Sign in to use this feature.

Years

Between: -

Subjects

remove_circle_outline
remove_circle_outline
remove_circle_outline
remove_circle_outline
remove_circle_outline
remove_circle_outline

Journals

Article Types

Countries / Regions

Search Results (22)

Search Parameters:
Keywords = fluorochrome labelling

Order results
Result details
Results per page
Select all
Export citation of selected articles as:
18 pages, 3421 KB  
Article
Improvement of the Obliteration of Non-Critical Size Defects by Using a Mixture of Bone Dust and Bone Replacement Material (Bioactive Glass S53P4)
by Max Kemper, Anne Kluge, Ines Zeidler-Rentzsch, Susanne Isabella Günther and Marcus Neudert
Osteology 2025, 5(2), 15; https://doi.org/10.3390/osteology5020015 - 19 May 2025
Viewed by 1290
Abstract
Background/Objectives: Obliterates such as autologous bone dust (BD) or the synthetic bioactive glass S53P4 (BA) are frequently used for the obliteration of non-critical size defects (NCSDs), especially in otosurgery. Both obliterates have advantages and disadvantages, so that the combination of both for [...] Read more.
Background/Objectives: Obliterates such as autologous bone dust (BD) or the synthetic bioactive glass S53P4 (BA) are frequently used for the obliteration of non-critical size defects (NCSDs), especially in otosurgery. Both obliterates have advantages and disadvantages, so that the combination of both for the obliteration of NCSDs is analysed. Methods: As part of a large animal project with sheep, four NCSDs were created in the calotte of thirteen animals using a drill. These were filled with BD, BD and BA, or BA, and the reference defect remained empty. After three weeks, the explanted calottes were examined with regard to their newly formed bone using digital volume tomography, bone density measurement, fluorochrome sequence labelling, and histological analysis. In addition, human cell culture analyses were carried out on the quality of the BD. Results: BD collected at 7.000 and 15.000 rpm shows a higher activity of new bone formation. In combination with BA, bone is formed centripetally and centrifugally. Defect filling with BA and BD shows a higher bone density and compactness than BD alone. Conclusions: BD should be harvested at a speed of less than 15.000 rpm. Using this BD in combination with BA to obliterate NCSDs enables the defect to be obliterated quickly and completely, with more newly formed bone, creating a bone network with incorporated BA. Further studies are needed to investigate the long-term stability of this obliteration and to determine which other parameters of the extraction can increase the amount of vital BD. Full article
Show Figures

Figure 1

41 pages, 4892 KB  
Systematic Review
Histomorphometric Assessment of Non-Decalcified Plastic-Embedded Specimens for Evaluation of Bone Regeneration Using Bone Substitute Materials—A Systematic Review
by Varvara-Velika Rogova, Stefan Peev, Ralitsa Yotsova, Tsvetalina Gerova-Vatsova and Ivaylo Parushev
Materials 2025, 18(1), 119; https://doi.org/10.3390/ma18010119 - 30 Dec 2024
Cited by 4 | Viewed by 2157
Abstract
With the implementation of bone substitute materials, regeneration strategies have inevitably evolved over the years. Histomorphometry is the optimal means of quantitative evaluation of bone structure and morphology. This systematic review focuses on determining study models, staining methods and histomorphometric parameters used for [...] Read more.
With the implementation of bone substitute materials, regeneration strategies have inevitably evolved over the years. Histomorphometry is the optimal means of quantitative evaluation of bone structure and morphology. This systematic review focuses on determining study models, staining methods and histomorphometric parameters used for bone regeneration research on non-decalcified plastic-embedded specimens over the last 10 years. After being subjected to the inclusion and exclusion criteria, 118 studies were included in this review. The results establish the most commonly selected animal model is rat, followed by rabbit, sheep and dog. Strong preference for staining samples with toluidine blue was noted. With regard to histomorphometric parameters, terms related to bone were most frequently assessed, amounting to almost half of recorded parameters. New bone formation was the main descriptor of this category. Residual bone graft and non-bone tissue parameters were also often evaluated. With regard to dynamic histomorphometry, mineral apposition rate (MAR) was the parameter of choice for most researchers, with calcein green being the preferred dye for fluorochrome labelling. An overview of the contemporary literature, as well as weaknesses in the current research protocols have been discussed. Full article
Show Figures

