Sign in to use this feature.

Years

Between: -

Subjects

remove_circle_outline
remove_circle_outline
remove_circle_outline
remove_circle_outline
remove_circle_outline
remove_circle_outline
remove_circle_outline
remove_circle_outline
remove_circle_outline

Journals

remove_circle_outline
remove_circle_outline
remove_circle_outline
remove_circle_outline
remove_circle_outline
remove_circle_outline
remove_circle_outline
remove_circle_outline
remove_circle_outline

Article Types

Countries / Regions

remove_circle_outline
remove_circle_outline
remove_circle_outline
remove_circle_outline

Search Results (554)

Search Parameters:
Keywords = fracture path

Order results
Result details
Results per page
Select all
Export citation of selected articles as:
21 pages, 5381 KB  
Article
Dynamic Fracture Behaviour of Cracked H-Shaped Beam-Column Joints with Beam Ends Supported by Columns
by Kai Wang, Chengxiang Yang, Yan Dong, Tiejun Yuan, Yaodong Xue and Yonghui Huang
Buildings 2026, 16(3), 642; https://doi.org/10.3390/buildings16030642 - 3 Feb 2026
Abstract
The study of the mechanical response and crack propagation behaviour of H-shaped beam-column specimens is of great significance for ensuring the safety and stability of buildings. As a connection structure that has gained ubiquity in modern shopping malls and high-rise buildings, an in-depth [...] Read more.
The study of the mechanical response and crack propagation behaviour of H-shaped beam-column specimens is of great significance for ensuring the safety and stability of buildings. As a connection structure that has gained ubiquity in modern shopping malls and high-rise buildings, an in-depth exploration of the failure mechanisms of H-shaped beam-column components will facilitate more accurate technical support for building maintenance and service life prediction. The present study employs a combination of drop-weight impact tests and the caustic method to systematically investigate the dynamic fracture characteristics of H-shaped beam-column joints under various prefabricated crack configurations. The results demonstrate that the number and location of cracks in H-shaped beam-column specimens have a significant impact on the propagation path and velocity. Specifically, beam-end cracks are prone to bifurcation, while column-end cracks predominantly initiate from the beam-column intersection. This phenomenon is particularly evident in specimens with prefabricated cracks at both the beam ends and column ends. The propagation of cracks at the beam ends is arrested due to the presence of compressive stress when they reach the beam-column intersection. During this period, the stress intensity of the column-end cracks increases significantly, with a growth rate of 33%. Full article
Show Figures

Figure 1

15 pages, 4701 KB  
Article
Local and Regional Tectonic Influence of Territory on Geohazard of Dam of Radioactive Waste Tailings (Ukraine)
by Olha Orlinska, Dmytro Pikarenia, Leonid Rudakov and Hennadii Hapich
GeoHazards 2026, 7(1), 18; https://doi.org/10.3390/geohazards7010018 - 1 Feb 2026
Viewed by 113
Abstract
Uranium production tailing ponds in Kamyanske (Ukraine) are objects of increased radioecological danger. Violation of the stability and integrity of containment dams threatens the uncontrolled spread of radionuclides. The purpose of this study is to comprehensively assess the factors affecting the technical condition [...] Read more.
Uranium production tailing ponds in Kamyanske (Ukraine) are objects of increased radioecological danger. Violation of the stability and integrity of containment dams threatens the uncontrolled spread of radionuclides. The purpose of this study is to comprehensively assess the factors affecting the technical condition and environmental safety of the Sukhachivske tailing dam. The study included a visual inspection and detailed geophysical work using the natural pulse electromagnetic field of the Earth (NPEMFE) method. This method was chosen to identify hidden filtration paths and stress zones in the body of the earth dam. An analysis of the spatial distribution of waterlogging, filtration, and fissuring in the hydraulic structure was performed. Based on the results of the NPEMFE survey, six zones with varying degrees of waterlogging and stress–strain states of the structure were identified. The presence of externally unmanifested filtration paths and suffusion areas was established, and a tectonic scheme of fracture development in the dam body was compiled. A correlation was found between the dominant azimuths of crack extension (70–79° and 350–359°) and the directions of regional tectonic lineament zones, at the intersection of which the tailing pond is located. It has been established that modern tectonic movements along fault zones create zones of permeability, which serve as primary pathways for water filtration and further development of suffusion. This conclusion introduces a new tectonic feature for risk diagnosis and monitoring of similar hydraulic structures. Full article
Show Figures

