth of ice crystals, which seriously affects the quality of fish. This study evaluated the effect of dietary supplementation with theabrownins (TBs) on [...] Read more.
Freezing is the most commonly used preservation method for aquatic products, but the freeze–thaw cycle leads to the formation and growth of ice crystals, which seriously affects the quality of fish. This study evaluated the effect of dietary supplementation with theabrownins (TBs) on the quality attributes of grass carp (Ctenopharyngodon idella) muscle following freeze–thaw treatment. We examined changes in textural properties, ice crystal morphology and metabolomic profiles in response to TBs inclusion in feed. The results indicated that feeding TBs at 0.02% and 0.06% levels significantly improved the chewiness and cohesiveness of grass carp muscle. Histological analysis revealed that TB-containing feed effectively inhibited ice crystal growth, leading to smaller and more uniform ice crystals, thereby mitigating structural damage to muscle tissue. Metabolomic analysis identified distinct metabolite profile differences between the treatment groups and the control group, with both LTB (0.02% TBs) and HTB (0.06% TBs) groups showing significant upregulation of esters and aromatic compounds compared to the control group. The present study demonstrates that TBs, as a natural feed additive, can enhance the freeze–thaw tolerance of grass carp muscle by modulating ice crystal formation and influencing muscle metabolism. This study provides important insights and practical implications for developing novel strategies to improve the quality of frozen aquatic products. Full article
(This article belongs to the Special Issue Seafood Components and Functional Characteristics)
27 pages, 1465 KB  
Review
Soil Amendments in Cold Regions: Applications, Challenges and Recommendations
by Zhenggong Miao, Ji Chen, Shouhong Zhang, Rui Shi, Tianchun Dong, Yaojun Zhao and Jingyi Zhao
Agriculture 2026, 16(3), 326; https://doi.org/10.3390/agriculture16030326 - 28 Jan 2026
Abstract
Soil amendments are widely applied to improve soil fertility and structure, yet their performance in cold regions is constrained by low accumulated temperatures, frequent freeze–thaw (FT) cycles, and permafrost sensitivity. In this review, ‘cold regions’ refers to high-latitude and high-altitude areas characterized by [...] Read more.
Soil amendments are widely applied to improve soil fertility and structure, yet their performance in cold regions is constrained by low accumulated temperatures, frequent freeze–thaw (FT) cycles, and permafrost sensitivity. In this review, ‘cold regions’ refers to high-latitude and high-altitude areas characterized by long winters and seasonally frozen soils and/or permafrost. We screened the peer-reviewed literature using keyword-based searches supplemented by backward/forward citation tracking; studies were included when they assessed amendment treatments in cold region soils and reported measurable changes in physical, chemical, biological, or environmental indicators. Across organic, inorganic, biological, synthetic, and composite amendments, the most consistent benefits are improved aggregation and nutrient retention, stronger pH buffering, and the reduced mobility of potentially toxic elements. However, effectiveness is often site-specific and may be short-lived, and unintended risks—including greenhouse gas emissions, contaminant accumulation, and thermal disturbances—can offset gains. Cold-specific constraints are dominated by limited thermal regimes, FT disturbance, and the trade-off between surface warming for production and permafrost protection. We therefore propose integrated countermeasures: prescription-based amendment portfolios tailored to soils and seasons; the prioritization and screening of local resources; coupling with engineering and land surface strategies; a minimal cold region MRV loop; and the explicit balancing of agronomic benefits with environmental safeguards. These insights provide actionable pathways for sustainable agriculture and ecological restoration in cold regions under climate change. Full article
(This article belongs to the Section Agricultural Soils)
33 pages, 21812 KB  
Article
Assessment of the Mechanical Properties and Durability of Cement Mortars Modified with Polyurethane Foam Waste
by Gabriela Rutkowska, Barbara Francke, Filip Chyliński, Mariusz Żółtowski, Hanna Michalak, Agnieszka Starzyk, Michał Musiał and Oskar Sierakowski
Materials 2026, 19(3), 491; https://doi.org/10.3390/ma19030491 - 26 Jan 2026
Viewed by 22
Abstract
In the era of growing demand for sustainable solutions in construction, increasing attention is being paid to the potential use of waste materials as components of building composites. This article presents the results of a study on the impact of ground polyurethane foam [...] Read more.
In the era of growing demand for sustainable solutions in construction, increasing attention is being paid to the potential use of waste materials as components of building composites. This article presents the results of a study on the impact of ground polyurethane foam waste on the mechanical properties and durability of cement mortars. The waste, derived from industrial production processes, was used as a partial replacement for fine aggregates in various proportions. The analysis included bulk density, compressive and flexural strengths, water absorption, and resistance to freeze–thaw cycles. The results indicate that adding waste reduces the density of the mortar, which can be advantageous in applications requiring lightweight materials. The most favourable balance of strength retention, density reduction, and frost resistance was observed with a 1% addition, as the mortar maintained good mechanical performance and freeze–thaw durability while achieving reduced weight. Higher waste content (2–3%) led to significant deterioration of the mechanical properties due to increased porosity. All samples exhibited increased strength after 25 freeze–thaw cycles, possibly due to continued hydration under moist low-temperature conditions. The analysis of the microstructure of cement coatings with the addition of polyurethane foam enabled the explanation of the causes of the observed changes in physico-mechanical properties resulting from ageing factors. This study suggests that small amounts of waste can be effectively used to produce lightweight and environmentally friendly construction materials, supporting circular economy practices. Full article
Show Figures