Figure 1

20 pages, 4968 KB  
Article
Characterization of Incremental Markings in the Sagittal Otolith of the Pacific Sardine (Sardinops sagax) Using Different Imaging Modalities
by Kelsey C. James, Uwe Kierdorf, Victoria Cooley, Viktor Nikitin, Stuart R. Stock and Horst Kierdorf
Minerals 2024, 14(7), 705; https://doi.org/10.3390/min14070705 - 12 Jul 2024
Cited by 1 | Viewed by 4836
Abstract
Teleost fish possess calcium carbonate otoliths located in separate chambers (utriculus, sacculus, and lagena) of their membranous labyrinth. This study analyzed the surface topography of the sagittal otolith of the Pacific sardine (Sardinops sagax) and the daily and annual increments in [...] Read more.
Teleost fish possess calcium carbonate otoliths located in separate chambers (utriculus, sacculus, and lagena) of their membranous labyrinth. This study analyzed the surface topography of the sagittal otolith of the Pacific sardine (Sardinops sagax) and the daily and annual increments in these otoliths. The otolith surface, characterized by laser scanning confocal microscopy for the first time, consisted of a system of prominent ridges and valleys (grooves), but it is unclear whether these structures are functional or represent time-resolving markings reflecting growth periodicity. Within the first-year volume, daily increments, each consisting of an incremental (more mineralized) and a discontinuous (less mineralized) zone, were resolved by optical microscopy and backscattered electron (BSE) imaging in the scanning electron microscope (SEM). Daily growth increments could, however, not be resolved in volumes formed after the first year, presumably because otolith growth markedly slows down and spacing of incremental markings narrows in older fish. Throughout otolith growth, the crystalline network continues across the discontinuous zones. Fluorochrome labeling provides additional information on growth after the first year. Compared with optical and BSE imaging, synchrotron microComputed Tomography of intact otoliths (with 0.69 µm volume elements) was less able to resolve daily increments; X-ray phase contrast reconstructions provided more detail than reconstructions with absorption contrast. Future research directions are proposed. Full article
(This article belongs to the Special Issue Skeletal Tissues Mineralization)
Show Figures

Graphical abstract

21 pages, 2220 KB  
Article
Anti-HIV Activity and Immunomodulatory Properties of Fractionated Crude Extracts of Alternaria alternata
by Mbali X. Kubheka, Sizwe I. Ndlovu and Nompumelelo P. Mkhwanazi
Microorganisms 2024, 12(6), 1150; https://doi.org/10.3390/microorganisms12061150 - 5 Jun 2024
Cited by 3 | Viewed by 1994
Abstract
Developing new anti-human immunodeficiency virus (HIV) drug candidates that target different sites in HIV-1 replication, with better resistance profiles and lower drug toxicity, is essential to eradicating HIV. This study investigated the potential of fractionated crude extracts of Alternaria alternata as immunomodulatory or [...] Read more.
Developing new anti-human immunodeficiency virus (HIV) drug candidates that target different sites in HIV-1 replication, with better resistance profiles and lower drug toxicity, is essential to eradicating HIV. This study investigated the potential of fractionated crude extracts of Alternaria alternata as immunomodulatory or anti-HIV drug candidates. Solid-phase extraction (SPE) was used to fractionate A. alternata PO4PR2 using three different columns: MAX (Mixed-mode, strong Anion-eXchange), MCX (Mixed-mode, strong Cation-eXchange), and HLB (Hydrophilic–Lipophilic Balance) with methanol gradient methods (5%, 45%, and 95%). An MTT (3-[4,5-dimethylthiazol-2-yl]-2,5 diphenyl tetrazolium bromide) assay was used to assess the cell viability and cytotoxicity of the fractionated crude extract A. alternata PO4PR2 in the TZM-bl cell lines. This was followed by a luciferase-based antiviral assay to assess the antiviral activity of A. alternata PO4PR2. A time of addition (TOA) assay was performed to ascertain the mechanism of inhibition employed by the fractionated crude extract of A. alternata PO4PR2 in the HIV life cycle. The p24 titer was determined using an ELISA, while a luciferase-based antiviral assay was used to evaluate the HIV percentage inhibition for different HIV-1 replication cycles. The TOA assay was established using antiviral drugs that target different sites in the HIV replication cycle. These included maraviroc, azidothymidine, raltegravir, and amprenavir. The immunomodulatory effect of the fractionated crude extracts on CD4+ T cells was measured by a flow cytometric analysis, for which fluorochrome-labelled monoclonal antibodies were used as markers for activation (CD38 and HLA-DR) and exhaustion (PD-1). The MCX fraction demonstrated a more significant anti-HIV inhibition than that of the fractions generated in other columns, with an IC50 of 0.3619 µg/mL, an HIV inhibition of 77%, 5% HLB (IC50: 0.7232 µg/mL; HIV inhibition of 64%), and 5% MAX (IC50: 5.240 µg/mL; HIV inhibition of 67%). It was evident from the time of addition data that the crude extract and the 5% MCX fraction inhibited viral binding (68%), reverse transcription (75%), integration (98%), and proteolysis (77%). It was shown that A. alternata (the MCX fraction) have a significant inhibitory effect on reverse transcription (75% HIV inhibition) and integration (100% HIV inhibition). The 5% MCX (p = 0.0062), 5% HLB (p = 0.0269), and 5% MAX (p = 0.0117) fractionated A. alternata crude extracts had low levels of CD4+ T cell (CD38 + HLA-DR+) activation compared to those of the AZT treatment, while CD4+ T cell activation was insignificant. The 5% MAX and HLB A. alternata fractions may possess immunomodulatory compounds with less anti-HIV-1 activity. A. alternata could be a key source of innovative anti-HIV drugs with immunomodulatory characteristics. Full article
(This article belongs to the Section Environmental Microbiology)
Show Figures