Figure 1

29 pages, 3650 KB  
Article
Decoding LSTM to Reveal Baseflow Contributions in Fractured and Sedimentary Mountain Basins: A Case Study in the Sangre de Cristo Mountains, Southwestern United States
by Michael Rosati, Yeo H. Lim, Katie Zemlick and Kamran Syed
Hydrology 2026, 13(2), 51; https://doi.org/10.3390/hydrology13020051 - 1 Feb 2026
Viewed by 80
Abstract
This study investigates how a Long Short-Term Memory (LSTM) model internally represents baseflow contributions in snowmelt-driven, semi-arid mountain basins with heterogeneous geologic characteristics. Five basins in the Sangre de Cristo Mountains of northern New Mexico, spanning fractured Precambrian bedrock and sedimentary-volcanic terrain, were [...] Read more.
This study investigates how a Long Short-Term Memory (LSTM) model internally represents baseflow contributions in snowmelt-driven, semi-arid mountain basins with heterogeneous geologic characteristics. Five basins in the Sangre de Cristo Mountains of northern New Mexico, spanning fractured Precambrian bedrock and sedimentary-volcanic terrain, were used to evaluate both model performance and interpretability. Baseflow dynamics were inferred post hoc using the Baseflow Index (BFI) and a two-reservoir HEC-HMS (Hydrologic Engineering Center’s Hydrologic Modeling System) model. Although baseflow components were not explicitly included in model training, internal cell state activations exhibited strong correlations with both shallow and deep baseflow components derived from the HEC-HMS model. To better understand how these relationships may change under climatic stress, BFI-based baseflow patterns were further analyzed under pre-drought and drought conditions. Results indicate that the internal LSTM states differentiated patterns consistent with short- and long-residence flow paths, reflecting physically interpretable hydrologic behavior. This work demonstrates the potential of LSTM models to provide valuable insights into baseflow generation and groundwater–surface water interactions, which is especially critical in water-scarce regions facing increasing drought frequency. Full article
Show Figures

Figure 1

18 pages, 5637 KB  
Article
Johnson–Cook vs. Ductile Damage Material Models: A Comparative Study of Metal Fracture Prediction
by Hasan Al-Rifaie and Naftal Ngughu
Appl. Sci. 2026, 16(3), 1363; https://doi.org/10.3390/app16031363 - 29 Jan 2026
Viewed by 96
Abstract
This study presents a comparative assessment of the Johnson–Cook (J-C) and Ductile Damage (DD) material models, evaluating their capability to replicate the tensile behavior and fracture development in ductile metals. Numerical models of AL6063-T4 aluminium and A36 steel dog-bone specimens with two different [...] Read more.
This study presents a comparative assessment of the Johnson–Cook (J-C) and Ductile Damage (DD) material models, evaluating their capability to replicate the tensile behavior and fracture development in ductile metals. Numerical models of AL6063-T4 aluminium and A36 steel dog-bone specimens with two different thicknesses were developed in ABAQUS to assess force–displacement response, stress–strain characteristics, and crack evolution under quasi-static loading. Results showed that specimen thickness directly doubled load capacity, while both models captured the overall elastic and plastic behavior of the materials. A key finding is that the DD model provided yield stresses closely matching the reference material values, whereas the J-C model exhibited higher apparent yields due to its intrinsic strain-rate sensitivity. Differences in damage behavior were also pronounced: the DD model better reproduced the gradual, inclined fracture path in aluminium, while the J-C model more accurately captured the strong necking-localization response characteristic of steel. Comparisons with experimentally tested specimens further supported these fracture tendencies. By analysing both materials under identical conditions, this work highlights the relative strengths and limitations of the two fracture formulations. The originality of the study lies in its systematic comparison across materials and thicknesses, providing clear guidance for selecting appropriate constitutive models in structural and computational mechanics research. Full article
(This article belongs to the Special Issue Applied Numerical Analysis and Computing in Mechanical Engineering)
Show Figures