Graphical abstract

21 pages, 4150 KB  
Article
Multi-Scale Optimization of Volcanic Scoria Lightweight Aggregate Concrete via Synergistic Incorporation of Styrene-Acrylic Emulsion, Foaming Agent, and Straw Fibers
by Jinhong Zhang, Rong Li and Guihua Xu
Buildings 2026, 16(3), 492; https://doi.org/10.3390/buildings16030492 - 25 Jan 2026
Viewed by 123
Abstract
Volcanic Scoria Lightweight Aggregate Concrete (VSLAC) has been identified as a material with considerable potential for use in carbon-neutral construction; however, its application is often hindered by two main issues. Firstly, the low density of scoria often results in aggregate segregation and stratification. [...] Read more.
Volcanic Scoria Lightweight Aggregate Concrete (VSLAC) has been identified as a material with considerable potential for use in carbon-neutral construction; however, its application is often hindered by two main issues. Firstly, the low density of scoria often results in aggregate segregation and stratification. Secondly, its high hygroscopicity can lead to shrinkage cracking. In order to address the aforementioned issues, this study proposes a multi-scale modification strategy. The cementitious matrix was first strengthened using a binary blend of Fly Ash and Ground Granulated Blast Furnace Slag (GGBS), followed by the incorporation of a ternary admixture system containing Styrene-Acrylic Emulsion (SAE), a foaming agent (FA), and alkali-treated Straw Fibres (SF) to enhance workability and durability. The findings of this study demonstrate that a mineral admixture comprising 10% Fly Ash and 10% GGBS results in a substantial enhancement of matrix compactness, culminating in a 20% increase in compressive strength. An orthogonal test was conducted to identify the optimal formulation (D13), which was found to contain 4% SAE, 0.1% FA, and 5% SF. This formulation yielded a compressive strength of 35.2 MPa, a flexural strength of 7.5 MPa, and reduced water absorption to 8.0%. A comparative analysis was conducted between the mineral admixture mix ratio (Control group) and the Optimal mix ratio (Optimization group). The results of this analysis reveal that the Optimization group exhibited superior durability and thermal characteristics. Specifically, the water penetration depth of the optimized composite was successfully restricted to within 3.18 mm, while its thermal insulation performance demonstrated a significant enhancement of 12.3%. In the context of freeze–thaw cycles, the modified concrete demonstrated notable durability, exhibiting a 51.4% reduction in strength loss and a marginal 0.64% restriction in mass loss. SEM analysis revealed that the interaction between SAE and the FA resulted in the densification of the Interfacial Transition Zone (ITZ). In addition, the 3D network formed by SF redistributed internal stresses, thereby shifting the failure mode from brittle fracture to ductile deformation. The findings demonstrate that modifying VSLAC at both micro- and macro-levels can effectively balance structural integrity with thermal efficiency for sustainable construction applications. Full article
(This article belongs to the Special Issue Sustainable Approaches to Building Repair)
Show Figures