Figure 1

21 pages, 3135 KB  
Article
Lectin-Based Immunophenotyping and Whole Proteomic Profiling of CT-26 Colon Carcinoma Murine Model
by Anna Faragó, Ágnes Zvara, László Tiszlavicz, Éva Hunyadi-Gulyás, Zsuzsanna Darula, Zoltán Hegedűs, Enikő Szabó, Sára Eszter Surguta, József Tóvári, László G. Puskás and Gábor J. Szebeni
Int. J. Mol. Sci. 2024, 25(7), 4022; https://doi.org/10.3390/ijms25074022 - 4 Apr 2024
Cited by 1 | Viewed by 4146
Abstract
A murine colorectal carcinoma (CRC) model was established. CT26 colon carcinoma cells were injected into BALB/c mice’s spleen to study the primary tumor and the mechanisms of cell spread of colon cancer to the liver. The CRC was verified by the immunohistochemistry of [...] Read more.
A murine colorectal carcinoma (CRC) model was established. CT26 colon carcinoma cells were injected into BALB/c mice’s spleen to study the primary tumor and the mechanisms of cell spread of colon cancer to the liver. The CRC was verified by the immunohistochemistry of Pan Cytokeratin and Vimentin expression. Immunophenotyping of leukocytes isolated from CRC-bearing BALB/c mice or healthy controls, such as CD19+ B cells, CD11+ myeloid cells, and CD3+ T cells, was carried out using fluorochrome-labeled lectins. The binding of six lectins to white blood cells, such as galectin-1 (Gal1), siglec-1 (Sig1), Sambucus nigra lectin (SNA), Aleuria aurantia lectin (AAL), Phytolacca americana lectin (PWM), and galectin-3 (Gal3), was assayed. Flow cytometric analysis of the splenocytes revealed the increased binding of SNA, and AAL to CD3 + T cells and CD11b myeloid cells; and increased siglec-1 and AAL binding to CD19 B cells of the tumor-bearing mice. The whole proteomic analysis of the established CRC-bearing liver and spleen versus healthy tissues identified differentially expressed proteins, characteristic of the primary or secondary CRC tissues. KEGG Gene Ontology bioinformatic analysis delineated the established murine CRC characteristic protein interaction networks, biological pathways, and cellular processes involved in CRC. Galectin-1 and S100A4 were identified as upregulated proteins in the primary and secondary CT26 tumor tissues, and these were previously reported to contribute to the poor prognosis of CRC patients. Modelling the development of liver colonization of CRC by the injection of CT26 cells into the spleen may facilitate the understanding of carcinogenesis in human CRC and contribute to the development of novel therapeutic strategies. Full article
(This article belongs to the Special Issue Immunophenotyping in Autoimmune Diseases and Cancer, 3rd Edition)
Show Figures

Figure 1

15 pages, 1631 KB  
Article
Karyotype Variability in Wild Narcissus poeticus L. Populations from Different Environmental Conditions in the Dinaric Alps
by Fatima Pustahija, Neđad Bašić and Sonja Siljak-Yakovlev
Plants 2024, 13(2), 208; https://doi.org/10.3390/plants13020208 - 11 Jan 2024
Cited by 3 | Viewed by 1879
Abstract
Narcissus poeticus L. (Amaryllidaceae), a facultative serpentinophyte, is a highly variable species and particularly important ancestor of cultivated daffodils, but is rarely studied in field populations. This study, based on natural populations in the Balkans, focused on karyotype variability, genome size, ploidy and [...] Read more.
Narcissus poeticus L. (Amaryllidaceae), a facultative serpentinophyte, is a highly variable species and particularly important ancestor of cultivated daffodils, but is rarely studied in field populations. This study, based on natural populations in the Balkans, focused on karyotype variability, genome size, ploidy and the presence of B chromosomes. Thirteen native populations from different environmental and soil conditions were collected and analyzed using flow cytometry to estimate nuclear genome size, fluorescence in situ hybridization (FISH) for physical mapping of rDNA, fluorochrome labeling (chromomycin and Hoechst) for heterochromatin organization and silver nitrate staining of nucleoli for determining rRNA gene activity. The organization of rDNA and natural triploids is reported here for the first time. The presence of individuals with B chromosomes (in 9/13 populations) and chromosomal rearrangements was also detected. The observed B chromosome showed three different morphotypes. The most frequent submetacentric type showed four different patterns, mainly with active ribosomal genes. The results obtained show that N. poeticus has a dynamic genome with variable genome size due to the presence of polyploidy, B chromosomes and chromosomal rearrangements. It is hypothesized that the observed changes reflect the response of the genome to different environmental conditions, where individuals with B chromosomes appear to have certain adaptive advantages. Full article
Show Figures