Figure 1

28 pages, 18453 KB  
Article
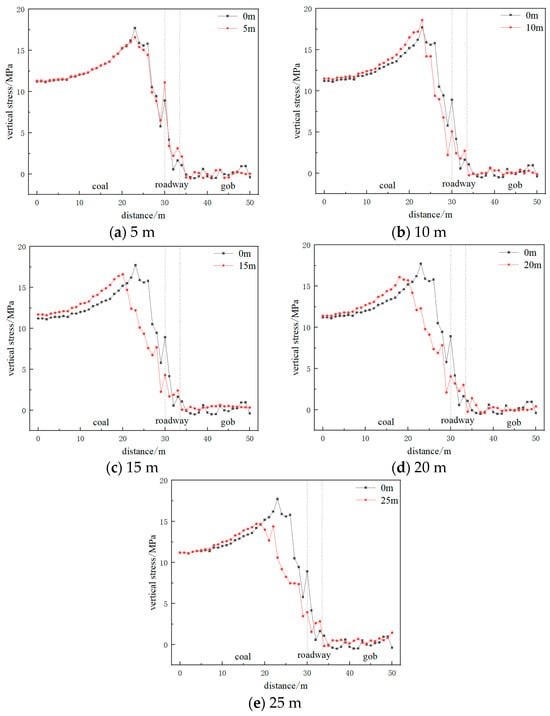
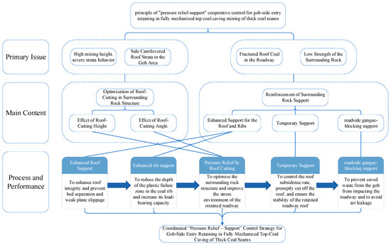
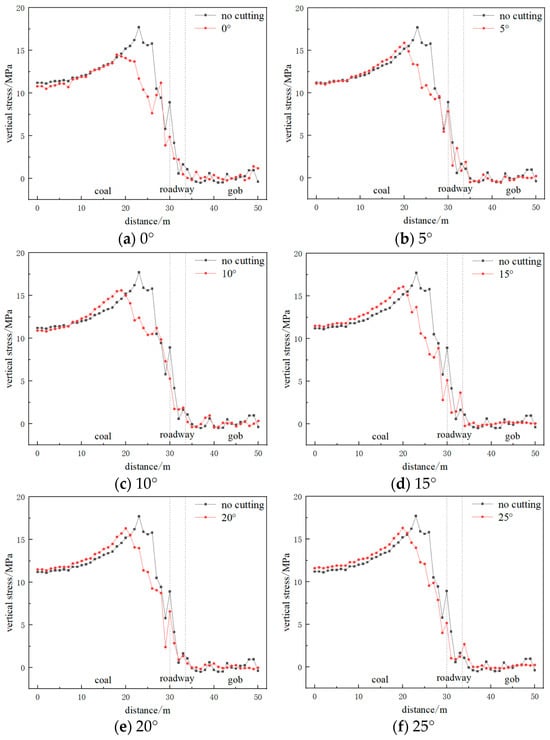
Study on Key Parameters of Roof Cutting and Surrounding Rock Control Technology for Gob-Side Entry Retaining in Fully Mechanized Top Coal Caving Mining of Thick Coal Seams
by Menglong Zha, Chong Li, Yadong Zheng, Huan Xia, Menghu Sun and Shuaishuai Jiang
Appl. Sci. 2026, 16(3), 1293; https://doi.org/10.3390/app16031293 - 27 Jan 2026
Viewed by 112
Abstract
In thick coal seam conditions, the surrounding rock deformation in the longwall mining faces’ along-the-goal roadway is severe, and the support strength struggles to meet roadway retention requirements. A coordinated control strategy, termed “pressure-relief and support,” is proposed, which includes an “Optimization of [...] Read more.
In thick coal seam conditions, the surrounding rock deformation in the longwall mining faces’ along-the-goal roadway is severe, and the support strength struggles to meet roadway retention requirements. A coordinated control strategy, termed “pressure-relief and support,” is proposed, which includes an “Optimization of Roof Cutting in Surrounding Rock Structure, Reinforcement of surrounding rock support, high-strength temporary support, and roadside gangue-blocking support.” A numerical model for roof-cutting pressure relief in thick-seam caving mining gob-side entries was established to simulate various roof-cutting heights and angles. This model analyzes the evolution patterns of stress and displacement under different cutting parameters to identify optimal values. The study presents a coordinated “pressure-relief and support” control scheme for gob-side entries in thick-seam caving mining, with its feasibility validated through numerical simulation analysis and field industrial tests. The findings demonstrate that the selection of the roof-cutting height and angle exerts a significant influence on the deformation behavior of the retained roadway roof. By severing the roof strata, this technique disrupts the load-transfer path from the goaf to the entry, thereby mitigating the adverse effects of overlying strata fracturing and facilitating more effective ground control. As a result, roof-cutting and pressure relief substantially reduce the stress imposed on the supporting structures. The coordinated “pressure-relief & support” control strategy employed in gob-side entry retaining for thick-seam longwall top-coal caving faces notably improves the surrounding rock stress regime and effectively restrains roadway convergence. Full article
(This article belongs to the Topic Advances in Mining and Geotechnical Engineering)
Show Figures