Figure 1

19 pages, 2921 KB  
Article
Enhancing Frost Durability of Cement-Stabilized Silty Clay: Experimental Evaluation and Prediction Model Development
by Yu Zhang, Lingjie Li and Bangyan Hu
Buildings 2026, 16(3), 484; https://doi.org/10.3390/buildings16030484 - 23 Jan 2026
Viewed by 182
Abstract
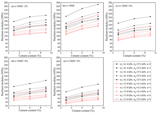
Ensuring the long-term performance of infrastructure in cold regions necessitates evaluating the frost durability of subgrade materials. This study comprehensively investigates the mechanical behavior of cement-stabilized silty clay, a common material for subgrade improvement, under freeze–thaw (F–T) cycles. A series of unconfined compressive [...] Read more.
Ensuring the long-term performance of infrastructure in cold regions necessitates evaluating the frost durability of subgrade materials. This study comprehensively investigates the mechanical behavior of cement-stabilized silty clay, a common material for subgrade improvement, under freeze–thaw (F–T) cycles. A series of unconfined compressive strength (UCS) and resilient modulus (MR) tests were conducted to quantify the effects of cement content (3%, 6%, 9%), initial moisture content (OMC − 2% to OMC + 6%), and the number of F–T cycles (0 to 9). The results demonstrate that increasing the cement content significantly enhances the MR, with the most effective improvement observed up to 6%. Specifically, increasing cement from 3% to 6% boosted MR by 11.62% to 26.69%, while a further increase to 9% yielded a smaller gain of 4.59% to 12.60%, indicating an optimal content. Both UCS and MR peak at the optimum moisture content (OMC) and degrade markedly with F–T cycles, with the first cycle causing over 50% of the total MR loss in most cases. Properties tend to stabilize after approximately six cycles. The stabilized soil exhibits superior performance, with its MR being 2.29–2.43 times that of the original soil at OMC after nine F–T cycles. Furthermore, a logarithmic model (R2 = 0.87–0.94) effectively captures the attenuation of MR with F–T cycles, while a strong linear relationship (R2 = 0.90–0.96) exists between the initial moisture content and the degradation coefficient. An empirical predictive model for UCS, integrating cement content, moisture content, and F–T cycles, is proposed and shows excellent correlation with experimental data (R2 > 0.92). Microstructural analysis reveals that the enhancement mechanism is attributed to hydration, cation exchange, and flocculation, which collectively form a stable cementitious network. The findings and proposed models provide critical quantitative insights for optimizing the design of frost-resistant cement-stabilized subgrades, thereby contributing to the enhanced durability and performance of overlying structures in seasonal freeze–thaw environments. Full article
(This article belongs to the Special Issue Foundation Treatment and Building Structural Performance Enhancement)
Show Figures

Figure 1

25 pages, 3498 KB  
Article
Freeze–Thaw Durability Enhancement of Cement Mortar Incorporating Milled RHA: Hydration Kinetics, Microstructural Refinement, and Strength Evolution
by Shuo Wang and Ming Sun
Buildings 2026, 16(3), 468; https://doi.org/10.3390/buildings16030468 - 23 Jan 2026
Viewed by 140
Abstract
Large quantities of agricultural waste, particularly rice husk ash (RHA), are generated worldwide each year, and the lack of rational, value-added disposal pathways poses both environmental and resource-utilization challenges. To address this practical problem while improving the freeze–thaw (F–T) durability of cement-based materials [...] Read more.
Large quantities of agricultural waste, particularly rice husk ash (RHA), are generated worldwide each year, and the lack of rational, value-added disposal pathways poses both environmental and resource-utilization challenges. To address this practical problem while improving the freeze–thaw (F–T) durability of cement-based materials in cold regions, this study investigates the effects of replacing silica fume (SF) with finely milled RHA on the hydration behavior, mechanical performance, and durability of cement mortar. From a scientific perspective, the freeze–thaw behavior of RHA-modified cementitious materials and the underlying relationships among hydration kinetics, microstructural evolution, and durability remain insufficiently understood. Mortars with different RHA–SF blending ratios were prepared at a constant water-to-binder ratio. Compressive strength was measured before and after F–T cycling, and the underlying mechanisms were investigated using isothermal calorimetry, water absorption tests, and scanning electron microscopy. Results show that SF significantly enhances pre-F–T compressive strength, with the SF-only mixture reaching 56.8 MPa at 28 d, approximately 28.7% higher than the control. With increasing RHA replacement, pre-F–T strength decreased with a non-monotonic variation (40.1–51.5 MPa). F–T cycling caused severe degradation in the reference mortar, with a strength loss rate of 31.75%, whereas RHA- or SF-modified mortars exhibited substantially lower loss rates (6.30–21.54%). Notably, high-RHA mixtures retained residual strengths of 36.0–38.3 MPa after F–T cycling. Although RHA delayed early hydration and increased water absorption, freeze–thaw resistance was not proportionally reduced. These results demonstrate that freeze–thaw durability is governed primarily by long-term microstructural stability rather than early-age strength, and they provide mechanistic evidence supporting the rational utilization of finely milled RHA as a low-carbon supplementary cementitious material for cold-region applications. Full article
Show Figures