Figure 1

13 pages, 3888 KB  
Article
Updating Ortho- and Metachromatic Acridine Orange Fluorescence in Cytochemical Chromosome Staining: A Proposal for Understanding Its Differential Fluorescence on Double- and Single-Stranded Nucleic Acids Substrates Based on Intercalation
by Juan C. Stockert and Alfonso Blázquez-Castro
Chemosensors 2023, 11(10), 540; https://doi.org/10.3390/chemosensors11100540 - 16 Oct 2023
Cited by 3 | Viewed by 4340
Abstract
Many fluorophores display interesting features that make them useful biological labels and chemosensors, in particular in Cell Biology. Changes in the absorption-emission spectra (ortho- and metachromasia) are accounted among them. Acridine orange (AO) is one such fluorochromes that shows a prototypical orthochromatic vs. [...] Read more.
Many fluorophores display interesting features that make them useful biological labels and chemosensors, in particular in Cell Biology. Changes in the absorption-emission spectra (ortho- and metachromasia) are accounted among them. Acridine orange (AO) is one such fluorochromes that shows a prototypical orthochromatic vs. metachromatic behavior depending on its concentration and binding mode to different cellular substrates. Here, we revisit the differential AO fluorescence that occurs in selected biological examples, which allows for the identification of single-stranded or double-stranded nucleic acids. Although known for long, the ultimate reason for this phenomenon has not been properly advanced. We provide a potential molecular mechanism that adequately accounts for the different aspects of the phenomenon. This theoretical mechanism implies a difference in the degree of overlap of excited state orbitals whenever AO molecules are interacting with a single-stranded or a double-stranded nucleic acid. In the first case, massive π-electron overlapping between bases and intercalated AO leads to a metachromatic red emission. On the contrary, no excited-state orbital overlapping in AO-intercalated DNA duplexes is possible due to excessive separation between AO molecules and compliancy to the nearest neighbor exclusion principle, which manifests as orthochromatic green fluorescence. Full article
Show Figures

Figure 1

15 pages, 3377 KB  
Article
Enhancement of Scaffold In Vivo Biodegradability for Bone Regeneration Using P28 Peptide Formulations
by Farah Alwani Azaman, Margaret E. Brennan Fournet, Suzina Sheikh Ab Hamid, Muhamad Syahrul Fitri Zawawi, Valdemiro Amaro da Silva Junior and Declan M. Devine
Pharmaceuticals 2023, 16(6), 876; https://doi.org/10.3390/ph16060876 - 13 Jun 2023
Cited by 5 | Viewed by 2330
Abstract
The field of bone tissue engineering has shown a great variety of bone graft substitute materials under development to date, with the aim to reconstruct new bone tissue while maintaining characteristics close to the native bone. Currently, insufficient scaffold degradation remains the critical [...] Read more.
The field of bone tissue engineering has shown a great variety of bone graft substitute materials under development to date, with the aim to reconstruct new bone tissue while maintaining characteristics close to the native bone. Currently, insufficient scaffold degradation remains the critical limitation for the success of tailoring the bone formation turnover rate. This study examines novel scaffold formulations to improve the degradation rate in vivo, utilising chitosan (CS), hydroxyapatite (HAp) and fluorapatite (FAp) at different ratios. Previously, the P28 peptide was reported to present similar, if not better performance in new bone production to its native protein, bone morphogenetic protein-2 (BMP-2), in promoting osteogenesis in vivo. Therefore, various P28 concentrations were incorporated into the CS/HAp/FAp scaffolds for implantation in vivo. H&E staining shows minimal scaffold traces in most of the defects induced after eight weeks, showing the enhanced biodegradability of the scaffolds in vivo. The HE stain highlighted the thickened periosteum indicating a new bone formation in the scaffolds, where CS/HAp/FAp/P28 75 µg and CS/HAp/FAp/P28 150 µg showed the cortical and trabecular thickening. CS/HAp/FAp 1:1 P28 150 µg scaffolds showed a higher intensity of calcein green label with the absence of xylenol orange label, which indicates that mineralisation and remodelling was not ongoing four days prior to sacrifice. Conversely, double labelling was observed in the CS/HAp/FAp 1:1 P28 25 µg and CS/HAp/FAp/P28 75 µg, which indicates continued mineralisation at days ten and four prior to sacrifice. Based on the HE and fluorochrome label, CS/HAp/FAp 1:1 with P28 peptides presented a consistent positive osteoinduction following the implantation in the femoral condyle defects. These results show the ability of this tailored formulation to improve the scaffold degradation for bone regeneration and present a cost-effective alternative to BMP-2. Full article
(This article belongs to the Special Issue Hydrogels for Pharmaceutical and Biomedical Applications)
Show Figures