Figure 1

18 pages, 1312 KB  
Article
Optimization of Sisal Content in Geopolymer Mortars with Recycled Brick and Concrete: Design and Processing Implications
by Oscar Graos-Alva, Aldo Castillo-Chung, Marisol Contreras-Quiñones and Alexander Vega-Anticona
Constr. Mater. 2026, 6(1), 7; https://doi.org/10.3390/constrmater6010007 - 26 Jan 2026
Viewed by 109
Abstract
Geopolymer mortars were produced from construction and demolition waste using a binary binder of recycled brick powder/recycled concrete powder (RBP/RCP = 70/30 wt%), activated with a hybrid alkaline solution (NaOH/Na2SiO3/KOH) and reinforced with sisal fibres at 0–2 wt%. Mechanical [...] Read more.
Geopolymer mortars were produced from construction and demolition waste using a binary binder of recycled brick powder/recycled concrete powder (RBP/RCP = 70/30 wt%), activated with a hybrid alkaline solution (NaOH/Na2SiO3/KOH) and reinforced with sisal fibres at 0–2 wt%. Mechanical performance (compression and three-point bending) and microstructure–phase evolution (XRD, FTIR, SEM-EDS) were assessed after low-temperature curing. Sisal addition delivered a strength–toughness trade-off with a reproducible optimum at ~1.0–1.5 wt%; at 2.0 wt%, fibre clustering and connected porosity reduced the effective load-bearing section, penalising flexure more than compression. Microstructural evidence indicates coexistence and co-crosslinking of N-A-S-H and C-(A)-S-H gels—enabled by Ca from RCP—leading to matrix densification and improved fibre–matrix anchorage. Fractographic features (tortuous crack paths, bridging, and extensive pull-out at ~1.5 wt%) are consistent with an extended post-peak response and higher fracture work without compromising early-age strength. This study achieves the following: (i) it identifies a practical reinforcement window for sisal in RBP/RCP geopolymers, (ii) it links gel chemistry and interfacial phenomena to macroscopic behaviour, and (iii) it distils processing guidelines (gradual addition, workability control, gentle deaeration, and constant A/S) that support reproducibility. These outcomes provide a replicable, low-embodied-CO2 route to fibre-reinforced geopolymer mortars derived from CDW for non-structural and semi-structural applications where flexural performance and post-peak behaviour are critical. Full article
Show Figures

Figure 1

25 pages, 16827 KB  
Review
Development Status and Prospect of Roof-Cutting and Pressure Relief Gob-Side Entry Retaining Technology in China
by Dong Duan, Xin Wang, Jie Li, Baisheng Zhang, Xiaojing Feng, Yongkang Chang, Shibin Tang and Hewen Shi
Appl. Sci. 2026, 16(3), 1182; https://doi.org/10.3390/app16031182 - 23 Jan 2026
Viewed by 144
Abstract
China’s roof-cutting and pressure relief gob-side entry retaining (RCPR-GER) technology provides an efficient non-pillar mining solution that significantly enhances coal recovery. This paper presents a systematic review of the technological progress in Chinese coal mines from 2011 to 2023, based on an analysis [...] Read more.
China’s roof-cutting and pressure relief gob-side entry retaining (RCPR-GER) technology provides an efficient non-pillar mining solution that significantly enhances coal recovery. This paper presents a systematic review of the technological progress in Chinese coal mines from 2011 to 2023, based on an analysis of 1038 publications from CNKI, EI, and Web of Science using VOS viewer and Origin software. Four main technical approaches are examined: gob-side entry retaining without roadside filling, with roadside filling, with roof-cutting and pressure relief, and hybrid methods. Five key roof-cutting techniques are evaluated: dense drilling, high-pressure water-jet slotting, hydraulic fracturing, blasting, presplitting, and roof water injection softening. Successful applications have been documented in coal seams with thicknesses of 1.6–6.15 m and burial depths of 92–1037 m, demonstrating wide adaptability. The roof-cutting short-beam theory underpins the mechanism, which reduces roadway deformation, shortens the cantilever beam length, and alters stress transfer paths. Compared to previous reviews on general gob-side entry retaining, this study offers a dedicated synthesis and comparative analysis of RCPR-GER technologies, establishing a selection framework grounded in geological compatibility and engineering practice. Future research should focus on adaptive parameter design for deep hard composite roofs, quantitative modeling of passive roof-cutting effects, optimization of cutting timing and orientation, and floor-heave control technologies to extend applications under complex geological conditions. Full article
(This article belongs to the Section Energy Science and Technology)
Show Figures

Figure 1

18 pages, 2924 KB  
Article
Path Planning for a Cartesian Apple Harvesting Robot Using the Improved Grey Wolf Optimizer
by Dachen Wang, Huiping Jin, Chun Lu, Xuanbo Wu, Qing Chen, Lei Zhou, Xuesong Jiang and Hongping Zhou
Agronomy 2026, 16(2), 272; https://doi.org/10.3390/agronomy16020272 - 22 Jan 2026
Viewed by 136
Abstract
As a high-value fruit crop grown worldwide, apples require efficient harvesting solutions to maintain a stable supply. Intelligent harvesting robots represent a promising approach to address labour shortages. This study introduced a Cartesian robot integrated with a continuous-picking end-effector, providing a cost-effective and [...] Read more.
As a high-value fruit crop grown worldwide, apples require efficient harvesting solutions to maintain a stable supply. Intelligent harvesting robots represent a promising approach to address labour shortages. This study introduced a Cartesian robot integrated with a continuous-picking end-effector, providing a cost-effective and mechanically simpler alternative to complex articulated arms. The system employed a hand–eye calibration model to enhance positioning accuracy. To overcome the inefficiencies resulting from disordered harvesting sequences and excessive motion trajectories, the harvesting process was treated as a travelling salesman problem (TSP). The conventional fixed-plane return trajectory of Cartesian robots was enhanced using a three-dimensional continuous picking path strategy based on a fixed retraction distance (H). The value of H was determined through mechanical characterization of the apple stem’s brittle fracture, which eliminated redundant horizontal displacements and improved operational efficiency. Furthermore, an improved grey wolf optimizer (IGWO) was proposed for multi-fruit path planning. Simulations demonstrated that the IGWO achieved shorter path lengths compared to conventional algorithms. Laboratory experiments validated that the system successfully achieved vision-based localization and fruit harvesting through optimal path planning, with a fruit picking success rate of 89%. The proposed methodology provides a practical framework for automated continuous harvesting systems. Full article
(This article belongs to the Section Precision and Digital Agriculture)
Show Figures