Figure 1

28 pages, 3981 KB  
Article
Influence of Addition of Recycled Concrete Aggregate on Physico-Mechanical Properties and Microstructure of Mortar
by Gabriela Rutkowska, Barbara Francke, Filip Chyliński, Mariusz Żółtowski, Adam Baryłka and Paulina Matyjasek
Buildings 2026, 16(3), 466; https://doi.org/10.3390/buildings16030466 - 23 Jan 2026
Viewed by 80
Abstract
The progressive depletion of natural aggregate resources and the increasing emphasis on sustainable construction practices have intensified interest in incorporating recycled concrete aggregate (RCA) into cement-based materials. This study provides a comprehensive evaluation of the influence of partially replacing natural fine aggregate with [...] Read more.
The progressive depletion of natural aggregate resources and the increasing emphasis on sustainable construction practices have intensified interest in incorporating recycled concrete aggregate (RCA) into cement-based materials. This study provides a comprehensive evaluation of the influence of partially replacing natural fine aggregate with fine RCA on the physical, mechanical, and durability properties, as well as the microstructure, of cement mortars. Mortar mixtures containing 25%, 50%, 75%, and 100% RCA were tested and compared with a reference mix MC. The experimental program included measurements of bulk density, compressive and flexural strength, water absorption, and freeze–thaw resistance. Additionally, microstructural observations were performed to assess the effect of RCA on the internal structure of matured mortars. The results demonstrated that the intrinsic characteristics of RCA—particularly its higher water absorption and lower density—significantly affected the pore structure and mechanical behavior of the cement mortars. Mortars with RCA exhibited enhanced early-age compressive and flexural strength, especially at substitution levels of 50–100%, attributed to the activation of residual cement paste adhering to the recycled particles. However, increased porosity and water absorption in RCA-based mixes led to a higher sensitivity to freeze–thaw cycles compared with the reference mix. Overall, the findings indicate that incorporating fine RCA up to 50% enables the production of mortars with performance comparable to conventional mixtures under non-freezing conditions, while, under freeze–thaw exposure, comparable performance is achieved at replacement levels up to 25%, contributing to improved resource efficiency and reduced environmental impact. This study confirms the viability of fine RCA in cement mortars, emphasizing the importance of controlling pore structure development to maintain long-term durability. Additionally, it demonstrates that the use of recycled concrete aggregates provides a sustainable alternative to natural sand in mortar production. Full article
(This article belongs to the Section Building Materials, and Repair & Renovation)
27 pages, 8512 KB  
Article
Freeze–Thaw Damage Model and Mechanism of Rubber Concrete with Recycled Brick–Concrete Aggregate
by Jiayu Zeng, Jiangfeng Dong, Siwei Du, Shucheng Yuan, Kunpeng Li, Xinyue Zhang and Xinyu Chen
Buildings 2026, 16(2), 438; https://doi.org/10.3390/buildings16020438 - 21 Jan 2026
Viewed by 133
Abstract
This study investigated the effects of rubber substitution ratios (0%, 5%, 10%, 15%) on the frost resistance of rubber concrete with recycled brick–concrete aggregate (BRC). The freeze–thaw (F–T) damage model was established and improved, and the damage mechanism was revealed. The results showed [...] Read more.
This study investigated the effects of rubber substitution ratios (0%, 5%, 10%, 15%) on the frost resistance of rubber concrete with recycled brick–concrete aggregate (BRC). The freeze–thaw (F–T) damage model was established and improved, and the damage mechanism was revealed. The results showed that with the increase in rubber substitution ratio, the frost resistance indices of BRC did not improve or decline synchronously. An increase in rubber content could enhance one index, such as the relative compressive strength, but was often achieved at the expense of reductions in other indices, such as the relative dynamic elastic modulus (RDEM) and relative quality. Consequently, a single indicator was insufficient for evaluating the overall frost resistance. To address this limitation, an entropy weight-based evaluation system was developed. This system integrated the multiple indices into a unified damage score. When combined with defined damage grades, it enabled a holistic assessment of the damage state. For the nonlinear accelerated damage stage during freeze–thaw cycles, the Weibull distribution-based freeze–thaw damage model demonstrated higher prediction accuracy (R2 > 0.85) compared to the conventional freeze–thaw fatigue model. The freeze–thaw damage in BRC originated from the competition between “pore deterioration and crack propagation at weak interfaces” and “the elastic buffering effect of rubber.” This study provided a reference for the frost-resistance design and freeze–thaw life prediction of BRC in cold regions. Full article
(This article belongs to the Special Issue The Greening of the Reinforced Concrete Industry)
Show Figures