Figure 1

21 pages, 8764 KB  
Article
Live Cell Imaging by Förster Resonance Energy Transfer Fluorescence to Study Trafficking of PLGA Nanoparticles and the Release of a Loaded Peptide in Dendritic Cells
by Mengshan Liu, Chun Yin Jerry Lau, Irene Trillo Cabello, Johan Garssen, Linette E. M. Willemsen, Wim E. Hennink and Cornelus F. van Nostrum
Pharmaceuticals 2023, 16(6), 818; https://doi.org/10.3390/ph16060818 - 31 May 2023
Cited by 1 | Viewed by 2888
Abstract
Our previous study demonstrated that a selected β-lactoglobulin-derived peptide (BLG-Pep) loaded in poly(lactic-co-glycolic acid) (PLGA) nanoparticles protected mice against cow’s milk allergy development. However, the mechanism(s) responsible for the interaction of the peptide-loaded PLGA nanoparticles with dendritic cells (DCs) and their [...] Read more.
Our previous study demonstrated that a selected β-lactoglobulin-derived peptide (BLG-Pep) loaded in poly(lactic-co-glycolic acid) (PLGA) nanoparticles protected mice against cow’s milk allergy development. However, the mechanism(s) responsible for the interaction of the peptide-loaded PLGA nanoparticles with dendritic cells (DCs) and their intracellular fate was/were elusive. Förster resonance energy transfer (FRET), a distance-dependent non-radioactive energy transfer process mediated from a donor to an acceptor fluorochrome, was used to investigate these processes. The ratio of the donor (Cyanine-3)-conjugated peptide and acceptor (Cyanine-5) labeled PLGA nanocarrier was fine-tuned for optimal (87%) FRET efficiency. The colloidal stability and FRET emission of prepared NPs were maintained upon 144 h incubation in PBS buffer and 6 h incubation in biorelevant simulated gastric fluid at 37 °C. A total of 73% of Pep-Cy3 NP was internalized by DCs as quantified using flow cytometry and confirmed using confocal fluorescence microscopy. By real-time monitoring of the change in the FRET signal of the internalized peptide-loaded nanoparticles, we observed prolonged retention (for 96 h) of the nanoparticles-encapsulated peptide as compared to 24 h retention of the free peptide in the DCs. The prolonged retention and intracellular antigen release of the BLG-Pep loaded in PLGA nanoparticles in murine DCs might facilitate antigen-specific tolerance induction. Full article
(This article belongs to the Special Issue Fluorescence Approaches in Drug Delivery)
Show Figures

Figure 1

12 pages, 2437 KB  
Article
Single Cell Determination of 7,8-dihydro-8-oxo-2′-deoxyguanosine by Fluorescence Techniques: Antibody vs. Avidin Labeling
by Giusy Maraventano, Giulio Ticli, Ornella Cazzalini, Lucia A. Stivala, Mariella Ramos-Gonzalez, José-Luis Rodríguez and Ennio Prosperi
Molecules 2023, 28(11), 4326; https://doi.org/10.3390/molecules28114326 - 25 May 2023
Cited by 5 | Viewed by 3094
Abstract
An important biomarker of oxidative damage in cellular DNA is the formation of 7,8-dihydro-8-oxo-2′-deoxyguanosine (8-oxodG). Although several methods are available for the biochemical analysis of this molecule, its determination at the single cell level may provide significant advantages when investigating the influence of [...] Read more.
An important biomarker of oxidative damage in cellular DNA is the formation of 7,8-dihydro-8-oxo-2′-deoxyguanosine (8-oxodG). Although several methods are available for the biochemical analysis of this molecule, its determination at the single cell level may provide significant advantages when investigating the influence of cell heterogeneity and cell type in the DNA damage response. to. For this purpose, antibodies recognizing 8-oxodG are available; however, detection with the glycoprotein avidin has also been proposed because of a structural similarity between its natural ligand biotin and 8-oxodG. Whether the two procedures are equivalent in terms of reliability and sensitivity is not clear. In this study, we compared the immunofluorescence determination of 8-oxodG in cellular DNA using the monoclonal antibody N45.1 and labeling using avidin conjugated with the fluorochrome Alexa Fluor488 (AF488). Oxidative DNA damage was induced in different cell types by treatment with potassium bromate (KBrO3), a chemical inducer of reactive oxygen species (ROS). By using increasing concentrations of KBrO3, as well as different reaction conditions, our results indicate that the monoclonal antibody N45.1 provides a specificity of 8-oxodG labeling greater than that attained with avidin-AF488. These findings suggest that immunofluorescence techniques are best suited to the in situ analysis of 8-oxodG as a biomarker of oxidative DNA damage. Full article
(This article belongs to the Section Medicinal Chemistry)
Show Figures