Figure 1

16 pages, 5764 KB  
Article
Effect of Bonding Pressure and Joint Thickness on the Microstructure and Mechanical Reliability of Sintered Nano-Silver Joints
by Phuoc-Thanh Tran, Quang-Bang Tao, Lahouari Benabou and Ngoc-Anh Nguyen-Thi
J. Manuf. Mater. Process. 2026, 10(1), 22; https://doi.org/10.3390/jmmp10010022 - 8 Jan 2026
Viewed by 315
Abstract
Sintered nano-silver is widely investigated as a die-attach material for next-generation power electronic modules due to its high thermal conductivity, favorable electrical performance, and stability at elevated temperatures. However, how bonding pressure and joint thickness jointly affect densification, interfacial diffusion, and mechanical reliability [...] Read more.
Sintered nano-silver is widely investigated as a die-attach material for next-generation power electronic modules due to its high thermal conductivity, favorable electrical performance, and stability at elevated temperatures. However, how bonding pressure and joint thickness jointly affect densification, interfacial diffusion, and mechanical reliability has not been systematically clarified, especially under the low-pressure conditions required for large-area SiC and GaN devices. In this work, nano-silver lap-shear joints with three bond-line thicknesses (50, 70, and 100 μm) were fabricated under two applied pressures (1.0 and 1.5 MPa) using a controlled sintering fixture. Shear testing and cross-sectional SEM were employed to evaluate the relationships between microstructural evolution and joint integrity. When the bonding pressure was increased from 1.0 to 1.5 MPa, more effective particle rearrangement and reduced pore connectivity were observed, together with improved metallurgical bonding at the Ag–Au interface, leading to a strength increase from 15.3 to 28.2 MPa. Although thicker joints exhibited slightly higher bulk relative density due to greater heat retention and accelerated local sintering, this densification advantage did not lead to improved mechanical performance. Instead, the lower strength of thicker joints is attributed to a narrower Ag–Au interdiffusion region, which limited the formation of continuous load-bearing paths at the interface. Fractographic analyses confirmed that failure occurred predominantly by interfacial delamination rather than cohesive fracture, indicating that the reliability of the joints under low-pressure sintering is governed by the quality of interfacial bonding rather than by overall densification. The experimental results show that, under low-pressure sintering conditions (1.0–1.5 MPa), variations in bonding pressure and bond-line thickness lead to distinct effects on joint performance, with the extent of Ag–Au interfacial interaction playing a key role in determining the mechanical robustness of the joints. Full article
(This article belongs to the Special Issue Innovative Approaches in Metal Forming and Joining Technologies)
Show Figures