Figure 1

21 pages, 3990 KB  
Article
Enhancing Thermo-Mechanical Behavior of Bio-Treated Silts Under Cyclic Thermal Stresses
by Rashed Rahman, Tejo V. Bheemasetti, Tanvi Govil and Rajesh Sani
Geosciences 2026, 16(1), 48; https://doi.org/10.3390/geosciences16010048 - 21 Jan 2026
Viewed by 106
Abstract
Freeze-thaw (F-T) cycles in seasonally frozen regions induce progressive volumetric strains leading to degradation of soils’ mechanical properties and performance of earthen infrastructure. Conventional chemical stabilization techniques often are not adaptive to cyclic thermal stresses and do not address the fundamental phase changes [...] Read more.
Freeze-thaw (F-T) cycles in seasonally frozen regions induce progressive volumetric strains leading to degradation of soils’ mechanical properties and performance of earthen infrastructure. Conventional chemical stabilization techniques often are not adaptive to cyclic thermal stresses and do not address the fundamental phase changes of porous media, underscoring the need for sustainable alternatives. This study explores the potential of extracellular polymeric substances (EPS) produced by the psychrophilic bacterium Polaromonas hydrogenivorans as a bio-mediated soil treatment to enhance freeze-thaw durability. Two EPS formulations were examined—EPS 1 (high ice-binding activity) and EPS 2 (low ice-binding activity)—to evaluate their effectiveness in improving volumetric stability and thawing strength of silty soil subjected to ten F-T cycles. Tests were conducted at four moisture contents (12%, 18%, 24%, and 30%) and three EPS concentrations (3, 10, and 20 g/L). Volumetric strain measurements quantified freezing expansion and thawing contraction, while unconfined compressive strength assessed post-thaw mechanical integrity. The untreated soils exhibited maximum net volumetric strains (γNet) of 5.62% and only marginal strength recovery after ten F-T cycles. In contrast, EPS 1 at 20 g/L mitigated volumetric changes across all moisture contents and increased compressive strength to 191.2 kPa. EPS 2 yielded moderate improvements, reducing γNet to 0.98% and enhancing strength to 183.9 kPa at 30% moisture. Lower EPS concentrations (3 and 10 g/L) partially mitigated volumetric strain, with performance strongly dependent on moisture content. These results demonstrate that psychrophilic EPS, particularly EPS 1, effectively suppresses ice formation within soil pores and preserves mechanical structure, offering a sustainable, high-performance solution for stabilizing frost-susceptible soils in cold-regions. Full article
Show Figures

Figure 1

32 pages, 13039 KB  
Article
Freeze-Thaw Behavior and Damage Prediction of Mixed Recycled Coarse Aggregate Concrete
by Huaiqin Liu, Jiale Chen, Ping Zhang, Weina Li, Wei Su, Tian Su, Shangwei Gong and Bangxiang Li
Buildings 2026, 16(2), 368; https://doi.org/10.3390/buildings16020368 - 15 Jan 2026
Cited by 3 | Viewed by 190
Abstract
To address the freeze-thaw (F-T) durability of concrete structures in severely cold plateau regions, this study investigates recycled coarse aggregate concrete (RCAC) by designing mixtures with varying replacement ratios of recycled brick aggregate (RBA). Rapid freeze-thaw cycling tests are conducted in combination with [...] Read more.
To address the freeze-thaw (F-T) durability of concrete structures in severely cold plateau regions, this study investigates recycled coarse aggregate concrete (RCAC) by designing mixtures with varying replacement ratios of recycled brick aggregate (RBA). Rapid freeze-thaw cycling tests are conducted in combination with macro- and microscale analytical techniques to systematically elucidate the frost resistance and damage mechanisms of mixed recycled coarse aggregate concrete. When the RBA content is 50%, the concrete demonstrates relatively better frost resistance within the mixed recycled aggregate system. This is evidenced by the lowest mass loss rate coupled with the highest retention ratios for both the relative dynamic elastic modulus (RDEM) and the compressive strength. Micro-analysis indicates that an appropriate amount of RBA can optimize the pore structure, exerting a “micro air-cushion” buffering effect. Blending RBA with recycled concrete aggregate (RCA) may create functional complementarity between pores and the skeleton, effectively delaying freeze–thaw damage. A GM (1,1) damage prediction model based on gray system theory is established, which demonstrates high accuracy (R2 > 0.92). This study provides a reliable theoretical basis and a predictive tool for the durability design and service life assessment of mixed recycled coarse aggregate concrete engineering in severely cold regions. Full article
(This article belongs to the Special Issue Low-Carbon Materials and Advanced Engineering Technologies)
Show Figures