Figure 1

17 pages, 10416 KB  
Article
Preventing Disused Bone Loss through Inhibition of Advanced Glycation End Products
by Cong-Jin Liu, Xiao Yang, Shou-Hui Wang, Xin-Tong Wu, Yan Mao, Jing-Wen Shi, Yu-Bo Fan and Lian-Wen Sun
Int. J. Mol. Sci. 2023, 24(5), 4953; https://doi.org/10.3390/ijms24054953 - 3 Mar 2023
Cited by 7 | Viewed by 3443
Abstract
Bone loss occurs in astronauts during long-term space flight, but the mechanisms are still unclear. We previously showed that advanced glycation end products (AGEs) were involved in microgravity-induced osteoporosis. Here, we investigated the improvement effects of blocking AGEs formation on microgravity-induced bone loss [...] Read more.
Bone loss occurs in astronauts during long-term space flight, but the mechanisms are still unclear. We previously showed that advanced glycation end products (AGEs) were involved in microgravity-induced osteoporosis. Here, we investigated the improvement effects of blocking AGEs formation on microgravity-induced bone loss by using the AGEs formation inhibitor, irbesartan. To achieve this objective, we used a tail-suspended (TS) rat model to simulate microgravity and treated the TS rats with 50 mg/kg/day irbesartan, as well as the fluorochrome biomarkers injected into rats to label dynamic bone formation. To assess the accumulation of AGEs, pentosidine (PEN), non-enzymatic cross-links (NE−xLR), and fluorescent AGEs (fAGEs) were identified in the bone; 8-hydroxydeoxyguanosine (8-OHdG) was analyzed for the reactive oxygen species (ROS) level in the bone. Meanwhile, bone mechanical properties, bone microstructure, and dynamic bone histomorphometry were tested for bone quality assessment, and Osterix and TRAP were immunofluorescences stained for the activities of osteoblastic and osteoclastic cells. Results showed AGEs increased significantly and 8-OHdG expression in bone showed an upward trend in TS rat hindlimbs. The bone quality (bone microstructure and mechanical properties) and bone formation process (dynamic bone formation and osteoblastic cells activities) were inhibited after tail-suspension, and showed a correlation with AGEs, suggesting the elevated AGEs contributed to the disused bone loss. After being treated with irbesartan, the increased AGEs and 8-OHdG expression were significantly inhibited, suggesting irbesartan may reduce ROS to inhibit dicarbonyl compounds, thus suppressing AGEs production after tail-suspension. The inhibition of AGEs can partially alter the bone remodeling process and improve bone quality. Both AGEs accumulation and bone alterations almost occurred in trabecular bone but not in cortical bone, suggesting AGEs effects on bone remodeling under microgravity are dependent on the biological milieu. Full article
(This article belongs to the Section Biochemistry)
Show Figures

Figure 1

12 pages, 2609 KB  
Article
Modular Site-Specific Conjugation of Nanobodies Using Two Co-Associating Tags
by Eric Moeglin, Lina Barret, Bruno Chatton and Mariel Donzeau
Int. J. Mol. Sci. 2022, 23(22), 14405; https://doi.org/10.3390/ijms232214405 - 19 Nov 2022
Cited by 4 | Viewed by 3557
Abstract
The homogeneous labeling of antibodies and their fragments is a critical step for the generation of robust probes used in immuno-detection applications. To date, numerous chemical, genetic and peptide-based site-specific coupling methods have been developed. Among these methods, co-assembling peptide-tags is one of [...] Read more.
The homogeneous labeling of antibodies and their fragments is a critical step for the generation of robust probes used in immuno-detection applications. To date, numerous chemical, genetic and peptide-based site-specific coupling methods have been developed. Among these methods, co-assembling peptide-tags is one of the most straightforward and versatile solutions. Here, we describe site-specific labeling of nanobodies through the use of two co-associating peptides tags, E3 and K3, originating from the tetramerization domain of p53. These E3 and K3-tags provide a simple and robust method for associating stoichiometric amount of VHH and fluorescent probes, either fluorescent proteins or fluorochromes, at specific positions. As a proof of concept, a nanobody targeting the human epidermal growth factor receptor 2 (HER2), the nano-HER2 was genetically fused to the E3 and associated with different fluorescent K3-derivates. Entities were produced separately in Escherichia coli in soluble forms at high yields and co-assembled in vitro. These molecular probes present high binding specificity on HER2-overexpressing cells in flow-cytometry with relative binding constants in the low nanomolar range and are stable enough to stain HER2-receptor on living cells followed detection using fluorescent confocal microscopy. Altogether, our results demonstrate that the non-covalent conjugation method using these two co-associating peptides can be easily implemented for the modular engineering of molecular probes for cell immuno-staining. Full article
(This article belongs to the Special Issue Molecular Biosensor)
Show Figures