Figure 1

40 pages, 318496 KB  
Article
Hydrogeochemical Characteristics and Genetic Mechanism of the Shiqian Hot Spring Group in Southwestern China: A Study Based on Water–Rock Interaction
by Jianlong Zhou, Jianyou Chen, Yupei Hao, Zhengshan Chen, Mingzhong Zhou, Chao Li, Pengchi Yang and Yu Ao
Minerals 2026, 16(1), 61; https://doi.org/10.3390/min16010061 - 7 Jan 2026
Viewed by 274
Abstract
Shiqian County, located within a key geothermal fluids belt in Guizhou Province, China, has abundant underground hot water resources. Therefore, elucidating the hydrogeochemical characteristics and formation mechanisms of thermal mineral water in this area is essential for evaluating and sustainably utilizing regional geothermal [...] Read more.
Shiqian County, located within a key geothermal fluids belt in Guizhou Province, China, has abundant underground hot water resources. Therefore, elucidating the hydrogeochemical characteristics and formation mechanisms of thermal mineral water in this area is essential for evaluating and sustainably utilizing regional geothermal fluids. This study focuses on the Shiqian Hot Spring Group and employs integrated analytical techniques, including rock geochemistry, hydrogeochemistry, isotope hydrology, digital elevation model (DEM) data analysis, remote sensing interpretation, geological surveys, mineral saturation index calculations, and PHREEQC-based inverse hydrogeochemical modeling, to elucidate its hydrogeochemical characteristics and formation mechanisms. The results show that strontium concentrations range from 0.06 to 7.17 mg/L (average 1.65 mg/L) and metasilicic acid concentrations range from 19.46 to 65.51 mg/L (average 33.64 mg/L). Most samples meet the national standards for natural mineral water and are classified as Sr-metasilicic acid type. Isotope analysis indicates that the geothermal water is recharged by meteoric precipitation at elevations between 911 m and 1833 m, mainly from carbonate outcrops and fracture zones on the southwestern slope of Fanjingshan, and discharges south of Shiqian County. The dominant hydrochemical types are HCO3·SO4-Ca·Mg and HCO3-Ca·Mg. Strontium is primarily derived from carbonate rocks and celestite-bearing evaporites, whereas metasilicic acid mainly originates from quartz dissolution along the upstream groundwater flow path. PHREEQC-based inverse modeling indicates that, during localized thermal mineral water runoff in the middle-lower reaches or discharge areas, calcite dissolves while dolomite and quartz tend to precipitate, reflecting calcite dissolution-dominated water–rock interactions and near-saturation conditions for some minerals at late runoff stages. Full article
Show Figures

Figure 1

20 pages, 4698 KB  
Article
Numerical Analysis of Curvilinear Fatigue Crack Growth and Plastic Zone Evolution in Haynes 230 Superalloy Under Variable Stress Ratios
by Yahya Ali Fageehi and Abdulnaser M. Alshoaibi
Crystals 2026, 16(1), 39; https://doi.org/10.3390/cryst16010039 - 1 Jan 2026
Viewed by 372
Abstract
This paper presents a high-fidelity numerical simulation of curvilinear fatigue crack growth (FCG) through a modified Compact Tension (CT) specimen made of Haynes 230 nickel-based superalloy. The specimen’s design, featuring three extra holes, was intentionally chosen to induce mixed-mode loading and complex, non-linear [...] Read more.
This paper presents a high-fidelity numerical simulation of curvilinear fatigue crack growth (FCG) through a modified Compact Tension (CT) specimen made of Haynes 230 nickel-based superalloy. The specimen’s design, featuring three extra holes, was intentionally chosen to induce mixed-mode loading and complex, non-linear crack paths. Crucially, this configuration allows for a thorough examination of how the specimen’s geometry, restraints, or minor manufacturing discrepancies affect the localized stress state. Experimental data corresponding to three different initial crack patterns were utilized to validate the numerical model implemented within the ANSYS simulation environment. The comparison demonstrated that the present simulated crack trajectory was significantly closer to the experimental results than those obtained from earlier numerical simulations using ZFEM-TERF and FRANC3D. Furthermore, the current study critically examined the validity of Linear Elastic Fracture Mechanics (LEFM) by analyzing the evolution of the Cyclic Plastic Zone (CPZ) size for two distinct stress ratio values: R = 0.5 and R = −1. The findings confirm the full satisfaction of the Small-Scale Yielding (SSY) criterion throughout the crack growth history for the positive stress ratio (R = 0.5). Conversely, the negative stress ratio (R = −1) caused a significant violation of the SSY assumption in the later stages of propagation. This highlights how the applicability of LEFM is largely dependent on the loading regime and underscores the necessity of employing Elastic–Plastic Fracture Mechanics (EPFM) for fully reversed cycles. This research establishes a well-founded and valuable protocol for predicting Fatigue Crack Growth (FCG) in complex superalloy components. Full article
(This article belongs to the Special Issue Fatigue and Fracture of Crystalline Metal Structures)
Show Figures