Figure 1

16 pages, 7013 KB  
Article
Performance of Bacterial Concrete with Agro-Waste Capsules
by Ivanka Netinger Grubeša, Dalibor Kramarić, Dunja Šamec and Anđelko Crnoja
Appl. Sci. 2026, 16(2), 755; https://doi.org/10.3390/app16020755 - 11 Jan 2026
Viewed by 235
Abstract
This study investigates the effects of agro-waste-based capsules made from grape seeds and cherry pits on the physical, mechanical, thermal and self-healing properties of concrete. Capsule-containing mixtures were compared with a reference concrete after 28 days of water curing using both standardized and [...] Read more.
This study investigates the effects of agro-waste-based capsules made from grape seeds and cherry pits on the physical, mechanical, thermal and self-healing properties of concrete. Capsule-containing mixtures were compared with a reference concrete after 28 days of water curing using both standardized and non-standardized testing methods. Capsule incorporation reduced workability by up to 91% and altered air content depending on capsule type, increasing it by 47% for grape seed capsules and decreasing it by 65% for cherry pit capsules. Fresh concrete density was reduced by 5.5% and 6.8% for grape seed and cherry pit capsules, respectively, while hardened concrete density decreased by 11% and 9%, implying lighter structures with improved seismic resistance. Compressive strength decreased by 49% for grape seed capsules and 27% for cherry pit capsules. Thermal conductivity was reduced by 32% and 22%, respectively, indicating improved energy efficiency. Concrete with grape seed capsules showed freeze–thaw performance comparable to the reference concrete after 112 cycles, whereas concrete with cherry pit capsules exhibited superior dynamic modulus behavior, suggesting continuous crack healing, despite significant mass loss due to poor capsule–matrix bonding. SEM analysis showed no significant crack reduction, while EDS revealed calcium-rich areas in grape seed capsule concrete, indicating possible crack healing. Overall, agro-waste capsule concrete shows potential for improving seismic resistance and energy efficiency, although further research is required to clarify the self-healing effect. Full article
(This article belongs to the Special Issue Innovative Building Materials: Design, Properties and Applications)
Show Figures