Figure 1

15 pages, 1655 KB  
Article
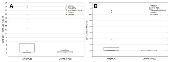
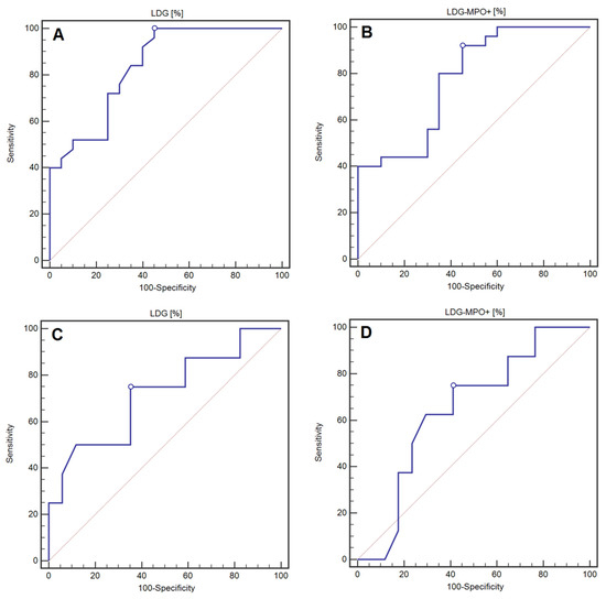
Indicator of Inflammation and NETosis—Low-Density Granulocytes as a Biomarker of Autoimmune Hepatitis
by Weronika Domerecka, Iwona Homa-Mlak, Radosław Mlak, Agata Michalak, Agnieszka Wilińska, Anna Kowalska-Kępczyńska, Piotr Dreher, Halina Cichoż-Lach and Teresa Małecka-Massalska
J. Clin. Med. 2022, 11(8), 2174; https://doi.org/10.3390/jcm11082174 - 13 Apr 2022
Cited by 15 | Viewed by 2869
Abstract
Introduction. Interest in the potential role of low-density granulocytes (LDGs) in the development of autoimmune diseases has been renewed recently. Due to their pro-inflammatory action, more and more attention is paid to the role of LDGs, including those expressing the enzyme myeloperoxidase (MPO), [...] Read more.
Introduction. Interest in the potential role of low-density granulocytes (LDGs) in the development of autoimmune diseases has been renewed recently. Due to their pro-inflammatory action, more and more attention is paid to the role of LDGs, including those expressing the enzyme myeloperoxidase (MPO), in the development of autoimmune hepatitis (AIH). LDGs are actively involved in the formation of neutrophil extracellular traps (NETs). This phenomenon may favour the externalization of the autoantigen and lead to damage to internal organs, including the liver. Aim. The main aim of the study was to assess the diagnostic usefulness of the LDG percentage, including the fraction showing MPO expression as markers of systemic inflammation in AIH. Materials and methods. The study included a group of 25 patients with AIH and 20 healthy volunteers. Mononuclear cells, isolated from peripheral blood, were labelled with monoclonal antibodies conjugated to the appropriate fluorochromes (CD15-FITC, CD14-PE, CD10-PE-Cy5, MPO+) and then analyzed on a Navios Flow Cytometer (Beckman Coulter). Results. Patients with AIH had a higher median percentage of LDG (1.2 vs. 0.1; p = 0.0001) and LDG expressing MPO (0.8 vs. 0.3; p = 0.0017) when compared to healthy volunteers. Moreover, the percentage of LDG was characterised by 100% of sensitivity and 55% of specificity (AUC = 0.84; p < 0.0001), while the percentage of LDG expressing MPO was 92% of sensitivity and 55% of specificity (AUC = 0.78; p = 0.0001) in the detection of AIH. Conclusions. Assessment of inflammatory markers, such as the percentage of LDG and the percentage of LDG expressing MPO, may be helpful in assessing the phenomenon of an increased systemic inflammatory response and in assessing liver fibrosis (LC, Liver cirrhosis), which is inherent in liver decompensation. Taking into account the above arguments, the assessment of the percentage of LDG, including LDG expressing MPO, may turn out to be a useful marker in the diagnosis of AIH. Full article
(This article belongs to the Section Gastroenterology & Hepatopancreatobiliary Medicine)
Show Figures