Figure 1

16 pages, 2546 KB  
Article
W-Re/Cr Cosegregation Enhanced Thermodynamic Stability and Cohesion of the γ-Ni/γ′-Ni3Al Phase Boundary
by Liang Peng, Hong-Tao Xue, Fawaz Alnoman Mohammed Ahmed, Jun-Qiang Ren, Fu-Ling Tang, Xue-Feng Lu and Jun-Chen Li
Metals 2026, 16(1), 53; https://doi.org/10.3390/met16010053 - 31 Dec 2025
Viewed by 261
Abstract
The thermodynamic instability and relatively low mechanical strength of γ/γ′ phase boundaries in Ni-based single-crystal superalloys compromise the service safety of these materials. The interfacial segregation behavior of alloying elements is expected to enhance the thermodynamic stability and mechanical strength of γ/γ′ phase [...] Read more.
The thermodynamic instability and relatively low mechanical strength of γ/γ′ phase boundaries in Ni-based single-crystal superalloys compromise the service safety of these materials. The interfacial segregation behavior of alloying elements is expected to enhance the thermodynamic stability and mechanical strength of γ/γ′ phase boundaries. In the present research, first-principles computations grounded in density functional theory were performed to examine the unclarified cosegregation characteristics of W-Re/Cr solutes at the γ-Ni/γ′-Ni3Al phase boundary, as well as the impacts of such cosegregation on interfacial formation heat and Griffith fracture work. The results indicated that Re and Cr atoms tend to segregate preferentially at the γ-L1-3.52-cp site within the W-alloyed phase boundary. This phenomenon can be attributed to the attractive interactions between W and Re/Cr, along with the fact that this site exhibits the most negative segregation energy. The thermodynamic stability of W-Re and W-Cr cosegregated phase boundaries is significantly enhanced, being much higher than that of clean or W-segregated phase boundaries, which is ascribed to deeper pseudogaps at the Fermi level. Notably, the preferred fracture path remains in region-1 after cosegregation, as directly evidenced by its lower Griffith fracture work compared to region-2. This disparity is rationalized by charge density analysis, which reveals a pronounced charge accumulation and consequently stronger bonding in region-2. Our results may provide atomistic insights into the solute cosegregation behaviors and their interfacial strengthening and stabilizing effects, and also the interfacial composition manipulation of Ni-based single-crystal superalloys. Full article
Show Figures

Figure 1

27 pages, 11326 KB  
Article
Numerical Study on Lost Circulation Mechanism in Complex Fracture Network Coupled Wellbore and Its Application in Lost-Circulation Zone Diagnosis
by Zhichao Xie, Yili Kang, Chengyuan Xu, Lijun You, Chong Lin and Feifei Zhang
Processes 2026, 14(1), 143; https://doi.org/10.3390/pr14010143 - 31 Dec 2025
Viewed by 321
Abstract
Deep and ultra-deep drilling operations commonly encounter fractured and fracture-vuggy formations, where weak wellbore strength and well-developed fracture networks lead to frequent lost circulation, presenting a key challenge to safe and efficient drilling. Existing diagnostic practices mostly rely on drilling fluid loss dynamic [...] Read more.
Deep and ultra-deep drilling operations commonly encounter fractured and fracture-vuggy formations, where weak wellbore strength and well-developed fracture networks lead to frequent lost circulation, presenting a key challenge to safe and efficient drilling. Existing diagnostic practices mostly rely on drilling fluid loss dynamic models of single fractures or simplified discrete fractures to invert fracture geometry, which cannot capture the spatiotemporal evolution of loss in complex fracture networks, resulting in limited inversion accuracy and a lack of quantitative, fracture-network-based loss-dynamics support for bridge-plugging design. In this study, a geologically realistic wellbore–fracture-network coupled loss dynamic model is constructed to overcome the limitations of single- or simplified-fracture descriptions. Within a unified computational fluid dynamics (CFD) framework, solid–liquid two-phase flow and Herschel–Bulkley rheology are incorporated to quantitatively characterise fracture connectivity. This approach reveals how instantaneous and steady losses are controlled by key geometrical factors, thereby providing a computable physical basis for loss-zone inversion and bridge-plugging design. Validation against experiments shows a maximum relative error of 7.26% in pressure and loss rate, indicating that the model can reasonably reproduce actual loss behaviour. Different encounter positions and node types lead to systematic variations in loss intensity and flow partitioning. Compared with a single fracture, a fracture network significantly amplifies loss intensity through branch-induced capacity enhancement, superposition of shortest paths, and shortening of loss paths. In a typical network, the shortest path accounts for only about 20% of the total length, but contributes 40–55% of the total loss, while extending branch length from 300 mm to 1500 mm reduces the steady loss rate by 40–60%. Correlation analysis shows that the instantaneous loss rate is mainly controlled by the maximum width and height of fractures connected to the wellbore, whereas the steady loss rate has a correlation coefficient of about 0.7 with minimum width and effective path length, and decreases monotonically with the number of connected fractures under a fixed total width, indicating that the shortest path and bottleneck width are the key geometrical factors governing long-term loss in complex fracture networks. This work refines the understanding of fractured-loss dynamics and proposes the concept of coupling hydraulic deviation codes with deep learning to build a mapping model from mud-logging curves to fracture geometrical parameters, thereby providing support for lost-circulation diagnosis and bridge-plugging optimisation in complex fractured formations. Full article
Show Figures