Figure 1

20 pages, 1021 KB  
Article
Two Comprehensive Liquid Chromatography High-Resolution Mass Spectrometry (UPLC-MS/MS) Multi-Methods for Real-Time Therapeutic Drug Monitoring (TDM) of Five Novel Beta-Lactams and of Fosfomycin Administered by Continuous Infusion
by Ilaria Trozzi, Beatrice Giorgi, Riccardo De Paola, Milo Gatti and Federico Pea
Pharmaceutics 2026, 18(1), 91; https://doi.org/10.3390/pharmaceutics18010091 - 10 Jan 2026
Viewed by 294
Abstract
Background/Objectives: Therapeutic drug monitoring (TDM) of β-lactams (BL), BL/β-lactamase inhibitor (BLI) combinations (BL/BLIc), and of fosfomycin may play a key role in optimizing antimicrobial therapy and in preventing resistance development, especially when used by continuous infusion in critically ill or immunocompromised patients. [...] Read more.
Background/Objectives: Therapeutic drug monitoring (TDM) of β-lactams (BL), BL/β-lactamase inhibitor (BLI) combinations (BL/BLIc), and of fosfomycin may play a key role in optimizing antimicrobial therapy and in preventing resistance development, especially when used by continuous infusion in critically ill or immunocompromised patients. Unfortunately, analytical methods for simultaneously quantifying multiple BL/BLIc in plasma are still lacking. Methods: The aim of this study was to develop and validate two rapid, sensitive, and accurate UPLC–qTOF–MS/MS methods for the simultaneous quantification of five novel β-lactam or β-lactam/β-lactamase inhibitor combinations (ceftolozane/tazobactam, ceftazidime/avibactam, meropenem/vaborbactam, cefiderocol, and ceftobiprole) along with fosfomycin. Methods: Human plasma samples were prepared by protein precipitation using methanol containing isotopically labeled internal standards. Chromatographic separation was achieved within 10–12 min using two Agilent Poroshell columns (EC-C18 and PFP) under positive and negative electrospray ionization modes. The method was validated according to the EMA guidelines by assessing selectivity, linearity, precision, accuracy, matrix effects, extraction recovery, and stability. Results: The methods exhibited excellent linearity (R2 ≥ 0.998) across the calibration ranges for all of the analytes (1.56–500 µg/mL), with limits of quantification ranging from 1.56 to 15.62 µg/mL. Intra- and inter-day precision and accuracy were always within ±15%. Extraction recovery always exceeded 92%, and the matrix effects were effectively corrected through isotopic internal standards. No carry-over or isobaric interferences were observed. All the analytes were stable for up to five days at 4 °C, but the BL and BL/BLIc stability was affected by multiple freeze–thaw cycles. Conclusions: These UPLC-qTOF-MS/MS multi-analyte methods enabled a simultaneous, reliable quantification in plasma of five novel beta-lactams and of fosfomycin. Robustness, high throughput, and sensitivity make these multi-methods feasible for real-time TDM, supporting personalized antimicrobial dosing and improved therapeutic outcomes in patients with severe or multidrug-resistant infections. Full article
(This article belongs to the Section Clinical Pharmaceutics)
Show Figures

Figure 1

16 pages, 2725 KB  
Article
Comparative Analysis of Freeze–Thaw Effects on the Parallel-to-Grain Compressive Properties of Bamboo and Chinese Fir
by Kang Zhao and Yang Wei
Buildings 2026, 16(2), 291; https://doi.org/10.3390/buildings16020291 - 9 Jan 2026
Viewed by 206
Abstract
To evaluate the application potential of bamboo in cold regions, this study systematically compared the differences in the effects of freeze–thaw cycles on the longitudinal compressive properties of moso bamboo (Phyllostachys edulis) and Chinese fir (Cunninghamia lanceolata). By subjecting [...] Read more.
To evaluate the application potential of bamboo in cold regions, this study systematically compared the differences in the effects of freeze–thaw cycles on the longitudinal compressive properties of moso bamboo (Phyllostachys edulis) and Chinese fir (Cunninghamia lanceolata). By subjecting the materials to 0, 5, and 10 standard freeze–thaw cycles, the evolution patterns were analyzed from three aspects: mechanical properties, failure modes, and apparent color. The results show that bamboo exhibits significantly superior freeze–thaw resistance: after 10 cycles, bamboo retained 95.4% of its compressive strength (decreasing from 50.2 MPa to 47.9 MPa), whereas the strength of Chinese fir decreased by 14.2% (from 46.7 MPa to 40.0 MPa). The elastic modulus of bamboo remained stable, while that of Chinese fir decreased by 30.86%. Load–displacement curves revealed that bamboo displayed a ductile plateau after failure, whereas Chinese fir exhibited a linear drop-off. Analysis of failure modes further highlighted the intrinsic differences between the materials: bamboo primarily underwent progressive buckling of fiber bundles, forming typical accordion-like folds; Chinese fir mainly showed brittle failures such as end crushing and longitudinal splitting. Color characterization indicated that the lightness index L of the bamboo outer skin (bamboo green) decreased by 26.1%, while the chromaticity indices a (red) and b* (yellow) increased significantly, showing the most notable changes; the color of Chinese fir and the bamboo inner skin (bamboo yellow) remained relatively stable. This study demonstrates that natural bamboo outperforms Chinese fir in terms of frost resistance, toughness, and strength retention in the short term. The findings provide important experimental evidence and design references for promoting the application of bamboo in engineering projects in cold regions. Full article
Show Figures