Figure 1

21 pages, 4123 KB  
Article
Optimization of Advanced Live-Cell Imaging through Red/Near-Infrared Dye Labeling and Fluorescence Lifetime-Based Strategies
by Magalie Bénard, Damien Schapman, Christophe Chamot, Fatéméh Dubois, Guénaëlle Levallet, Hitoshi Komuro and Ludovic Galas
Int. J. Mol. Sci. 2021, 22(20), 11092; https://doi.org/10.3390/ijms222011092 - 14 Oct 2021
Cited by 8 | Viewed by 4428
Abstract
Fluorescence microscopy is essential for a detailed understanding of cellular processes; however, live-cell preservation during imaging is a matter of debate. In this study, we proposed a guide to optimize advanced light microscopy approaches by reducing light exposure through fluorescence lifetime (τ) exploitation [...] Read more.
Fluorescence microscopy is essential for a detailed understanding of cellular processes; however, live-cell preservation during imaging is a matter of debate. In this study, we proposed a guide to optimize advanced light microscopy approaches by reducing light exposure through fluorescence lifetime (τ) exploitation of red/near-infrared dyes. Firstly, we characterized key instrumental elements which revealed that red/near-infrared laser lines with an 86x (Numerical Aperture (NA) = 1.2, water immersion) objective allowed high transmission of fluorescence signals, low irradiance and super-resolution. As a combination of two technologies, i.e., vacuum tubes (e.g., photomultiplier) and semiconductor microelectronics (e.g., avalanche photodiode), type S, X and R of hybrid detectors (HyD-S, HyD-X and HyD-R) were particularly adapted for red/near-infrared photon counting and τ separation. Secondly, we tested and compared lifetime-based imaging including coarse τ separation for confocal microscopy, fitting and phasor plot analysis for fluorescence lifetime microscopy (FLIM), and lifetimes weighting for enhanced stimulated emission depletion (STED) nanoscopy, in light of red/near-infrared multiplexing. Mainly, we showed that the choice of appropriate imaging approach may depend on fluorochrome number, together with their spectral/lifetime characteristics and STED compatibility. Photon-counting mode and sensitivity of HyDs together with phasor plot analysis of fluorescence lifetimes enabled the flexible and fast imaging of multi-labeled living H28 cells. Therefore, a combination of red/near-infrared dyes labeling with lifetime-based strategies offers new perspectives for live-cell imaging by enhancing sample preservation through acquisition time and light exposure reduction. Full article
Show Figures

Figure 1

13 pages, 3359 KB  
Article
Lipoteichoic Acid Accelerates Bone Healing by Enhancing Osteoblast Differentiation and Inhibiting Osteoclast Activation in a Mouse Model of Femoral Defects
by Chih-Chien Hu, Chih-Hsiang Chang, Yi-min Hsiao, Yuhan Chang, Ying-Yu Wu, Steve W. N. Ueng and Mei-Feng Chen
Int. J. Mol. Sci. 2020, 21(15), 5550; https://doi.org/10.3390/ijms21155550 - 3 Aug 2020
Cited by 18 | Viewed by 3912
Abstract
Lipoteichoic acid (LTA) is a cell wall component of Gram-positive bacteria. Limited data suggest that LTA is beneficial for bone regeneration in vitro. Thus, we used a mouse model of femoral defects to explore the effects of LTA on bone healing in vivo. [...] Read more.
Lipoteichoic acid (LTA) is a cell wall component of Gram-positive bacteria. Limited data suggest that LTA is beneficial for bone regeneration in vitro. Thus, we used a mouse model of femoral defects to explore the effects of LTA on bone healing in vivo. Micro-computed tomography analysis and double-fluorochrome labeling were utilized to examine whether LTA can accelerate dynamic bone formation in vivo. The effects of LTA on osteoblastogenesis and osteoclastogenesis were also studied in vitro. LTA treatment induced prompt bone bridge formation, rapid endochondral ossification, and accelerated healing of fractures in mice with femoral bone defects. In vitro, LTA directly enhanced indicators of osteogenic factor-induced MC3T3-E1 cell differentiation, including alkaline phosphatase activity, calcium deposition and osteopontin expression. LTA also inhibited osteoclast activation induced by receptor activator of nuclear factor-kappa B ligand. We identified six molecules that may be associated with LTA-accelerated bone healing: monocyte chemoattractant protein 1, chemokine (C-X-C motif) ligand 1, cystatin C, growth/differentiation factor 15, endostatin and neutrophil gelatinase-associated lipocalin. Finally, double-fluorochrome, dynamic-labeling data indicated that LTA significantly enhanced bone-formation rates in vivo. In conclusion, our findings suggest that LTA has promising bone-regeneration properties. Full article
(This article belongs to the Special Issue Functional Materials for Bone Regeneration: Biomaterials and Cells)
Show Figures

Figure 1

Back to TopTop