Figure 1

27 pages, 6323 KB  
Article
Multivariate Analysis and Hydrogeochemical Evolution of Groundwater in a Geologically Controlled Aquifer System: A Case Study in North Central Province, Sri Lanka
by Uthpala Hansani, Sapumal Asiri Witharana, Prasanna Lakshitha Dharmapriya, Pushpakanthi Wijekoon, Zhiguo Wu, Xing Chen, Shameen Jinadasa and Rohan Weerasooriya
Water 2026, 18(1), 89; https://doi.org/10.3390/w18010089 - 30 Dec 2025
Viewed by 437
Abstract
This study investigates the coupled relationship between groundwater chemistry, lithology, and structural features in the dry zone of Netiyagama, Sri Lanka, within a fractured crystalline basement. Groundwater chemistry fundamentally reflects geological conditions determined by rock-water interactions, we hypothesized that the specific spatial patterns [...] Read more.
This study investigates the coupled relationship between groundwater chemistry, lithology, and structural features in the dry zone of Netiyagama, Sri Lanka, within a fractured crystalline basement. Groundwater chemistry fundamentally reflects geological conditions determined by rock-water interactions, we hypothesized that the specific spatial patterns of groundwater chemistry in heterogeneous fractured systems are distinctly controlled by integrated effects of lithological variations, structurally driven flow pathways, aquifer stratification, and geochemical processes, including cation exchange and mineral-specific weathering. To test this, we integrated hydrogeochemical signatures with mapped hydrogeological data and applied multi-stage multivariate analyses, including Piper diagrams, Hierarchical Cluster Analysis (HCA), and Principal Component Analysis (PCA), and various bivariate plots. Piper diagrams identified five distinct hydrochemical facies, but these did not correlate directly with specific rock types, highlighting the limitations of traditional methods in heterogeneous settings. Employing a multi-stage multivariate analysis, we identified seven clusters (C1–C7) that exhibited unique spatial distributions across different rock types and provided a more refined classification of groundwater chemistries. These clusters align with a three-unit aquifer framework (shallow weathered zone, intermittent fracture zone at ~80–100 m MSL, and deeper persistent fractures) controlled by a regional syncline and lineaments. Further analysis through bivariate diagrams revealed insights into dominant weathering processes, cation-exchange mechanisms, and groundwater residence times across the identified clusters. Recharge-type clusters (C1, C2, C5) reflect plagioclase-dominated weathering and short flow paths; transitional clusters (C3, C7) show mixed sources and increasing exchange; evolved clusters (C4, C6) exhibit higher mineralization and longer residence. Overall, the integrated workflow (facies plots + PCA/HCA + bivariate/process diagrams) constrains aquifer dynamics, recharge pathways, and flow-path evolution without additional drilling, and provides practical guidance for well siting and treatment. Full article
Show Figures

Figure 1

39 pages, 8683 KB  
Article
Abandonment Integrity Assessment Regarding Legacy Oil and Gas Wells and the Effects of Associated Stray Gas Leakage on the Adjacent Shallow Aquifer in the Karoo Basin, South Africa
by Murendeni Mugivhi, Thokozani Kanyerere, Yongxin Xu, Myles T. Moore, Keith Hackley, Tshifhiwa Mabidi and Lucky Baloyi
Hydrology 2026, 13(1), 14; https://doi.org/10.3390/hydrology13010014 - 29 Dec 2025
Viewed by 414
Abstract
Shale gas extraction is underway in the Karoo Basin. Previous oil and gas explorers abandoned several wells, and the abandonment statuses of these wells are unknown. Critically, improperly abandoned wells can provide a pathway for the leakage of stray gas into shallow aquifers [...] Read more.
Shale gas extraction is underway in the Karoo Basin. Previous oil and gas explorers abandoned several wells, and the abandonment statuses of these wells are unknown. Critically, improperly abandoned wells can provide a pathway for the leakage of stray gas into shallow aquifers and degrade water quality. To understand the abandonment integrity risk posed by these wells, a qualitative risk model was developed to assess the likelihood of well-barrier failure leading to a potential leak. The potential leak paths identified include zones with cement losses during grouting, casing corrosion, cement channels, failure to case and cement risk zones, uncased and uncemented sources, uncemented annuli, and unplugged wells. To confirm whether these wells are leaking, geochemical tracing of stray gas was integrated. Eleven of the fifty samples collected had dissolved hydrocarbon gas concentrations that were high enough to use isotopic analysis to determine the source. The results revealed microbial gas via fermentation and carbon dioxide reduction, thermogenic gas, and geothermal gas, as evidenced by larger δ13C1 values and isotopic reversals associated with dolerite intrusions. The thermogenic-type gas detected in legacy abandoned wells and <1 km water boreholes adjacent to these wells serves as evidence that the downhole plugs did not maintain their integrity or were improperly plugged, whereas the thermogenic gas detected in >1 km water boreholes indicates leakage contamination due to natural fracture pathways. The presence of thermogenic gas in legacy wells and in groundwater boreholes <1 km from legacy wells implies that shale gas extraction using hydraulic fracturing cannot be supported in these situations. However, using safety buffer zones greater than 1 km from the legacy wells for shale gas drilling could be supported. Full article
(This article belongs to the Topic Advances in Groundwater Science and Engineering)
Show Figures

Figure 1

Back to TopTop