Figure 1

17 pages, 2799 KB  
Article
Development and Multi-Scale Evaluation of a Novel Polyfluorosilicone Triple-Layer Anti-Seepage Coating for Hydraulic Concrete
by Nazim Hussain, Guoxin Zhang, Songhui Li, Xunan Liu, Xiangyu Luo and Junhua Hu
Coatings 2026, 16(1), 85; https://doi.org/10.3390/coatings16010085 - 9 Jan 2026
Viewed by 283
Abstract
The deterioration of concrete hydraulic structures caused by chemical factors, seepage, and environmental stress necessitates advanced protective coatings that enhance durability, flexibility, and environmental sustainability. Conventional protective systems often exhibit limited durability under combined hydraulic, thermal, and chemical stress. In this study, a [...] Read more.
The deterioration of concrete hydraulic structures caused by chemical factors, seepage, and environmental stress necessitates advanced protective coatings that enhance durability, flexibility, and environmental sustainability. Conventional protective systems often exhibit limited durability under combined hydraulic, thermal, and chemical stress. In this study, a novel polyfluorosilicone-based coating system is presented, which integrates a deep-penetrating nano-primer for substrate reinforcement, a crack-bridging polymer intermediate layer for impermeability, and a polyfluorosilicone topcoat providing UV and weather resistance. The multilayer architecture addresses the inherent trade-offs between adhesion, flexibility, and durability observed in conventional waterproofing systems. Informed by a mechanistic study of interfacial adhesion and failure modes, the coating exhibits outstanding high mechanical and performance characteristics, including a mean pull-off bond strength of 4.56 ± 0.14 MPa for the fully cured triple-layer coating system, with cohesive failure occurring within the concrete substrate, signifying a bond stronger than the material it protects. The system withstood 2.2 MPa water pressure and 200 freeze–thaw cycles with 87.2% modulus retention, demonstrating stable mechanical and environmental durability. The coating demonstrated excellent resilience, showing no evidence of degradation after 1000 h of UV aging, 200 freeze–thaw cycles, and exposure to alkaline solutions. This water-based formulation meets green-material standards, with low volatile organic compound (VOC) levels and minimal harmful chemicals. The results validate that a multi-scale, layered design strategy effectively decouples and addresses the distinct failure mechanisms in hydraulic environments, providing a robust and sustainable solution. Full article
(This article belongs to the Section Functional Polymer Coatings and Films)
Show Figures

Figure 1

31 pages, 5957 KB  
Article
A Study on the Preparation and Performance Optimization of Alkali-Activated Fly Ash-Based Aerogel-Modified Foam Concrete
by Peng Liu, Wei Wu and Yanfeng Gong
Buildings 2026, 16(1), 206; https://doi.org/10.3390/buildings16010206 - 2 Jan 2026
Viewed by 216
Abstract
To address the energy and environmental challenges, this study targets the need for ultra-low energy buildings in China’s hot summer-cold winter region (HSCW) by developing high-performance alkali-activated foam concrete (AAFC) insulation material. Initially, a target performance indicator system was established. Subsequently, a mix [...] Read more.
To address the energy and environmental challenges, this study targets the need for ultra-low energy buildings in China’s hot summer-cold winter region (HSCW) by developing high-performance alkali-activated foam concrete (AAFC) insulation material. Initially, a target performance indicator system was established. Subsequently, a mix proportion design method based on the volume method was proposed, and preliminary mix proportions were designed and tested to achieve the target performance. Accordingly, eight factors, including alkali equivalent and SiO2 aerogel content, were selected for further optimization. A systematic optimization of performance was then conducted using an L32(48) orthogonal experimental design. Range analysis and analysis of variance indicated that foam content significantly affected all target properties. The water-to-binder ratio notably influenced mechanical performance and dry density. Alkali equivalent and activator modulus directly regulated the reaction process. Notably, the incorporation of 2.5 wt% SiO2 aerogel reduced the thermal conductivity to 0.1107 W/(m·K), highlighting its significant role in improving thermal insulation and effectively resolving the common trade-off between insulation and mechanical properties in FC. Furthermore, the waterproofing agent played a critical role in reducing water absorption and enhancing frost resistance. Finally, the optimal mix proportion was determined through matrix analysis, with all material properties meeting the expected targets. Test results confirmed that the optimized FC achieved a dry density of 576.34 kg/m3, compressive and flexural strengths of 5.83 MPa and 1.41 MPa, respectively, a drying shrinkage rate of only 0.614 mm/m, a mass water absorption of 3.87%, and strength and mass loss rates below 10.5% and 1.8% after freeze–thaw cycles. Therefore, this material presents a novel solution for the envelope structures of low-energy buildings. Full article
(This article belongs to the Section Building Materials, and Repair & Renovation)
Show Figures

Figure 1

Back to TopTop